자격증 필기 기출문제



가스기사 필기 기출문제(해설) 및 CBT 2003년05월25일(1983)

최강 자격증 기출문제 전자문제집 CBT : www.comcbt.com


전자문제집 CBT란?

종이 문제집이 아닌 인터넷으로 문제를 풀고 자동으로 채점하며 모의고사, 오답 노트, 해설까지 제공하는
무료 기출문제 학습 프로그램으로 실제 상설검정에서 사용하는 OMR 형식의 CBT를 제공합니다.


최신 가스기사 필기 기출문제 : [다운로드]

1과목 : 가스유체역학


1. 그림과 같은 관에서 유체가 유동할 때 마하수는 Ma < 1이라 한다. 이 때 압력과 속도의 변화에 대해서 맞게 설명한 것은? (단, 압력은 P, 속도는 v로 표시함)

   

     1. dv : 증가, dP : 감소
     2. dv : 증가, dP : 증가
     3. dv : 감소, dP : 감소
     4. dv : 감소, dP : 증가

     정답 : []
     정답률 : 61%

2. 그림과 같이 지름 0.04m 인 관이 분기되었다가 C지점에서 만난다. A지점의 유체(물)가 60m/sec 의 속도로 움직여서 B지점에서 30m/sec 유입되는 본류와 C지점에서 충돌했을 때 고정평판이 받는 힘은?

   

     1. 56.7㎏
     2. 113.3㎏
     3. 156.5㎏
     4. 203.9㎏

     정답 : []
     정답률 : 41%

3. 진공상태의 용기에 밸브가 설치되어 있다. 이 때 밸브를 갑자기 열어 3㎫, 300K 의 공기가 용기안으로 들어오게 하여 용기의 압력이 3㎫ 이 되었을때 바로 밸브를 닫았다. 이 때 용기안의 마지막 평형 상태온도는? (단, u = CvT 이고 Cv = 0.716KJ/㎏ㆍ°K 이고, h = CPT 이고 CP = 1.005KJ/㎏ㆍ°K 로 가정한다.)
     1. 300K
     2. 346K
     3. 387K
     4. 421K

     정답 : []
     정답률 : 12%

4. 직경 10㎝ 의 원관내를 10㎝/s 로 흐르던 물이 직경 25㎝ 의 큰 관속으로 흐를 때 확대마찰 손실계수(Ke)는?
     1. 0.36
     2. 0.60
     3. 0.71
     4. 0.84

     정답 : []
     정답률 : 27%

5. 유체흐름에 관한 설명으로 옳지 않은 것은?
     1. 원관속에서 유체가 정상 층류운동을 하고 있을 때 가장 중요한 힘은 점성력과 관성력이다.
     2. 정상흐름이란 유체입자가 서로 층을 형성하여 규칙적이고 질서있게 흐르며 마찰에 의한 에너지 손실이 없는 것이다.
     3. 질량보존의 법칙은 이상유체뿐만 아니라 실제유체에 그대로 적용할 수 있다.
     4. 뉴톤의 점성법칙은 전단응력, 점성계수 및 각 변형률 변수의 함수관계를 나타낸다.

     정답 : []
     정답률 : 43%

6. 압축성 유체가 공기 중에 노출되어 단열되지 않은 관을 통해 흐르고 있을 때, 음향속도 a 와 최대속도 a'의 관계식 이다. 이 때 압축성 유체가 공기인 경우 의 값은?
     1. 1.4
     2.
     3.
     4. 1.8

     정답 : []
     정답률 : 71%

7. 축류펌프의 날개 수가 증가할 때 펌프성능은?
     1. 양정이 일정하고 유량이 증가
     2. 유량과 양정이 모두 증가
     3. 양정이 감소하고 유량이 증가
     4. 유량이 일정하고 양정이 증가

     정답 : []
     정답률 : 47%

8. 원심펌프에 대한 설명으로 옳지 않은 것은?
     1. 액체를 균일한 압력으로 수송할 수 있다.
     2. 캐비테이션 현상은 잘 일으키지 않는다.
     3. 마감점이 낮고 마감기동이 가능하다.
     4. 양정거리가 크고 수송량이 적을 때 사용된다.

     정답 : []
     정답률 : 47%

9. 탱크 안의 액체의 비중량은 0.7g/cm3 이며 압력은 3kg/cm2이다. 이를 수두로 나타내면?
     1. 4.286m
     2. 42.86m
     3. 0.429m
     4. 428.6m

     정답 : []
     정답률 : 38%

10. 질량보존의 법칙을 유체유동에 적용한 방정식은?
     1. 오일러 방정식
     2. 달시 방정식
     3. 운동량 방정식
     4. 연속 방정식

     정답 : []
     정답률 : 64%

11. 550K인 공기가 15m/sec 의 속도로 매끈한 평판위를 흐르고 있다. 경계층이 층류에서 난류로 천이하는 위치는 선단에서 거리가 얼마인가? (단, 동점성계수는 4.2 × 10-5m2/sec)
     1. 0.7m
     2. 1.4m
     3. 2.1m
     4. 2.8m

     정답 : []
     정답률 : 41%
     <문제 해설>
경계층이 층류에서 난류로 천이하는 지점은 Re= 50,0000 인 지점에서 이다.
따라서 x(지점)=Re*V(동점성계수)/V(속도) 의 공식을 사용한다.
그러므로 지점 X는 1.4m이다
[해설작성자 : comcbt.com 이용자]

12. 밀도가 84.6 kg/m3 인 유체의 비중량은?
     1. 8.64 N/m3
     2. 86.4 N/m3
     3. 829 N/m3
     4. 82.9 N/m3

     정답 : []
     정답률 : 38%

13. 평균풍속 10m/sec 인 바람 속에 매끈한 평판을 바람과 평행으로 놓았을 때 평판의 선단으로부터 5cm 되는 곳에서의 레이놀드수는? (단, 동점성계수는 0.156 × 10-4m2/sec이다.)
     1. 3.2 × 104
     2. 6.4 × 108
     3. 1.8 × 104
     4. 9.8 × 105

     정답 : []
     정답률 : 47%

14. 수평원관내에서 유체의 흐름이 층류일 때 전단응력의 분포는?
     1. 전단면에 걸쳐서 일정하다.
     2. 관벽에서 0 이고 중심에서 최대의 값을 갖는다.
     3. 관중심에서 0 이고 관벽까지 직선적으로 증가한다.
     4. 관중심에서 0 이고 반지름의 제곱에 비례한다.

     정답 : []
     정답률 : 28%

15. 음속을 C, 물체의 속도를 V 라고 할 때, Mach수 는?
     1. V/C
     2. V/C2
     3. C/V
     4. C2/V

     정답 : []
     정답률 : 76%

16. 전단속도가 증가함에 따라 점도가 감소하는 유체는?
     1. 딕소트로픽(thixotropic) 유체
     2. 레오펙틱(rheopectic) 유체
     3. 빙햄플라스틱(Bingham plastic) 유체
     4. 뉴톤유체(Newtonians)

     정답 : []
     정답률 : 17%

17. 원통형 기름탱크의 깊이가 63 ft 인데, 밀도 45 lbm/ft3인 기름이 들어있고 상부는 대기로 열려있다. 이 탱크 바닥에서의 계기압력은?
     1. 16.5 lbf/in2
     2. 17.7 lbf/in2
     3. 18.6 lbf/in2
     4. 19.7 lbf/in2

     정답 : []
     정답률 : 12%

18. 제트엔진이 300m/sec 에서 작동하여 30kg/sec 의 공기를 소비한다. 1000kg 의 추진력을 만들기 위해 배출되는 연소가스의 속도는 몇 m/sec 인가?
     1. 424.7
     2. 547.6
     3. 626.7
     4. 745.6

     정답 : []
     정답률 : 16%
     <문제 해설>
1000kgf를 N으로 바꿔주면 9800N=9800kgm/s^2
9800kgm/s^2
----------- = 326.7m/s 임 300m/s에서 작동중이니 더해줘야함 답은 326.7+300 = 626.7m/s
    30kg/s
[해설작성자 : 왕떡]

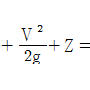
19. 베르누이 정리 식에서 V2/2g 는 무엇을 의미하는가?
     1. 압력수두
     2. 위치수두
     3. 속도수두
     4. 전수두

     정답 : []
     정답률 : 68%

20. 피스톤의 단면적을 A[m2], 행정을 ℓ[m], 회전수를 n[rpm]이라 할 때 이론 송출량 Qth을 나타내는 식은?
     1. Qth = Aㆍℓㆍn[m3/min]
     2.
     3. Qth = 2ㆍAㆍℓㆍn[m3/min]
     4. Qth = π ㆍAㆍℓㆍn[m3/min]

     정답 : []
     정답률 : 52%

2과목 : 연소공학


21. 100℃의 물 1g이 수증기가 될 때 엔트로피 변화는 얼마인가?
     1. 0.293cal/K
     2. 0.875cal/K
     3. 1.445cal/K
     4. 2.875cal/K

     정답 : []
     정답률 : 11%

22. 아래의 가스폭발 위험성 평가기법 설명은 어느 기법인가?

    

     1. FAH(Fault Hazard Analysis)
     2. JSA(Job Safety Analysis)
     3. EVP(Extreme Value Projection)
     4. ETA(Event Tree Analysis)

     정답 : []
     정답률 : 70%

23. 층류연소속도의 측정법이 아닌 것은?
     1. 분젠버너법
     2. 슬로트버너법
     3. 다공버너법
     4. 비누방울법

     정답 : []
     정답률 : 30%

24. 폭발의 위험도를 계산하는 것이 바르게 표현된 것은? (단, H : 위험도, U : 폭발한계상한, L : 폭발한계하한)
     1. H = U-L/L
     2. H = U/L
     3. H = U-L/U
     4. H = L/U

     정답 : []
     정답률 : 84%

25. 그림은 어떤 냉매의 P-H 선도이다. 냉매의 증발과정을 표시한 것은?

    

     1.
     2.
     3.
     4.

     정답 : []
     정답률 : 46%

26. 이상기체에 관한 설명중 틀린 것은?
     1. 응축시키면 액화될 수 있다.
     2. 기체분자 자신의 부피를 무시한다.
     3. 분자 사이에는 인력이나 반발력이 작용하지 않는다.
     4. 저압, 고온하의 실제 기체는 이상기체의 성질을 가진다.

     정답 : []
     정답률 : 41%

27. 다음중 연소의 3대 요소가 아닌 것은?
     1. 공기
     2. 가연물
     3. 시간
     4. 점화원

     정답 : []
     정답률 : 73%

28. 최고온도 600℃와 최저온도 50℃사이에서 작동되는 열기관의 이론적 효율은?
     1. 35.15%
     2. 46.06%
     3. 57.27%
     4. 63.00%

     정답 : []
     정답률 : 47%

29. 실린더 속에 N2 가 0.5 mol, O2가 0.2 mol, H2가 0.3 mol 이 혼합되어 있을 때 전체의 압력이 1atm 이었다면 이 때 산소의 부분압력은 몇 mmHg 인가?
     1. 152
     2. 179
     3. 182
     4. 194

     정답 : []
     정답률 : 36%

30. 다음 기체 연료 중 발열량이 가장 낮은 연료는?
     1. 석탄가스
     2. 수성가스
     3. 고로가스
     4. 발생로가스

     정답 : []
     정답률 : 49%

31. 열기관의 효율을 면적비로 나타낼 수 있는 선도는?
     1. 온도 - 체적선도
     2. 압력 - 온도선도
     3. 온도 - 엔트로피선도
     4. 엔탈피 - 엔트로피선도

     정답 : []
     정답률 : 40%

32. 다음 중 가역과정으로 볼 수 없는 것은?
     1. carnot 순환계
     2. 노즐에서의 팽창
     3. 마찰이 없는 관내의 흐름
     4. 실린더내의 기체의 갑작스런 팽창

     정답 : []
     정답률 : 43%

33. 연소의 열역학에 대한 설명 중 틀린 것은?
     1. 발열반응에서 활성화 에너지가 높다.
     2. 표준생성 엔탈피는△Hf° 로 표시한다.
     3. 흡열반응에서△Hr은 정(正)의 값을 가진다.
     4. 생성물질은 반응물질보다 절대값│△Hr│ 만큼 엔탈피가 낮다.

     정답 : []
     정답률 : 24%

34. 발생로 가스의 가스분석 결과 CO2 3.2%, CO 26.2%, CH4 4%, H2 12.8%, N2 53.8%이다. 또한 가스 1Nm3중에 수분이 50g이 포함되어 있다면 이 발생로 가스 1Nm3을 완전연소 시키는데 필요한 공기량은 몇 Nm3 인가?
     1. 1.023
     2. 1.228
     3. 1.324
     4. 1.423

     정답 : []
     정답률 : 38%

35. 다음 열량의 단위에 대한 설명중 틀린 것은?
     1. 1000000Btu를 1 Therm이라 한다.
     2. 1 CHV는 순수한 물 1[㎏]의 온도를 1°F 올리는데 필요한 열량
     3. 1 Btu는 순수한 물 1[lb]의 온도를 1°F 변화시키는데 필요한 열량
     4. 1kcal는 순수한 물 1[㎏]을 14.5℃ 에서 15.5℃ 까지 올리는데 필요한 열량

     정답 : []
     정답률 : 54%

36. 노내의 분위기가 산성 또는 환원성 여부를 확인 할 수 있는 방법으로 가장 확실한 것은?
     1. 화염의 색깔을 분석한다.
     2. 연소가스 중의 CO 함량을 분석한다.
     3. 노내의 온도 분포 상태를 점검한다.
     4. 연소가스 중의 N2 함량을 분석한다.

     정답 : []
     정답률 : 54%

37. 0.5atm 5L의 기체A, 1atm 10L의 기체B와 0.6atm 5L의 기체 C를 전체부피 20L의 용기에 넣을 경우 전압은 얼마인가? (단, 기체 A, B, C는 이상기체로 가정한다.)
     1. 0.625 atm
     2. 0.700 atm
     3. 0.775 atm
     4. 0.938 atm

     정답 : []
     정답률 : 42%

38. 온도-엔트로피 변화를 나타내는 오토사이클 선도에서 계로부터 열이 방출되는 과정은?

    

     1. 1 → 2과정
     2. 2 → 3과정
     3. 3 → 4과정
     4. 4 → 1과정

     정답 : []
     정답률 : 50%

39. 다음 중 화염의 안정 범위가 넓고, 조작이 용이하며 역화의 위험이 없는 연소는?
     1. 표면연소
     2. 분해연소
     3. 확산연소
     4. 예혼합연소

     정답 : []
     정답률 : 35%

40. 다음 설명 중 옳지 않은 것은?
     1. 압력이 상승하거나 온도가 높아지면 가스의 폭발범위는 넓어진다.
     2. 가스의 화염전파 속도가 음속보다 큰 경우에 일어나는 충격파 폭굉이라고 한다.
     3. 정상연소 속도가 큰 혼합가스 일수록 폭굉유도거리는 길어진다.
     4. 확산연소는 화염의 안정범위가 넓고 조작이 용이하며 역화의 위험이 없는 연소이다.

     정답 : []
     정답률 : 64%

3과목 : 가스설비


41. 압축기와 펌프에서 공통으로 일어날 수 있는 현상은?
     1. 캐비테이션
     2. 서어징
     3. 워터햄머링
     4. 베이퍼록

     정답 : []
     정답률 : 41%

42. 냉동능력의 산정기준으로 사용하는 식은?
     1. R = V/C
     2. Q = (P + 1)V1
     3. W = 0.9 dV2
     4. W = V2/C

     정답 : []
     정답률 : 55%

43. 도시가스 공급 설비에서 배관 부분의 압력손실을 구하는 식은? (단, H : 기점과 종점과의 압력차, Q : 가스유량[m3/hr], D : 구경[㎝], S : 가스의 비중, L : 배관길이[m], K : 유량계수)
     1.
     2.
     3.
     4.

     정답 : []
     정답률 : 58%

44. 다음 반응으로 진행되는 접촉분해 반응 중 카본생성을 방지하는 방법으로 옳은 것은? (단, 반응식 : 2CO → CO2 + C)
     1. 반응온도 : 낮게, 반응압력 : 높게
     2. 반응온도 : 높게, 반응압력 : 낮게
     3. 반응온도 : 낮게, 반응압력 : 낮게
     4. 반응온도 : 높게, 반응압력 : 높게

     정답 : []
     정답률 : 46%

45. LP가스 충전시 압축기를 이용했을 때의 단점에 해당하는 것은?
     1. 충전시간이 많이 소요된다.
     2. 잔류가스 회수가 어렵다.
     3. 베이퍼록 현상 우려가 있다.
     4. 압축기 오일로 인한 드레인 현상 우려가 있다.

     정답 : []
     정답률 : 39%

46. 암모니아의 취급에 대한 설명으로 옳지 않은 것은?
     1. 암모니아 건조제로 진한 황산을 사용한다.
     2. 진한염산과 접촉시키면 흰연기가 나므로 암모니아 누출을 검출할 수 있다.
     3. 고온, 고압이 되면 질화작용과 수소취성을 동시에 일으킨다.
     4. Cu 및 Al 합금과는 부식성을 가지므로 철합금의 장치를 사용한다.

     정답 : []
     정답률 : 18%

47. 다음 그림은 원심펌프의 회전수 및 흡입양정이 일정할 때의 특성곡선이다. ① 의 곡선이 나타내는 것은? (단, 전양정 H, 축동력 L, 효율 η ,유량 Q 임)

    

     1. 효율곡선
     2. 양정곡선
     3. 유량곡선
     4. 축동력곡선

     정답 : []
     정답률 : 45%

48. 시간당 20000 kcal의 열을 흡수하는 냉동기의 용량을 냉동톤으로 표시하면?
     1. 2 냉동톤
     2. 4 냉동톤
     3. 6 냉동톤
     4. 8 냉동톤

     정답 : []
     정답률 : 43%

49. 나프타 접촉분해법에서 개질온도 705℃에서 개질압력을 1기압보다 높일 때의 가스조성의 변화로 옳은 것은?
     1. H2 와 CO 가 증가하고 CH4 와 CO2 가 감소한다.
     2. H2 와 CO 가 감소하고 CH4 와 CO2 가 증가한다.
     3. H2 와 CO 가 감소하고 CH4 와 CO 가 증가한다.
     4. CH4 와 CO 가 증가하고 H2 와 CO2 가 감소한다.

     정답 : []
     정답률 : 52%

50. 압축가스 및 액화가스 저장용기의 내압 시험(TP) 조건은?
     1. 최고 충전 압력 × 3
     2. 최고 충전 압력 × 5/3
     3. 상용 압력 × 3
     4. 상용 압력 × 5/3

     정답 : []
     정답률 : 53%

51. 도시가스설비의 전기방식의 종류가 아닌 것은?
     1. 전류양극법
     2. 외부전원법
     3. 선택배류법
     4. 압착전원법

     정답 : []
     정답률 : 71%

52. 파이프 내에서의 유체의 마찰 손실에 대한 설명으로 옳은 것은?
     1. 파이프의 안지름과 지름에 비례하고 파이프내의 유속에 반비례 한다.
     2. 파이프내의 유속과 파이프 길이의 제곱에 비례하고 파이프의 안지름에 반비례한다.
     3. 파이프 길이와 유속의 제곱에 비례하고 파이프의 안지름에 반비례한다.
     4. 파이프 길이와 유속에 비례하고 파이프의 안지름에 반비례한다.

     정답 : []
     정답률 : 38%

53. 도시가스의 누출을 쉽게 조기에 발견하는 방법으로 사용하는 부취제가 갖고 있어야 할 조건으로 옳지 않은 것은?
     1. 토양에 대해 투과성이 클 것
     2. 물에 잘 녹지 않을 것
     3. 가스관에 흡착하는 성질이 없을 것
     4. 다른 가스와 반응성이 좋을 것

     정답 : []
     정답률 : 43%

54. 최고충전압력 30 kgf/cm2, 재료의 인장강도 50 kgf/mm2, 용기의 안지름이 500 mm, 용접효율 0.85, 부식여유가 1mm 일 때, 프로판용기의 두께는?
     1. 10.6mm
     2. 8.2mm
     3. 13.5mm
     4. 11.2mm

     정답 : []
     정답률 : 33%
     <문제 해설>
P*D/(2*S*n-1.2*P)+C=t(두께)
P=30(최고충전압력)
D=500(용기 안지름)
S=5000/4(인장강도 단위를 맞추기위해 *100, 인장강도의 1/4배 해줘야함 스테인레스의 경우 1/3.5)
C=1(부식여유)
[해설작성자 : 뿌빠삐]

55. 배관 재료 및 시공상의 주의 사항으로 옳지 않은 것은?
     1. 배관계의 최저점에는 드레인 벨브를 설치 하는 것이 좋다.
     2. 지하의 배관을 매설하는 경우 공기에 직접 접촉하지 않으므로 방청 조치를 할 필요가 없다.
     3. 저장 탱크로부터 펌프 흡입측을 향하여 배관하는 경우에는 상향 구배가 되지 않도록 한다.
     4. 관의 재질은 접합이 용이하고 토양,지하수 등에 대하여 내식성이 있어야 한다.

     정답 : []
     정답률 : 56%

56. 자동절체식 조정기 사용시 이점이 아닌 것은?
     1. 전체용기 수량이 수동절체식 보다 적어도 된다.
     2. 용기내의 잔 가스가 없어질 때까지 소비 된다.
     3. 조작 및 장치가 간단하다.
     4. 단단감압식 조정기보다 배관의 압력 손실을 크게 해도 된다.

     정답 : []
     정답률 : 14%

57. 출력 150PS의 가솔린 엔진이 시간당 30㎏ 의 가솔린을 소비할 때 이 엔진의 열효율은? (단, 발열량은 : 11000㎉/㎏)
     1. 14.4%
     2. 28.7%
     3. 57.4%
     4. 43.1%

     정답 : []
     정답률 : 40%

58. LP가스 사용시설의 배관설치 기준으로 적합하지 않은 것은?
     1. 스테인레스강관의 배관을 사용할 때는 배관을 매몰 설치할 수 있다.
     2. 지상배관의 표면색상은 녹색으로 한다.
     3. 배관은 건축물의 기초밑에 설치하지 않는다.
     4. 배관은 움직이지 않도록 고정,부착 설치 한다.

     정답 : []
     정답률 : 47%

59. 회전펌프의 특징에 대한 설명으로 옳지 않은 것은?
     1. 회전운동을 하는 회전체와 케이싱으로 구성된다.
     2. 점성이 큰 액체이송에 좋다.
     3. 토출액의 맥동이 다른 펌프보다 크다.
     4. 고압유체 펌프로 널리 사용된다.

     정답 : []
     정답률 : 40%
     <문제 해설>
회전펌프는 왕복동펌프에 비해 맥동이 작다.
[해설작성자 : comcbt.com 이용자]

60. 접촉개질 반응의 종류에 속하지 않는 것은?
     1. 불순물의 수소화 정제반응
     2. 각종 탄화수소의 이성화반응
     3. 나프텐의 탈수소반응
     4. 파라핀, 나프텐의 이성화반응

     정답 : []
     정답률 : 27%

4과목 : 가스안전관리


61. 어느 가스용기에 구리관을 연결시켜 사용하던 도중 구리관에 충격을 가하였더니 폭발사고가 발생하였다 이 용기에 충전된 가스는?
     1. 황화수소
     2. 아세틸렌
     3. 암모니아
     4. 염소

     정답 : []
     정답률 : 48%

62. 시안화수소 충전 시 안전점검 및 관리에 관한 설명으로 옳지 않은 것은?
     1. 1일 1회 이상 질산구리벤젠 등의 시험지로 가스누출을 검사 한다.
     2. 시안화수소 저장은 용기에 충전한 후 40일을 초과하지 않아야 한다.
     3. 순도가 98 % 이상으로서 착색되지 않은 것은 다른 용기에 옮겨 충전하지 않을 수 있다.
     4. 폭발을 일으킬 우려가 있으므로 안정제를 첨가 한다.

     정답 : []
     정답률 : 56%
     <문제 해설>
60일을 초과하지 않아야 합니다.
[해설작성자 : 가스기능사]

63. 액화석유가스 공급자는 위해예방 조치를 위하여, 안전관리 실시 대장을 작성하는데, 보존 기간은?
     1. 4년
     2. 1년
     3. 3년
     4. 2년

     정답 : []
     정답률 : 50%

64. 아세틸렌은 일정 압력에 도달하면 탄소와 수소로 분해하여 다량의 열을 발산한다. 아세틸렌의 분해 한계압에 대한 설명으로 옳지 않은 것은?
     1. 아세틸렌 용기의 크기에 따라 분해 한계압이 다르다.
     2. 아세틸렌의 온도에 따라 분해 한계압이 다르다.
     3. 아세틸렌에 물이 존재하면 분해한계압이 극히 낮아져 분해 폭발을 일으킨다.
     4. 아세틸렌은 혼합가스의 종류에 따라 분해 한계압이 다르다.

     정답 : []
     정답률 : 42%

65. 액화석유가스용 저장탱크(소형저장탱크 제외)에 부착된 배관에는 저장탱크의 외면으로부터 얼마 이상 떨어진 위치에서 조작할 수 있는 "긴급차단장치"를 설치하는가?
     1. 2m
     2. 3m
     3. 4m
     4. 5m

     정답 : []
     정답률 : 50%

66. 도시가스 사용시설의 시설기준 중 호스의 길이는 연소기까지 ( ) m 이내로 연결하되 ( )형으로 연결하지 아니할 것. ( )에 알맞는 것은?
     1. 2 m, S 형
     2. 2 m, T 형
     3. 3 m, S 형
     4. 3 m, T 형

     정답 : []
     정답률 : 32%

67. 고압가스안전관리법에 의한 산업자원부령이 정하는 고압가스 관련설비에 해당되지 않는 것은?
     1. 정압기
     2. 안전밸브
     3. 기화장치
     4. 독성가스배관용 밸브

     정답 : []
     정답률 : 44%

68. 안전성평가 실시 시 적용하는 안전성평가 기법이 아닌것은?
     1. 체크리스트기법
     2. 사건수분석기법
     3. 무작위추출기법
     4. 작업자실수분석기법

     정답 : []
     정답률 : 64%

69. LPG 용기보관실의 바닥면적이 40m2 이라면 통풍구의 크기는?
     1. 12000cm2
     2. 9000cm2
     3. 8000cm2
     4. 4000cm2

     정답 : []
     정답률 : 62%

70. 20m3 미만의 장소에서 사염화탄소 소화기를 사용하지 않아야 하는 이유로 가장 옳은 것는?
     1. 포스겐 가스(COCl2)가 발생할 수 있기 때문
     2. 사염화 탄소(CCl4)자체가 맹독성이기 때문
     3. 사염화 탄소가 불에 분해하여 Cl2가스를 발생시킬 수 있기 때문
     4. 산소를 방출하여 오히려 화재를 크게할 우려 때문

     정답 : []
     정답률 : 41%

71. 내용적이 50리터인 이음매 없는 용기의 재검사시 용기의 질량은 용기제조 시 각인된 질량의 몇 % 이상일 때 합격으로 하는가? (단, 내압시험에서 용기의 영구팽창율은 8% 이다.)
     1. 98%
     2. 95%
     3. 90%
     4. 88%

     정답 : []
     정답률 : 16%

72. 가압식 LPG 탱크에 안전상 없어도 되는 장치는?
     1. 안전밸브
     2. 긴급차단 장치
     3. 살수장치
     4. 분석장치

     정답 : []
     정답률 : 60%

73. 고압가스 운반기준 중 옳지 않은 것은?
     1. 가연성가스와 산소는 동일차량에 적재해서는 안된다.
     2. 납붙임용기에 고압가스를 충전하여 운반시에는 포장 상자에 넣어서 운반해야 한다.
     3. 충전용기와 휘발유는 동일차량에 적재해서는 안된다.
     4. 운반중 충전용기는 항상 40℃이하를 유지해야 한다.

     정답 : []
     정답률 : 30%
     <문제 해설>
(독성가스중) 가연성가스와 산소는 동일차량에 적재해서는 안되지만
독성가스라는 말이 없으면 적재 가능
[해설작성자 : 1234]

74. 배관의 전기부식을 방지하기 위한 방법이 아닌 것은?
     1. 희생 양극법
     2. 외부 전원법
     3. 강제 볼트법
     4. 선택 배류법

     정답 : []
     정답률 : 50%

75. 도시가스 사용시설에 실시하는 기밀시험 압력으로 옳은 것은?
     1. 최고 사용압력의 3배 이상
     2. 최고 사용압력의 1.1배 이상
     3. 최고 사용압력의 1.5배 이상
     4. 최고 사용압력의 1.8배 이상

     정답 : []
     정답률 : 14%

76. 고압가스를 운반하기 위하여 동일한 차량에 혼합 적재 가능한 것은?
     1. 염소 - 아세틸렌
     2. 염소 - 암모니아
     3. LPG - 수소
     4. 염소 - 수소

     정답 : []
     정답률 : 49%

77. 냉동기 제조의 기술기준에서 냉동기의 설비에 실시하는 기밀시험과 내압시험의 압력기준은 각각 얼마인가?
     1. 설계압력 1.5배 이상, 설계압력 1.5배 이상
     2. 설계압력의 1.1배 이상, 설계압력의 1.1배 이상
     3. 설계압력 이상, 설계압력의 1.5배 이상
     4. 설계압력 1.5배 이상, 설계압력 이상

     정답 : []
     정답률 : 50%

78. 상온에서는 액화될 수 없는 가스는?
     1. 염소
     2. 산소
     3. 황화수소
     4. 산화에틸렌

     정답 : []
     정답률 : 32%

79. 고압가스 지하 배관 설치 시 타매설물 등과의 최저 이격거리를 바르게 나타낸 것은?
     1. 배관은 그 외면으로부터 지하의 다른 시설물과 0.5m 이상
     2. 독성가스의 배관은 수도시설로부터 100m 이상
     3. 터널과는 5m 이상
     4. 건축물과는 1.5m 이상

     정답 : []
     정답률 : 40%

80. 액화프로판 50kg을 충전하고자 할 때 용기의 내용적은? (단, 액화프로판의 가스정수 : 2.35)
     1. 117.5ℓ
     2. 21.3ℓ
     3. 105.75ℓ
     4. 50ℓ

     정답 : []
     정답률 : 48%
     <문제 해설>
내용적/가스정수=질량
50*2.35=117.5
[해설작성자 : 뿌빠삐]

81. 편차의 크기에 단순 비례하여 조절 요소에 보내는 신호의 주기가 변하는 제어 동작은?
     1. on-off동작
     2. P동작
     3. PI동작
     4. PID동작

     정답 : []
     정답률 : 47%

82. 그림과 같이 축소된 통로에 물이 흐르고 있을 때, 두 압력계의 압력이 같게 되기 위한 지름(d)은? (단, 다른 조건은 무시한다.)

    

     1. 20.56 ㎝
     2. 23.55 ㎝
     3. 33.55 ㎝
     4. 55.54 ㎝

     정답 : []
     정답률 : 46%

83. 기체 연료의 폭발 한계를 설명한 것 중 옳지 않은 것은?
     1. 수소, 에탄, 일산화탄소는 비교적 폭발 범위가 넓다.
     2. 폭발 하한보다 낮은 경우는 폭발하지 않는다.
     3. 프로판, 부탄 등은 폭발 범위가 비교적 좁다.
     4. 연료가스의 부피가 공기 부피보다 많으면 폭발한다.

     정답 : []
     정답률 : 39%

84. 동압과 정압을 측정하여 일정점에서의 유속을 측정하는 계기는?
     1. 오리피스
     2. 로우터미터
     3. 벤튜리미터
     4. 피토관

     정답 : []
     정답률 : 56%

85. 적외선 가스분석계로 분석하기가 어려운 가스는?
     1. Ne
     2. H2
     3. CO2
     4. SO2

     정답 : []
     정답률 : 33%

86. 가스 분석에서 가스와 흡수제가 바르게 짝지어진 것은?
     1. CO2 - 발연황산
     2. C2H4 - 33% KOH 용액
     3. CO - 암모니아성 염화 제1구리 용액
     4. O2 - 피롤가롤 산성용액

     정답 : []
     정답률 : 52%

87. 다음은 가스미터 교정 시 고려해야 할 사항들이다. 정밀도 및 정확도에 영향이 적기 때문에 보정절차를 생략할 수 있는 것은?

    

     1. ①, ②
     2. ①, ③
     3. ①, ④
     4. ②, ④

     정답 : []
     정답률 : 47%

88. 루츠 가스미터의 고장에 대하여 설명한 것으로 옳지 않은 것은?
     1. 부동 - 회전자는 회전하고 있으나, 미터의 지침이 움직이지 않는 고장
     2. 떨림 - 회전자 베어링의 마모에 의한 회전자 접촉 등에 의해 일어나는 고장
     3. 기차불량 - 회전자 베어링의 마모에 의한 간격 증대 등에 의해 일어나는 고장
     4. 감도 불량이나 이상음의 발생 등이 일어나는 고장도 있다.

     정답 : []
     정답률 : 47%

89. 두가지 금속의 열 기전력차를 이용하여 온도를 측정하는 온도계는?
     1. 바이메탈 온도계
     2. 열전대 온도계
     3. 방사 온도계
     4. 광 온도계

     정답 : []
     정답률 : 54%
     <문제 해설>
바이메탈 : 열팽창 이용
열전대 : 열기전력 이용.
[해설작성자 : 1]

90. Process controller 의 난이도를 표시하는 값으로 dead time(L)과 time constant(T) 의 비, 즉 L/T 이 사용되는데 이 값이 클 경우에 제어계는 어떠한가?
     1. P 동작 조절기를 사용한다.
     2. PD 동작 조절기를 사용한다.
     3. 제어하기가 쉽다.
     4. 제어하기가 어렵다.

     정답 : []
     정답률 : 31%

91. 가스미터(계량기)의 허용 최대압력 손실은?
     1. 30mm H2O
     2. 40mm H2O
     3. 50mm H2O
     4. 60mm H2O

     정답 : []
     정답률 : 28%

92. 비례적분 제어동작에 대한 설명으로 옳은 것은?
     1. 출력이 제어편차의 시간변화에 비례한다.
     2. 전달 느림이 크면 사이클링의 주기가 커진다.
     3. 가격이 싸고 조절속도가 빠르다.
     4. 진동이 제거되어 빨리 안정된다.

     정답 : []
     정답률 : 29%

93. 다음 중 탄성식 압력계가 아닌 것은?
     1. 부르돈관식
     2. 기준분동식
     3. 다이어프램식
     4. 벨로즈식

     정답 : []
     정답률 : 39%

94. 배관의 모든 조건이 같을 때 지름을 2배로 하면 체적유량은 몇 배가 되는가?
     1. 2배
     2. 4배
     3. 6배
     4. 8배

     정답 : []
     정답률 : 68%

95. 가스미터의 기준미터가 200mL 일 때 사용 중인 가스미터의 최대 허용오차는?
     1. ± 2mL
     2. ± 4mL
     3. ± 5mL
     4. ± 8mL

     정답 : []
     정답률 : 33%

96. 가스미터에 다음과 같이 표기 되어 있다. 이에 대한 설명으로 옳은 것은?

    

     1. 가스미터의 감도유량이 0.5리터이며 사용 최대유량은 시간당 1.5m3 이다.
     2. 가스미터의 감도유량이 0.5리터이며 오차의 최대값은 시간당 1.5m3 이다.
     3. 계량실의 1주기 체적이 0.5리터이며 오차의 최대값은 시간당 1.5m3 이다.
     4. 계량실의 1주기 체적이 0.5리터이며 사용 최대유량은 시간당 1.5m3 이다.

     정답 : []
     정답률 : 48%

97. 방전이온화 검출기(DID)를 지닌 가스크로마토그래프를 사용하여 초 고순도 산소(O2) 중의 미량불순물 (Ar, N2, CH4, H2) 을 분석하고자 한다. 정확한 분석을 위해 도입되어야 할 기법 중 가장 바람직한 것은?
     1. 캐리어가스로 알곤(Ar)을 사용 한다.
     2. 캐리어가스로 질소(N2)를 사용 한다.
     3. 팔라듐 멤브레인으로 된 수소분리 시스템 (Hydrogen Separator)을 사용 한다.
     4. 구리(Cu) 또는 망간(Mn)으로 된 산소트랩 (Oxygen trap)을 사용 한다.

     정답 : []
     정답률 : 43%

98. 도시가스의 열량, 압력, 연소성 측정에 대한 설명으로 옳지 않은 것은?
     1. 열량은 제조소의 배송기 또는 압송기 출구에서 자동 열량측정기로 측정 기록한다.
     2. 압력은 가스홀더의 출구, 정압기의 출구, 가스공급 시설의 끝부분에서 자기압력계로 측정한다.
     3. 연소성은 웨베지수 및 연소속도를 사용하여 측정한다
     4. 가스압력은 330mmH2O 이상 430mmH2O 이내로 유지한다.

     정답 : []
     정답률 : 44%

99. 다음 그림은 어떤 가스미터인가?

    

     1. 건식 가스미터
     2. 습식 가스미터
     3. 루츠미터
     4. 오리피스미터

     정답 : []
     정답률 : 50%

100. 가스크로마토그래피의 장치구성요소에 속하지 않는 것은?
     1. 분리관(칼럼)
     2. 검출기
     3. 광원
     4. 기록계

     정답 : []
     정답률 : 64%


정 답 지

1

2

3

4

5

6

7

8

9

10

11

12

13

14

15

16

17

18

19

20

21

22

23

24

25

26

27

28

29

30

31

32

33

34

35

36

37

38

39

40

41

42

43

44

45

46

47

48

49

50

51

52

53

54

55

56

57

58

59

60

61

62

63

64

65

66

67

68

69

70

71

72

73

74

75

76

77

78

79

80

81

82

83

84

85

86

87

88

89

90

91

92

93

94

95

96

97

98

99

100

가스기사 필기 기출문제(해설) 및 CBT 2003년05월25일을 이용해 주셔서 감사합니다.
, 필기, 기출문제, 전자문제집, CBT, 온라인, 모의테스트, 모의고사



List of Articles
번호 제목 글쓴이 날짜 조회 수
9151 가스기사 필기 기출문제(해설) 및 CBT 2009년03월01일(1997) 좋은아빠되기 2025.11.25 3
9150 가스기사 필기 기출문제(해설) 및 CBT 2008년07월27일(1996) 좋은아빠되기 2025.11.25 1
9149 가스기사 필기 기출문제(해설) 및 CBT 2008년05월11일(1995) 좋은아빠되기 2025.11.25 3
9148 가스기사 필기 기출문제(해설) 및 CBT 2008년03월02일(1994) 좋은아빠되기 2025.11.25 2
9147 가스기사 필기 기출문제(해설) 및 CBT 2007년08월05일(1993) 좋은아빠되기 2025.11.25 4
9146 가스기사 필기 기출문제(해설) 및 CBT 2007년05월13일(1992) 좋은아빠되기 2025.11.25 1
9145 가스기사 필기 기출문제(해설) 및 CBT 2007년03월04일(1991) 좋은아빠되기 2025.11.25 3
9144 가스기사 필기 기출문제(해설) 및 CBT 2006년08월06일(1990) 좋은아빠되기 2025.11.25 2
9143 가스기사 필기 기출문제(해설) 및 CBT 2006년05월14일(1989) 좋은아빠되기 2025.11.25 4
9142 가스기사 필기 기출문제(해설) 및 CBT 2006년03월05일(1988) 좋은아빠되기 2025.11.25 1
9141 가스기사 필기 기출문제(해설) 및 CBT 2004년08월08일(1987) 좋은아빠되기 2025.11.25 3
9140 가스기사 필기 기출문제(해설) 및 CBT 2004년05월23일(1986) 좋은아빠되기 2025.11.25 2
9139 가스기사 필기 기출문제(해설) 및 CBT 2004년03월07일(1985) 좋은아빠되기 2025.11.25 3
9138 가스기사 필기 기출문제(해설) 및 CBT 2003년08월10일(1984) 좋은아빠되기 2025.11.25 1
» 가스기사 필기 기출문제(해설) 및 CBT 2003년05월25일(1983) 좋은아빠되기 2025.11.25 3
9136 가스기사 필기 기출문제(해설) 및 CBT 2003년03월16일(1982) 좋은아빠되기 2025.11.25 2
9135 설비보전기사(구) 필기 기출문제(해설) 및 CBT 2018년09월15일(1981) 좋은아빠되기 2025.11.25 4
9134 설비보전기사(구) 필기 기출문제(해설) 및 CBT 2018년04월28일(1980) 좋은아빠되기 2025.11.25 1
9133 설비보전기사(구) 필기 기출문제(해설) 및 CBT 2017년05월07일(1979) 좋은아빠되기 2025.11.25 3
9132 설비보전기사(구) 필기 기출문제(해설) 및 CBT 2016년10월01일(1978) 좋은아빠되기 2025.11.25 2
Board Pagination Prev 1 ... 394 395 396 397 398 399 400 401 402 403 ... 856 Next
/ 856