자격증 필기 기출문제



측량및지형공간정보기사 필기 기출문제(해설) 및 CBT 2011년06월12일(2491)

최강 자격증 기출문제 전자문제집 CBT : www.comcbt.com


전자문제집 CBT란?

종이 문제집이 아닌 인터넷으로 문제를 풀고 자동으로 채점하며 모의고사, 오답 노트, 해설까지 제공하는
무료 기출문제 학습 프로그램으로 실제 상설검정에서 사용하는 OMR 형식의 CBT를 제공합니다.


최신 측량및지형공간정보기사 필기 기출문제 : [다운로드]

1과목 : 측지학 및 위성측위시스템


1. 전송파(carrier)에 대한 미지의 수로서, 위성과 수신기 안테나 간 온전한 파장의 전체 개수를 무엇이라 하는가?
     1. 모호정수
     2. AS
     3. 다중경로
     4. 삼중차

     정답 : []
     정답률 : 72%

2. GPS를 이용하여 위치를 결정하는 경우에 대한 설명으로 틀린 것은?
     1. 반송파를 이용한 위치결정이 코드를 이용한 경우보다 정확하다.
     2. 단독측위보다 상대측위가 정확하다.
     3. 위성의 대수가 많은 것이 정확하다.
     4. 위성의 고도각이 낮을수록 정확하다.

     정답 : []
     정답률 : 61%
     <문제 해설>
GPS 위성의 고도각은 최소 15도 이상의 임계 고도각을 유지해야 한다
[해설작성자 : 이걸 따야하나..]

3. 우리나라의 지형도에서 사용하고 있는 평면좌표는 어느 투영법에 의하는가?
     1. 등각투영
     2. 등적투영
     3. 등거투영
     4. 복합투영

     정답 : []
     정답률 : 92%

4. GPS에 의한 기준점측량 작업 시의 기선해석에 대한 설명으로 옳지 않은 것은?
     1. GPS위성의 궤도요소는 정밀력 또는 방송력에 의한다.
     2. 기선해석의 방법은 세션(session)마다 단일 기선해석에 의한다.
     3. 사이클 슬립(cycle slip)의 편집은 원칙적으로 기선해석프로그램에 의하여 자동편집이나, 수동편집을 할 수도 있다.
     4. 기선해석의 결과는 FLOAT해에 의한다.

     정답 : []
     정답률 : 81%
     <문제 해설>
기선해석의 결과는 FIX해에 의한다
[해설작성자 : 이걸 따야하나..]

5. 기종이 서로 다른 GPS 수신기를 혼합하여 관측하였을 경우 수집된 GPS 데이터의 기선 해석이 용이하도록고안된 세계 표준의 GPS데이터의 자료형식은?
     1. RINEX
     2. DXF
     3. DWG
     4. RTCM

     정답 : []
     정답률 : 91%

6. 구면삼각형 ABC의 세 내각이 다음과 같을 때 면적은? (단, 지구반경은 6370Km 이다.)

   

     1. 1,222,663km2
     2. 1,362,788km2
     3. 1,433,456km2
     4. 1,534,433km2

     정답 : []
     정답률 : 66%

7. GPS 오차요인 중 위성전파가 장해물로 인해 차단되는 이유 등으로 위상측정이 중단되어 발생하는 오차는 무엇인가?
     1. SA(Selective availability)
     2. AS(Anti-spoofing)
     3. 사이클 슬립(Cycle slip)
     4. 멀티패스(Multipath)

     정답 : []
     정답률 : 82%
     <문제 해설>
장애물, 낮은 위성고도각, 낮은 신호 강도로 인해 GPS 반송파의 위상치 값을 순간적으로 놓치는 현상
[해설작성자 : 이걸 따야하나..]

8. 중력관측점과 지오이드면 사이의 질량을 고려한 중력이상은?
     1. 고도이상
     2. 부게이상
     3. 프리에어이상
     4. 위도이상

     정답 : []
     정답률 : 87%
     <문제 해설>
부게이상
프리에어 이상에 부게보정 및 지형보정을 더하여 얻는 이상으로 이중 부게보정은 중력관측점과 지오이드 면 사이의 질량의 영향을 보정하는 것이다.
[해설작성자 : 이걸 따야하나..]

9. 적도 반경이 1m인 지구의 단면도를 그린다면 극 반경은 몇 cm 짧게 그리면 되는가? (단, 지구의 편평율은 1/299로 한다.)
     1. 0.33cm
     2. 0.44cm
     3. 0.55cm
     4. 0.66cm

     정답 : []
     정답률 : 68%

10. 지구 자기의 북반구에서는 북극으로 갈수록 자침의 남극쪽을 무겁게 하거나 길게 하는데 그 이유로 가장 알맞은 것은?
     1. 북으로 갈수록 편각이 커지므로
     2. 북으로 갈수록 복각이 커지므로
     3. 북으로 갈수록 복각이 작아지므로
     4. 북으로 갈수록 편각이 작아지므로

     정답 : []
     정답률 : 63%
     <문제 해설>
자븍으로 갈수록 복각이 커지므로 복각을 줄여 자침이 평행이 되게 하기 위해 자침의 남극 쪽을 길게 하거나 무겁게 한다
[해설작성자 : 이걸 따야하나..]

11. 우리나라의 평면직각좌표계에 대한 설명으로 옳은 것은?
     1. 측량의 정확도를 1:10000까지 허용한다면 우리나라 전역을 평면으로 간주하여도 무방하다.
     2. 좌표원점의 축척계수는 0.9998이다.
     3. 음수표시를 피하기 위하여 가좌표계로서 '종(X)축에 20000m, 횡(Y)축에 50000m를 사용하고 있다.
     4. 3개의 평면직각 좌표계로 되어 있으며, 투영의 경계는 동ㆍ서 방향으로 각각 2° 이다.

     정답 : []
     정답률 : 53%

12. GPS 측량에 과한 설명으로 틀린 것은?
     1. 인공위성의 전파를 수신해서 위치를 결정하는 시스템이다.
     2. 수신점의 위치를 계산할 때는 인공위성의 궤도 정보가 필요하다.
     3. 두 점 이상의 점을 동시에 관측할 경우, 측점간에 시통(視通)이 안 되면 위치 결정을 할 수 없다.
     4. 관측 시 상공의 시계를 확보할 필요가 있다.

     정답 : []
     정답률 : 65%
     <문제 해설>
GPS의 측량은 두 점 간의 시통은 불필요하다는 장점이 있으나 위성을 관측할 수 있도록 상공의 시계가 확보되어야 한다
[해설작성자 : 이걸 따야하나..]

13. 다음 중 국가기본도에서 쓰이는 좌표값이 아닌 것은?
     1. 경도
     2. 위도
     3. 평균해수면으로부터의 고도
     4. 타원체면으로부터의 고도

     정답 : []
     정답률 : 49%

14. 지구의 질량을 계산하려면 지구의 반지름, 중력가 속도 외에 또 무엇을 알아야 하는가? ( 단, 지구는 자전하지 않는 완전구체로 간주한다.)
     1. 지구의 부피
     2. 지구 원심력의 크기
     3. 만유인력의 상수
     4. 지구 자전 각속도

     정답 : []
     정답률 : 83%

15. 석유탐사의 주요 방법으로 일반적으로 지표면으로부터 깊은 곳의 탐사에 적합한 탄성파 측정방법은?
     1. 굴절법
     2. 반사법
     3. 굴착법
     4. 충격법

     정답 : []
     정답률 : 89%
     <문제 해설>
탄성파 측정방법 = 반사법(깊은 곳 탐사),굴절법(얕은 곳 탐사)
[해설작성자 : 이걸 따야하나..]

16. GPS 위성시스템이 우주부분에 대한 설명으로 틀린 것은?
     1. GPS 위성의 궤도면 수는6개이다.
     2. 각 궤도면의 경사각은 적도에 대해 55°경사로 배치되어 있다.
     3. GPS위성은 하루에 약1번씩 지구 주위를 회전하고 있다.
     4. 각 궤도 간 경사각은 60°이다.

     정답 : []
     정답률 : 68%
     <문제 해설>
GPS위성은 약 20,000KM 상공에서 약 12시간 주기로 운행한다
[해설작성자 : 이걸 따야하나..]

17. 지도제작의 기준이 되는 기하학적인 지구의 형상은?
     1. 물리적 지구표면
     2. 지구타원체
     3. 지오이드
     4. 구체

     정답 : []
     정답률 : 45%

18. 측지원점(Geodetic Datum)을 결정하기 위한 매개변수가 아닌 것은?
     1. 원점에서의 지오이드고
     2. 원점으로부터 최초 삼각측량의 기선에 이르는 방위각
     3. 원점에서 중앙 자오선의 연직선 편차
     4. 원점의 표준 중력

     정답 : []
     정답률 : 71%

19. GPS 위성신호에 대한 설명으로 옳지 않은 것은?
     1. 위성신호가 전리층을 통과할 때 위상(carrier)은 광속보다 빨리 진행된다.
     2. 위성신호가 전리층을 통과할 때 코드(code)는 광속보다 느리게 진행된다.
     3. 위성신호가 대류층을 통과할 때 코드(code)는 광속보다 느리게 진행된다.
     4. 위성신호가 대류층을 통과할 때 위상(carrier)은 광속보다 빨리 진행된다.

     정답 : []
     정답률 : 67%

20. 다음 중 반송파(carrier)의 모호정수(ambiguity)가 포함되어 있지 않는 관측치는?
     1. 일중위상차
     2. 이중위상차
     3. 삼중위상차
     4. 무차분 위상

     정답 : []
     정답률 : 83%

2과목 : 응용측량


21. 단곡선에 있어서 교각(I)=60°, 반지름(R)=100m, 곡선시점(B,C)의 추가거리가 120.85m일 때 곡선종점(E,C)까지의 거리는 얼마인가?
     1. 120.3m
     2. 186.6m
     3. 225.6m
     4. 250.6m

     정답 : []
     정답률 : 74%

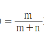
22. 그림과 같은 삼각형의 토지 ABC를 B점에서 의의 넓이로 분할하고자 한다. 의 길이를 구하는 식으로 옳은 것은? (단, M : ABC의 면적, m : ABD의 면적)

    

     1.
     2.
     3.
     4.

     정답 : []
     정답률 : 78%

23. 그림과 같은 단면을 갖는 길이 50m인 제방의 체적은?

    

     1. 1818.5m3
     2. 2015.5m3
     3. 2187.5m3
     4. 2212.5m3

     정답 : []
     정답률 : 44%

24. 하전의 유량조사를 위한 수위관측소의 위치 선정시 고려사항에 대한 설명으로 틀린 것은?
     1. 유로 및 하상 변동이 적은 곳이어야 한다.
     2. 흐름과 유속의 변화가 뚜렷이 나타나야 한다.
     3. 홍수 등에 의한 유실, 이동 및 파손의 위험이 없어야 한다.
     4. 교각이나 기타 구조물에 의하여 수위에 영향을 받지 않아야 한다.

     정답 : []
     정답률 : 80%

25. 클로소이드 곡선에 대한 설명으로 틀린 것은?
     1. 철도와 같은 궤도두간에 주로 적용되는 완화곡선의 일종이다.
     2. 매개변수(A)의 크기는 클로소이드의 확대율을 의미한다.
     3. 클로소이드의 특성점이란 곡선반지름, 곡선장, 매개변수의 크기가 같은 지점을 의미한다.
     4. 곡률이 곡선의 길이에 비례한다.

     정답 : []
     정답률 : 46%
     <문제 해설>
철도에 주로 사용하는 완화곡선은 3차 포물선이다.
[해설작성자 : 이걸 따야하나..]

26. 하천 측량에서 그림과 같이 깊이에 따른 유속(m/sec)을 얻었을 때, 3점법에 의한 평균유속은?

    

     1. 1.50m/sec
     2. 1.45m/sec
     3. 1.40m/sec
     4. 1.33m/sec

     정답 : []
     정답률 : 76%

27. 다음 중 터널측량 작업순서로 옳은 것은?
     1. 예측→지표설치→답사→지하설치
     2. 답사→예측→지표설치→지하설치
     3. 예측→답사→지하설치→지표설치
     4. 답사→지표설치→예측→지하설치

     정답 : []
     정답률 : 74%

28. 터널완성 후의 변형조사측량 중 고저측량에 대한 설명으로 틀린 것은?
     1. 철도의 경우는 시공기면을 기준으로 한다.
     2. 수로 터널과 같이 인버트(invert)가 있는 경우는 인버트의 상단을 기준으로 한다.
     3. 도로 터널에서는 arch crown을 기준으로 한다.
     4. 일반적으로 중심점의 높이는 중심선측량과 같이 20m 간격으로 관측한다.

     정답 : []
     정답률 : 56%

29. 터널측량을 지상측량과 비교했을 때의 특징적인 내용이 아닌 것은?
     1. 망원경의 십자선은 조명 장치 등으로 구분이 용이 하여야 한다.
     2. 측점은 천정에 설치하기도 한다.
     3. 터널 내의 곡선 설치는 장소가 협소하므로 편각법을 주로 사용한다.
     4. 터널 내는 좁고, 어두우며, 급경사인 경우가 많으므로 특별한 기계장치의 조합이 필요하다.

     정답 : []
     정답률 : 70%
     <문제 해설>
터널 내 곡선설치는 접선 편거 또는 현편거법을 주로 사용한다.
[해설작성자 : 해설집]

30. 그림과 같은 유토곡선에 대한 설명으로 옳은 것은?

    

     1. 상향부분 A~C 구간은 성토구간을 나타낸다.
     2. 기선 OX상의 B, D에서는 토량의 이동이 없다.
     3. C점은 성토에서 절토로 변하는 점이다.
     4. 이 곡선은 결과적으로 토량이 남는다는 것을 의미한다.

     정답 : []
     정답률 : 74%

31. 측량결과에 의하여 그림과 같이 절토고를 얻었다면 절토량은 얼마인가? (단, 각 분할된 구역은 가로 x 세로 = 20m x 10m로 동일하다.)

    

     1. 1,375m3
     2. 1,425m3
     3. 1,475m3
     4. 1,525m3

     정답 : []
     정답률 : 56%

32. 경관측량에서 지점경관의 구성요소가 아닌 것은?
     1. 시점(視點)
     2. 종점(終點)
     3. 주대상(主對象)
     4. 대상장(對象場)

     정답 : []
     정답률 : 54%
     <문제 해설>
지점경관 구성요소는 시점,시점장,주대상,대상장으로 나눌 수 있다
[해설작성자 : 이걸 따야하나..]

33. 지적측량에 사용되지 않는 방법은?
     1. 위성측량
     2. 평판측량
     3. 경위의 측량
     4. 수준측량

     정답 : []
     정답률 : 53%

34. 노선이 기점에서 교점(I.P)까지의 거리가 136.895km 이고 교점에서 곡선시점(B.C)까지의 거리가 173m 이며 곡선길이(C.L)가 337m 일 때 20m 간격으로 중심말뚝을 설치할 때, 단곡선의 시단현과 종단현의 길이는?
     1. 시단현 15m, 종단현 13m
     2. 시단현 13m, 종단현 15m
     3. 시단현 18m, 종단현 19m
     4. 시단현 19m, 종단현 18m

     정답 : []
     정답률 : 56%

35. 다음 중 완화곡선의 성질에 대한 설명으로 옳은 것은?
     1. 곡선반지름은 완화곡선의 시점과 종점에서 무한대에 접근한다.
     2. 완화곡선의 접선은 시점에서는 직선, 종점에서는 원호에 접한다.
     3. 시점에 있는 캔트는 원곡선의 캔트와 같다.
     4. 완화곡선은 직선부와 직선부 사이에 설치하는 완충곡선이다.

     정답 : []
     정답률 : 83%

36. 제방의 축설, 교량의 가설, 배수 등 주로 치수(治水)목적에 이용되는 수위는?
     1. 평균최저수위
     2. 평균수위
     3. 평균최고수위
     4. 경계수위

     정답 : []
     정답률 : 65%

37. 지하시설물 측량에 대한 설명으로 옳은 것은?
     1. 지표를 굴착하지 않고 매설물의 위치와 심도 등을 측량하는 것이다.
     2. 지표를 굴착하여 매설물의 위치와 심도 등을 확인하는 측량을 의미한다.
     3. 측량장비로는 주로 토털스테이션이나 GPS가 이용된다.
     4. 주로 지하수의 분표 및 유량 등에 관한 자료를 얻기 위한 측량을 의미한다.

     정답 : []
     정답률 : 57%

38. 원곡선의 교각(l)=28°08′25, 반지름(R)=150m, 외할(E)=4.64m인 원곡선을 동일한 교각을 갖는 외할(E')=7.64m의 원곡선으로 변경할 때 구성되는 새로운 원곡선의 반지름은?
     1. 97m
     2. 138m
     3. 235m
     4. 247m

     정답 : []
     정답률 : 49%

39. 하천측량의 평면측량 범위에 대한 설명으로 옳은 것은?
     1. 제방이 있으면 제내지 부분은 약300m이내 정도이다.
     2. 제방이 없으면 하천중앙선에서 300m이내 정도이다.
     3. 제방이 있으면 제외지 부분은 포함할 필요가 없다.
     4. 제방이 없으면 홍수 흔적보다 약간 좁게 한다.

     정답 : []
     정답률 : 73%

40. 다음 중 노선측량에서 구조물의 장소에 대해서 지형도와 종단면도를 작성하는 측량은?
     1. 조사측량
     2. 세부측량
     3. 설계측량
     4. 공사측량

     정답 : []
     정답률 : 33%

3과목 : 사진측량 및 원격탐사


41. 불규칙사각망(TIN)에 의해 지형을 표현하는 방식의 특징에 대한 설명으로 틀린 것은?
     1. 벡터구조로 지형데이터의 표현을 위한 위상을 갖는다.
     2. 격자방식과 비교하여 비교적 적은 자료량을 사용하여 전반적인 지형의 형태를 나타낼 수 있다.
     3. 고도값의 표현에 있어서 동일한 밀도의 동일한 크기의 격자를 사용한다.
     4. 격자방식보다 비교적 손쉬운 자료의 편집과 실시간 지표면의 모델링 등 다양한 기능을 제공한다.

     정답 : []
     정답률 : 49%

42. 다음 중 사진 판독의 요소에 해당하지 않는 것은?
     1. 색조, 모양
     2. 과고감, 상호위치관계
     3. 형상, 음영
     4. 좔영날짜, 좔영고도

     정답 : []
     정답률 : 75%
     <문제 해설>
색조,모양,질감,형상,크기,음영,상호위치관계,과고감
[해설작성자 : 이걸 따야하나..]

43. 다음 중 동일 사진축척의 조건에서, 도심지에 대한 항공사진 촬영시 고층빌딩으로 인한 사각부 발생 영향을 최소화하기 위한 촬영방법은?
     1. 광각 카메라 대신 초광각 카메라를 사용하고 중복도를 10~20% 감소시킨다.
     2. 광각 카메라 대신 초광각 카메라를 사용하고 중복도를 10~20% 증가시킨다.
     3. 광각 카메라 대신 보통각 카메라를 사용하고 중복도를 10~20% 감소시킨다.
     4. 광각 카메라 대신 보통각 카메라를 사용하고 중복도를 10~20% 증가시킨다.

     정답 : []
     정답률 : 64%

44. 촬영고도 3,000m에서 촬영한 사진Ⅰ의 주점기선길이는 59mm, 사진Ⅱ의 주점기선길이는 61mm 일 때 시차차 1.5mm인 건물의 높이는?
     1. 95m
     2. 85m
     3. 75m
     4. 65m

     정답 : []
     정답률 : 56%

45. 인공위성을 이용한 원격탐사의 특징으로 틀린 것은?
     1. 다중 파장대에 의한 지구 표면, 정보획득이 용이하다.
     2. 회전주기가 일정하므로 원하는 지점 및 시기에 관측하기 쉽다.
     3. 짧은 시간 내에 넓은 지역을 동시에 관측할 수 있으며, 반복 관측이 가능하다.
     4. 관측이 좁은 시야각으로 행해지므로 얻어진 영상은 정사투영에 가깝다.

     정답 : []
     정답률 : 84%

46. 초점거리 15cm, 사진크기 23cm×23cm인 광각사진기로 종중복도 60%, 노출점간 최소 소요시간 40초, 촬영고도 3,000m로 촬영계획하면 항공기 운항속도는 몇km/hr로 유지해야 하는가?
     1. 158.6km/hr
     2. 165.6km/hr
     3. 186.5km/hr
     4. 200.8km/hr

     정답 : []
     정답률 : 59%

47. 수치지도 제작에 사용되는 용어 설명 중 틀린 것은?
     1. 도곽이라 함은 일정한 크기에 따라 분할된 지도의 가장 자리에 그려진 경계선을 말한다.
     2. 좌표라 함은 좌표계상에서 지형ㆍ지물의 위치를 수치적으로 나타낸 값을 말한다.
     3. 수치지도작성이라 함은 각종 지형공간정보를 취득하여 전산시스템에서 처리 할 수 있는 형태로 제작 또는 변환하는 일련의 과정을 말한다.
     4. 메타데이터라 함은 작성된 수치지도의 결과가 목적에 부합하는지 여부를 판단하는 것을 말한다.

     정답 : []
     정답률 : 75%

48. 다음 중 지형공간정보체계에 대한 설명 중 틀린 것은?
     1. 지구 및 우주공간 등의 제반 과학적 현상에 관한 각종 정보를 전산기에 의해 종합적으로 처리하는 정보체계이다.
     2. 자료입력 방식 중 격자방안방식이 선추적방식에 비해 정확하게 경계선을 추출할 수 있다.
     3. 자료취득방법으로는 경제적이면서 비교적 정확도가 높은 항송사진에 의한 방법이 있다.
     4. 지형공간정보를 구성하는 속성정보는 위치에 관련된 정성적인 자료 및 정량적인 자료

     정답 : []
     정답률 : 44%

49. GIS 응용 시스템을 구현하기 위한 작업 절차로 옳은 것은?
     1. 요구분석→현행물리모델 설계→레이어 DB설계→신논리모델 설계 →응용업무 구현→시험
     2. 요구분석 → 신논리모델설계 → 현행물리모델 설계 → 레이어 DB설계 → 응용업무 구현 → 시험
     3. 요구분석 → 현행물리모델 설계 → 신논리모델 설계 → 레이어 DB설계 → 응용업무 구현 → 시험
     4. 요구분석 → 레이어 DB 설계 → 현행물리모델 설계 → 신논리모델 설계 → 응용업무 구현 → 시험

     정답 : []
     정답률 : 47%

50. 다음 중 GIS의 주요 기능이 아닌 것은?
     1. 자료 처리
     2. 자료 출력
     3. 자료 복원
     4. 자료 관리

     정답 : []
     정답률 : 79%
     <문제 해설>
GIS의 주요 기능
자료입력 , 자료처리 , 자료출력
[해설작성자 : 이걸 따야하나..]

51. 공간데이터베이스 내에 저장되는 객체가 갖는 정보로서 객체 간, 공간의 위치나 관계설을 좀 더 정량적으로 구현하기 위한 것은?
     1. 도형정보
     2. 속성정보
     3. 관계정보
     4. 위상정보

     정답 : []
     정답률 : 77%

52. 다음 중 사진측량용 카메라의 특징 중 옳지 않은 것은?
     1. 초점거리가 일반카메라에 비해 길다.
     2. 렌즈왜곡이 적으며 보정이 가능하다.
     3. 셔터스피드는 1/100~1/1,000초 정도이다.
     4. 피사각(화각)이 적으며, 렌즈지름도 작다.

     정답 : []
     정답률 : 62%
     <문제 해설>
측량용 사진기는 화각이 크고 렌즈 지름이 크다
[해설작성자 : 이걸 따야하나..]

53. 항공사진측량을 위하여 초점거리 200mm의 사진기로 1 : 20000 입체사진을 촬영했을 때 일반적으로 허용되는 정확도의 범위로 옳은 것은?
     1. 수평위치(X,Y) 정확도는 0.2~0.6m, 수직위치(H) 정확도는 0.4~0.8m
     2. 수평위치(X,Y) 정확도는 1.2~1.4m, 수직위치(H) 정확도는 1.2~1.6m
     3. 수평위치(X,Y) 정확도는 0.6~1.0m, 수직위치(H) 정확도는 0.2~0.6m
     4. 수평위치(X,Y) 정확도는 0.2~0.4m, 수직위치(H) 정확도는 0.8~1.2m

     정답 : []
     정답률 : 46%

54. GIS에서 커버리지 또는 레이어(coverage or layer)에 대한 설명으로 옳지 않은 것은?
     1. 단일주제와 관련된 데이터 세트를 의미한다.
     2. 균등한 특성을 갖는 래스터정보의 기본요소를 의미한다.
     3. 공간자료와 속성자료를 갖고 있는 수치지도를 의미한다.
     4. 하나의 인공위성 영상에 포함되는 지상의 면적을 의미하기도 한다.

     정답 : []
     정답률 : 42%
     <문제 해설>
레이어는 한 주제도를 다루는 데 중첩되는 다양한 자료들로 한 커버리지의 자료파일을 말한다. 레이어와 커버리지 모두 수치화된 지도형태를 갖고 있다.
[해설작성자 : 이걸 따야하나..]

55. 어떤 위치의 속성을 그 위치에서 가장 가까운 지점의 값으로 지정할 수 있도록 구역을 설정하는 점대면 보간방법으로, 강우량 자료보간에 많이 쓰이는 방법은?
     1. 역거리경중법
     2. Kriging
     3. Thiessen polygon
     4. TIN

     정답 : []
     정답률 : 57%

56. 수치사진측량(digital photogrammetry)에서 상호 표정의 자동화를 위해 요구되는 기법은?
     1. 디지타이징
     2. 좌표등록
     3. 영상정합
     4. 직접표정

     정답 : []
     정답률 : 55%

57. GPS/INS를 이용한 항공사진측량의 장점으로 옳은 것은?
     1. 해석적 내부표정을 쉽게 할 수 있다.
     2. 해석적 상호표정을 쉽게 할 수 있다.
     3. 지상기준점측량의 작업량을 줄일 수 있다.
     4. 수치사진측량 기술을 적용할 수 있다.

     정답 : []
     정답률 : 55%

58. 어느 지역의 비고가 200m인 곳에서 촬영한 연직사진의 축척이 1:50000일 때 이 사진의 비고에 의한 최대 변위량은? (단, 사진의 크기는 23cm x 23cm, 초점거리 210mm이다.)
     1. 0.15cm
     2. 0.31cm
     3. 0.43cm
     4. 0.71cm

     정답 : []
     정답률 : 35%

59. 다음 중 자료 압축저장 기법이 아닌 것은?
     1. 체인코드(Chain code)
     2. 사지수형(Quadtree)
     3. 블록코드(block code)
     4. 휴변환(Houhg transformation)

     정답 : []
     정답률 : 57%

60. 항공사진측량의 특성에 대한 설명으로 틀린 것은?
     1. 축척변경이 용이하다.
     2. 동체관측에 의한 보존이용이 가능하다.
     3. 분업화에 의해 능률적이다.
     4. 대축척일수록 경제적이다.

     정답 : []
     정답률 : 70%
     <문제 해설>
대축척 측량은 보다 높은 정확도를 요구하므로 소축척에 비해 지형도 제작이 고가이다.
[해설작성자 : 이걸 따야하나..]

4과목 : 지리정보시스템


61. 등고선의 종류와 지형도의 축적에 따른 등고선의 간격에 대한 설명으로 틀린 것은?
     1. 주곡선은 지형표시의 기본이 되는 곡선으로 가는 실선을 사용하여 나타낸다.
     2. 등고선의 간격은 측량의 목적 및 지역의 넓이, 작업에 관련한 경제성, 토지의 현황, 도면의 축척, 도면의 읽기 쉬운 정도 등을 고려하여 결정한다.
     3. 계곡선은 등고선의 수 및 표고를 쉽게 읽도록 주곡선 5개마다 굵게 표시한 곡선으로 굵은 실선을 사용하며 축척 1:50,000지형도의 경우에 간격이 50m 이다.
     4. 간곡선은 주곡선의 ½ 간격으로 삽입한 곡선으로 가는 파선으로 나타내며 축척 1:25,000지형도에서는 5m 간격이다.

     정답 : []
     정답률 : 59%

62. 정밀도를 표현하는 방법에 대해 설명한 것 중 옳지 않은 것은? (단, n : 관측 횟수)
     1. 동일한 경중률인 경우 표준오차는 1회 관측에 대한 표준편차를 √n으로 나눈값과 같다.
     2. 확률오차는 확률곡선에서 곡선 아래의 면적을 1/2로 하는 오차이다.
     3. 평균오차는 각 관측값과 그의 평균값의 차의 절대값에 대한 산술평균값으로 구한다.
     4. 편차의 제곱의 합에 대한 평균을 표준편차라 한다.

     정답 : []
     정답률 : 39%

63. 노선길이 2km의 결합트래버스에서 폐합비의 제한을 1:5000로 할 때 허용되는 위치의 폐합차는?
     1. 0.2m
     2. 0.4m
     3. 0.6m
     4. 0.8m

     정답 : []
     정답률 : 60%

64. 트래버스 측량에 있어서 어느 방향선의 바북 방위각을 측정하여 216°25 을 얻고 이 지점의 자침의 편각이 서편 6°40 이었다. 이 방향선의 진방위각은?
     1. 116° 55′
     2. 119° 45′
     3. 209° 45′
     4. 223° 05′

     정답 : []
     정답률 : 60%

65. A, B, C 세 점에서 삼각수준측량에 의해 P점 높이를 구한 결과 각각 365.13m, 365.19m, 365.02m 이었다. 그 거리가 =2km, =3km 일때 P점의 최확값은?
     1. 365.125m
     2. 365.113m
     3. 365.100m
     4. 366.086m

     정답 : []
     정답률 : 65%

66. 그림과 같은 삼각망에서 CD의 방위는?

    

     1. S 12° 51' 50" E
     2. S 12° 11' 50" W
     3. S 23° 51' 10" E
     4. S 23° 45' 30" E

     정답 : []
     정답률 : 60%

67. 각 측정기의 조정이 완전한 경우 성립조건이 아닌 것은?
     1. 시준선은 수평분도원과 직각이다.
     2. 시준선은 연직축과 직각을 이룬다.
     3. 수평축은 연직분도원과 직각이다.
     4. 연직축은 수평분도원과 직각이다.

     정답 : []
     정답률 : 52%

68. 최소제곱법에 대한 설명으로 옳은 것은?
     1. 같은 정밀도로 측정된 측정값에서는 오차의 제곱의 합이 최대일 때 최확값을 얻을 수 있다.
     2. 최소제곱법을 이용하여 정오차를 제거한다.
     3. 관측값이 서로 다른 경중률을 가질 때에는 최소제곱법을 사용할 수 없다.
     4. 최소제곱법의 해법에는 관측방정식과 조건방정식이 있다.

     정답 : []
     정답률 : 20%

69. 토탈스테이션의 기본적인 기능과 거리가 먼 것은?
     1. EDM이 갖고 있는 거리 측정 가능
     2. 디지털 데오도라이트가 갖고 있는 각 측정 기능
     3. 각과 거리 측정에 의한 좌표 계산 기능
     4. 디지털구적기가 갖고 있는 면적 측정 기능

     정답 : []
     정답률 : 75%

70. 다음 중 삼각망의 정확도가 높은 순서대로 나열된 것은?
     1. 단열 삼각망 > 유심 삼각망 > 사변형 삼각망
     2. 사변형 삼각망 > 무신 삼각망 > 단열 삼각망
     3. 유심 삼각망 > 단열 삼각망 > 사변형 삼각망
     4. 사변형 삼각망 > 단열 삼각망 > 유심 감각망

     정답 : []
     정답률 : 52%
     <문제 해설>
2.무신 삼각망 -유심 삼각망

71. 수준측량에 사용되는 용어에 대한 설명으로 옳은 것은?
     1. 전시는 전후의 측량을 연결할 때 사용한다.
     2. 후시는 기지의 측점에 세운 표척의 읽음값이다.
     3. 기계고는 지면에서부터 망원경 중심까지의 높이이다.
     4. 수준면은 각 측점에서 지오디드면과 직교하는 모든점을 잇는 곡면이다.

     정답 : []
     정답률 : 68%

72. GPS 수신기의 검사방법으로 옳지 않은 것은?
     1. 검사는 국토지리정보원이 설치한 GPS수신기의 비교기선장에서 한다.
     2. 측정은 단독측위 방식으로 실시한다.
     3. GPS 위성의 최저관측 고도각은 15°이상으로 한다.
     4. 비교기선장의양측점에 GPS 수신기를 정치하고 측정한다.

     정답 : []
     정답률 : 56%

73. 점 C와 D의 평면좌표를 구하기 위하여 기지 삼각점 A, B로부터 사변형삼각망에 의한 삼각측량을 실시하였다. 변조정에 앞서 각조정 실시에 필요한 최소한의 조건식이 아닌 것은?

    

     1. α1256
     2. α1278=180°
     3. α3478
     4.

     정답 : []
     정답률 : 73%

74. 우연 오차의 성질에 대한 설명으로 옳지 않은 것은?
     1. 큰 오차가 생길 확률은 작은 오차가 생길 확률보다 작다.
     2. 같은 크기의 정(+)오차와 부(-)오차의 발생확률은 같다.
     3. 우연오차는 부호와 크기가 규칙적으로 나타난다.
     4. 매우 큰 오차는 거의 발생하지 않는다.

     정답 : []
     정답률 : 55%

75. 각측정기의 수평축이 연직축과 직교하지 않은 기계로 측정할 때의 오차소거법에 대한 설명으로 옳은 것은?
     1. 망원경의 정위 및 반위의 관측결과를 평균한다.
     2. 소거가 불가능하다.
     3. 눈금판을 재조정한다.
     4. 직교에 대한 편차를 구하여 더한다.

     정답 : []
     정답률 : 58%

76. 정밀한 수준 측량에서 수준 표척의 전ㆍ후 거리를 되도록 같게 하는 이유와 거리가 먼 것은?
     1. 지구의 곡률로 인한 오차를 소거한다.
     2. 광선의 굴절로 인한 오차를 소거한다.
     3. 기계의 조정불량에 의한 오차를 소거한다.
     4. 과대오차를 소거하여 계산을 용이하게 하기 위해서이다.

     정답 : []
     정답률 : 64%

77. 축척 1:25,000의 지형도에서 963m의 산정으로부터423m의 산밑까지의 거리가 95mm이었다. 이때 사면의 경사는 약 얼마이가?
     1. 1/7.4
     2. 1/6.4
     3. 1/5.4
     4. 1/4.4

     정답 : []
     정답률 : 49%

78. 크래버스 측량에서 A, B, C점에 대하셔 위거(L)와경거(D)를 계산하여 LAB=80.0m, DAB=20.0m, LBC=-40.0m, DBC=30.0m의 결과를 얻었다. AC의 거리는? (단, LAB: AB측선의 위거, DAB:AB측선의경거)
     1. 61.454m
     2. 61.789m
     3. 62.073m
     4. 64.031m

     정답 : []
     정답률 : 28%

79. 등고선에 대한 설명으로 틀린 것은?
     1. 등고선 간의 최단거리 방향은 최대 경사방향을 나타낸다.
     2. 높이가 다른 등고선은 절대로 서로 교차하지 않는다.
     3. 등고선이 도면 내에서 폐합하는 경우 등고선의 내부에는 산꼭대기 또는 분지가 있다.
     4. 등고선은 분수선과 직각으로 만나다.

     정답 : []
     정답률 : 61%

80. 경중률(weight)에 대한 설명 중 틀린 것은?
     1. 관측값의 신뢰도를 나타낸다.
     2. 관측횟수에 반비례한다.
     3. 관측거리에 반비례한다.
     4. 평균제곱근오차의 제곱에 반비례한다.

     정답 : []
     정답률 : 67%

81. 국가지명위원회의 부위원장이 되는 자는?
     1. 국토지리정보원에서 지명업무를 담당하는 과장 또는 담당관
     2. 국토지리정보원장 및 국립해양조사원장
     3. 국토해양부차관
     4. 행정안전부차관

     정답 : []
     정답률 : 53%

82. 공공측량성과의 심사에서 측량성과 심사수탁기관은 성과심사의 신청접수일로부터 통상적으로 며칠 이내에 심사결과를 통지하여야 하는가?
     1. 10일
     2. 20일
     3. 30일
     4. 60일

     정답 : []
     정답률 : 39%

83. 공공측량의 실시공고에 포함되어야 할 사항이 아닌 것은?
     1. 측량의 종류
     2. 측량의 목적
     3. 측량의 규모
     4. 측량의 실시기간

     정답 : []
     정답률 : 50%

84. 측량업의 종류에 해당되지 않는 것은?
     1. 지적측량업
     2. 지하시설물측량업
     3. 연안조사측량업
     4. 특수측량업

     정답 : []
     정답률 : 52%

85. 1:5000 지형도 제작 시 바다에서의 수애선은 어느 시기의 수위를 기준으로 하는가?
     1. 측량당시의 수위
     2. 간조시의 수위
     3. 평균해수면의 수위
     4. 만조시의 수위

     정답 : []
     정답률 : 31%

86. 지적도에 등록된 경계점의 정밀도를 높이기 위하여 작은 축척을 큰 축척으로 변경하여 등록하는 것을 무엇이라 하는가?
     1. 축척변경
     2. 등록전환
     3. 분할
     4. 축척재등록

     정답 : []
     정답률 : 61%

87. 다음 중 가장 무거운 기준의 벌칙을 받는 자는?
     1. 입찰의 공정성을 해친 자
     2. 측량기준점표지를 파손한 자
     3. 측량업 등록을 하지 아니하고 측량업을 영위한 자
     4. 측량성과를 위조한 자

     정답 : []
     정답률 : 62%

88. 측량업의 종류와 업무 내용이 잘못 짝이어진것은?
     1. 측지측량업 - 기본측량으로서 국가기준점의 측량 및 지형·지물에 대한 측량
     2. 항공촬영법 - 항공기를 이용한 측량용 공간 영상정보 등의 촬영·제작과 DB 구축
     3. 영상처리업 - 측량용 사진과 위성영상을 이용한 도화기상에서의 지형·지물의 측정 및 묘사와 그에 관련된 좌표측량, 영상판독 및 현지조사
     4. 수치지도제작업 - 지도(수치지도 포함) 제작을 위한 지리조사, 영상판독, 데이터의 입력·출력 및 편집, 지형공간정보체계의 구축

     정답 : []
     정답률 : 34%

89. 다음 중 공공측량의 정의에 의해 "대통령령으로 정하는 측량" 의 대상이 없는 것은?
     1. 측량실시지역의 면적이 10제곱킬로미터인 기준점 측량, 지형측량 및 평면측량
     2. 측량노선의 길이가 5킬로미터인 기준점 측량
     3. 촬영지역의 면적이 5제곱킬로미터인 측량용 사진의 촬영
     4. 공공의 이해에 특히 관계가 있다고 인정되는 사설철도의 부설, 간척 및 매립사업 등에 수반되는 측량

     정답 : []
     정답률 : 57%

90. 측량기기의 성능검사 대상과 주기로 옳은 것은?
     1. 레벨 및 거리 측정기 : 4년
     2. GPS 수신기 : 3년
     3. 토털 스테이션 : 2년
     4. 금속관로탐지기 : 1년

     정답 : []
     정답률 : 52%

91. 그림과 같은 평면도의 받침판 표지를 갖고 있는 국가기준점은?

    

     1. 위성기준점
     2. 통합기준점
     3. 삼각점
     4. 수준점

     정답 : []
     정답률 : 71%

92. 공공측량 작업계획서에 포함되어야 할 사항과 거리가 먼 것은? (단, 그 밖에 작업에 필요한 사항은 제외)
     1. 공공측량의 투입 인력 명단
     2. 공공측량의 위치 및 사업량
     3. 공공측량의 사업명
     4. 사용할 측량기기의 종류 및 성능

     정답 : []
     정답률 : 65%

93. 지도도식규칙에 대한 설명으로 옳지 않은 것은?
     1. 측량성과를 이용하여 간행하는 지도의 도식에 관한 기준을 정한 것이다.
     2. 기본측량 및 공공측량의 성과로서 지도를 간행하는 경우에 적용하다.
     3. 기본측량 및 공공측량 성과를 간접적으로 이용하는 지도간행물에는 적용하지 않는다.
     4. 군사용의 지도와 그 간행물에 대하여는 적용하지 않을 수 있다.

     정답 : []
     정답률 : 58%

94. 측량의 기준에 대한 설명으로 틀린 것은?
     1. 측량의 원점은 대한민국 경위도원점 및 수준원점으로 한다.
     2. 위치는 세계측지계에 따라 측정한 지리학적 경위도와 높이로 표시한다.
     3. 해안선은 해수면이 약최저저조면에 이르렀을 때의 육지와 해수면과의 경계로 표시한다.
     4. 세계측지계, 측량의 원점 값의 결정 및 직각 좌표의 기준 등에 필요한 사항은 대통령령으로 정한다.

     정답 : []
     정답률 : 67%

95. 다음 중 용어에 대한 정의로 옳지 않은 것은?
     1. 기본측량이란 국토개발을 위한 기초 자료가 되는 공간정보를 제공하기 위하여 대통령이 실시하는 측량을 말한다.
     2. 공공측량이란 국가, 지방자치단체, 그 밖에 대통령령으로 정하는 기관이 관계 법령에 따른 사업 등을 시행하기 위하여 기본측량을 기초로 실시하는 측량을 말한다.
     3. 지적측량이란 토지를 지적공부에 등록하거나 지적공부에 등록된 경계점을 지상에 복원하기 위해 시행하는 측량을 말한다.
     4. 수로측량이란 해양의 수심·지구자기·중력·지형·지질의 측량과 해안선 및 이에 딸린 토지의 측량을 말한다.

     정답 : []
     정답률 : 60%

96. 측량의 기준인 세계측지계의 기준 요건으로 틀린 것은?
     1. 장반경 : 6,378,137m
     2. 편평률 : 1/298.257222101
     3. 회전타원체의 중심이 지구의 질량중심과 일치할것
     4. 회전타원체의 장축이 지구의 자전축과 일치 할 것

     정답 : []
     정답률 : 56%

97. 공공측량시행자가 공공측량 작업계획서를 제출해야 하는 시기에 대한 기준은?
     1. 공공측량을 하기 10일 전
     2. 공공측량을 하기 20일 전
     3. 공공측량을 하기 30일 전
     4. 공공측량을 하기 40일 전

     정답 : []
     정답률 : 30%

98. 기본측량의 실시 공고에 포함되어야 하는 사항으로 옳은 것은?
     1. 측량의 정확도
     2. 측량성과의 보관 장소
     3. 설치한 측량기준점의 수
     4. 측량의 실시지역

     정답 : []
     정답률 : 45%

99. 기본측량성과 및 기본측량기록을 사용한 지도나 그 밖에 필요한 간행물(지도 등) 또는 측량용 사진을 국외로 반출하고자 할 경우 원칙적으로 누구의 허가를 받아야 하는가?
     1. 대통령
     2. 행정안전부장관
     3. 국토해양부장관
     4. 시·도지사

     정답 : []
     정답률 : 61%

100. 측량·수로조사및지적에관한법률에서 정하는 측량(수로조사 제외)을 할 수 있는 기술자에 해당되지 않는 자는?
     1. 측량 및 지형공간정보 기사
     2. 지도제작기능사
     3. 도화기능사
     4. 고등학교 졸업자로 2년의 측량업무를 수행 한 자

     정답 : []
     정답률 : 50%


정 답 지

1

2

3

4

5

6

7

8

9

10

11

12

13

14

15

16

17

18

19

20

21

22

23

24

25

26

27

28

29

30

31

32

33

34

35

36

37

38

39

40

41

42

43

44

45

46

47

48

49

50

51

52

53

54

55

56

57

58

59

60

61

62

63

64

65

66

67

68

69

70

71

72

73

74

75

76

77

78

79

80

81

82

83

84

85

86

87

88

89

90

91

92

93

94

95

96

97

98

99

100

측량및지형공간정보기사 필기 기출문제(해설) 및 CBT 2011년06월12일을 이용해 주셔서 감사합니다.
, 필기, 기출문제, 전자문제집, CBT, 온라인, 모의테스트, 모의고사



List of Articles
번호 제목 글쓴이 날짜 조회 수
9645 측량및지형공간정보기사 필기 기출문제(해설) 및 CBT 2012년09월15일(2495) 좋은아빠되기 2025.11.25 2
9644 측량및지형공간정보기사 필기 기출문제(해설) 및 CBT 2012년05월20일(2494) 좋은아빠되기 2025.11.25 3
9643 측량및지형공간정보기사 필기 기출문제(해설) 및 CBT 2012년03월04일(2493) 좋은아빠되기 2025.11.25 2
9642 측량및지형공간정보기사 필기 기출문제(해설) 및 CBT 2011년10월02일(2492) 좋은아빠되기 2025.11.25 2
» 측량및지형공간정보기사 필기 기출문제(해설) 및 CBT 2011년06월12일(2491) 좋은아빠되기 2025.11.25 2
9640 측량및지형공간정보기사 필기 기출문제(해설) 및 CBT 2011년03월20일(2490) 좋은아빠되기 2025.11.25 1
9639 측량및지형공간정보기사 필기 기출문제(해설) 및 CBT 2010년09월05일(2489) 좋은아빠되기 2025.11.25 2
9638 측량및지형공간정보기사 필기 기출문제(해설) 및 CBT 2010년05월09일(2488) 좋은아빠되기 2025.11.25 3
9637 측량및지형공간정보기사 필기 기출문제(해설) 및 CBT 2010년03월07일(2487) 좋은아빠되기 2025.11.25 2
9636 측량및지형공간정보기사 필기 기출문제(해설) 및 CBT 2009년08월30일(2486) 좋은아빠되기 2025.11.25 2
9635 측량및지형공간정보기사 필기 기출문제(해설) 및 CBT 2009년05월10일(2485) 좋은아빠되기 2025.11.25 2
9634 측량및지형공간정보기사 필기 기출문제(해설) 및 CBT 2009년03월01일(2484) 좋은아빠되기 2025.11.25 3
9633 측량및지형공간정보기사 필기 기출문제(해설) 및 CBT 2008년09월07일(2483) 좋은아빠되기 2025.11.25 2
9632 측량및지형공간정보기사 필기 기출문제(해설) 및 CBT 2008년05월11일(2482) 좋은아빠되기 2025.11.25 3
9631 측량및지형공간정보기사 필기 기출문제(해설) 및 CBT 2008년03월02일(2481) 좋은아빠되기 2025.11.25 3
9630 측량및지형공간정보기사 필기 기출문제(해설) 및 CBT 2007년09월02일(2480) 좋은아빠되기 2025.11.25 3
9629 측량및지형공간정보기사 필기 기출문제(해설) 및 CBT 2007년05월13일(2479) 좋은아빠되기 2025.11.25 2
9628 측량및지형공간정보기사 필기 기출문제(해설) 및 CBT 2007년03월04일(2478) 좋은아빠되기 2025.11.25 3
9627 측량및지형공간정보기사 필기 기출문제(해설) 및 CBT 2006년09월10일(2477) 좋은아빠되기 2025.11.25 2
9626 측량및지형공간정보기사 필기 기출문제(해설) 및 CBT 2006년05월14일(2476) 좋은아빠되기 2025.11.25 3
Board Pagination Prev 1 ... 413 414 415 416 417 418 419 420 421 422 ... 900 Next
/ 900