자격증 필기 기출문제



수질환경산업기사 필기 기출문제(해설) 및 CBT 2007년08월05일(2044)

최강 자격증 기출문제 전자문제집 CBT : www.comcbt.com


전자문제집 CBT란?

종이 문제집이 아닌 인터넷으로 문제를 풀고 자동으로 채점하며 모의고사, 오답 노트, 해설까지 제공하는
무료 기출문제 학습 프로그램으로 실제 상설검정에서 사용하는 OMR 형식의 CBT를 제공합니다.


최신 수질환경산업기사 필기 기출문제 : [다운로드]

1과목 : 수질오염개론


1. 물의 동점성계수를 가장 알맞게 나타낸 것은?
     1. 전단력τ를 점성계수 μ로 나눈 값이다.
     2. 전단력τ를 밀도 ρ로 나눈 값이다.
     3. 점성계수μ를 전단력τ로 나눈 값이다.
     4. 점성계수μ를 밀도ρ로 나눈 값이다.

     정답 : []
     정답률 : 알수없음

2. Ca(OH)2 800㎎/L 용액의 pH는? (단, Ca(OH)2 완전해리, Ca : 40)
     1. 약 12.1
     2. 약 12.3
     3. 약 12.7
     4. 약 12.9

     정답 : []
     정답률 : 알수없음

3. 수소이온농도가 7.3 × 10-9mol/ℓ 일 때 pH는?
     1. 8.14
     2. 8.34
     3. 8.74
     4. 8.94

     정답 : []
     정답률 : 64%

4. 다음 그림은 일반적인 하천에 유기물질이 배출되었을 때 하천의 수질을 나타낸 것이다. 그림 중 (2)곡선이 나타내는 수질지표로 가장 적절한 것은?

   

     1. DO
     2. BOD
     3. SS
     4. COD

     정답 : []
     정답률 : 알수없음

5. 묽은 질산 30%(W/W%, 비중 = 1.15)20㎖ 중에는 순수한 질산 몇 g이 있는가?
     1. 5.4g
     2. 6.9g
     3. 7.6g
     4. 8.3g

     정답 : []
     정답률 : 알수없음

6. 탈산소계수가 0.1/day의 오염물질의 BOD5가 800mg/L이라면 4일 BOD(mg/L)는? (단, 상용대수 적용)
     1. 653
     2. 685
     3. 704
     4. 732

     정답 : []
     정답률 : 알수없음

7. 자정계수(f)에 관한 다음 설명 중 잘못 된 것은?
     1. 수온이 높아지면 자정계수(f)는 증가한다.
     2. 유속이 빠르고 하상의 구배가 클수록 재폭기계수는 증가한다.
     3. 자정계수(f)는 [재폭기계수/탈산소계수]이다.
     4. 유기물질의 구조가 간단할수록 탈산소계수는 증가한다.

     정답 : []
     정답률 : 알수없음

8. 다음은 물의 특성을 나타내는 값이다. 틀린 것은?
     1. 비점 : 100℃(1기압하)
     2. 비열 : 1.0cal/g℃ (15℃)
     3. 기화열 : 539cal/g(100℃)
     4. 융해열 : 179.4cal/g(0℃)

     정답 : []
     정답률 : 알수없음

9. 글루코스(C6H12O6)를 300mg/ℓ 함유하고 있는 시료용액의 총유기탄소의 이론치는?
     1. 120mg/ℓ
     2. 130mg/ℓ
     3. 140mg/ℓ
     4. 150mg/ℓ

     정답 : []
     정답률 : 알수없음

10. 세균의 수가 ㎖당 1000마리가 검출되었는데 이 물을 염소농도 0.5ppm으로 소독하여 80% 죽이는데 시간이 10분이 소요되었다. 최종 세균수를 50마리까지만 허용한다면 시간이 몇 분 걸리겠는가?
     1. 약 12분
     2. 약 15분
     3. 약 17분
     4. 약 19분

     정답 : []
     정답률 : 알수없음

11. HCHO(Formaldehyde)250mg/L의 이론적 COD값은?
     1. 267mg/L
     2. 287mg/L
     3. 307mg/L
     4. 327mg/L

     정답 : []
     정답률 : 알수없음

12. 화학합성 자가영양 미생물계의 에너지원과 탄소원으로 가장 알맞은 것은?
     1. 빛 , CO2
     2. 무기물의 산화환원반응 , CO2
     3. 빛 , 유기탄소
     4. 유기물의 산화환원반응 , 유기탄소

     정답 : []
     정답률 : 알수없음

13. 유해물질과 그것에 의해 발생되는 건강피해와 연결이 잘못된 것은?
     1. 수은 - 경구염 , 수족의 떨림
     2. 카드뮴 - 골연화증, 이타이이타이병 발생
     3. 유기인 - 칼슘기능저하 , 법랑반점
     4. 비소 - 각화증 , 발암

     정답 : []
     정답률 : 30%

14. 현재의 BOD가 1mg/L이고 유량이 200000m3/day인 하천주변에 양돈단지를 조성하고자 한다. 하천의 환경기준이 BOD 5mg/L이하인 하천에서 환경기준치 이하로 유지시키기 위한 최대 사육돼지의 마리수는? (단, 돼지 사육으로 인한 하천의 유량증가는 무시하고 돼지 1마리당 BOD배출량은 0.2kg/day로 본다.)
     1. 2000마리
     2. 3000마리
     3. 4000마리
     4. 5000마리

     정답 : []
     정답률 : 알수없음

15. 0.04M-NaOH용액의 농도는 몇 mg/ℓ 인가?
     1. 1000
     2. 1200
     3. 1400
     4. 1600

     정답 : []
     정답률 : 알수없음

16. 이상적인 플러그 흐름상태를 나타내는 반응조의 “분산수”로 가장 알맞은 것은?
     1. 무한대일 때
     2. -1일때
     3. 1일때
     4. 0일때

     정답 : []
     정답률 : 알수없음

17. 하천의 수질모델인 DO Sag-ⅠㆍⅡ 에 관한 설명으로 틀린 것은?
     1. 1차원 정상상태 모델이다.
     2. Streeter - Phelps 식을 기본으로 한다.
     3. 점오염원과 비점오염원이 하천에 DO에 미치는 영향을 나타낼 수 있다.
     4. 저질의 영향이나 광합성 작용에 의한 DO반응을 나타낸다.

     정답 : []
     정답률 : 알수없음
     <문제 해설>
저질의 영향이나 광합성작용에 의한 DO 반응을 무시한다.
[해설작성자 : 원종호]

18. 물의 밀도가 가장 큰 값을 나타내는 온도는?
     1. -10℃
     2. 0℃
     3. 4℃
     4. 10℃

     정답 : []
     정답률 : 알수없음

19. 다음은 질소의 환경조건 및 시간 경과에 따른 분해과정을 나타낸 것이다. 빈 곳에 해당되는 적합한 질소의 형태를 바르게 나타낸 것은?

    

     1. ① NH3 ② NO3- ③ NO2-
     2. ① NO3- ② NO2- ③ N2
     3. ① NO2- ② NO3- ③ N2
     4. ① NO2- ②. N2 ③ NO3-

     정답 : []
     정답률 : 47%

20. 자연수 중 지하수의 경도가 높은 이유는 다음 중 주로 어떤 물질의 영향인가?
     1. NH3
     2. O2
     3. Colloid
     4. CO2

     정답 : []
     정답률 : 알수없음

2과목 : 수질오염방지기술


21. 다음의 생물학적 인 및 질소제거 공정 중 질소 제거를 주목적으로 개발한 공법으로 가장 적절한 것은?
     1. 4단계 Bardenpho 공법
     2. A2/O공법
     3. A/O 공법
     4. Phostrip공법

     정답 : []
     정답률 : 46%

22. 호기성 Lagoon의 BOD용적부하는 0.4kgBOD/m3ㆍday이다. Lagoon의 수심을 1.5m로 하면 표면적은? (단, 폐수의 BOD 300mg/L , 폐수량 2000m3/day이다.)
     1. 700m2
     2. 800m2
     3. 900m2
     4. 1000m2

     정답 : []
     정답률 : 알수없음

23. 활성슬러지공법을 이용한 처리장의 2차 침전지에서 일어나는 현상으로 Denitrification과 관계 있는 것은?
     1. Sludge rising 현상
     2. 슬러지 팽화 현상
     3. 생물막 탈리 현상
     4. Pin floc현상

     정답 : []
     정답률 : 알수없음

24. 고도 수처리에 이용되는 분리방법 중 “투석”의 구동력으로 알맞은 것은?
     1. 정수압차(0.1 - 1Bar)
     2. 정수압차(20 - 100Bar)
     3. 전위차
     4. 농도차

     정답 : []
     정답률 : 알수없음

25. 어떤 공장의 폐수처리장 침전지에 유입하는 폐수량이 400m3/d , 폐수의 오염물질 농도(SS)는 500mg/ℓ , 오염물질처리효율이 90%일 때, 이 침전지에서 발생되는 슬러지의 용적은? (단, 슬러지의 비중은 1.0 , 슬러지의 함수율은 97%이며 SS만 고려함(생물학적 분해는 고려하지 않음))
     1. 약 6m3/d
     2. 약 8m3/d
     3. 약 10m3/d
     4. 약 12m3/d

     정답 : []
     정답률 : 37%

26. 하수고도처리에 적용하는 생물학적 인제거 공정인 연속회분식 반응조에 관한 설명으로 틀린 것은?
     1. 설계자료가 제한적이다.
     2. 소유량에 적합하다.
     3. 수리학적 과부하에도 MLSS의 누출이 없다.
     4. 질소, 인 동시 제거시 운전의 유연성이 적다.

     정답 : []
     정답률 : 알수없음

27. 하수소독시 사용되는 이산화염소에 관한 설명으로 틀린 것은?
     1. THMs이 형성되지 않는다.
     2. 염소에 비하여 산화력이 강하다.
     3. 소독력이 pH영향을 크게 받는다.
     4. 일정농도 이상에서는 폭발 위험성이 있다.

     정답 : []
     정답률 : 알수없음

28. 역삼투법으로 하루에 100m3의 3차 처리 유출수를 탈염하기 위해 소요되는 막의 면적은?

    

     1. 221m2
     2. 231m2
     3. 241m2
     4. 251m2

     정답 : []
     정답률 : 46%

29. 다음 중 보통 1차 침전지에서 부유물질의 침전속도가 작게 되는 경우는? (단, stokes법칙적용)
     1. 부유물질 입자의 밀도가 클 경우
     2. 부유물질 입자의 입경이 클 경우
     3. 처리수의 밀도가 작을 경우
     4. 처리수의 점성도가 클 경우

     정답 : []
     정답률 : 알수없음

30. 다음 중 슬러지 처리 공정으로 옳은 것은?
     1. 안정화 → 개량 →농축 → 탈수 → 소각
     2. 농축 → 안정화 → 개량 → 탈수 → 소각
     3. 개량 → 농축 → 안정화 → 탈수 →소각
     4. 탈수 → 개량 → 안정화 → 농축 → 소각

     정답 : []
     정답률 : 37%

31. 활성오니방법으로 처리하는 하수처리장의 유입수의 성상이 BOD 1400ppm, SS 480ppm, 인 50ppm 이고 질소가 10ppm일 때 질소가 부족하여 요소[(NH2)2CO]를 추가 투입하려 한다. 최적 조건을 위한 요소의 추가 투입량(농도)은? (단, BOD : N :P = 100 : 5 : 1 의 조건이 최적이라 가정함)
     1. 약 129mg/L
     2. 약 189mg/L
     3. 약 219mg/L
     4. 약 249mg/L

     정답 : []
     정답률 : 알수없음

32. 생물막을 이용한 처리공법인 접촉산화법에 관한 내용 중 틀린 것은?
     1. 분해속도가 낮은 기질제거에 효과적이다.
     2. 매체에 생성되는 생물량은 부하조건에 의하여 결정된다.
     3. 미생물량과 영향인자를 정상상태로 유지하기 위한 조작이 용이하다.
     4. 슬러지 반송이 필요 없으며 수온의 변동에 강하다.

     정답 : []
     정답률 : 알수없음

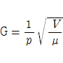
33. 물의 혼합정도를 나타내는 속도경사 G를 구하는 공식은?
     1.
     2.
     3.
     4.

     정답 : []
     정답률 : 알수없음

34. SS가 20000ppm인 분뇨를 전처리에서 15% 그리고 1차 처리에서 70%의 SS를 제거하였을때 1차 처리 후 유출되는 분뇨의 SS농도는?
     1. 7100ppm
     2. 6100ppm
     3. 5100ppm
     4. 4100ppm

     정답 : []
     정답률 : 알수없음

35. 유입수의 BOD5가 180mg/L, 유출수의 BOD5가 10mg/L인 하수가 활성슬러지 공정으로 처리된다. 폭기조 용적이 1000m3이고 MLSS 2000mg/L, 반송슬러지 SS농도는 8000mg/L, 고형물 체류시간은 5일로 운전하고 있다. 방류수의 SS농도는 무시하고 고형물체류시간을 5일로 유지하기 위해 폐기하여야 하는 슬러지양(m3/일)은?
     1. 13
     2. 25
     3. 50
     4. 75

     정답 : []
     정답률 : 알수없음

36. 정수처리시 색도(자연적 원인에 의한 색도)를 제거하기 위한 처리방식과 가장 거리가 먼 것은?
     1. 응집침전처리
     2. 활성탄처리
     3. 이온교환처리
     4. 오존처리

     정답 : []
     정답률 : 알수없음

37. BOD 230mg/ℓ인 폐수가 폭기조 BOD 부하 0.4kg BOD/kg MLSS ㆍ day인 활성 슬러지법으로 6시간 폭기할 때 MLSS농도(mg/ℓ)는?
     1. 2100mg/ℓ
     2. 2200mg/ℓ
     3. 2300mg/ℓ
     4. 2400mg/ℓ

     정답 : []
     정답률 : 알수없음

38. 다음 액체염소의 주입으로 생성된 유리염소 , 결합잔류염소의 살균력이 바르게 나열된 것은?
     1. HOCl > Chloramines > OCl-
     2. HOCl > OCl- > Chloramines
     3. OCl- > Chloramines >HOCl
     4. OCl- >HOCl > Chloramines

     정답 : []
     정답률 : 50%

39. 하수고도처리 공정 중 단일단계 질산화공정(부유성장식)에 관한 설명으로 틀린 것은?
     1. 독성물질에 대한 질산화 저해 방지 가능
     2. BOD와 암모니아성 질소 동시제거 가능
     3. 온도가 낮을 경우에는 반응조 용적이 매우 크게 소요
     4. 운전의 안정성은 미생물 반송을 위한 이차 침전지의 운전에 좌우됨

     정답 : []
     정답률 : 알수없음

40. 혐기성 소화가 호기성 소화에 비해 지닌 장점으로 틀린 것은?
     1. 미생물 성장속도가 빠르다.
     2. 처리 후 슬러지 생성량이 적다.
     3. 동력비가 적게 든다.
     4. 유지관리비가 적게 든다.

     정답 : []
     정답률 : 알수없음

3과목 : 수질오염공정시험방법


41. 순수한 물 150㎖에 에틸알코올(비중 0.79) 80㎖를 혼합하였을 때 이 용액중의 에틸알코올 농도(W/W%)는?
     1. 약 30%
     2. 약 35%
     3. 약 40%
     4. 약 45%

     정답 : []
     정답률 : 알수없음

42. 폴리에틸렌 재질의 채수병을 사용하여 채취할 수 없는 시료는?
     1. 인산염인이 포함된 시료
     2. 유기인이 포함된 시료
     3. 6가크롬이 포함된 시료
     4. 불소가 포함된 시료

     정답 : []
     정답률 : 50%

43. 휘발성 탄화수소의 시료보존 방법으로 가장 적절한 것은?
     1. 인산(1+10)을 1방울/10mL로 가하여 4℃ 냉암소보존
     2. 인산(1+10)을 1방울/100mL로 가하여 4℃ 냉암소보존
     3. 염산(1+5)을 1방울/10mL로 가하여 4℃냉암소보존
     4. 염산(1+5)을 1방울/100mL로 가하여 4℃냉암소보존

     정답 : []
     정답률 : 알수없음

44. 원자흡광 광도계에 사용되는 가장 일반적인 불꽃 조성가스는?
     1. 산소 - 공기
     2. 아세틸렌 - 공기
     3. 프로판 - 산화질소
     4. 아세틸렌 - 질소

     정답 : []
     정답률 : 알수없음

45. 색도측정법(투과율법)에 관한 설명 중 틀린 것은?
     1. 아담스 - 니컬슨의 색도공식을 근거로 한다.
     2. 시료 중 백금- 코발트 표준물질과 아주 다른 색상의 폐하수는 적용할 수 없다.
     3. 색도의 측정은 시각적으로 눈에 보이는 색상에 관계없이 단순 색도차 또는 단일 색도차를 계산한다.
     4. 시료중 부유물질은 제거하여야 한다.

     정답 : []
     정답률 : 84%

46. 공정시험방법상 불소 측정방법으로 가장 적절한 것은?
     1. 흡광광도법 - 가스크로마토그래피법
     2. 흡광광도법 - 원자흡광광도법
     3. 흡광광도법 - 이온전극법
     4. 흡광광도법 - 유도결합플라스마 발광광도법

     정답 : []
     정답률 : 알수없음

47. BOD측정시 시료의 전처리에 관한 내용이다.( )안에 내용으로 맞는 것은?

    

     1. ① pH6.5 ~ 7.5, ② 0.5%
     2. ① pH6.5 ~ 8.5, ② 0.5%
     3. ① pH6.5 ~ 7.5, ② 0.3%
     4. ① pH6.5 ~ 8.5, ② 0.3%

     정답 : []
     정답률 : 34%

48. 총대장균군 측정(최적확수 시험법)에 사용되는 기구 및 장치에 관한 설명으로 틀린 것은?
     1. 배양기의 배양 온도는 35±0.5℃로 유지할 수 있는 것을 사용한다.
     2. 백금이는 고리의 안 지름이 약 3mm인 것을 사용한다.
     3. 페트리접시는 지름 약 9cm, 높이 약 1.5cm의 유리제품이나 1회용 플라스틱 제품으로 멸균된 것을 사용한다.
     4. 다람관은 안지름 3mm , 높이 10mm 정도의 시험관으로 고압증기 멸균 할 수 있어야 한다.

     정답 : []
     정답률 : 알수없음

49. 납(Pb)의 정량방법 중 디티존법에 의한 흡광광도법에 사용되는 시약이 아닌 것은?
     1. 염산히드록실아민용액
     2. 구연산 이암모늄용액
     3. 암모니아수
     4. 시안화칼슘용액

     정답 : []
     정답률 : 알수없음

50. 다음은 구리의 측정원리에 관한 내용이다. ( )안에 알맞은 내용은?

    

     1. 적자색
     2. 청록색
     3. 적갈색
     4. 황갈색

     정답 : []
     정답률 : 37%

51. 다음 중 총질소 분석방법이 아닌 것은?
     1. 흡광광도법
     2. 카드뮴 환원법
     3. 환원 증류 - 킬달법(합산법)
     4. 아스코르빈산환원법

     정답 : []
     정답률 : 알수없음

52. 다음 중 흡광광도법에서 자외부 파장범위에 이용되는 흡수셀의 재질은?
     1. 유리
     2. 석영
     3. 플라스틱
     4. 비닐

     정답 : []
     정답률 : 알수없음

53. 예상 BOD값에 대한 사전경험이 없을때 BOD시험을 위한 시료용액 조제 희석기준에 관한 설명 중 옳지 않은 것은?
     1. 오염된 하천수는 25 ~ 50%의 시료가 함유하도록 희석, 조제한다.
     2. 처리하여 방류된 공장폐수는 5 ~ 25%의 시료가 함유하도록 희석, 조제한다.
     3. 처리하지 않은 공장폐수는 1 ~ 5%의 시료가 함유하도록 희석, 조제한다.
     4. 강한 공장폐수는 0.1 ~ 1.0%의 시료가 함유하도록 희석, 조제한다.

     정답 : []
     정답률 : 알수없음

54. 다음 중 전기전도도와 관계가 가정 먼 용어는?
     1. mho
     2. ohm-1
     3. siemens
     4. Luminance

     정답 : []
     정답률 : 알수없음

55. 가스크로마토그래피법에서 사용되는 검출기 중 인 또는 황화합물을 선택적으로 검출할 수 있는 것으로 가장 알맞은 것은?
     1. 열전도도 검출기(TCD)
     2. 불꽃이온화 검출기(FID)
     3. 전자포획형 검출기(ECD)
     4. 불꽃광도형 검출기(FPD)

     정답 : []
     정답률 : 알수없음

56. 시료의 보존 방법 중 틀린 것은?
     1. 암모니아성 질소 : 황산을 가하여 pH2이하로 만든 후 4℃에서 보관한다.
     2. 시안(잔류염소 없음) : NaOH를 가하여 pH12이상으로 만든 후 4℃에서 보관한다.
     3. 유기인 : 황산을 가하여 pH4이하로 만든후 4℃에서 보관한다.
     4. 6가크롬 : pH조정없이 4℃에서 보관한다.

     정답 : []
     정답률 : 알수없음

57. 공정시험방법상 6가크롬을 측정하는 방법이 아닌 것은?
     1. 원자흡광광도법
     2. 진콘법
     3. 유도결합플라스마 발광광도법
     4. 디페닐가크바지드법

     정답 : []
     정답률 : 알수없음

58. 취급 또는 저장하는 동안에 기체 또는 미생물이 침입하지 아니하도록 내용물을 보호하는 용기는?
     1. 차광용기
     2. 밀봉용기
     3. 기밀용기
     4. 밀폐용기

     정답 : []
     정답률 : 알수없음

59. 흡광광도법에서 흡광도 값이 1이란 무엇을 의미하는가?
     1. 입사광의 1%의 빛이 액층에 의해 흡수된다.
     2. 입사광의 10%의 빛이 액층에 의해 흡수된다.
     3. 입사광의 90%의 빛이 액층에 의해 흡수된다.
     4. 입사광의 100%의 빛이 액층에 의해 흡수된다.

     정답 : []
     정답률 : 알수없음

60. 유량 측정시 적용되는 위어의 위어판에 관한 기준으로 알맞은 것은?
     1. 위어판 안측의 가장자리는 곡선이어야 한다.
     2. 위어판은 수로의 장축(長軸)에 직각이거나 또는 수직으로 하여 말단의 바깥틀에 누수가 없도록 고정한다.
     3. 직각 3각 위어판의 유량측정공식은 Q = Kㆍbㆍh3/2이다.(K:유량계수, b:수로폭, h:수두)
     4. 위어판의 재료는 10mm 이상의 두께를 갖는 내구성이 강한 철판으로 하여야 한다.

     정답 : []
     정답률 : 알수없음

61. 수질 및 수생태계 보전에 관한 법률 상 환경기술인의 교육을 받게 하지 아니한 자에 대한 과태료 처분기준은?
     1. 과태료 300만원 이하
     2. 과태료 200만원 이하
     3. 과태료 100만원 이하
     4. 과태료 50만원 이하

     정답 : []
     정답률 : 알수없음

62. 시장, 군수, 구청장이 호소에 낚시금지구역 또는 낚시제한구역을 지정하고자 하는 경우에 고려할 사항과 가장 거리가 먼 것은?
     1. 서식 어류의 종류 , 양 등 수중생태계 현황
     2. 낚시터 인근에서의 쓰레기 발생현황 및 처리여건
     3. 수질오염도
     4. 계절별 낚시인구 현황

     정답 : []
     정답률 : 20%

63. 다음은 폐수처리업자의 준수사항에 관한 내용이다. ( )안에 알맞은 내용은?

    

     1. ① 월별로, ② 다음월이 시작 후 10일 이내에
     2. ① 분기별로, ② 다음분기의 시작 후 10일 이내에
     3. ① 반기별로, ② 다음반기의 시작 후 10일 이내에
     4. ① 년도별로, ② 다음년의 시작후 10일 이내에

     정답 : []
     정답률 : 알수없음

64. 수질환경보전법에 사용되는 용어의 정의로 틀린 것은?
     1. 강우 유출수 : 비점오염원의 수질오염물질이 섞여 유출되는 빗물 또는 눈녹은 물 등을 말한다.
     2. 불투수층 : 빗물 또는 눈 녹은 물 등이 지하로 스며들 수 없게 하는 아스팔트 , 콘크리트 등으로 포장된 도로, 주차장, 보도 등을 말한다.
     3. 기타수질오염원 : 점오염원으로 관리 되지 않는 수질오염물질을 배출하는 오염원으로 대통령령이 정하는 것을 말한다.
     4. 수질오염방지시설 : 점오염원, 비점오염원 및 기타 수질 오염원으로부터 배출되는 수질오염물질을 제거하거나 감소하게 하는 시설로서 환경부령으로 정하는 것을 말한다.

     정답 : []
     정답률 : 알수없음

65. 폐수처리업 중 폐수재이용업의 영업내용으로 가장 알맞은 것은?
     1. 수탁한 폐수를 제품의 원료, 재료 등으로 재생ㆍ이용하는 영업
     2. 수탁한 폐수를 처리하여 재활용 가능하도록 하는 영업
     3. 폐수처리시설을 갖추고 수탁한 폐수를 처리하여 재생하는 영업
     4. 폐수처리시설을 갖추고 수탁한 폐수를 처리하여 재이용하는 영업

     정답 : []
     정답률 : 알수없음

66. 위임업무보고사항 중 배출부과금 부과실적 보고 횟수로 적절한 것은?
     1. 연 2회
     2. 연 4회
     3. 연 6회
     4. 연 12회

     정답 : []
     정답률 : 알수없음
     <문제 해설>
배출부과금 부과실적은 연 4회보고이며
헷갈릴 수 있는 과징금부과실적, 배출부과금 징수실적 및 체납처분 현황은 연 2회이다.
[해설작성자 : 히구리]

67. 폐수종말처리시설의 관리, 운영자가 처리시설의 적정운영여부를 확인하기 위하여 실시하여야 하는 방류수수질의 검사 주기로 적절한 것은? (단, 처리시설은 2000m3/일 미만)
     1. 매분기 1회 이상
     2. 매분기 2회 이상
     3. 월 2회 이상
     4. 월 1회 이상

     정답 : []
     정답률 : 알수없음

68. 기술요원 및 환경기술인 교육과정의 기간 기준은?
     1. 3일 이내
     2. 5일 이내
     3. 7일 이내
     4. 10일 이내

     정답 : []
     정답률 : 알수없음

69. 수질 및 수생태계 환경기준으로 하천에서 사람의 건강보호 기준이 다른 수질오염물질은?
     1.
     2. 6가크롬
     3. 비소
     4. 카드뮴

     정답 : []
     정답률 : 알수없음

70. 폐수 재이용업 등록기준에 관한 내용 중 알맞지 않는 것은?
     1. 기술능력 : 수질환경산업기사 1인 이상
     2. 폐수운반차량 : 청색으로 도장하며 흰색바탕에 녹색글씨로 회사명 등을 표시한다.
     3. 저장시설 : 원폐수 및 재이용후 발생되는 폐수의 저장시설은 각각 폐수 재이용시설능력의 2배 이상을 저장할 수 있어야 한다.
     4. 운반장비 : 폐수운반장비는 용량2m3이상의 탱크로리, 1m3이상의 합성수지제 용기가 고정된 차량, 20L이상의 합성수지제용기(유가품인 경우에 한한다)이어야 한다.

     정답 : []
     정답률 : 알수없음

71. 다음 중 수질환경보전법에서 정의하는 공공수역이 아닌 것은?
     1. 지하수로
     2. 연안해역
     3. 농업용수로
     4. 상수관거

     정답 : []
     정답률 : 알수없음

72. 다음의 오염물질 중 특정수질유해물질에 해당되지 않는 것은?
     1. 구리 및 그 화합물
     2. 테트라클로로에틸렌
     3. 불소화합물
     4. 트리클로로에틸렌

     정답 : []
     정답률 : 알수없음

73. 수질오염방지시설 중 화학적 처리시설에 해당되는 것은?
     1. 흡착시설
     2. 폭기시설
     3. 접촉조
     4. 응집시설

     정답 : []
     정답률 : 알수없음

74. 대권역 수질 및 수생태계보전계획에 포함되어야 할 사항과 가장 거리가 먼 것은?
     1. 수질오염 예방 및 저감대책
     2. 점오염원, 비점오염원 및 기타 수질오염원에 의한 수질오염물질 발생량
     3. 하수도관망 분포 및 계획
     4. 수질 및 수생태계 변화 추이 및 목표수질

     정답 : []
     정답률 : 알수없음

75. 수질오염경보단계가 조류대발생경보시 유역,지방환경청장 (시도지사)가 조치하여야 할 사항과 가장 거리가 먼 것은?
     1. 주변오염원에 대한 지속적인 단속강화
     2. 어패류어획 , 식용 및 가축방목의 금지
     3. 취,정수장 정수처리 강화지시
     4. 조류대발생경보의 발령 및 대중매체 통한 홍보

     정답 : []
     정답률 : 알수없음

76. 골프장 안의 잔디 및 수목등에 맹, 고독성 농약을 사용한자에 대한 벌칙기준으로 적절한 것은?
     1. 100만원 이하의 과태료
     2. 1천만원 이하의 과태료
     3. 1년이하의 징역 또는 500만원이하의 벌금
     4. 3년이하의 징역또는 1500만원이하의 벌금

     정답 : []
     정답률 : 알수없음

77. 수질 및 수생태계 환경기준 중 하천의 등급이 “약간나쁨”의 생활환경기준으로 틀린 것은?
     1. 수소이온농도(pH) : 6.0 ~8.5
     2. 생물화학적산소요구량(mg/L) : 8이하
     3. 화학적산소요구량 (mg/L) : 20이하
     4. 부유물질량(mg/L) : 100이하

     정답 : []
     정답률 : 알수없음

78. 1일 폐수배출량이 500m3인 사업장의 종별 규모는?
     1. 1종 사업장
     2. 2종 사업장
     3. 3종 사업장
     4. 4종 사업장

     정답 : []
     정답률 : 알수없음

79. 다음은 배출시설 설치제한 지역에 관한 내용이다.( )안에 알맞은 내용은?

    

     1. 25km
     2. 20km
     3. 15km
     4. 10km

     정답 : []
     정답률 : 59%

80. 폐수처리업자가 등록변경사유에 해당 되는 사항을 변경한 때에는 변경한 날로부터 며칠 이내에 변경등록신청서와 그 관련 서류를 첨부하여 시도지사에게 제출하여야 하는가?
     1. 5일
     2. 10일
     3. 15일
     4. 30일

     정답 : []
     정답률 : 알수없음


정 답 지

1

2

3

4

5

6

7

8

9

10

11

12

13

14

15

16

17

18

19

20

21

22

23

24

25

26

27

28

29

30

31

32

33

34

35

36

37

38

39

40

41

42

43

44

45

46

47

48

49

50

51

52

53

54

55

56

57

58

59

60

61

62

63

64

65

66

67

68

69

70

71

72

73

74

75

76

77

78

79

80

수질환경산업기사 필기 기출문제(해설) 및 CBT 2007년08월05일을 이용해 주셔서 감사합니다.
, 필기, 기출문제, 전자문제집, CBT, 온라인, 모의테스트, 모의고사



List of Articles
번호 제목 글쓴이 날짜 조회 수
9215 수질환경산업기사 필기 기출문제(해설) 및 CBT 2013년08월18일(2061) 좋은아빠되기 2025.11.25 3
9214 수질환경산업기사 필기 기출문제(해설) 및 CBT 2013년06월02일(2060) 좋은아빠되기 2025.11.25 1
9213 수질환경산업기사 필기 기출문제(해설) 및 CBT 2013년03월10일(2059) 좋은아빠되기 2025.11.25 3
9212 수질환경산업기사 필기 기출문제(해설) 및 CBT 2012년08월26일(2058) 좋은아빠되기 2025.11.25 3
9211 수질환경산업기사 필기 기출문제(해설) 및 CBT 2012년05월20일(2057) 좋은아빠되기 2025.11.25 3
9210 수질환경산업기사 필기 기출문제(해설) 및 CBT 2012년03월04일(2056) 좋은아빠되기 2025.11.25 1
9209 수질환경산업기사 필기 기출문제(해설) 및 CBT 2011년08월21일(2055) 좋은아빠되기 2025.11.25 3
9208 수질환경산업기사 필기 기출문제(해설) 및 CBT 2011년06월12일(2054) 좋은아빠되기 2025.11.25 2
9207 수질환경산업기사 필기 기출문제(해설) 및 CBT 2011년03월20일(2053) 좋은아빠되기 2025.11.25 4
9206 수질환경산업기사 필기 기출문제(해설) 및 CBT 2010년07월25일(2052) 좋은아빠되기 2025.11.25 1
9205 수질환경산업기사 필기 기출문제(해설) 및 CBT 2010년05월09일(2051) 좋은아빠되기 2025.11.25 3
9204 수질환경산업기사 필기 기출문제(해설) 및 CBT 2009년07월26일(2050) 좋은아빠되기 2025.11.25 2
9203 수질환경산업기사 필기 기출문제(해설) 및 CBT 2009년05월10일(2049) 좋은아빠되기 2025.11.25 3
9202 수질환경산업기사 필기 기출문제(해설) 및 CBT 2009년03월01일(2048) 좋은아빠되기 2025.11.25 1
9201 수질환경산업기사 필기 기출문제(해설) 및 CBT 2008년07월27일(2047) 좋은아빠되기 2025.11.25 3
9200 수질환경산업기사 필기 기출문제(해설) 및 CBT 2008년05월11일(2046) 좋은아빠되기 2025.11.25 2
9199 수질환경산업기사 필기 기출문제(해설) 및 CBT 2008년03월02일(2045) 좋은아빠되기 2025.11.25 3
» 수질환경산업기사 필기 기출문제(해설) 및 CBT 2007년08월05일(2044) 좋은아빠되기 2025.11.25 1
9197 수질환경산업기사 필기 기출문제(해설) 및 CBT 2007년05월13일(2043) 좋은아빠되기 2025.11.25 3
9196 수질환경산업기사 필기 기출문제(해설) 및 CBT 2007년03월04일(2042) 좋은아빠되기 2025.11.25 2
Board Pagination Prev 1 ... 394 395 396 397 398 399 400 401 402 403 ... 859 Next
/ 859