자격증 필기 기출문제



도시계획기사 필기 기출문제(해설) 및 CBT 2016년10월01일(2576)

최강 자격증 기출문제 전자문제집 CBT : www.comcbt.com


전자문제집 CBT란?

종이 문제집이 아닌 인터넷으로 문제를 풀고 자동으로 채점하며 모의고사, 오답 노트, 해설까지 제공하는
무료 기출문제 학습 프로그램으로 실제 상설검정에서 사용하는 OMR 형식의 CBT를 제공합니다.


최신 도시계획기사 필기 기출문제 : [다운로드]

1과목 : 도시계획론


1. 다음 중 경관설계에 대한 설명으로 거리가 먼 것은?
     1. 그 지역에 살고 있는 주민의 특성을 파악하여 특정집단의 기호에 맞게 설계하여 지역주민의 만족도를 높인다.
     2. 좋은 풍경을 만드는 것으로, 풍경을 구성하는 여러 가지 공공시설이나 공공공간을 좋은 모습으로 제공하는 것이다.
     3. 사회의 기반을 담당하는 대규모의 시설이나 공간을 다루는 것은 지역의 생태계나 역사ㆍ문화가 배려되어야 한다.
     4. 사람들이 바라보아 싫증나지 않고, 사용하면서 애착이 생기며, 긴 시간이 흐름에 따라 맛이 깊어지는 것을 알려줌으로서 의미를 가진다.

     정답 : []
     정답률 : 81%

2. 환경적으로 건전하고 지속가능한 개발을 위해 환경보전과 개발을 조화시키려고 하는 추세에 따라 도시의 환경문제를 해결하기 위해 도시개발이나 도시계획에서 새롭게 대두되는 개념의 도시를 무엇이라고 하는가?
     1. Compact City
     2. U-City
     3. Eco-City
     4. Smart City

     정답 : []
     정답률 : 89%

3. 산업성장의 요인에 따른 변이할당분석에서 지역경제의 총변화(Total Share)가 50, 국가경제 성장효과(National Share)가 45, 도시경쟁력에 의한 효과(Local Factor)가 -10일 때 산업구조효과(Industry Miv)는 얼마인가?
     1. -5
     2. 5
     3. -15
     4. 15

     정답 : []
     정답률 : 74%
     <문제 해설>
총변화 효과
도시의 총소득(=총변화, 총고용성장) = 국가경제성장효과 + 도시입지경쟁력효과 + 산업구조변화효과
[해설작성자 : 1일 1깡 1CBT]

4. 다음 중 계획(planning)의 특성으로 가장 거리가 먼 것은?
     1. 현재지향적
     2. 과정지향적
     3. 환류지향적
     4. 계획주체와 대상사이의 상호작용

     정답 : []
     정답률 : 78%

5. 도시공공 시설과 관련이 없는 것은?
     1. 교육 및 문화시설
     2. 연구시설
     3. 도시가스시설
     4. 도시통신시설

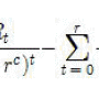
     정답 : []
     정답률 : 87%

6. 지속가능한 도시가 추구하여야 할 기본 목표가 아닌 것은?
     1. 환경부하가 높은 첨단도시
     2. 도시경관의 개선 및 보전
     3. 환경친화적 교통ㆍ물류체계의 정비
     4. 쾌적한 도시공간의 정비 및 확보

     정답 : []
     정답률 : 94%

7. 도시정부의 예산편성제도 중 조직목표달성에 중점을 두고 장기적인 계획수립과 단기적인 예산편성을 유기적으로 관련시킴으로써 지원배분에 관한 의사결정을 합리적이고 일관성 있게 행하려는 제도는?
     1. 품목별 예산제도
     2. 성과주의 예산제도
     3. 복식 예산제도
     4. 계획 예산제도

     정답 : []
     정답률 : 85%

8. 도시공원 및 녹지 등에 관한 법률에 따른 녹지의 유형과 가능에 대한 설명이 틀린 것은?
     1. 완충녹지 : 공해, 재해, 사고 등의 방지와 완화
     2. 경관녹지 : 도시의 자연적 환경을 보전하거나 이미 자연이 훼손된 지역을 복원ㆍ개선
     3. 연결녹지 : 도시 내 공원, 녹지 등을 유기적으로 연결
     4. 보전녹지 : 도시 주변 자연녹지의 훼손을 방지하고 자연 생태계의 보호를 통한 생물 다양성 확보

     정답 : []
     정답률 : 57%
     <문제 해설>
도시공원 및 녹지 등에 관한 법률 제 35조 (녹지의 세분)
1. 완충녹지: 대기오염, 소음, 진동, 악취, 그 밖에 이에 준하는 공해와 각종 사고나 자연재해, 그 밖에 이에 준하는 재해 등의 방지를 위하여 설치하는 녹지
2. 경관녹지: 도시의 자연적 환경을 보전하거나 이를 개선하고 이미 자연이 훼손된 지역을 복원ㆍ개선함으로써 도시경관을 향상시키기 위하여 설치하는 녹지
3. 연결녹지: 도시 안의 공원, 하천, 산지 등을 유기적으로 연결하고 도시민에게 산책공간의 역할을 하는 등 여가ㆍ휴식을 제공하는 선형(線型)의 녹지
[해설작성자 : 모모]

9. 유클리드 지역제(Euclidean Zoning)에 대한 설명으로 틀린 것은?
     1. 토지의 용도를 사전에 확정적으로 지정하였다.
     2. 토지이용의 규제는 각각의 필지 단위를 중심으로 하였다.
     3. 개발의 억제보다 개발의 유도 및 촉진에 관심을 두었다.
     4. 주택지에 공장ㆍ아파트 등을 배제하는 용도의 순화를 도모하였다.

     정답 : []
     정답률 : 77%

10. 그리스의 건축가이며 도시계획가인 히포다무스는 도시계획에 관한 3조이론을 제안하였다. 여기서 3개조로 이루어진 건물집단 및 지구와 도로배치를 구분하기 위해 구성된 시민계급의 분류에 해당되지 않는 것은?
     1. 사제집단
     2. 농부집단
     3. 무장한 군인집단
     4. 예술가 집단

     정답 : []
     정답률 : 72%
     <문제 해설>
3조이론
농부, 무장한 군인, 예술가 집단
[해설작성자 : 1일 1깡 1CBT]

11. 계획이론 중 종합적 계획이 갖는 비현실성에 대한 비판과 보완에서 출발하여, 논리적 일관성이나 최적의 해결 대안을 제시하는 것보다는 지속적인 조정과 적용을 통하여 계획의 목표를 추구하는 접근 방법을 제시한 학자와 이론의 연결이 옳은 것은?
     1. Friedmann : 교류적(Transactive) 계획
     2. Davidoff : 옹호적(Advocacy) 계획
     3. Faludi : 체계적(System) 계획
     4. Lindblom : 점진적(Incremental) 계획

     정답 : []
     정답률 : 74%
     <문제 해설>
설명중 종합적걔획의 비현실성에 대한 비판, 지속적인 조정과 적용으로보아
린드블룸의 점진적 계획이 답입니다.
[해설작성자 : 집거북이]

12. 다음 중 21세기 새로운 도시계획의 흐름에 대한 설명으로 옳지 않은 것은?
     1. U-City는 유비쿼터스 컴퓨팅, 정보통신 기술을 기반으로 도시 전반의 영역을 융합하여 통합되고 지능적이며, 스스로 혁신되는 도시로 정의할 수 있다.
     2. 도시재생이란 대도시 도심지역에서의 인구 및 산업의 회귀를 촉진하고 재활성화를 모색하기 위한 최근의 계획경향이다.
     3. 친환경 생태도시(Eco-City)는 환경적 자연자원 조건ㆍ사회경제적 요소와 공동체적인 요소까지 고려한 다양한 측면에서의 지속가능한 도시조성의 개념이다.
     4. 압축도시(Compact City)는 토지이용의 분산과 도시의 엄격한 기능분리를 통해 기존 도심의 과밀 등 도시문제를 해결하기 위한 새로운 미래도시 개념이다.

     정답 : []
     정답률 : 87%

13. 지구단위계획구역의 지정 근거 법에 해당되지 않는 것은?
     1. 주택법
     2. 관광진흥법
     3. 도시재정비촉진특별법
     4. 산업입지 및 개발에 관한 법률

     정답 : []
     정답률 : 47%

14. 샤핀(F.S,Chapin, 1965)이 제시한 토지이용의 결정요인 분류에 해당하지 않는 것은?
     1. 공공의 이익요인
     2. 경제적 요인
     3. 문화적 요인
     4. 사회적 요인

     정답 : []
     정답률 : 70%

15. 민간투자사업의 투자 방식의 설명 중 맞는 것은?
     1. BOO(Build-Own-Operatr) 방식 : 사업시행자가 사회간접자본시설을 준공한 후 일정 기간 동안 운영권을 정부에 임대하고 임대 기간 종료 후 시설물을 국가 또는 지방자치단체에 이전하는 방식
     2. BOT(Build-Own-Transfer) 방식 : 사회간접자본시설의 준공과 동시에 사업시행자에게 당해 시설을 소유권이 인정되는 방식
     3. BTO(Build-Transfer-Operatr) 방식 : 사회간접자본시설의 준공과 동시에 당해 시설의 소유권이 국가 또는 지방자치단체에 귀속되며 사업시행자에게 일정 기간의 시설관리 운영권을 인정하는 방식
     4. BLT(Build-Lease-Transfer) 방식 : 사회간접자본시설의 준공후 일정기간 동안 사업시행자에게 당해 시설의 소유권이 인정되며, 그 기간의 만료 시 시설 소유권이 국가 또는 지방자치단체에 귀속되는 방식

     정답 : []
     정답률 : 74%
     <문제 해설>
­ BTL: 민간 시행자가 건설 후 주무관청에 소유권 이전 후 일정기간 리스
­ BTO: 민간 시행자가 건설 후 주무관청에 소유권 이전 후 일정기간 운영·관리
­ BOT: 민간 시행자가 건설 후 일정기간 운영·관리 후 주무관청에 소유권 이전
­ BOO: 민간 시행자가 건설 후 소유권 및 운영·관리
­ ROT: 기존 건물 정비 후 일정기간 운영 후 주무관청에 소유권 이전
­ ROO: 기존 건물 정비 후 소유권 및 운영·관리
[해설작성자 : 무니문]

16. 기반시설로서 광장의 구분에 해당하지 않는 것은?
     1. 공중광장
     2. 일반광장
     3. 경관광장
     4. 건축물부설광장

     정답 : []
     정답률 : 76%

17. 도로망의 구성 형태별 특징이 잘못 연결된 것은?
     1. 격자형 - 도심의 기념비적인 건물을 중심으로 주변과 연결한다.
     2. 방사형 - 교통량이 도심으로 집중하는 경향이 있다.
     3. 대각선 삽입형 - 격자형과 교차하므로 토지이용상 비효율적이다.
     4. 방사환상형 - 인구 100만 이상의 대도시 계획에 적합하다.

     정답 : []
     정답률 : 83%
     <문제 해설>
도심의 기념비적인 건물을 중심으로 주변과 연결하는 형태는 방사형, 방사환상형이다
[해설작성자 : hgu_urban]

18. 다음 도시조사에 대한 설명으로 틀린 것은?
     1. 도시계획에서 활용되는 자료에 대한 조사방법은 자료원에 대한 접근에 따라 1차, 2차, 3차 자료로 나누어진다.
     2. 1차 자료조사는 조사실시방법에 따라 현지조사, 면접조사, 설문조사로 구분된다.
     3. 면접조사는 개인면접법, 전화면접법, 단체면접법으로 세분된다.
     4. 1차 자료조사는 조사대상에 따라 진수조사와 표본조사로 구분된다.

     정답 : []
     정답률 : 81%

19. 도시의 체계적인 성장관리에 채택되는 기법 가운데 기존 시가지의 집약적ㆍ합리적 토지이용을 유도하기 위한 기법으로 맞지 않는 것은?
     1. 혼합용도개발
     2. 개발부담금제
     3. 특별허가권 부여
     4. 보너스 및 장려지역제

     정답 : []
     정답률 : 73%

20. 다음 중 도시 및 주거환경정비법에 의한 도시개발사업에 해당되지 않는 것은?(관련 규정 개정전 문제로 여기서는 기존 정답인 4번을 누르면 정답 처리됩니다. 자세한 내용은 해설을 참고하세요.)
     1. 주거환경개선사업
     2. 주택재개발사업
     3. 도시환경정비사업
     4. 도시재개발사업

     정답 : []
     정답률 : 81%
     <문제 해설>
도시 및 주거환경정비법이 기존 6가지에서 3가지로 변경됨
주거환경개선사업, 재개발사업, 재건축사업

(도시환경정비사업.가로주택정비사업.주거환경관리사업은 삭제)

고로 2.3.4번 모두 정답(현재 도정법기준)
[해설작성자 : 지방직준비중]

2과목 : 도시설계 및 단지계획


21. 주택단지계획에 있어서 주택단지 내 순대지의 단위면적에 대한 밀도가 의미하는 것은?
     1. 총밀도
     2. 근린밀도
     3. 순밀도
     4. 주거밀도

     정답 : []
     정답률 : 81%

22. 근린주구론을 적용하고, 전원도시계획의 이상을 받아 저밀도 개발을 원칙으로 개발된 영국 런던 근교의 신도시는?
     1. Harlow
     2. Welwyn
     3. Cumbernauld
     4. Miton Keynes

     정답 : []
     정답률 : 74%

23. 다음 중 도로와 각 가구를 연결하는 도로이므로 통과교통이 적어 주거환경의 안전성이 확보되지만 우회도로가 없어 방재 또는 방법상에 단점이 있는 국지도로의 패턴은?
     1. 격자형
     2. 루프형
     3. T자형
     4. 쿨데삭형

     정답 : []
     정답률 : 69%

24. 도시ㆍ군계획시설의 결정 구조 및 설치기준에 관한 규칙에서의 학교의 결정기준이 아닌 것은?
     1. 일조ㆍ통풍 및 배수가 잘 되는 지역에 설치한다.
     2. 중학교 및 고등학교는 3개의 근린주거구역단위에 1개의 비율로 배치한다.
     3. 초등학교의 통학거리는 1천 미터 이내로 하고 소음도가 80dB 이하를 유지하도록 설치한다.
     4. 초등학교는 2개의 근린주거구역단위에 1개의 비율로 배치하나, 관할교육장이 필요하다고 인정하는 경우 1개의 비율보다 낮은 비율로 설치할 수 있다.

     정답 : []
     정답률 : 68%
     <문제 해설>
도시 군계획시설의 결정 구조 및 설치기준에 관한 규칙 제89조(학교의 결정기준)
- 초등학교의 통학거리는 1천 5백미터 이내로 할것
[해설작성자 : 무니문]

25. 다음 중 지구단위계획에 대한 도시ㆍ군관리계획 결정도의 아래 표시기호가 의미하는 것은?

    

     1. 보차분리통로
     2. 공공보행통로
     3. 보행주출입구
     4. 공개공지접근로

     정답 : []
     정답률 : 81%

26. 도시설계의 실제적 수립 과정 중 ()에 해당하는 것은?

    

     1. 획지 계획
     2. 목표 설정
     3. 부문별 계획
     4. 건축규제 계획

     정답 : []
     정답률 : 62%
     <문제 해설>
[도시계획과 도서실계의 위계 및 수립과정]
- 도시계획의 위계:
    광역도시계획-도시군기본계획-도시군관리계획-지구단위계획
- 도시계획의 수립과정:
    목표설정-현황조사-상황의 분석 및 미래의 예측-대안설정-대안평가 및 선택안 결정-실행
-도시설계의 실제적 수립과정:
    대상지 선정-현황 및 여건분석-기본구상-부문별 계획-도시설계안 작성-시행계획
[해설작성자 : 무니문]

27. 도시ㆍ군계획시설의 결정ㆍ구조 및 설치기준에 관한 규칙상 단지계획의 가로망을 구성할 때 주간선도로와 보조간선도로가 접속되는 교차지점의 도로 모퉁이 부분에서 보도와 차도의 경계선에 대한 곡선반경의 기준은?
     1. 8미터 이상
     2. 10미터 이상
     3. 12미터 이상
     4. 15미터 이상

     정답 : []
     정답률 : 53%

28. 도시설계와 관련된 공간 척도의 설명으로 틀린 것은?
     1. 르네상스 시대의 건축가인 알베르티는 광장의 경우, 장변과 단변의 비가 2:1, 주변 건물의 높이는 광장 단변폭의 1/3 또는 2/7 이하가 적당하다고 하였다.
     2. 19세기 독일의 건축가 메르텐츠는 건물과 시점간의 거리(D)와 건물높이(H)와의 비율은 D/H=2, 양각 35도에서 건축물을 전체적으로 파악할 수 있다고 하였다.
     3. 헷지맨과 피이츠는 건축높이의 약 2배만큼의 거리에서 보지 않으면, 건축을 전체로서 볼 수 없다고 하였다.
     4. 요시노부 아시하라는 도로폭보다 작은 치수의 점포폭이 반복될 때 가로는 활기에 넘친다고 하였다.

     정답 : []
     정답률 : 71%
     <문제 해설>
D/H = 2, 양각 27도에서 건축물을 전체적으로 파악할 수 있다고 하였다.
[해설작성자 : 성결안영재]

29. 다음 중 지구단위계획에 대한 설명으로 옳지 않은 것은?
     1. 지구단위계획구역 및 지구단위계획은 도시ㆍ군기본계획으로 결정한다.
     2. 인간과 자연이 공존하는 환경친화적 환경을 조성하고 지속가능한 개발 또는 관리가 가능하도록 하기 위한 계획이다.
     3. 지구단위계획은 향후 10년 내외에 걸쳐 나타날 시ㆍ군의 성장ㆍ발전 등의 여건변화와 향후 5년 내외에 개발이 예상되는 일단의 토지 또는 지역과 그 주변지역의 미래모습을 상정하여 수립하는 계획이다.
     4. 지구단위계획을 통한 구역의 정비 및 기능이나 미관 등의 개선에 도움을 주기 위한 계획이다.

     정답 : []
     정답률 : 56%
     <문제 해설>
도시ㆍ군기본계획이 아닌 도시ㆍ군관리계획으로 결정합니다.
[해설작성자 : 1일 1깡 1CBT]

30. 케빈린치(Kevin Lynch)가 분류한 도시이미지의 5가지 요소를 모두 옳게 나열한 것은?
     1. 도로(path), 건축물(building), 광장(plaza), 공원(park), 지구(district)
     2. 중심지구(CBD), 지구(district), 도로(path), 광장(plaza), 공장지대(factory)
     3. 경계(edge), 결절점(node), 도로(path), 지구(district), 랜드마크(landmark)
     4. 경계(edge), 하천(river), 랜드마크(landmark), 결절점(node), 중심지구(CBD)

     정답 : []
     정답률 : 89%

31. 공동구의 효과(필요성)로서 적당하지 않은 것은?
     1. 방재효율 향상
     2. 유지관리 편리
     3. 도시미관 향상
     4. 개발비용 감소

     정답 : []
     정답률 : 84%

32. 단지계획을 위한 대지조사에서 주택의 배치를 위해 고려해야 할 사항 중 적절한 일조와 조망을 위해 우선적으로 조사해야 할 사항은?
     1. 경사향(Aspect)
     2. 수문(Hydrology)
     3. 식생(Vegetation)
     4. 미기후(Micro-Climate)

     정답 : []
     정답률 : 84%

33. 다음 중 근린주구 개념을 처음으로 제창한 사람은?
     1. 페리(C. A. Perry)
     2. 테일러(G. R. Taylor)
     3. 르 고르비제(Le Corbusier)
     4. 하워드(Ebenerzer Howard)

     정답 : []
     정답률 : 86%

34. 도시ㆍ군계획시설인 도로의 사용 및 형태별 구분에 따른 일반도로의 폭은 얼마 이상인가?
     1. 2m
     2. 4m
     3. 6m
     4. 8m

     정답 : []
     정답률 : 68%

35. 주택건설기준 등에 관한 규정상 관리사무소를 설치하여야 하는 공동주택을 건설하는 주택단지의 최소 규모는?
     1. 50세대
     2. 100세대
     3. 150세대
     4. 300세대

     정답 : []
     정답률 : 58%

36. 도시지역외 지역에서 지정하는 지구단위계획 수립시, 유의할 사항으로 가장 거리가 먼 것은?
     1. 건물의 강조색은 원색도 사용 가능하나 전체 면적의 10%를 넘지 않도록 한다.
     2. 저층건물의 옥상부분은 옥상정원으로 전용하도록 장려한다.
     3. 보행인구가 많은 도로변이나 경관이 중시되는 구역에서는 창호의 면적을 가급적 작게 한다.
     4. 지분은 주변지역과 조화되는 색채로 통일하고 경사는 동일하게 하며, 주요 시설물을 랜드마크로 조성한다.

     정답 : []
     정답률 : 66%
     <문제 해설>
경관이 중시되는 구역에 작은 창호를 설치하면 경관의 효용이 떨어짐
[해설작성자 : hgu_urban]

37. 도시인구 20만인 취업률 35%, 제조업 구성비 10%, 제조업인구 1인당 점유면적 100m2, 공공용지율 30%일 때 공업지역 면적은 얼마인가?
     1. 700000m2
     2. 1000000m2
     3. 140000m2
     4. 210000m2

     정답 : []
     정답률 : 62%
     <문제 해설>
공업지역 전체면적 = (업종별종업원1인당면적 원단위 * 종업원수)/(1-공공용지율)
-> 풀이

{(100m^2/인)*(20만인*0.35*0.1)}/(1-0.3)
={(100m^2/인)*(0.7만 인)}/(0.7)
=70만 m^2/(0.7)
=100만 m^2
[해설작성자 : 무니문]

38. 단독주택용지의 가구 및 획지계획의 기준으로 틀린 것은?
     1. 단독주택용 획지로 구성된 소가구는 근린의식형성이 용이하도록 10~24획지 내외로 구성한다.
     2. 대가구 내 도로계획은 단조로움과 통과교통방지를 위하여 3지 교차도로 및 루프(loop)형 도로를 배치한다.
     3. 대가구의 규모는 어린이 놀이터 하나를 유지하는 거리로 반경 100~150m를 기준으로 한다.
     4. 획지의 형상은 건축물의 규모와 배치, 높이, 토지이용 등을 고려하여 결정하되, 가능하면 동서방향으로의 긴 장방형으로 한다.

     정답 : []
     정답률 : 67%
     <문제 해설>
4. 획지의 형상은 건축물의 규모와 배치, 인동간격, 높이, 토지이용, 차량동선, 녹지공간의 확보 등을 고려하여 장방형 또는 정방형의 형태를 결정하되, 가능하면 "남북"방향으로의 긴 장방형으로 한다.
[해설작성자 : 냉보리차]

39. 다음 중 도시ㆍ군계획시설의 결정ㆍ구조 및 설치기준에 관한 규칙에 의하여 교통광장을 구분할 때 교통광장에 해당하지 않는 것은?
     1. 역전광장
     2. 교차점광장
     3. 중심대광장
     4. 주요시설광장

     정답 : []
     정답률 : 68%
     <문제 해설>
교통광장 - 교차점광장, 주요시설광장, 역전광장
일반광장 - 중심대광장, 근린광장
[해설작성자 : 1일 1깡 1CBT]

40. 다음 중 지구단위계획 수립 시 환경관리계획의 목표로 가장 거리가 먼 것은?
     1. 개발로 인한 자연환경의 피해 최소화
     2. 자연생태계 보존 및 순환체계의 유지
     3. 자연에너지의 활용 및 에너지 절감
     4. 불투수포장의 확대로 인한 물순환체계의 유지

     정답 : []
     정답률 : 84%

3과목 : 도시개발론


41. 문화재 보존이나 환경보호 등을 위해 해당 지역의 토지소유자로 하여금 다른 지역에 대한 개발권을 부여하는 제도는?
     1. TOD
     2. TDR
     3. PUD
     4. Floating zoning

     정답 : []
     정답률 : 77%

42. 수도권에 집중되어 있는 공공기관의 지방 이전을 계기로 이들 기관과 지역의 대학, 연구소, 지방자치단체가 협력하여 지역의 새로운 성장동력을 창출하는 것을 목표로 하는 것은?
     1. 혁신도시개발사업
     2. 기업도시개발사업
     3. 도시환경재정비사업
     4. 행정중심복합도시사업

     정답 : []
     정답률 : 75%

43. 다음에서 이상도시의 제안자와 계획안들의 관계가 잘못된 것은?
     1. 풀만(Pullman)-빅토리아
     2. 마타(A, Soria Y Mara) - 선형도시
     3. 푸리에(C. Fourier) - 팔란스테르
     4. 리차드슨(Richardson) - 헤이지아

     정답 : []
     정답률 : 53%
     <문제 해설>
풀만 - 모형도시
마타 - 선형도시
푸리에 - 팔란스테르
리차드슨 - 헤이지아
[해설작성자 : 1일 1깡 1CBT]

44. 다음 중 수용 또는 사용방식에 비하여 환지방식이 갖는 장점으로 가장 거리가 먼 것은?
     1. 기존의 시설 부지를 최대한 반영할 수 있다.
     2. 조성 후 분양을 통한 수익을 기대할 수 있다.
     3. 체비지매각대금을 통하여 사업비 부담이 경감된다.
     4. 최소한의 사업비 투입으로 공공시설을 확보할 수 있다.

     정답 : []
     정답률 : 61%

45. 어느 개발사업의 운영수익이 다음과 같이 예상된다. 이 사업의 순현재가치는 약 얼마인가?

    

     1. 247억 원
     2. 272억 원
     3. 331억 원
     4. 364억 원

     정답 : []
     정답률 : 51%

46. 도시개발사업을 수행할 때 대상부지(site)의 물리적 분석을 수행하는 기대효과는?
     1. 최적 설계조건 도출
     2. 경쟁력 있는 경제기반 도출
     3. 입지 가능한 아이템(Item) 도출
     4. 도시 및 지역특성 분석을 통한 사업방향 도출

     정답 : []
     정답률 : 54%

47. 환지계획구역의 면적이 1000m2, 보류지의 면적이 400m2, 시행자에게 무상귀속되는 공공시설면적이 150m2일 때, 환지계획구역의 평균 토지부담률은 약 얼마인가?
     1. 19.4%
     2. 29.4%
     3. 39.4%
     4. 49.4%

     정답 : []
     정답률 : 60%
     <문제 해설>
토지부담률 = 보류지 면적 - 무상귀속 면적 / 환지계획구역 면적 - 무상귀속 면적*100
[해설작성자 : 1일 1깡 1CBT]

48. 다음 중 개발대상지의 상태에 따라 도시개발을 신개발과 재개발로 구분할 때, 재개발에 대한 설명으로 옳지 않은 것은?
     1. 재개발은 신개발에 비해 그 절차가 간편하고 시간이 적게 걸린다.
     2. 재개발은 기존 시가지의 일부를 개수 혹은 재건축하고 시설을 확충하는 개발행위라고 할 수 있다.
     3. 재개발의 유형은 재개발 대상의 공간적 범위와 토지이용, 재개발방식 등에 의하여 여러 가지로 나눌 수 있다.
     4. 재개발의 일반적인 목적은 주거 환경을 개선함으로써 주민의 주거안정을 도모하고 공동체적 삶의 질을 향상시키는 것이다.

     정답 : []
     정답률 : 80%

49. 다음 중 지분조달방식과 비교하여 부채조달방식이 갖는 단점으로 옳은 것은?
     1. 원리금 상환부담이 존재한다.
     2. 기업가치의 불안정으로 매매 활성화에 한계가 있다.
     3. 조달 규모의 증대로 소유주의 지분축소가 불가피하다.
     4. 자본시장의 여건에 따라 조달이 민감한 영향을 받는다.

     정답 : []
     정답률 : 62%

50. 개발권양도제(TDR)의 장점으로 틀린 것은?
     1. 개발규제의 실질적인 영속성을 제공한다.
     2. 클러스터링에 의한 개발비용의 절약이 가능하다.
     3. 토지소유자의 개발 제한에 대해 보상함으로써 높은 공정성의 확보가 가능하다.
     4. 보상간격산정에 있어 시장기구를 활용할 수 있어 자원배분의 왜곡을 방지할 수 있다.

     정답 : []
     정답률 : 61%
     <문제 해설>
개발권양도제(TDR) : 개발권과 소유권을 분리시킨 개녀믕로서 관련 법제도에 의해 개발이 제한되는 지역의 개발권을 고밀 개발이 가능한 지역으로 매매 또는 양도할 수 있도록 하는 제도를 말한다.
[해설작성자 : 꼬멩이]

51. 이미 악화된 지역에 대하여 기존시설을 보존하면서 노후 및 불량화 요인만을 제거하여 구역의 기능과 환경을 회복하는 재개발방식은?
     1. 전면재개발
     2. 수복재개발
     3. 보전재개발
     4. 합동재개발

     정답 : []
     정답률 : 70%

52. 일반적인 부동산개발금융 방식의 구분 중 부채에 의한 조달 방식으로 대출자가 부동산 개발에 의해 발생하는 수익의 배분에 일부 참여하는 방식은?
     1. sale & lease back
     2. particioation loan
     3. interest only loans
     4. 자산매입 조건부대출

     정답 : []
     정답률 : 72%
     <문제 해설>
수익참여대출(Equity Participation Loan)이란 대출자가 낮은 계약금리로 돈을 빌려주고 부동산이 생성하는 소득에 참여하는 방식이다.
[해설작성자 : 우주낙원]

53. 도시개발에서의 사업타당성 분석에 해당되지 않는 것은?
     1. 환경적 타당성
     2. 경제적 타당성
     3. 법/제도적 타당성
     4. 물리적/기술적 타당성

     정답 : []
     정답률 : 43%

54. 도시마케팅에 관한 설명으로 옳지 않은 것은?
     1. 도시마케팅의 고객은 크게 투자기업, 관광객 및 방문객, 주민 등으로 구분될 수 있다.
     2. 도시마케팅의 시장은 공공서비스를 생산하고 공급하는 도시정부들과 그것을 소비하는 단위들이 커뮤니케이션 하는 도시공간이다.
     3. 도시마케팅은 도시나 도시 내 특정 장소를 상품화하는 것으로, 일반 재화 및 용역과 다른 특징을 가지고 있다.
     4. 도시마케팅의 상품은 도시의 이미지, 해당 도시의 역사 문화적 자산, 숙박시설 및 각종 서비스 등이 어우러져 하나의 상품을 구성하며 소비를 통해 변형되거나 소멸될 수 있다.

     정답 : []
     정답률 : 63%

55. 부동산과 금융을 결합한 형태로 부동산투자의 약점으로 꼽히는 유동성문제와 소액투자 곤란의 문제를 극복하기 위하여 증권화를 이용하여 해결하는 방식은?
     1. 리츠(REITs)
     2. 특수목적회사(SPC)
     3. 자산담보부증권(ABS)
     4. 프로젝트 파이낸실(PF)

     정답 : []
     정답률 : 75%

56. 다음 중 지속가능한 개발을 위한 도시개발 패러다임으로 가장 거리가 먼 것은?
     1. 뉴 어바니즘(New Urbanism)
     2. 스마트 성장(Smart Growth)
     3. 컴팩트 시티(Compact City)
     4. 타운 빌리지(Town Village)

     정답 : []
     정답률 : 72%

57. 다음 중 제3섹터의 특징이 아닌 것은?
     1. 단기간 내의 채산성 확보가 어려움
     2. 주민의 적극적인 자원봉사를 전제로 함
     3. 불안정성과 실패에 대한 책임소재가 불분명함
     4. 공공의 안전성, 계획성과 민간의 효율성을 결합함으로써 합리적인 사업 주진 가능

     정답 : []
     정답률 : 73%

58. 다음 중 도시개발사업에서 타당성 분석에 관한 설명으로 가장 적절하지 않은 것은?
     1. 타당성 분석은 민간이나 공공의 입장에 따라 분석의 범위와 내용도 달라진다.
     2. 사업의 목적을 합리적인 수준에서 달성할 수 있을 것으로 예상될 때 타당성을 확보했다고 할 수 있다.
     3. 타당성 분석을 위해서는 먼저 해당 사업에 대한 구체적인 계획이 수립되어 있어야 한다.
     4. 타당성 분석은 여러 가지 제약을 고려하여 사업의 적합성을 고려하는 것으로 시간의 범위는 구체적인 고려 대상이 아니다.

     정답 : []
     정답률 : 72%

59. 다음 중 근거법령이 다른 하나는?
     1. 택지개발사업
     2. 주택재건축사업
     3. 주택재개발사업
     4. 주거환경개선사업

     정답 : []
     정답률 : 82%

60. 개발수요를 예측하기 위한 예측 기법 중, 전문가 집단을 대상으로 반복 앙케이트를 행하여 의견을 수집하는 방법은?
     1. 이동평균법
     2. 중력모형
     3. 인과분석법
     4. 델파이법

     정답 : []
     정답률 : 82%

4과목 : 국토 및 지역계획


61. 우리나라의 국토 및 지역계획의 문제점으로 가장 거리가 먼 것은?
     1. 지역주민이 직접 인안하는 계획
     2. 계획입안기관의 독주성 및 형식성
     3. 관련 계획과의 연계적 체계성 결여
     4. 계획 결정까지 오랜 시간 소요

     정답 : []
     정답률 : 74%

62. 편익/비용(B/C)에 관한 설명으로 틀린 것은?
     1. B/C비가 높을수록 경제성이 높다.
     2. 장래에 발생할 편익과 비용은 현재가치로 환산한다.
     3. 편익을 비용으로 나눈 비율의 결과가 가장 큰 대안을 선택한다.
     4. B/C비가 사회적 할인율보다 작으면 경제성이 있는 것으로 판단한다.

     정답 : []
     정답률 : 73%

63. 다음 우리나라 국토 및 지역계획의 특징으로 가장 관계가 먼 것은?
     1. 다목적 계획
     2. 경제개발 계획
     3. 하향적 계획
     4. 지표적 계획

     정답 : []
     정답률 : 51%

64. 우리나라 국토종합개발계획 중 서울, 부산 양대도시의 성장억제와 인구분산, 국토의 다각화를 위한 선장거점도시의 육성 및 지역생활권의 조성 등을 개발전략으로 채택한 계획은?
     1. 제1차 국토종합개발계획
     2. 제2차 국토종합개발계획
     3. 제2차 국토종합개발계획 수정계획
     4. 제3차 국토종합개발계획

     정답 : []
     정답률 : 59%

65. 우리나라의 인구규모별 도시 순위가 아래와 같을 때 데이비스(K. Davis)의 종주회지수는 약 얼마인가?

    

     1. 2.78
     2. 1.15
     3. 0.99
     4. 0.62

     정답 : []
     정답률 : 61%
     <문제 해설>
종주화지수 = 9,762,546 / (3,512,547 + 2,517,680 + 2,456,016) = 약 1.15
[해설작성자 : 성결안영재]

아래와 같은 오류 신고가 있었습니다.
여러분들의 많은 의견 부탁 드립니다.
추후 여러분들의 의견을 반영하여 정답을 수정하도록 하겠습니다.
참고로 정답 변경은 오류 신고 5회 이상일 경우 수정합니다.

[오류 신고 내용]
9,762,546 / (3,512,547 + 2,517,680 + 2,456,016 + 0,413,644) = 약 0.99
답 3번
[해설작성자 : comcbt.com 이용자]

[오류신고 반론]
종주화지수=1위도시/(2,3,4위 도시 인구수의 합) -> 2번 1.15가 정답입니당
[해설작성자 : 도싱]

66. A도시 산업 자료가 이래와 같을 때, 입지상법(L.Q. Method)에 의한 J도시 I산업의 고용승수는 얼마인가?

    

     1. 10.0
     2. 2.0
     3. 0.5
     4. 0.1

     정답 : []
     정답률 : 73%

67. 수도권정비계획에서 징수된 과밀부담금을 「국가균형발전 특별법」에 따른 국가균형발전특별회계(지역발전 특별회계)와 과밀부담금을 징수한 건축물이 있는 시ㆍ도에 귀속하는 배분 비율은?
     1. 25% : 75%
     2. 50% : 50%
     3. 75% : 25%
     4. 100% : 0%

     정답 : []
     정답률 : 67%
     <문제 해설>
[참고]
수도권정비계획법 제16조(부담금의 배분) 징수된 부담금의 100분의 50은 「국가균형발전 특별법」에 따른 국가균형발전특별회계에 귀속하고, 100분의 50은 부담금을 징수한 건축물이 있는 시ㆍ도에 귀속한다. <개정 2009. 4. 22., 2014. 1. 7., 2018. 3. 20.>
지역발전 특별회계가 아니라 국가균형발전특별회계로 명칭이 변경됨
[해설작성자 : 한양대도시]

68. 제 3차 국토종합개발계획에서 수도권 비대화를 견제하기 위한 대도시 기능특화전략 중 틀린 것은?
     1. 부산 - 국제무역, 금융 및 첨단산업
     2. 대구 - 업무, 첨단산업 및 패션산업
     3. 광주 - 첨단산업 및 예술문화
     4. 대전 - 행정, 과학연구 및 첨단산업

     정답 : []
     정답률 : 47%
     <문제 해설>
부산: 국제무역, 금융기능
대구: 업무·첨단기술 및 패션산업
광주: 첨단산업·예술·문화기능
대전: 행정·과학연구·첨단산업
-> 부산은 첨단산업이 없음
[해설작성자 : 무니문]

69. 부드빌(O. Boudevile)의 지역 분류에 해당하지 않는 것은?
     1. 동질지역(homogeneous area)
     2. 결절지역(nodal region)
     3. 계획지역(planning region)
     4. 낙후지역(lagging region)

     정답 : []
     정답률 : 75%

70. 우리나라 국토 및 지역계획 변천과정에 대한 설명으로 옳은 것은?
     1. 1950년대에 UN 한국재건단의 주도하에 체계적인 국토 및 지역계획을 수립하였다.
     2. 1960년대에 정부주도하에 국토종합개발계획을 공포ㆍ시행하였다.
     3. 1970년대에 처음으로 지역계획의 형태를 갖춘 특정지역개발사업이 실시되었다.
     4. 1980년대 전반에 다핵화를 위한 성장거점도시의 육성을 국토개발전략으로 설정하였다.

     정답 : []
     정답률 : 47%

71. 다음 중 제 4차 국토종합계획 수정계획(2006~2020)에서 국토계획 5대 목표에 따른 전략에 해당하지 않는 것은?
     1. 다핵분산형 국토구조 형성 및 지역 특화발전
     2. 국토의 개방거점 확충 및 상생적 국제협력 선도
     3. 도시 및 농촌의 정주환경 개선 및 주거복지 증진
     4. 국토의 환경친화적 개발 억제 및 아름다운 국토 조성

     정답 : []
     정답률 : 61%

72. 후버와 지아라타니(Hoover & Giaratani)가 주장한 전형적인 문제지역에 대한 설명으로 옳은 것은?
     1. 낙후지역은 산업화의 수준은 미약하고 인구는 과잉상태로 되어 있는 지역을 말한다.
     2. 침체지역은 산업화되지 않은 상태에서 인구가 집중하여 전체적인 침체를 겪는 지역이다.
     3. 과열성장지역은 인구는 감소하나 산업은 계속 성장하는 지역을 말한다.
     4. 번성지역은 인구와 산업이 급속히 성장하는 지역을 말한다.

     정답 : []
     정답률 : 52%

73. 제2차 국토종합개발계획에서 개발 가능성의 전국적 확대하는 기본목표에 대해서 28개 생활권 형성 전략이 채택되었으나 1987년 수정계획에서 생활권 전략이 취소되었다. 취소 이유로 타당하지 않는 것은?
     1. 도시 계층별 시설 이용체계 확립의 어려움
     2. 수도권 집중에 대한 반자력적 기능의 미흡
     3. 지방도시 생활권과 농촌도시 생활권의 계속적인 인구 감소
     4. 중심도시와 주변 농촌지역간에 일체가 되는 생활권 형성의 어려움

     정답 : []
     정답률 : 49%

74. 퍼로우(F. Perroux)가 제시한 성장극(growthpole)의 특성으로 옳지 않은 것은?
     1. 성장극은 전체산업의 평균성장률보다 빠른 성장속도를 갖는다.
     2. 성장극은 자체의 성장을 유도하고 성장을 다른 곳으로 확산시킨다.
     3. 성장극은 경제적 지배력을 가질 수 있을 만큼 큰 규모를 갖는다.
     4. 성장극은 다른 산업과의 연계에 있어서 독립성이 강한 특징이 있다.

     정답 : []
     정답률 : 72%

75. 다음 중 도시화의 진행에 따라 발생한 주택문제의 기본 요소가 아닌 것은?
     1. 주택의 고층화 문제
     2. 주택 소유에 따라 부의 편증화
     3. 생활수준 향상에 따른 질적 주택의 수요증가
     4. 핵가족화호 인한 가구 수 증가에 따른 주택 수요 증가

     정답 : []
     정답률 : 48%

76. 다음의 지역 문제 해결책 중 그 성격이 가장 다른 것은?
     1. 산업이전법(영국)
     2. 공업배치법(영국)
     3. 특수지역개발촉진법(영국)
     4. 테네시강 종합개발계획(미국)

     정답 : []
     정답률 : 69%
     <문제 해설>
테네시강 종합개발계획(미국)은 경제적 문제를 해결하기 위한 성격이 강함
[해설작성자 : LH들어가자]

77. 베버(A. Webber)의 공업입지 최소비용이론의 3가지 입지인자에 해당하지 않는 것은?
     1. 원료비
     2. 노동비
     3. 수송비
     4. 집적경제

     정답 : []
     정답률 : 65%

78. 우리나라의 국토종합개발계획 중 전국을 4대권, 8증권, 17소권으로 구분한 계획은?
     1. 제1차 국토종합개발계획
     2. 제2차 국토종합개발계획
     3. 제2차 국토종합개발계획 수정계획
     4. 제3차 국토종합개발계획

     정답 : []
     정답률 : 60%

79. 수도권정비계획법상 수도권정비위원회의 심의사항에 해당하지 않는 것은?
     1. 인구영향 평가에 관한 사항
     2. 종전대지의 이용계획에 관한 사항
     3. 대규모개발사업의 개발 계획에 관한 사항
     4. 공장ㆍ학교에 대한 총량규제에 관한 사항

     정답 : []
     정답률 : 52%

80. 가도시화(Pseudo-urbanization)란?
     1. 도시로 승격 예정인 읍부지역으로 인구가 집중하는 일종의 예비도시화 현상
     2. 경제발전, 산업화, 기술혁신 등을 동반하지 못한 단순한 도시인구의 증가현상
     3. 대도시 인구가 근교지역으로 분산하여 거주하는 이른바 재촌도회인(在忖都會人)의 증가현상
     4. 거대도시주변 근교지역으로 농촌인구가 집중하여 실질적으로 도시화가 이루어지는 현상

     정답 : []
     정답률 : 75%

81. 다음 중 관광진흥법상 시ㆍ도지사가 권역별 관광개발기본계획의 수립시 포함하여야 하는 사항에 해당하지 않는 것은?
     1. 환경보전에 관한 사항
     2. 관광권역(觀光圈域)의 설정에 관한 사항
     3. 관광자원의 보호ㆍ개발ㆍ이용ㆍ관리 등에 관한 사항
     4. 관광지 및 관광단지의 조성ㆍ정비ㆍ보완 등에 관한 사항

     정답 : []
     정답률 : 59%
     <문제 해설>
제49조(관광개발기본계획 등)
    ②시ㆍ도지사(특별자치도지사는 제외한다)는 기본계획에 따라 구분된 권역을 대상으로 다음 각 호의 사항을 포함하는 권역별 관광개발계획(이하 “권역계획”이라 한다)을 수립하여야 한다. <개정 2008. 6. 5., 2009. 3. 25.>
    1. 권역의 관광 여건과 관광 동향에 관한 사항
    2. 권역의 관광 수요와 공급에 관한 사항
    3. 관광자원의 보호ㆍ개발ㆍ이용ㆍ관리 등에 관한 사항
    4. 관광지 및 관광단지의 조성ㆍ정비ㆍ보완 등에 관한 사항
    4의2. 관광지 및 관광단지의 실적 평가에 관한 사항
    5. 관광지 연계에 관한 사항
    6. 관광사업의 추진에 관한 사항
    7. 환경보전에 관한 사항
    8. 그 밖에 그 권역의 관광자원의 개발, 관리 및 평가를 위하여 필요한 사항
[해설작성자 : 강원개발공사]

82. 국토의 계획 및 이용에 관한 법령상 개발밀도관리구역은 기반시설의 용량이 부족할 것으로 예상되는 지역 중 기반시설의 설치가 곤란한 지역으로서 일정 기준에 해당하는 지역에 지정할 수 있다. 그 기준에 해당하지 않는 것은?
     1. 당해 지역의 도로사비스 수준이 매우 낮아 차량통행이 현저하게 지체되는 지역
     2. 향후 2년 이내에 당해 지역의 수도에 대한 수요량이 수도시설의 시설용량을 초과할 것으로 예상되는 지역
     3. 향후 2년 이내에 당해 지역의 하수발생량이 하수시설의 시설용량을 초과할 것으로 예상되는 지역
     4. 향후 2년 이내에 당해 지역의 학생수가 학교수용능력을 10% 이상 초과할 것으로 예상되는 지역

     정답 : []
     정답률 : 68%

83. 다음 중 택지개발촉진법에 따른 환매권에 대한 설명으로 옳은 것은?
     1. 환매권자는 환매로서 제3자에게 대항할 수 있다.
     2. 환매권자의 권리의 소멸에 관하여는 택지개발촉진법 제 35조의 규정을 준용한다.
     3. 환매권자는 토지가 필요 없게 된 날로부터 3년 내에 이를 환매할 수 있다.
     4. 예정지구 지정의 해제에 의한 경우에만 토지를 환매할 수 있는 환매권이 발생한다.

     정답 : []
     정답률 : 64%

84. 해당 용도지역별 용적률의 최대한도가 가장 낮은 것부터 순서대로 옳게 나열한 것은?

    

     1. 바, 가, 다, 마, 라, 나
     2. 바, 가, 다, 라, 마, 나
     3. 바, 가, 마, 다, 나, 라
     4. 바, 가, 마, 다, 라, 나

     정답 : []
     정답률 : 61%

85. 다음 중 도시 및 주거 환경 정비법에 의한 정비계획의 개발 규모가 5만m2 이상인 경우 도시공원 또는 녹지의 확보 기준으로 옳은 것은? (단, 도시공원 및 녹지 등에 관한 법률에 따른다.)
     1. 상주인구 1인당 3m2 이상 또는 개발부지 면적의 5% 이상 중 큰 면적
     2. 상주인구 1인당 6m2 이상 또는 개발부지 면적의 9% 이상 중 큰 면적
     3. 1세대당 3m2 이상 또는 개발부지 면적의 5% 이상 중 큰 면적
     4. 1세대당 2m2 이상 또는 개발부지 면적의 5% 이상 중 큰 면적

     정답 : []
     정답률 : 41%

86. 다음의 공원시설 중 유희시설에 해당되지 않는 것은?
     1. 시소
     2. 정글짐
     3. 사다리
     4. 야외극장

     정답 : []
     정답률 : 71%

87. 다음은 택지개발촉진법 중 준공검사에 관한 내용이다. ()에 들어갈 내용으로 옳은 것은?

    

     1. 지체없이
     2. 1개월 이내에
     3. 3개월 이내에
     4. 6개월 이내에

     정답 : []
     정답률 : 63%

88. 도시지역의 시급한 주택난을 해소하기 위하여 주택건설에 필요한 택지의 취득, 개발, 공급 및 관리 등에 관하여 특례를 규정함으로써 국민주거생활의 안정과 복지향상에 이바지함을 목적으로 하는 법은?
     1. 수도권정비계획법
     2. 택지개발촉진법
     3. 도시개발법
     4. 주택법

     정답 : []
     정답률 : 62%

89. 체육시설의 설치ㆍ이용에 관한 법률에 대한 설명 중 옳지 않은 것은?
     1. 체육시설업자는 문화체육관광부령으로 정하는 안전ㆍ위생 기준을 지켜야 한다.
     2. 문화체육관광부장관은 골프장업 시설의 농약 사용량 조사와 농약 잔류량 검사를 하여야 한다.
     3. 체육시설업자는 문화체육관광부령으로 정하는 일정 규모 이상의 체육시설에 체육지도자를 배치하여야 한다.
     4. 체육시설업자는 체육시설업의 시설을 이용하는 자가 자가 보로 장구 착용의무를 준수하지 아니한 경우에는 그 체육시설 이용을 거절하거나 중지하게 할 수 있다.

     정답 : []
     정답률 : 61%

90. 수도권정비계획법의 정의에 따른 대규모 개발 사업의 기준이 틀린 것은?
     1. 「택지개발촉진법」에 따른 택지개발사업으로서 그 면적이 100만m2 이상인 것
     2. 「주택법」에 따른 주택건설사업으로서 그 면적이 100만 m2이상인 것
     3. 「도시개발법」에 따른 도시개발사업으로서 그 면적이 10만m2 이상인 것
     4. 「산업입지 및 개발에 관한 법률」에 따른 산업단지개발사업으로서 그 면적이 30만m2 이상인 것

     정답 : []
     정답률 : 62%
     <문제 해설>
택지, 공업 용지 및 관광지 등을 조성할 목적으로 하는 사업으로서 다음에서 정하는 종류 및 규모 이상의 사업을 말한다.
1) 다음의 어느 하나에 해당하는 택지조성사업으로서 그 면적이 100만m2 이상인 것 ① 택지개발사업 ② 주택건설사업 및 대지조성사업 ③ 산업단지 및 특수지역에서의 주택지 조성사업
2) 다음의 어느 하나에 해당하는 공업용지조성사업으로서 그 면적이 30만m2 이상인 것 ① 산업단지개발사업 및 특수지역개발사업 ② 자유무역지역 조성사업 ③ 중소기업협동화단지 조성사업 ④ 공장설립을 위한 공장용지 조성사업
3) 다음의 어느 하나에 해당하는 관광지조성사업으로서 시설계획지구의 면적이 10만m2 이상인 것. 다만, 공유수면매립지에서 시행하는 관광지조성사업은 30만m2 이상인 것으로 한다. ① 관광지 및 관광단지 조성사업과 관광시설 조성사업 ② 유원지 설치사업 ③ 온천이용시설 설치사업, ④ 도시개발사업으로서 그 면적이 100만m2 이상인 것 또는 그 면적이 100만m2 미만인 도시개발사업으로서 공업용도로 구획되는 면적이 30만m2 이상인 것, ⑤ 지역종합개발사업으로서 그 면적이 100만m2 이상인 것과 그 면적이 100만m2 미만인 지역종합개발사업으로서 공업용도로 구획되는 면적이 30만m2 이상인 것 또는 10만m2 이상의 관광단지가 포함된 것
[해설작성자 : 애두일]

91. 다음 중 건폐율에 관한 내용이 틀린 것은?
     1. 건폐율이란 대지면적에 대한 건축면적의 비율이다.
     2. 도시지역 내 주거지역의 건폐율 최대한도는 70%이하이다.
     3. 관리지역 내 보전관리지역의 건폐율 최대한도는 10% 이하이다.
     4. 농림지역의 건폐율 최대한도는 20% 이하이다.

     정답 : []
     정답률 : 63%
     <문제 해설>
관리지역 내 보전관리지역의 건폐율 최대한도 = 20%
[해설작성자 : 성결안영재]

92. 택지개발촉진법상의 ‘택지’의 정의는?
     1. 「국토의 계획 및 이용에 관한 법률」에서 정하는 기반시설을 설치하기 위한 토지
     2. 「택지개발촉진법」에서 정하는 바에 따라 개발ㆍ공급되는 주택건설용지 및 공공시설용지
     3. 일단(一團)의 토지를 활용하여 주택건설 및 주거생활이 가능한 택지를 조성하는 사업
     4. 「국토의 계획 및 이용에 관한 법률」에 따른 조시지역과 그 주변지역 중 지정권자가 지정ㆍ고시하는 지구

     정답 : []
     정답률 : 62%
     <문제 해설>
"택지"란 법에서 정하는 바에 따라 개발・공급되는 주택건설용지 및 공공시설용지를 말한다.
[해설작성자 : 칠라]

93. 주차장법상 단지조성사업 등으로 설치되는 노외주타차장에 경형자동차 및 환경친화적 자동차를 위한 전용 주차구획을 설치하여야 하는 비율기준은?
     1. 노외 주차장 총주차대수의 100분의 3 이상
     2. 노외 주차장 총주차대수의 100분의 5이상
     3. 노외 주차장 총주차대수의 100분의 8 이상
     4. 노외 주차장 총주차대수의 100분의 10 이상

     정답 : []
     정답률 : 64%

94. 주차장법상 공공시설의 지하에 노외주차장을 설치하기 위하여 도시ㆍ군계획시설사업의 실시계획인가를 받은 경우 노외주차장의 최초의 사용기간 동안 그 부지에 대한 점용료 및 그 시설물에 대한 사용료를 면제한다. 다음 중 이에 해당하지 않는 공공시설은?
     1. 도로
     2. 광장
     3. 녹지
     4. 공원

     정답 : []
     정답률 : 50%

95. 국토의 계획 및 이용에 관한 법률에서 정한 ‘기반시설’에 속하지 않는 것은?
     1. 광장ㆍ공원ㆍ녹지 등 공간시설
     2. 도로ㆍ철도ㆍ항만ㆍ공항ㆍ주차장 등 교통시설
     3. 하수도ㆍ폐기물처리시설 등 환경기초시설
     4. 아파트ㆍ연립주택ㆍ다세대주택 등 주거시설

     정답 : []
     정답률 : 77%

96. 택지개발촉진법 시행규칙에서 주거생활의 편익을 위하여 이용되는 시설로서 국토교통부령이 정하는 시설이 아닌 것은?
     1. 운동시설
     2. 종교집회장
     3. 일반목욕장
     4. 공용시장

     정답 : []
     정답률 : 48%
     <문제 해설>
택지개발촉진법 시행규칙
1. 운동시설
2. 일반목욕장
3. 종교집회장
4. 보육시설
[해설작성자 : 도시인사이트(네이버 블로그 cityinsight)]

97. 주차장의 종류 구분 중 자주식주차장의 형태가 아닌 것은?
     1. 건축물식 주차장
     2. 기계식 주차장
     3. 지하식 주차장
     4. 지평식 주차장

     정답 : []
     정답률 : 65%

98. 도시 및 주거환경정비법령상 시장ㆍ군수가 그 건설에 소요되는 비용의 전부 또는 일부를 부담할 수 있는 주요 정비기반시설에 해당하지 않는 것은? (단, 시장ㆍ군수가 아닌 사업시행자가 시행하는 정비사업의 정비계획에 따라 설치되는 도시계획시설을 말한다.)
     1. 공원
     2. 하천
     3. 공용주차장
     4. 소방용수시설

     정답 : []
     정답률 : 55%

99. 국토기본법에 의한 국토정책위원회에 관한 설명으로 옳은 것은?
     1. 위원장은 국토교통부장관이 한다.
     2. 위촉위원은 국무조정실장이 한다.
     3. 당연직위위원은 국토계획 및 정책에 관하여 학식과 경험이 풍부한 사람으로서 국무총리가 위촉한 사람으로 한다.
     4. 위촉위원의 임기는 2년으로 하되, 사임 등으로 인하여 새로 위촉된 위원의 임기는 전임위원 임기의 남은 기간으로 한다.

     정답 : []
     정답률 : 57%

100. 다음 중 도시개발법상 도시개발구역의 지정권자가 도시개발사업의 시행자를 변경할 수 있는 경우에 해당하지 않는 것은?
     1. 행정처분으로 시행자의 지정이나 실시계획의 인가가 취소된 경우
     2. 시행자의 부도로 도시개발시업의 목적을 달성하기 어렵다고 인정되는 경우
     3. 도시개발사업에 관한 기초조사 실시결과가 포함된 기본계획을 제출하지 않은 경우
     4. 도시개발사업에 관한 실시계획의 인가를 받은 후 2년 이내에 사업을 착수하지 아니하는 경우

     정답 : []
     정답률 : 50%


정 답 지

1

2

3

4

5

6

7

8

9

10

11

12

13

14

15

16

17

18

19

20

21

22

23

24

25

26

27

28

29

30

31

32

33

34

35

36

37

38

39

40

41

42

43

44

45

46

47

48

49

50

51

52

53

54

55

56

57

58

59

60

61

62

63

64

65

66

67

68

69

70

71

72

73

74

75

76

77

78

79

80

81

82

83

84

85

86

87

88

89

90

91

92

93

94

95

96

97

98

99

100

도시계획기사 필기 기출문제(해설) 및 CBT 2016년10월01일을 이용해 주셔서 감사합니다.
, 필기, 기출문제, 전자문제집, CBT, 온라인, 모의테스트, 모의고사



List of Articles
번호 제목 글쓴이 날짜 조회 수
9733 산업위생관리산업기사 필기 기출문제(해설) 및 CBT 2002년03월10일(2583) new 좋은아빠되기 2025.11.25 3
9732 도시계획기사 필기 기출문제(해설) 및 CBT 2018년09월15일(2582) new 좋은아빠되기 2025.11.25 0
9731 도시계획기사 필기 기출문제(해설) 및 CBT 2018년04월28일(2581) new 좋은아빠되기 2025.11.25 3
9730 도시계획기사 필기 기출문제(해설) 및 CBT 2018년03월04일(2580) new 좋은아빠되기 2025.11.25 2
9729 도시계획기사 필기 기출문제(해설) 및 CBT 2017년09월23일(2579) new 좋은아빠되기 2025.11.25 2
9728 도시계획기사 필기 기출문제(해설) 및 CBT 2017년05월07일(2578) new 좋은아빠되기 2025.11.25 0
9727 도시계획기사 필기 기출문제(해설) 및 CBT 2017년03월05일(2577) new 좋은아빠되기 2025.11.25 3
» 도시계획기사 필기 기출문제(해설) 및 CBT 2016년10월01일(2576) new 좋은아빠되기 2025.11.25 1
9725 도시계획기사 필기 기출문제(해설) 및 CBT 2016년05월08일(2575) new 좋은아빠되기 2025.11.25 3
9724 도시계획기사 필기 기출문제(해설) 및 CBT 2016년03월06일(2574) new 좋은아빠되기 2025.11.25 0
9723 도시계획기사 필기 기출문제(해설) 및 CBT 2015년09월19일(2573) new 좋은아빠되기 2025.11.25 2
9722 도시계획기사 필기 기출문제(해설) 및 CBT 2015년05월31일(2572) new 좋은아빠되기 2025.11.25 1
9721 도시계획기사 필기 기출문제(해설) 및 CBT 2015년03월08일(2571) new 좋은아빠되기 2025.11.25 2
9720 도시계획기사 필기 기출문제(해설) 및 CBT 2014년09월20일(2570) new 좋은아빠되기 2025.11.25 0
9719 도시계획기사 필기 기출문제(해설) 및 CBT 2014년05월25일(2569) new 좋은아빠되기 2025.11.25 3
9718 도시계획기사 필기 기출문제(해설) 및 CBT 2014년03월02일(2568) new 좋은아빠되기 2025.11.25 1
9717 도시계획기사 필기 기출문제(해설) 및 CBT 2013년09월28일(2567) new 좋은아빠되기 2025.11.25 3
9716 도시계획기사 필기 기출문제(해설) 및 CBT 2013년06월02일(2566) new 좋은아빠되기 2025.11.25 1
9715 도시계획기사 필기 기출문제(해설) 및 CBT 2013년03월10일(2565) new 좋은아빠되기 2025.11.25 3
9714 도시계획기사 필기 기출문제(해설) 및 CBT 2012년09월15일(2564) new 좋은아빠되기 2025.11.25 1
Board Pagination Prev 1 ... 250 251 252 253 254 255 256 257 258 259 ... 741 Next
/ 741