자격증 필기 기출문제



건축설비기사 필기 기출문제(해설) 및 CBT 2004년09월05일(2429)

최강 자격증 기출문제 전자문제집 CBT : www.comcbt.com


전자문제집 CBT란?

종이 문제집이 아닌 인터넷으로 문제를 풀고 자동으로 채점하며 모의고사, 오답 노트, 해설까지 제공하는
무료 기출문제 학습 프로그램으로 실제 상설검정에서 사용하는 OMR 형식의 CBT를 제공합니다.


최신 건축설비기사 필기 기출문제 : [다운로드]

1과목 : 건축일반


1. 벽돌벽에 관한 설명으로 알맞지 않는 것은?
     1. 각 층의 대린벽으로 구획된 벽에서는 문꼴의 나비의 합계는 그 벽길이의 1/2이하로 한다.
     2. 벽길이는 20m 이상일 때는 부축벽으로 보강한다.
     3. 내력벽으로 둘러싸인 부분의 바닥 면적은 80m2를 초과할 수 없다.
     4. 테두리보의 춤은 벽두께의 1.5배 이상으로 한다.

     정답 : []
     정답률 : 37%

2. 음의 잔향시간에 관한 설명 중 적당치 않은 것은?
     1. 실내 벽면의 흡음율이 높으면 잔향시간은 짧아진다.
     2. 잔향시간이 짧으면 짧을수록 실내 음향 환경에는 유리하다.
     3. 잔향시간은 실의 용적이 클수록 길어진다.
     4. 실내의 음향적 성상 즉, 음환경을 나타내는 중요한 요소이다.

     정답 : []
     정답률 : 62%

3. 열환경 지표 중 기온과 주벽의 복사열 및 기류의 영향을 조합시킨 지표로서, 습도의 영향이 고려되어 있지 않은 것은?
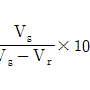
     1. 작용온도
     2. 등온지수
     3. 유효온도
     4. 합성온도

     정답 : []
     정답률 : 50%

4. 주택의 욕실계획으로 잘못된 것은?
     1. 출입문은 거실쪽으로 열리게 한다.
     2. 거실과 침실에서 멀지 않게 한다.
     3. 천장은 약간 경사지게 하는 것이 좋다.
     4. 욕실을 구성하는 주요한 요소는 욕조와 씻는 곳, 샤워 및 탈의 공간이다.

     정답 : []
     정답률 : 73%

5. 부동침하의 원인으로 부적당한 것은?
     1. 건물이 이질지층에 있을때
     2. 지하수위가 부분적으로 변할때
     3. 지하실을 설치했을때
     4. 부분적으로 증축했을때

     정답 : []
     정답률 : 79%

6. 공동주택의 각 평면형식에 대한 설명 중 옳지 않은 것은?
     1. 중복도형은 도시지역 독신자 아파트에 유리하다.
     2. 집중형은 채광, 통풍조건이 좋기 때문에 저밀도의 주거단지에 이용된다.
     3. 편복도형은 복도가 개방형이므로 각호의 통풍 및 채광이 양호하다.
     4. 계단실형은 각 호의 독립성이 양호하다.

     정답 : []
     정답률 : 74%

7. 보강콘크리트블록조에 관한 기술로 틀린 것은?
     1. 막힌 줄눈은 피하고 통줄눈으로 한다.
     2. 내력벽의 벽량은 15cm/m2 이상으로 한다.
     3. 벽체에 철근이 충분할 경우에는 테두리보를 설치할 필요가 없다.
     4. 보강철근은 굵은 것을 조금 넣는 것보다 가는 것을 많이 넣는 것이 좋다.

     정답 : []
     정답률 : 55%

8. 사무소의 엘리베이터에 대한 기술 중 틀린 것은?
     1. 특별한 이유가 없으면 1개소에 집중한다.
     2. 외래자에게 직접 잘 알려질 수 있는 위치에 배치한다
     3. 엘리베이터 홀의 최소 면적은 1인당 1.2m2 정도로 한다.
     4. 엘리베이터의 배열은 단거리 보행으로 모든 엘리베이터에 접근할 수 있도록 한다.

     정답 : []
     정답률 : 62%

9. 종합병원의 병실계획에 대한 설명으로 옳지 않은 것은?
     1. 병실의 출입문의 폭은 침대가 통과할 수 있는 폭이어야 한다.
     2. 환자가 직사광선을 피할 수 있도록 실 중앙에는 전등을 달지 않는 것이 좋다.
     3. 병실의 창문 높이는 1.5m 이하로 하여 환자가 병상에서 외부를 전망할 수 있게 하는 것이 좋다.
     4. 환자마다 손이 닫는 위치에 간호사 호출용 벨을 설치한다.

     정답 : []
     정답률 : 59%
     <문제 해설>
병실의 창문 높이는 90센티 이하로 하여 환자가 병상에서 외부를 전망할 수 있도록 한다.
[해설작성자 : 그날까지]

10. 목조계단 구조에 관한 설명 중 틀린 것은?
     1. 계단의 디딤널의 양옆에서 지지하는 경사진 재를 계단옆판이라 한다.
     2. 계단멍에는 계단나비 3m 이상일때 챌판 중간부를 받치기 위하여 설치한 것으로 보통 1.5m 간격으로 배치한다.
     3. 디딤판의 두께는 보통 3~4㎝의 널판을 사용한다.
     4. 챌판은 상하 디딤널에 홈파끼우고, 양마구리는 옆판에 홈파넣기 또는 통넣기로 한다.

     정답 : []
     정답률 : 50%

11. 도서관 출납 시스템에 대한 설명 중 옳지 않은 것은?
     1. 자유 개가식은 책이 상하기 쉽고, 배가 순서가 뒤바뀌기 쉽다.
     2. 폐가식은 열람자 자신이 서가에서 자료를 꺼내서 관원의 확인을 받아 대출기록을 제출하는 방식이다.
     3. 자유 개가식은 대출 수속이 간편하며 소규모, 아동열람에 편리하다.
     4. 폐가식은 수속이 번거롭고, 책의 내용을 알고 청구해야 한다.

     정답 : []
     정답률 : 78%

12. 병동부의 간호단위에 대한 설명 중 틀린 것은?
     1. 간호사의 보행거리는 24m 이내가 되도록 한다.
     2. 각 간호단위마다 방문객 대기실, 진료실, 간호사 대기소 등을 설치한다.
     3. 1개의 간호사 대기소에서 관리할 수 있는 병상수는 30∼40개 이하로 한다.
     4. 병실의 종류는 1인실, 2인실, 4인실, 6인실 등을 적절히 배분한다.

     정답 : []
     정답률 : 52%

13. 철근콘크리트 구조에서 보의 스터럽(stirrup)에 대한 설명 중 옳지 않은 것은?
     1. 스터럽은 사인장력 및 전단력에 의한 균열을 방지하기 위해 배치한다.
     2. 굽힘철근의 유무에 관계없이 전단력의 분포에 따라 배치한다.
     3. 단순보에서 스터럽은 양단부에 촘촘히 넣고 중앙부에선 넓혀서 배치할 수 있다.
     4. 부재축에 직각으로 설치되는 스터럽의 간격은 보 춤의 2배 이하로 한다.

     정답 : []
     정답률 : 46%

14. 백화점 건축의 에스켈레이터에 관한 기술로서 알맞지 않은 것은?
     1. 엘리베이터보다 수송량이 크다.
     2. 엘리베이터보다 설비비가 낮고, 소요면적도 작다.
     3. 고객시야가 좋고, 고객을 기다리게 하지 않는다.
     4. 설치시 층 높이에 대한 고려가 필요하다.

     정답 : []
     정답률 : 88%

15. 대형체육관의 지붕 구조로 가장 부적당한 것은?
     1. 셸 구조
     2. 절판 구조
     3. 현수 구조
     4. 조적 구조

     정답 : []
     정답률 : 65%

16. 벽체의 표면결로방지 대책으로 맞는 것은?
     1. 난방에 의한 수증기 발생을 제한한다.
     2. 실내의 습도를 높인다.
     3. 실내의 환기회수를 줄인다.
     4. 벽체의 표면온도를 실내 공기의 노점온도보다 낮게 한다.

     정답 : []
     정답률 : 58%

17. 상점의 진열장에 관한 설명 중 옳지 않은 것은?
     1. 진열장의 크기는 상점의 종류와는 관계가 없다.
     2. 진열장의 바닥높이는 상품의 종류에 따라 다르다.
     3. 진열장이 벽면으로 인해 상점내부와 차단될 때에는 진열장에 외기가 통하도록 하여 진열장 유리의 흐림을 방지한다.
     4. 진열장 내부의 밝기를 인공적으로 높게 함으로써 진열장의 반사를 방지할 수 있다.

     정답 : []
     정답률 : 74%

18. 잔향시간은 실내에 일정한 세기의 음을 공급하여 정상상태가 된 후, 음원을 정지시킨 후 실내의 평균에너지 밀도가 처음 값에서 얼마 감쇠하는데 소요되는 시간으로 규정 되는가?
     1. 40dB
     2. 50dB
     3. 60dB
     4. 70dB

     정답 : []
     정답률 : 73%

19. 다음 철골보에 관한 설명 중 틀린 것은?
     1. 격자보는 I형강을 절단하여 구멍이 나게 맞추어 용접한 보로서 구멍은 각 층의 배관에 이용된다.
     2. 래티스보에 접합판을 대서 접합한 보를 트러스보라 한다.
     3. 판보는 웨브에 철판을 쓰고 상하부에 플랜지철판을 용접하거나 ㄱ자형강을 리벳접합한 것이다.
     4. 형강보는 주로 I형강 또는 H형강이 많이 쓰인다.

     정답 : []
     정답률 : 28%

20. 반자에 대한 설명으로 옳은 것은?
     1. 제물반자는 주로 나무구조 또는 철구조에 쓰이고, 상층바닥틀 또는 지붕틀에 달아맨 반자이다.
     2. 주택 거실의 반자는 그 높이를 2.1m 이상으로 하여야한다.
     3. 반자틀은 보통 45cm 간격으로 수평으로 건너대고 여기에 직각으로 댄 반자틀받이에 못박아댄 것으로, 달대라고도 한다.
     4. 구성반자에는 널반자, 넓은판반자, 종이반자가 있다.

     정답 : []
     정답률 : 36%

2과목 : 위생설비


21. 다음 중 일반배수관내의 최소 유속은?
     1. 0.5m/s
     2. 0.6m/s
     3. 0.7m/s
     4. 1.0m/s

     정답 : []
     정답률 : 43%
     <문제 해설>
최소 유속 : 0.6m/s
한계 유속 : 1.5m/s
기울기는 관경(mm)의 역수를 취한다.
[해설작성자 : 강비무]

22. 통기배관에 관한 설명 중 옳지 못한 것은?
     1. 통기입관의 하부는 관경을 축소하지 않고 최저위의 배수횡지관보다 저위치에서 배수입관이나 배수횡주관에 접속하도록 한다.
     2. 통기관 말단의 개구부가 동결에 의해서 패쇄될 염려가 있는 경우는 개구부의 관경을 50mm 이상으로 해야한다.
     3. 통기관은 오수의 유입으로 통기가 방해되지 않도록해야 한다.
     4. 통기관 말단은 건물의 돌출부 하부에 개구해서는 안된다.

     정답 : []
     정답률 : 29%

23. 터어빈 펌프의 회전수 N을 N'로 바꿀 때 양수량 등에 비례법칙이 성립한다, 아래의 식에서 옳지 않은 것은? (단, 회전수 N일 때, 양수량:Q, 양정:H, 축동력:L, 유속 :V, N'일 때는 각각 Q', H', L', V'이다.)
     1.
     2.
     3.
     4.

     정답 : []
     정답률 : 48%

24. 다음 각 소화설비의 방수압력에 대한 설명 중 옳지 않은 것은?
     1. 옥내소화전 설비는 어느 층에 있어서나 층의 모든 옥내소화전을 동시에 사용하는 경우에는 각 노즐 선단 의 방수압력이 1.7kg/cm2 이상이어야 한다.
     2. 드렌처 설비는 모든 드렌처 헤드를 동시에 사용할 경우 각 헤드 선단의 방수압력이 1kg/cm2 이상이어야 한다.
     3. 스프링클러 설비는 스프링클러 헤드를 동시에 사용할 경우에 각 헤드 선단의 방수압력이 1kg/cm2 이상이어야 한다.
     4. 옥외소화전 설비는 2개의 옥외소화전을 동시에 사용하는 경우에 각 노즐 선단의 방수압력이 1.5kg/cm2 이상이어야 한다.

     정답 : []
     정답률 : 55%
     <문제 해설>
옥외소화전의 방수압 : 0.25MPa(2.5kg/cm2)
옥외소화전의 방수량 : 350L/min

옥내소화전의 방수압 : 0.17MPa(1.7kg/cm2)
옥내소화전의 방수량 : 130L/min
[해설작성자 : 강비무]

25. 어떤 정화조에서 유입수의 BOD가 150(mg/L), 유출수의 BOD가 60(mg/L)일 때 이 정화조의 BOD 제거율은?
     1. 60%
     2. 90%
     3. 75%
     4. 40%

     정답 : []
     정답률 : 62%

26. 급수배관 내에 공기실(Air chamber)을 설치하는 주된 이유는?
     1. 급수관의 흐름을 원활히 하기 위해
     2. 수압시험을 하기 위해
     3. 수격작용을 방지하기 위해
     4. 통기관의 연결을 위해

     정답 : []
     정답률 : 77%
     <문제 해설>
수격작용의 원인 : 밸브의 급격한 개폐
수격작용의 방지 : 공기실(에어 챔버)을 설치

역류방지기(버큠 브레이커) : 세정밸브식 대변기에서 토수된 물이 역사이펀 작용에 의해 상수계통으로 역류하는 것을 방지.
[해설작성자 : 강비무]

27. 다음의 소화설비에 관한 설명 중 옳지 않은 것은?
     1. 드렌처(drencher) 설비란 인접건물로부터의 연소방지를 주목적으로 한다.
     2. 연결송수관 전체를 소방대 전용전 또는 사이어미즈 커넥션(Siamese Connection)이라 한다.
     3. 물분무소화설비는 유류와 전기화재의 소화에는 유효하지 않다.
     4. 이산화탄소 소화설비는 산소공급의 차단에 의한 질식소화를 주로 하는 소화설비이다.

     정답 : []
     정답률 : 50%

28. 그림에서 팽창관의 입상높이 h는 몇 m 인가? (단, 급탕 및 급수온도는 각각 80℃, 6℃이며, 이때의 물의 밀도는 각각 0.9718 kg/L, 0.99997 kg/L이다. 또한 H는 30 m 이다.)

    

     1. 0.85
     2. 0.87
     3. 0.90
     4. 0.93

     정답 : []
     정답률 : 41%
     <문제 해설>
팽창관의 입상높이 = 30*(1/0.9718 - 1/0.99997)
                                    = 0.869
                                    = 0.87
[해설작성자 : 강비무]

29. 트랩에 관한 설명으로 옳지 않은 것은?
     1. 배수계통 중 일부분에 물을 저수함으로써 물은 자유롭게 유통시키지만, 공기나 가스는 유통하지 못하게 하는 기구이다.
     2. P트랩, S트랩, U트랩은 관트랩의 일종으로 자정작용이 있지만, 봉수가 파괴되기 쉬운 결점이 있다.
     3. 가솔린 트랩은 레스토랑 주방의 배수 중에 합류되어 있는 지방분을 트랩 내에서 응결시켜 이것을 제거하고, 지방분이 배수중에 유입하는 것을 막기위한 것이다.
     4. 자기사이펀 작용, 유도사이펀 작용, 모세관 현상, 증발작용 등은 모두 트랩의 봉수파괴원인에 해당한다.

     정답 : []
     정답률 : 65%
     <문제 해설>
3번 설명은 그리스트랩
[해설작성자 : comcbt.com 이용자]

30. 배관의 신축이음쇠에 대한 설명으로 옳은 것은?
     1. 스위블형 : 2개 이상의 엘보를 조합한 것으로 굴곡부의 압력강하가 크고 신축량이 큰 배관에 주로 사용된다.
     2. 슬리브형 : 관의 신축을 슬리브의 변형으로 흡수하도록 한 것으로서 곡선배관부위에도 사용이 가능하다.
     3. 벨로즈형 : 신축량이 큰 장점이 있으나 설치장소를 많이 차지하며 누설우려가 있다.
     4. 루프형 : 관의 구부림과 관자체의 가요성을 이용해서 배관의 신축을 흡수한다.

     정답 : []
     정답률 : 52%

31. 다음의 가스배관에 관한 설명 중 옳은 것은?
     1. 건물 구조체의 팽창이음부에는 배관해서는 안된다.
     2. 건물내부의 가스배관은 매설하고, 외부의 배관은 노출시켜야 한다.
     3. 건축물의 주요구조부를 관통하도록 한다.
     4. 분기관에 밸브 또는 콕을 설치해서는 안된다.

     정답 : []
     정답률 : 53%

32. 직경 200mm의 강관에 매분 2400L의 물을 보내면 강관내를 흐르는 물의 속도는?
     1. 0.86m/sec
     2. 1.27m/sec
     3. 3.80m/sec
     4. 5.43m/sec

     정답 : []
     정답률 : 66%

33. 세정밸브식(Flush Valve) 대변기에 대한 설명으로 틀린 것은?
     1. 낮은 수압(0.3kg/cm2 이하)에서도 사용이 가능하다.
     2. 세정시의 소음이 크다.
     3. 세정용 탱크가 필요 없다.
     4. 역류방지기(Vacuum Breaker)가 필요하다.

     정답 : []
     정답률 : 72%
     <문제 해설>
수압 0.7kg/cm 이상
[해설작성자 : comcbt.com 이용자]

34. 급탕배관에서 안전을 위해 설치하는 팽창관 및 팽창탱크에 관한 설명으로 틀린 것은?
     1. 팽창관 도중에는 밸브를 설치하지 않는다.
     2. 가열장치의 과도한 수온 상승을 방지하기 위해 설치한다.
     3. 개방식 팽창탱크는 팽창수량을 간접적으로 받는 용기로서 일반적으로 보급수탱크를 겸하고 있다.
     4. 팽창탱크는 대기에 개방한 개방형 팽창탱크와 개방하지 않은 밀폐형 팽창탱크가 있다.

     정답 : []
     정답률 : 46%
     <문제 해설>
팽창관 : 압력상승을 도피시키기 위하여 가열장치와 팽창탱크 사이를 연결하는 관으로 팽창관 도중에는 밸브를 설치하면 안된다.

서모스탯 : 가열장치의 과도한 수온 상승을 방지.
[해설작성자 : 강비무]

35. 위생설비 유니트화의 장점이 아닌 것은?
     1. 시공의 균질화
     2. 공기의 단축
     3. 공정의 단순화
     4. 현장작업 스페이스의 증가

     정답 : []
     정답률 : 60%

36. 다음 급수방식 중 위생성 및 유지, 관리 측면에서 가장 바람직하며 일반적으로 비교적 소규모의 건물에 사용되는 방식은?
     1. 수도직결 방식
     2. 고가탱크 방식
     3. 압력탱크 방식
     4. 세퍼레이트 방식

     정답 : []
     정답률 : 71%

37. 10℃의 냉수 100㎏에 70℃의 탕 100㎏을 혼합하면 혼합수의 온도는 몇 ℃인가?
     1. 36℃
     2. 38℃
     3. 40℃
     4. 42℃

     정답 : []
     정답률 : 73%
     <문제 해설>
(10*100)+(70*100)/(100+100)=40
[해설작성자 : ghll6364]

38. 통기방식에 대한 설명 중 옳지 않은 것은?
     1. 각개통기방식은 트랩마다 통기되기 때문에 가장 안정도가 높은 방식으로서 자기사이폰 작용의 방지에도 효과가 있다.
     2. 소벤트 시스템, 섹스티아 시스템은 신정통기방식을 변형한 것이다.
     3. 신정통기방식을 세분하면 환상통기방식과 회로통기방식이 있다.
     4. 루프통기방식은 2개 이상의 기구트랩에 공통으로 하나의 통기관을 설치하는 방식이다.

     정답 : []
     정답률 : 53%
     <문제 해설>
루프통기방식은 환상통기방식과 회로통기방식 등이 있다.
[해설작성자 : 강비무]

39. 급수설비에서 동시사용유량 산정시 관계가 없는 것은?
     1. Hunter 곡선
     2. 기구급수부하단위
     3. 설치된 위생기구수
     4. 관균등표

     정답 : []
     정답률 : 48%
     <문제 해설>
관균등표는 급수관의 관경 결정방법에 이용됩니다.
급수관의 관경 결정방법 : 관균등표, 유량(마찰저항)선도, 기구급수부하단위, 동시사용량의 계산, 허용마찰손실수두
[해설작성자 : 강비무]

40. 물의 경도에 대한 설명 중 옳지 않은 것은?
     1. 경도가 큰 물을 경수, 경도가 낮은 물을 연수라고 한다.
     2. 연수는 쉽게 비누거품을 일으키지만 음료용으로는 적합하지 않다.
     3. 경수를 보일러 용수로 사용하면 관내부에 스케일이 생겨 전열효율이 감소된다.
     4. 물의 경도는 물 속에 녹아있는 칼슘, 마그네슘 등의 염류의 양을 탄산마그네슘의 농도로 환산하여 나타낸 것이다.

     정답 : []
     정답률 : 63%

3과목 : 공기조화설비


41. 전공기식의 공기조화에서 에너지 절약을 위해 중간기에 외기냉방도 가능토록 계획할때 공조기 외에 시스템 구성을 위해 도입되어야 할 기기는 무엇인가?
     1. 재열기
     2. 고효율 공기정화장치
     3. 전열교환기
     4. 리턴에어용 송풍기

     정답 : []
     정답률 : 33%

42. 건구온도 30℃,절대습도 0.0134㎏/㎏'인 공기 5000m3/h를 표면온도가 10℃인 냉각코일로 냉각감습할 경우 응축수분량은 얼마인가? (단, 습공기의 비중량 = 1.2㎏/m3 10℃ 포화습공기의 절대습도 = 0.0076㎏/㎏' 냉각코일의 바이패스 팩터 = 0.1)
     1. 29.24㎏/h
     2. 31.32㎏/h
     3. 34.80㎏/h
     4. 37.23㎏/h

     정답 : []
     정답률 : 40%
     <문제 해설>
응축수량 = V(체적)*r(비중량)*x(절대습도의 변화량)*(1- 팩터)
응축수량 = 5000*1.2*(0.0134-0.0076)*(1-0.1)
                 = 31.32
[해설작성자 : 강비무]

43. 송풍기의 풍량을 제어하는 방법의 하나로 비용이 많이 들지만 효율이 좋은 방식이며, 최근에는 인버터를 사용하여 전기의 주파수를 변화시키는 방식을 많이 사용한다. 이와 같은 송풍기 풍량제어방식은?
     1. 토출댐퍼에 의한 제어
     2. 흡입댐퍼에 의한 제어
     3. 가변 피치 제어
     4. 회전수에 의한 제어

     정답 : []
     정답률 : 60%

44. 덕트경로중 그 관경이 확대되었을 경우 압력변화에 관한 설명이다. 적당한 것은?
     1. 전압이 증가한다.
     2. 동압이 증가한다.
     3. 정압이 증가한다.
     4. 전압, 정압, 동압이 모두 증가한다.

     정답 : []
     정답률 : 50%

45. 에어필터 효율 측정법에서 고성능 필터를 측정하는데 적합한 방식은?
     1. 중량법
     2. 비색법
     3. 변색도법
     4. 계수법

     정답 : []
     정답률 : 36%
     <문제 해설>
에어필터 효율 측정법
1. 중량법                 : 저성능
2. 비색(변색도)법 : 중성능
3. 계수(DOP)법        : 고성능
[해설작성자 : 강비무]

46. 공조방식 중 외기냉방이 가능하지 않은 것은?
     1. 변풍량 단일덕트방식
     2. 팬코일유니트방식
     3. 각층유니트방식
     4. 이중덕트방식

     정답 : []
     정답률 : 50%
     <문제 해설>
외기냉방 : 송풍으로 외기만을 끌어들여 실내를 냉방하는 것으로 전공기식에서만 가능하다.
전공기식 : 변풍량 단일덕트방식, 각층 유닛방식, 이중덕트방식

팬코일 유니트방식은 전수방식으로 외기냉방이 불가능하다.
[해설작성자 : 강비무]

47. 기존건물의 콘크리트 천장에 배관을 지지하기 위한 인서트 및 앵커로서 적당한 것은?
     1. 콘크리트 인서트
     2. C - 크램프
     3. 롱너트
     4. 익스팬션 앵커

     정답 : []
     정답률 : 45%

48. 환기로 인해 발생하는 외기부하 중 취득잠열계산에 필요한 값은?
     1. 도입외기량, 외기와 실내공기의 온도차
     2. 도입외기량, 외기와 실내공기의 절대습도차
     3. 도입외기량, 외기와 실내공기의 상대습도차
     4. 송풍기의 송풍량, 외기와 실내공기의 엔탈피차

     정답 : []
     정답률 : 22%

49. 환기설비가 설치된 다음 실중 실내압력이 정압(+)인 것은?
     1. 보일러실
     2. 주방
     3. 욕실
     4. 화장실

     정답 : []
     정답률 : 72%

50. 기준면 보다 20m 높이에 있는 관내에 물(γ = 1000㎏/m3)이 압력 P = 6000㎏/m2, 유속 V = 3㎧로 흐를때 이 물의 전수두(m)는?
     1. 18.7
     2. 26.5
     3. 38.7
     4. 83.1

     정답 : []
     정답률 : 44%
     <문제 해설>
전수두 = 위치수두+압력수두+속도수두
전수두 = 20 + (압력/비중량) + (V^2/2g)
             = 20 + (6000/1000) + (3^2/2*9.8)
             = 26.5
[해설작성자 : 강비무]

51. 공기조화와 직접난방을 비교한 다음 설명중 적당한 것은?
     1. 스페이스(space)면에서는 공기조화 설비가 유리하다.
     2. 실내 열환경의 효과적인 제어를 위해서는 직접난방이 바람직하다.
     3. 온수난방은 공기조화에 비해 소음발생이 적다.
     4. 설비비 면에서는 직접난방이 불리하다.

     정답 : []
     정답률 : 33%

52. t1= 33℃, x1= 0.021㎏/㎏'의 공기 20%와 t2= 25℃, x2= 0.012㎏/㎏'의 공기 80%를 혼합하였을 때의 공기 상태는?
     1. t = 26.6℃, x = 0.0138(㎏/㎏')
     2. t = 27.6℃, x = 0.0128(㎏/㎏')
     3. t = 28.6℃, x = 0.0118(㎏/㎏')
     4. t = 29.6℃, x = 0.0108(㎏/㎏')

     정답 : []
     정답률 : 43%
     <문제 해설>
건구온도 = (33*0.2+25*0.8) / 0.2+0.8
                    = 26.6
절대습도 = (0.021*0.2+0.012*0.8) / 0.2+0.8
                    = 0.0138
[해설작성자 : 강비무]

53. 다음 중 환기효과가 가장 큰 환기법은?
     1. 압입· 흡출병용방식
     2. 압입방식
     3. 흡출방식
     4. 자연환기방식

     정답 : []
     정답률 : 63%

54. Yaglow씨 등에 의해 제안된 온도,습도 및 기류속도의 3가지 조합에 의한 온열환경의 평가지표는?
     1. 유효온도
     2. 작용온도
     3. 불쾌지수
     4. 신유효온도

     정답 : []
     정답률 : 73%

55. 외기량을 Gf[kg/h] 또는 Qf[m3/h]라 할때 냉방시에 현열 취득량 qFS[㎉/h]은? (단, 외기 및 실내공기의 온도는 각각 to, ti[℃],습도는 각각 xo, xi[㎏/㎏']이다)
     1. qFS = 0.29 Gf(to - ti)
     2. qFS = 0.29 Qf(to - ti)
     3. qFS = 0.24 Qf(to - ti)
     4. qFS = 1.2 Gf(to - ti)

     정답 : []
     정답률 : 33%

56. 다음중 원심펌프의 구경과 가장 관련이 있는 것은?
     1. 유량
     2. 양정
     3. 동력
     4. 비교 회전수

     정답 : []
     정답률 : 50%

57. 급기 덕트계통에 설계값인 풍량 6000m3/h, 정압 40㎜Aq, 축동력이 2.5HP인 송풍기를 설치한 후 덕트말단에서 풍량을 측정한 결과 5000m3/h이었다. 이 덕트계에 설계 풍량을 급기하기 위해 송풍기의 모터를 교체할 경우 몇마력(HP)이 필요한가? (단, 덕트계에 공기누설이 없고, 송풍기의 효율은 일정한 것으로 가정한다.)
     1. 2.08HP
     2. 3HP
     3. 3.6HP
     4. 4.32HP

     정답 : []
     정답률 : 23%

58. 다음중 에어커튼(AIR CURTAIN)을 가장 옳게 설명한 것은?
     1. 건물의 출입구에 실내열의 차단을 목적으로 설치한다.
     2. 건물의 창 등에 실내열의 차단을 목적으로 설치한다.
     3. 내벽대신 공간의 분리를 목적으로 설치한다.
     4. 체육관 등 큰 공간의 효과적 공조를 목적으로 설치한다.

     정답 : []
     정답률 : 66%

59. 체크밸브에 관한 다음 설명 중 부적당한 것은?
     1. 수직배관에만 사용된다.
     2. 유체의 역류를 방지하기 위한 것이다.
     3. 스윙형과 리프트형이 있다.
     4. 펌프등 기기의 출구부분에 설치한다.

     정답 : []
     정답률 : 66%

60. 주로 분리형(스플릿형) 패키지에어콘의 실내기와 실외기를 배관으로 연결할 경우에 사용되는 동관 접합법으로, 분해와 재결합이 용이하여 용접 접합이 어려울 때나 화재의 위험이 있어 용접 접합을 할 수 없는 곳에서 이용되는 접합법은?
     1. 몰코식 이음
     2. 나팔관식 이음
     3. 빅토릭 이음
     4. 기볼트 이음

     정답 : []
     정답률 : 34%

4과목 : 소방 및 전기설비


61. 유전체를 끼워 양측에 금속박을 놓아둔 구조로 정전용량을 갖는 전기기기는?
     1. 콘덕턴스
     2. 저항
     3. 인덕턴스
     4. 콘덴서

     정답 : []
     정답률 : 60%

62. 다음 ( )안에 들어갈 용어로 가장 알맞은 것은?

    

     1. 논리회로
     2. 논리곱회로
     3. 논리합회로
     4. 논리부정회로

     정답 : []
     정답률 : 67%

63. 절연체 또는 전선피복 절연물의 절연저항, 즉 전류차단능력을 측정하는 계측기는?
     1. 계기용 변압기
     2. 역률계
     3. 영상변류기
     4. 메거

     정답 : []
     정답률 : 59%

64. 자동제어방식에서 디지털방식에 대한 설명 중 옳지 않은 것은?
     1. 기능의 고급화를 도모할 수 있다.
     2. 각종 제어로직은 손쉽게 소프트웨어에 의해 조정될 수 있다.
     3. 자기진단 기능을 보유하고 있다.
     4. 제어의 정밀도가 낮으며 신뢰성이 다소 떨어진다.

     정답 : []
     정답률 : 75%

65. 건물의 자동제어방식에서 디지털방식에 해당하는 것은?
     1. 전기식
     2. 전자식
     3. 공기식
     4. DDC방식

     정답 : []
     정답률 : 60%

66. 정격전압 220V에서 1210W의 전력을 소비하는 단상전열기를 200V에서 사용하면 소비전력은 얼마인가?
     1. 1000W
     2. 1089W
     3. 1100W
     4. 1210W

     정답 : []
     정답률 : 26%

67. 천장에 작은 구멍을 뚫어 그 속에 기구를 매입한 것으로, 기구 본체가 밖으로 나오지 않기 때문에 공간을 말끔히 정리하기 쉬운 이점이 있는 건축화 조명의 방식은?
     1. 다운라이트
     2. 코브라이트
     3. 코니스라이트
     4. 밸런스라이트

     정답 : []
     정답률 : 66%

68. 전동기의 회전 방향을 바꾸고자 할 때 적용되는 법칙은?
     1. 암페어 오른손의 법칙
     2. 키르히호프 법칙
     3. 플레밍 오른손의 법칙
     4. 플레밍 왼손의 법칙

     정답 : []
     정답률 : 56%

69. 차동식 분포형 화재감지기에 해당되지 않는 것은?
     1. 열반도체식
     2. 열전대식
     3. 공기관식
     4. 스폿식

     정답 : []
     정답률 : 47%

70. 예비 전원 설비 중 자가발전설비는 비상 사태 발생 후 정격 전압을 확립하여 몇 분 이상 안정적으로 전기를 공급할 수 있어야 하는가?
     1. 10분
     2. 20분
     3. 30분
     4. 60분

     정답 : []
     정답률 : 64%

71. 양전하를 가지고 있는 물질과 음전하를 가지고 있는 물질을 금속선으로 연결하면 두 전하간의 흡인력으로 음전하는 양전하를 가지고 있는 물질로 이동하는데, 이러한 음전하의 이동을 무엇이라고 하는가?
     1. 전압
     2. 전류
     3. 저항
     4. 전력

     정답 : []
     정답률 : 80%

72. 다음 중 조도의 단위는?
     1. [cd]
     2. [lm]
     3. [lx]
     4. [sb]

     정답 : []
     정답률 : 69%

73. 콘덴서만의 회로에서 전압과 전류사이의 위상관계는?
     1. 전압이 전류보다 180° 앞선다.
     2. 전압이 전류보다 180° 뒤진다.
     3. 전압이 전류보다 90° 앞선다.
     4. 전압이 전류보다 90° 뒤진다.

     정답 : []
     정답률 : 42%

74. 20[kVA]의 단상 변압기 2대로 공급할 수 있는 최대 3상전력[kVA]은?
     1. 8.66
     2. 17.61
     3. 23.72
     4. 34.64

     정답 : []
     정답률 : 48%
     <문제 해설>
3상 교류전력은 단상교류전력의 루트3(✓3)배이므로
✓3 x 20kVA= 34.64kVA
[해설작성자 : OF]

75. 작동방법에 따른 자동제어밸브의 분류에 속하지 않는 것은?
     1. 자기식
     2. 공기작동형
     3. 전기유압식
     4. 플랜지식

     정답 : []
     정답률 : 53%

76. 다음 직병렬회로에서 전압은 110V이며 R1=12Ω, R2=15Ω, R3=30Ω, R4=22Ω이다. 전체합성저항 R은?

    

     1. 10Ω
     2. 22Ω
     3. 34Ω
     4. 11Ω

     정답 : []
     정답률 : 42%

77. 광원으로부터의 빛의 방향과 수직인 면의 빛의 조도는 광원과의 거리와 어떠한 관계에 있는가?
     1. 거리의 제곱에 반비례
     2. 거리의 제곱에 비례
     3. 거리에 반비례
     4. 거리에 비례

     정답 : []
     정답률 : 40%

78. 저항 R1, R2 를 병렬로 접속하면 합성저항은?
     1. R1+R2
     2. 1/R1+R2
     3. R1+R2/R1R2
     4. R1R2/R1+R2

     정답 : []
     정답률 : 55%

79. 일반적으로 특별3종 접지공사의 접지 저항값은 몇(Ω)이하가 되어야 하는가?
     1. 10
     2. 20
     3. 100
     4. 500

     정답 : []
     정답률 : 57%

80. 신축건물의 전력을 공급하기 위한 수변전설비의 설계시부하설비 용량을 구하고자 할 때 관계식을 가장 바르게 표기한 것은?
     1. 부하설비용량=최대수용전력× 부하율
     2. 부하설비용량=최대수용전력× 부등율
     3. 부하설비용량=최대수용전력× 연면적
     4. 부하설비용량=부하밀도× 연면적

     정답 : []
     정답률 : 23%

81. 판매 및 영업시설인 경우 바닥면적의 합계가 얼마 이상이면 연결살수설비를 설치하여야 할 특정소방대상물이 되는가?
     1. 500m2
     2. 1,000m2
     3. 1,500m2
     4. 2,000m2

     정답 : []
     정답률 : 44%

82. 지하층의 구조기준에 대한 사항으로 옳은 것은?
     1. 거실의 바닥면적의 합계가 1,000m2 이상인 층에는 환기설비를 설치할 것
     2. 지하층의 바닥면적이 500m2 이상인 층에는 식수공급을위한 급수전을 1개소 이상 설치할 것
     3. 바닥면적이 500m2 이상인 층에는 피난층 또는 지상으로 통하는 직통계단을 방화구획으로 구획되는 각 부분마다 1개소이상 설치할 것
     4. 바닥면적이 100m2 이상인 층에는 직통계단외에 피난층 또는 지상으로 통하는 비상탈출구 및 환기통을 설치할 것

     정답 : []
     정답률 : 38%

83. 지정문화재로서 연면적 1,000m2인 건축물에 설치해야하는 소방시설은?
     1. 옥내소화전설비
     2. 스프링클러설비
     3. 물분무등소화설비
     4. 옥외소화전설비

     정답 : []
     정답률 : 28%

84. 산업자원부장관이 에너지저장의무를 부과할 수 있는 대상자가 아닌 것은?
     1. 전기사업법에 의한 전기사업자
     2. 석탄산업법에 의한 석탄가공업자
     3. 도시가스사업법에 의한 도시가스사업자
     4. 연간 12,000 티· 오· 이 이상의 에너지를 사용하는 자

     정답 : []
     정답률 : 52%

85. 오수· 분뇨 및 축산처리에 관한 법률에 의해 오수처리시설에서 배출되는 방류수에 대한 염소 등의 소독을 해야할 경우는?
     1. 1일 처리용량이 100m3 이상인 오수처리시설
     2. 1일 처리용량이 200m3 이상인 오수처리시설
     3. 1일 처리대상이 300인 이상인 단독정화조
     4. 1일 처리대상이 400인 이상인 단독정화조

     정답 : []
     정답률 : 33%

86. 비상경보설비를 설치하여야 할 특정소방대상물의 기준이 잘못된 것은?
     1. 무창층 - 바닥면적 200m3이상
     2. 옥내작업장 - 50인 이상의 근로자가 작업
     3. 지하층 공연장 - 바닥면적 100m3이상
     4. 지하가중 터널 - 길이 500m이상

     정답 : []
     정답률 : 23%

87. 공연장의 개별관람석 바닥면적이 300m3인 경우 출구의 수는?(단, 각 출구의 유효너비는 2m 이다.)
     1. 없음
     2. 1개
     3. 2개
     4. 3개

     정답 : []
     정답률 : 41%

88. 건축법상 주요구조부에 해당하지 않는 것은?
     1. 기둥
     2. 바닥
     3. 지붕틀
     4. 옥외계단

     정답 : []
     정답률 : 55%

89. 내화구조에 관한 내용으로 옳지 않은 것은?
     1. 철골철근콘크리트조로서 벽의 두께가 10㎝ 이상인 것
     2. 철근콘크리트조로서 기둥의 작은 지름이 20㎝ 이상인 것
     3. 철근콘크리트조로서 바닥의 두께가 10㎝ 이상인 것
     4. 철근콘크리트조로 된 보

     정답 : []
     정답률 : 37%
     <문제 해설>
기둥 작은 지름 25cm 이상
[해설작성자 : comcbt.com 이용자]

90. 다음 중 배연설비의 설치기준으로 틀린 것은?
     1. 배연창은 배연창의 상변과 천장 또는 반자로부터 수직거리가 90cm 이내에 설치할 것
     2. 반자높이가 바닥으로부터 3m 이상인 경우에는 배연창의 하변이 바닥으로부터 2.1m 이상의 위치에 놓이도록 설치할 것
     3. 배연구는 손으로도 열고 닫을 수 있도록 할 것
     4. 배연창의 유효면적은 0.5m2이상으로서 그 면적의 합계가 당해 건축물의 바닥면적의 1/100 이상일 것

     정답 : []
     정답률 : 44%

91. 방화구획의 기준에 관한 설명 중 틀린 것은?
     1. 5층이상의 층은 층마다 구획한다.
     2. 지하층은 층마다 구획한다.
     3. 10층이하의 층은 바닥면적 1,000m2이내마다 구획한다.
     4. 11층 이상의 층은 바닥면적 200m2이내마다 구획한다.

     정답 : []
     정답률 : 39%

92. 갑종방화문과 을종방화문의 구분 기준은?
     1. 사용하는 철판의 두께
     2. 비차열의 시간
     3. 망입유리창 사용 여부
     4. 문의 두께

     정답 : []
     정답률 : 57%

93. 에너지이용합리화법의 용어 정의 중 맞지 않는 것은?
     1. 에너지란 연료· 열 및 전기를 말한다.
     2. 연료란 석유· 석탄· 대체에너지 기타 열을 발생하는 열원을 말한다.
     3. 열사용기자재란 에너지를 사용하여 열을 발생시키는 기자재를 말한다.
     4. 에너지사용자란 에너지사용시설의 소유자 또는 관리자를 말한다.

     정답 : []
     정답률 : 18%

94. 다음 중 에너지절약 전문기업이 국가의 지원을 받을 수 있는 사업이 아닌 것은?
     1. 대체에너지원의 개발사업
     2. 에너지절약의 홍보사업
     3. 에너지절약형 시설투자에 관한 사업
     4. 에너지절약형 기자재의 연구개발사업

     정답 : []
     정답률 : 66%

95. 가연성가스를 얼마 이상 저장· 취급하는 시설인 경우가 방화관리자를 두어야 하는 특정소방대상물인가?
     1. 1천톤
     2. 2천톤
     3. 3천톤
     4. 5천톤

     정답 : []
     정답률 : 57%

96. 특정사용기자재중 산업자원부령이 정하는 검사대상기기의 제조업자는 그 검사대상기기의 제조에 관하여 누구의 검사를 받아야 하는가?
     1. 건설교통부장관
     2. 산업자원부장관
     3. 시· 도지사
     4. 시장· 군수· 구청장

     정답 : []
     정답률 : 39%

97. 다음 건축물 중 그 주요구조부를 내화구조로 하여야 하는것은?
     1. 문화 및 집회시설의 용도에 쓰이는 건축물로서 집회실의 바닥면적의 합계가 150제곱미터인 것
     2. 주점영업의 용도가 아닌 위락시설의 용도에 쓰이는 건축물로서 그 용도에 쓰이는 바닥면적의 합계가 400제곱미터인 것
     3. 건축물의 2층이 숙박시설의 용도에 쓰이는 건축물로서 그 용도에 쓰이는 바닥면적의 합계가 400제곱미터인 것
     4. 공장의 용도에 쓰이는 건축물로서 그 용도에 사용하는 바닥면적의 합계가 1500제곱미터인 것

     정답 : []
     정답률 : 39%

98. 건축허가신청에 필요한 기본설계도서 중 배치도에 표시하여야 할 사항으로 옳지 아니한 것은?
     1. 주차장 규모
     2. 대지의 종· 횡단면도
     3. 공개공지 및 조경계획
     4. 대지에 접한 도로의 길이 및 너비

     정답 : []
     정답률 : 39%

99. 주거용 건축물의 최소 급수관지름에 관한 설명 중 틀린 것은?
     1. 1가구일때 15mm 이다.
     2. 5세대일때 25mm 이다.
     3. 세대의 구분이 불분명하고 주거용 바닥면적이 85m2 이하이면 20mm 이다.
     4. 세대의 구분이 불분명하고 주거용 바닥면적이 500m2초과시는 50mm 이다.

     정답 : []
     정답률 : 47%

100. 지하층의 비상탈출구에 관한 기준으로 옳지 않은 것은?
     1. 유효너비는 0.75m 이상으로 하고, 유효높이는 1.5m이상으로 할 것
     2. 비상탈출구는 출입구로부터 2m 이상 떨어진 곳에 설치할 것
     3. 지하층의 바닥으로부터 비상탈출구의 아랫부분까지의 높이가 1.2m 이상이 되는 경우에는 벽체에 발판의 너비가 20㎝ 이상인 사다리를 설치할 것
     4. 비상탈출구에서 피난층 또는 지상으로 통하는 복도나 직통계단까지 이르는 피난통로의 유효너비는 0.75m 이상으로 할 것

     정답 : []
     정답률 : 37%
     <문제 해설>
비상탈출구는 출입구로부터 거리 3m 이상이어야 합니다.
[해설작성자 : 똑똑한박대리]


정 답 지

1

2

3

4

5

6

7

8

9

10

11

12

13

14

15

16

17

18

19

20

21

22

23

24

25

26

27

28

29

30

31

32

33

34

35

36

37

38

39

40

41

42

43

44

45

46

47

48

49

50

51

52

53

54

55

56

57

58

59

60

61

62

63

64

65

66

67

68

69

70

71

72

73

74

75

76

77

78

79

80

81

82

83

84

85

86

87

88

89

90

91

92

93

94

95

96

97

98

99

100

건축설비기사 필기 기출문제(해설) 및 CBT 2004년09월05일을 이용해 주셔서 감사합니다.
, 필기, 기출문제, 전자문제집, CBT, 온라인, 모의테스트, 모의고사



List of Articles
번호 제목 글쓴이 날짜 조회 수
» 건축설비기사 필기 기출문제(해설) 및 CBT 2004년09월05일(2429) 좋은아빠되기 2025.11.25 1
9578 건축설비기사 필기 기출문제(해설) 및 CBT 2004년05월23일(2428) 좋은아빠되기 2025.11.25 3
9577 건축설비기사 필기 기출문제(해설) 및 CBT 2004년03월07일(2427) 좋은아빠되기 2025.11.25 2
9576 건축설비기사 필기 기출문제(해설) 및 CBT 2003년08월31일(2426) 좋은아빠되기 2025.11.25 4
9575 건축설비기사 필기 기출문제(해설) 및 CBT 2003년05월25일(2425) 좋은아빠되기 2025.11.25 1
9574 건축설비기사 필기 기출문제(해설) 및 CBT 2003년03월16일(2424) 좋은아빠되기 2025.11.25 3
9573 신재생에너지발전설비기사(구) 필기 기출문제(해설) 및 CBT 2018년09월15일(2423) 좋은아빠되기 2025.11.25 2
9572 신재생에너지발전설비기사(구) 필기 기출문제(해설) 및 CBT 2018년04월28일(2422) 좋은아빠되기 2025.11.25 3
9571 신재생에너지발전설비기사(구) 필기 기출문제(해설) 및 CBT 2018년03월04일(2421) 좋은아빠되기 2025.11.25 2
9570 신재생에너지발전설비기사(구) 필기 기출문제(해설) 및 CBT 2017년09월23일(2420) 좋은아빠되기 2025.11.25 3
9569 신재생에너지발전설비기사(구) 필기 기출문제(해설) 및 CBT 2017년05월07일(2419) 좋은아빠되기 2025.11.25 2
9568 신재생에너지발전설비기사(구) 필기 기출문제(해설) 및 CBT 2017년03월05일(2418) 좋은아빠되기 2025.11.25 4
9567 신재생에너지발전설비기사(구) 필기 기출문제(해설) 및 CBT 2016년10월01일(2417) 좋은아빠되기 2025.11.25 1
9566 신재생에너지발전설비기사(구) 필기 기출문제(해설) 및 CBT 2016년05월08일(2416) 좋은아빠되기 2025.11.25 4
9565 신재생에너지발전설비기사(구) 필기 기출문제(해설) 및 CBT 2015년09월19일(2415) 좋은아빠되기 2025.11.25 2
9564 신재생에너지발전설비기사(구) 필기 기출문제(해설) 및 CBT 2015년05월31일(2414) 좋은아빠되기 2025.11.25 3
9563 신재생에너지발전설비기사(구) 필기 기출문제(해설) 및 CBT 2014년09월20일(2413) 좋은아빠되기 2025.11.25 1
9562 신재생에너지발전설비기사(구) 필기 기출문제(해설) 및 CBT 2013년09월28일(2412) 좋은아빠되기 2025.11.25 3
9561 금속재료산업기사 필기 기출문제(해설) 및 CBT 2018년03월04일(2411) 좋은아빠되기 2025.11.25 2
9560 금속재료산업기사 필기 기출문제(해설) 및 CBT 2017년09월23일(2410) 좋은아빠되기 2025.11.25 3
Board Pagination Prev 1 ... 478 479 480 481 482 483 484 485 486 487 ... 961 Next
/ 961