자격증 필기 기출문제



토목산업기사 필기 기출문제(해설) 및 CBT 2014년03월02일(2673)

최강 자격증 기출문제 전자문제집 CBT : www.comcbt.com


전자문제집 CBT란?

종이 문제집이 아닌 인터넷으로 문제를 풀고 자동으로 채점하며 모의고사, 오답 노트, 해설까지 제공하는
무료 기출문제 학습 프로그램으로 실제 상설검정에서 사용하는 OMR 형식의 CBT를 제공합니다.


최신 토목산업기사 필기 기출문제 : [다운로드]

1과목 : 응용역학


1. 그림과 같은 트러스에서 사재(斜材) D의 부재력은?

   

     1. 3.112 tf
     2. 4.375 tf
     3. 5.465 tf
     4. 6.522 tf

     정답 : []
     정답률 : 79%

2. 다음 3힌지 라멘에서 A점의 수평반력(HA)은?

   

     1. 1 tf
     2. 2 tf
     3. 3 tf
     4. 4 tf

     정답 : []
     정답률 : 72%

3. 다음 중 부정정 구조의 해법이 아닌 것은?
     1. 처짐각법
     2. 변위일치법
     3. 모멘트 분배법
     4. 공액보법

     정답 : []
     정답률 : 72%

4. 기둥에서 단면의 핵이란 단주(短柱)에서 인장응력이 발생되지 않도록 재하되는 편심거리로 정의된다. 반지름 20cm인 원형 단면의 핵은 중심에서 얼마인가?

   

     1. 2.5cm
     2. 4cm
     3. 5cm
     4. 7.5cm

     정답 : []
     정답률 : 83%
     <문제 해설>
원의 핵거리 D/4로 20/4는 5cm이다
[해설작성자 : 흐규]

5. 무게 12tf인 그림과 같은 구조물을 밀어 넘길 수 있는 수평집중하중 P 는?

   

     1. 1.2tf
     2. 1.8tf
     3. 2.2tf
     4. 2.8tf

     정답 : []
     정답률 : 73%

6. 정사각형의 중앙에 지름 20cm의 원이 있는 그림과 같은 도형에서 x축에 대한 단면2차모멘트를 구한 값은?

   

     1. 205,479 cm4
     2. 215,479 cm4
     3. 225,479 cm4
     4. 235,479 cm4

     정답 : []
     정답률 : 84%
     <문제 해설>
사각형 - 원 = BH^3/12 - πD^4/64

7. 지름 D인 원형 단면에 전단력 S가 작용할 때 최대 전단응력의 값은?
     1.
     2.
     3.
     4.

     정답 : []
     정답률 : 77%

8. 다음 단순보의 지점 A에서의 처짐각 θA는 얼마인가? (단, EI 는 일정)

   

     1.
     2.
     3.
     4.

     정답 : []
     정답률 : 32%
     <문제 해설>
길이가 L이 아니라 2L 이기때문에 P[2L]제곱 / 16EI 이기때문에 4PL제곱 / 16EI 는 PL제곱 / 4EI입니다.
[해설작성자 : 갓홍]

9. 그림과 같이 ABC의 중앙점에 10tf의 하중을 달았을 때 정지하였다면 장력 T의 값은 몇 tf인가?

   

     1. 10
     2. 8.66
     3. 5
     4. 15

     정답 : []
     정답률 : 84%
     <문제 해설>
10tf/sin120°=T/sin120°=T/°120
T=10tf
[해설작성자 : comcbt.com 이용자]

10. 다음 단순보에서 지점 반력을 계산한 값은?

    

     1. RA=1 tf, RB=1 tf
     2. RA=1.9 tf, RB=0.1 tf
     3. RA=1.4 tf, RB=0.6 tf
     4. RA=0.1 tf, RB=1.9 tf

     정답 : []
     정답률 : 83%

11. 스팬 L인 양단 고정보의 중앙에 집중하중 P가 작용할 때 고정단모멘트의 크기는?

    

     1.
     2.
     3.
     4.

     정답 : []
     정답률 : 54%

12. 다음 그림에서와 같은 평행력(平行力)에 있어서 P1 , P2 , P3 , P4의 합력의 위치는 O점에서 얼마의 거리에 있겠는가?(오류 신고가 접수된 문제입니다. 반드시 정답과 해설을 확인하시기 바랍니다.)

    

     1. 4.8m
     2. 5.4m
     3. 5.8m
     4. 6.0m

     정답 : []
     정답률 : 51%
     <문제 해설>
아래와 같은 오류 신고가 있었습니다.
여러분들의 많은 의견 부탁 드립니다.
추후 여러분들의 의견을 반영하여 정답을 수정하도록 하겠습니다.
참고로 정답 변경은 오류 신고 5회 이상일 경우 수정합니다.

[오류 신고 내용]
오른쪽에서 두번째 6tf화살표방향이 위로 향해야 합니다 답은 4번 6m
[해설작성자 : comcbt.com 이용자]

13. 모든 도형에서 도심을 지나는 축에 대한 단면1차모멘트 값의 범위로 옳은 설명은?
     1. 0이다.
     2. 0보다 크다.
     3. 0보다 작다.
     4. 0에서 1 사이의 값을 갖는다.

     정답 : []
     정답률 : 81%

14. 그림과 같은 구조물은 몇 차 부정정 구조물인가?

    

     1. 7차
     2. 8차
     3. 9차
     4. 11차

     정답 : []
     정답률 : 69%
     <문제 해설>
11-3=8차
[해설작성자 : 흐규]

15. 그림에서 (A)의 장주(長住)가 4tf에 견딜 수 있다면 (B)의 장주가 견딜 수 있는 하중은?

    

     1. 4tf
     2. 8tf
     3. 16tf
     4. 64tf

     정답 : []
     정답률 : 80%

16. 그림과 같은 보에서 C점의 처짐을 구하면? (단, EI=2×109 kgf⋅cm2 )

    

     1. 0.821cm
     2. 1.406cm
     3. 1.641cm
     4. 2.812cm

     정답 : []
     정답률 : 63%

17. 단면적 3cm2인 강봉이 그림과 같은 힘을 받을 때 강봉이 늘어난 길이는? (단, E=2.0×10 6kgf/cm2 )

    

     1. 1.13cm
     2. 1.42cm
     3. 1.68cm
     4. 1.76cm

     정답 : []
     정답률 : 61%
     <문제 해설>
1/2.0×10^6 x 3 (12 x 200 +7 x 300 +10 x 400) = 1.4166667 x 10^-3 =1.42cm

18. 그림과 같은 직사각형 단면의 보가 휨모멘트 M max =4.5 tf⋅m를 받을 때 상단에서 5cm 떨어진 a-a 단면에서의 휨응력은?

    

     1. 92.3kgf/cm2
     2. 100kgf/cm2
     3. 112.6kgf/cm2
     4. 121.4kgf/cm2

     정답 : []
     정답률 : 67%

19. 다음과 같은 단순보에서 A점 반력( R A)으로 옳은 것은?

    

     1. 0.5 tf(↓)
     2. 2.0 tf(↓)
     3. 0.5 tf(↑)
     4. 2.0 tf(↑)

     정답 : []
     정답률 : 76%

20. 탄성에너지에 대한 설명으로 옳은 것은?
     1. 응력에 반비례하고 탄성계수에 비례한다.
     2. 응력의 제곱에 반비례하고 탄성계수에 비례한다.
     3. 응력에 비례하고 탄성계수의 제곱에 비례한다.
     4. 응력의 제곱에 비례하고 탄성계수에 반비례한다.

     정답 : []
     정답률 : 72%

2과목 : 측량학


21. 곡선 설치에서 교각이 35°, 원곡선 반지름이 500m일 때 도로 기점으로부터 곡선 시점까지의 거리가 315.45m이면 도로 기점으로부터 곡선 종점까지의 거리는?
     1. 593.38m
     2. 596.88m
     3. 620.88m
     4. 625.36m

     정답 : []
     정답률 : 72%
     <문제 해설>
EC =IP + CL= IP+ π/180 * RI

22. 사진측량의 특징에 대한 설명으로 옳지 않은 것은?
     1. 연속 촬영을 통해 움직이는 대상물의 상태 변화 감지가 가능하다.
     2. 기상에 관계없이 위치 결정이 가능하다.
     3. 접근이 곤란한 지역의 대상물 측량이 가능하다.
     4. 다양한 목적에 따라 축척 변경이 용이하다.

     정답 : []
     정답률 : 76%

23. 지형도 제작에 주로 사용되는 측량방법으로 가장 거리가 먼 것은?
     1. 항공사진측량에 의한 방법
     2. GPS측량에 의한 방법
     3. 토털스테이션을 이용한 방법
     4. 시거측량에 의한 방법

     정답 : []
     정답률 : 75%

24. 거리측량의 오차를 1/105 까지 허용한다면 지구상에 평면으로 간주할 수 있는 거리는? (단, 지구의 곡률반지름은 6,300km로 가정)
     1. 약 22km
     2. 약 44km
     3. 약 59km
     4. 약 69km

     정답 : []
     정답률 : 61%

25. 하천측량의 고저측량에 해당되지 않는 것은?
     1. 종단측량
     2. 유량관측
     3. 횡단관측
     4. 심천측량

     정답 : []
     정답률 : 77%

26. 그림과 같은 삼각망에서 각방정식의 수는?

    

     1. 2
     2. 4
     3. 6
     4. 9

     정답 : []
     정답률 : 69%

27. 2점간의 거리를 관측한 결과가 아래 표와 같을 때, 최확값은?

    

     1. 150.18m
     2. 150.21m
     3. 150.23m
     4. 150.25m

     정답 : []
     정답률 : 79%
     <문제 해설>
150 + 0.18*3+0.25*3+0.22*5+0.2*4 /3+3+5+4 =150.21

28. 삼각측량의 선점을 위한 고려사항으로 옳지 않은 것은?
     1. 삼각점은 측량구역 내에서 한 쪽에 편중되지 않도록 고른 밀도로 배치하는 것이 좋다.
     2. 배치는 정삼각형의 형태로 하는 것이 좋다.
     3. 삼각점은 발견이 쉽고 견고한 지점, 항공사진 상에 판별될 수 있는 위치에 선정하는 것이 좋다.
     4. 측점의 수는 될 수 있는 대로 많게 하고 이동이 편리한 구조로 설치하는 것이 좋다.

     정답 : []
     정답률 : 80%

29. 각 점의 좌표가 표와 같을 때, △ABC의 면적은?

    

     1. 9m2
     2. 12m2
     3. 15m2
     4. 18m2

     정답 : []
     정답률 : 67%

30. 평면직각좌표에서 삼각점의 좌표가 X(N) = -450.36m, Y(E) = -65.473m일 때 좌표원점을 중심으로 한 삼각점의 방위각은?
     1. 8° 16' 30 “
     2. 81° 44' 12 "
     3. 188° 16' 18 "
     4. 261° 44' 26 "

     정답 : []
     정답률 : 62%

31. 지반고 120.50m인 A점에 기계고 1.23m 토털스테이션을 세워 수평거리 90m 떨어진 B점에 세운 높이 1.95m의 타켓을 시준하면서 부(-)각 30°를 얻었다면 B점의 지반고는?
     1. 65.36m
     2. 67.82m
     3. 171.74m
     4. 175.64m

     정답 : []
     정답률 : 67%

32. 수준측량에서 도로의 종단측량과 같이 중간시가 많은 경우에 현장에서 주로 사용하는 야장기입법은?
     1. 기고식
     2. 고차식
     3. 승강식
     4. 회귀식

     정답 : []
     정답률 : 81%

33. 원곡선에 의한 종단곡선 설치에서 상향 경사 2%, 하향 경사 3% 사이에 곡선 반지름 R=200m로 설치할 때, 종단 곡선의 길이는?
     1. 5m
     2. 10m
     3. 15m
     4. 20m

     정답 : []
     정답률 : 60%

34. 면적 1km2인 지역이 도상면적 16cm2의 도면으로 제작되었을 경우 이 도면의 축척은?
     1. 1/2,500
     2. 1/6,250
     3. 1/25,000
     4. 1/62,500

     정답 : []
     정답률 : 57%

35. 평판측량 방법 중 측량지역 내에 장애물이 없어 시준이 용이한 소지역에 주로 사용하는 방법으로 평판을 한 번 세워서 방향과 거리를 관측하여 여러 점들의 위치를 결정할 수 있는 방법은?
     1. 편각법
     2. 교회법
     3. 전진법
     4. 방사법

     정답 : []
     정답률 : 72%

36. 도로의 단곡선 계산에서 노선기점으로부터 교점까지의 추가거리와 교각을 알고 있을 때 곡선시점의 위치를 구하기 위해서 계산되어야 하는 요소는?
     1. 접선장(T.L)
     2. 곡선장(C.L)
     3. 중앙종거(M)
     4. 접선에 대한 지거(Y)

     정답 : []
     정답률 : 78%

37. 항공사진에서 건물의 높이를 결정하기 위하여 건물의 최상단과 최하단의 시차차를 측정하니 0.04mm 이었다면 건물이 높이는? (단, 촬영고도 3,000m, 주점기선장은 15.96mm이었다.)
     1. 6.5m
     2. 7.0m
     3. 7.5m
     4. 8.5m

     정답 : []
     정답률 : 67%
     <문제 해설>
3000/15.96 * 0.04=7.5

38. 산지에서 동일한 각관측의 정확도로 폐합트래버스를 관측한 결과 관측점수가 11개이고 측각오차는 1′15″이었다면 어떻게 처리해야 하는가? (단, 산지의 오차한계는 ±90″ n 을 적용한다.)
     1. 오차가 1' 이상이므로 재측하여야 한다.
     2. 관측각의 크기에 반비례하여 배분한다.
     3. 관측각의 크기에 비례하여 배분한다.
     4. 관측각의 크기에 상관없이 등분하여 배분한다.

     정답 : []
     정답률 : 62%

39. 축척 1 : 25000 지형도에서 어느 산정으로부터 산밑까지의 수평거리가 5.6cm이고, 산정의 표고가 335.75m, 산 밑의 표고가 102.50m이었다면 경사는?
     1. 1/3
     2. 1/4
     3. 1/6
     4. 1/7

     정답 : []
     정답률 : 60%
     <문제 해설>
경사 (i)    =    연직거리(H) /    수평거리(D)

H = 335.75 - 0.056 = 233.25m
D = 25000 * 0.056 = 1400m

…i = 233.25 / 1400 = 1/6
[해설작성자 : 토목신 하시라마]

40. 노선측량의 완화곡선에 대한 설명 중 옳지 않은 것은?
     1. 완화곡선의 접선은 시점에서 원호에, 종점에서 직선에 접한다.
     2. 완화곡선의 반지름은 시점에서 무한대, 종점에서 원곡선 R로 된다.
     3. 클로소이드의 조합형식에는 S형, 복합형, 기본형등이 있다.
     4. 모든 클로소이드는 닮은꼴이며, 클로소이드 요소는 길이의 단위를 가진 것과 단위가 없는 것이 있다.

     정답 : []
     정답률 : 71%

3과목 : 수리학


41. 길이 100m의 관에서 양단의 압력 수두차가 20m인 조건에서 0.5m3/s를 송수하기 위한 관경은? (단, 마찰손실계수 f=0.03)
     1. 21.5cm
     2. 23.5cm
     3. 29.5cm
     4. 31.5cm

     정답 : []
     정답률 : 47%

42. 초속 V0 의 사출수가 도달하는 수평 최대 거리는?
     1. 최대 연직높이의 1.2배이다.
     2. 최대 연직높이의 1.5배이다.
     3. 최대 연직높이의 2.0배이다.
     4. 최대 연직높이의 3.0배이다.

     정답 : []
     정답률 : 68%

43. 수리학적으로 유리한 단면의 조건으로 옳은 것은?
     1. 경심(R)이 최소이어야 한다.
     2. 윤변(P)이 최대가 되어야 한다.
     3. 경심(R)과 윤변(P)의 곱이 최대가 되어야 한다.
     4. 경심(R)이 최대가 되거나 윤변(P)이 최소가 되어야 한다.

     정답 : []
     정답률 : 76%

44. 유체 내부 임의의 점( x, y, z )에서의 시간 t 에 대한 속도성분을 각각 u , v, w로 표시하면, 정류이며 비압축성인 유체에 대한 연속방정식으로 옳은 것은? (단, ρ는 유체의 밀도이다.)
     1.
     2.
     3.
     4.

     정답 : []
     정답률 : 78%

45. 삼각형 위어(weir)에서 유량에 비례하는 것은? (단, H는 위어의 월류수심이다.)
     1.
     2.
     3.
     4.

     정답 : []
     정답률 : 74%

46. 가는 철사나 바늘을 조심해서 물 위에 놓으면 가라 앉지 않고 뜬다. 이와 같이 바늘이 물위에 뜨는 이유와 관계 되는 것은?
     1. 부력
     2. 점성력
     3. 마찰력
     4. 표면장력

     정답 : []
     정답률 : 76%

47. Manning 공식의 조도계수 n 과 마찰손실계수 f 와의 관계식으로 옳은 것은? (단, 지름 D 인 원관인 경우)
     1.
     2.
     3.
     4.

     정답 : []
     정답률 : 67%

48. 지름이 D인 관수로에서 만관으로 흐를 때 경심 R은?
     1. 0
     2. D/2
     3. D/4
     4. 2D

     정답 : []
     정답률 : 73%

49. 개수로에서 한계수심에 대한 설명으로 옳은 것은?
     1. 최대 비에너지에 대한 수심이다.
     2. 최소 비에너지에 대한 수심이다.
     3. 상류 흐름에 대한 수심이다.
     4. 사류 흐름에 대한 수심이다

     정답 : []
     정답률 : 78%

50. 면적이 A인 평판(平板)이 수면으로부터 h가 되는 깊이에 수평으로 놓여있을 경우 이 면에 작용하는 전수압은? (단, 물의 단위 중량은 w 이다.)
     1. P=whA
     2. P=wh 2A
     3.
     4.

     정답 : []
     정답률 : 73%

51. 흐름에 대한 설명으로 옳은 것은?
     1. 하나의 단면을 지나는 유량이 시간에 따라 변하지 않는 흐름을 등류라 하고, 홍수 시 흐름을 부등류라 한다.
     2. 인공수로와 같이 수심이나 수로 폭이 어느 단면에서나 동일한 경우 수로 내의 유속은 일정하므로 정류라 하고, 수로단면적이 같지 않을 때 부정류라 한다.
     3. 유체의 흐름이 흐름방향만 이동되고 직각방향에는 이동이 없는 흐름을 난류라 한다.
     4. 층류상태의 흐름은 개수로나 관수로에서보다 지하수에서 쉽게 볼 수 있다.

     정답 : []
     정답률 : 64%

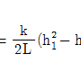
52. Dupuit의 침윤선(浸潤線) 공식의 유량은? (단, 직사각형 단면 제방 내부의 투수인 경우이며, 제방의 저면은 불투수층이고 q : 단위폭당 유량, L : 침윤거리, h1, h2 : 상하류의 수위, k : 투수계수)

    

     1.
     2.
     3.
     4.

     정답 : []
     정답률 : 59%

53. 그림과 같은 배의 무게가 882kN일 때 이 배가 운항하는데 필요한 최소수심은? (단, 물의 비중 = 1, 무게1kg = 9.8N)

    

     1. 1.2m
     2. 1.5m
     3. 1.8m
     4. 2.0m

     정답 : []
     정답률 : 64%

54. 베르누이(Bernoulli)정리가 성립될 수 있는 조건이 아닌 것은?
     1. 임의의 두 점은 같은 유선 위에 있다.
     2. 마찰을 고려한 실제유체이다.
     3. 비압축성 유체의 흐름이다.
     4. 흐름은 정류이다.

     정답 : []
     정답률 : 70%

55. 수조에서 수심 4m인 곳에 2개의 원형 오리피스를 만들어 10L/s의 물을 흐르게 하기 위한 지름은? (단, C=0.62)
     1. 2.96cm
     2. 3.04cm
     3. 3.41cm
     4. 3.62cm

     정답 : []
     정답률 : 51%

56. 개수로에서 도수가 발생하게 될 때 도수 전의 수심이 0.5m, 유속이 7m/s이면 도수 후의 수심(h)은?
     1. 0.5
     2. 1.0
     3. 1.5
     4. 2.0m

     정답 : []
     정답률 : 44%

57. 물의 성질에 대한 설명으로 옳지 않은 것은?
     1. 물의 점성계수는 수온이 높을수록 작아진다.
     2. 동점성계수는 수온에 따라 변하며 온도가 낮을수록 그 값은 크다.
     3. 물은 일정한 체적을 갖고 있으나 온도와 압력의 변화에 따라 어느 정도 팽창 또는 수축을 한다.
     4. 물의 단위중량은 0℃에서 최대이고 밀도는 4℃에서 최대이다.

     정답 : []
     정답률 : 75%

58. 지하수의 유수 이동에 적용되는 다르시(Darcy)의 법칙은? (단, v : 유속, k : 투수계수, I : 동수경사, h : 수심, R : 동수반경, C : 유속계수)
     1. v=-kI
     2. v=C√RI
     3. v=kCI
     4. v=-kh

     정답 : []
     정답률 : 67%

59. 에너지선에 대한 설명으로 옳은 것은?
     1. 유선 상의 각 점에서의 압력수두와 위치수두의 합을 연결한 선이다.
     2. 유체의 흐름방향을 결정한다.
     3. 이상유체 흐름에서는 수평기준면과 평행하다.
     4. 유량이 일정한 흐름에서는 동수경사선과 평행하다.

     정답 : []
     정답률 : 60%

60. 후르드(Froude)수와 한계경사 및 흐름의 상태 중 상류일 조건으로 옳은 것은? (단, Fr : 후르드수, I : 수면경사, IC : 한계경사, V : 유속, VC : 한계유속, y : 수심, yC : 한계수심)
     1. V > VC
     2. Fr > 1
     3. I < Ic
     4. y < yc

     정답 : []
     정답률 : 78%

4과목 : 철근콘크리트 및 강구조


61. 강도 설계법으로 그림과 같은 단철근 T형단면 설계할 때의 설명 중 옳은 것은? (단, f ck=21MPa, fy=400MPa, As=6,000mm2이다.)

    

     1. 폭이 1,200mm인 직사각형 단면보로 계산한다.
     2. 폭이 400m인 직사각형 단면보로 계산한다.
     3. T형 단면보로 계산한다.
     4. T형 단면보나 직사각형 단면보나 상관없이 같은 값이 나온다.

     정답 : []
     정답률 : 64%

62. 경간 10m인 대칭 T형보에서 양쪽 슬래브의 중심간 거리가 2,100mm, 플랜지 두께는 100mm, 복부의 폭(bw)은 400mm일 때 플랜지의 유효폭은?
     1. 2,500mm
     2. 2,250mm
     3. 2,100mm
     4. 2,000mm

     정답 : []
     정답률 : 72%

63. 옹벽의 설계에 대한 일반적인 설명으로 틀린 것은?
     1. 활동에 대한 저항력은 옹벽에 작용하는 수평력의 1.5배 이상이어야 한다.
     2. 전도에 대한 저항휨모멘트는 횡토압에 의한 전도모멘트의 2.0배 이상이어야 한다.
     3. 캔틸레버식 옹벽의 전면벽은 저판에 지지된 캔틸레버로 설계할 수 있다.
     4. 뒷부벽은 직사각형보로 설계하여야 한다.

     정답 : []
     정답률 : 77%
     <문제 해설>
앞부벽은 직사각형보, 뒷부벽식은 T형보로 합니다.
[해설작성자 : 흐규]

64. 경간이 8m인 캔틸레버 보에서 처짐을 계산하지 않는 경우 보의 최소 두께로서 옳은 것은? (단, 보통중량 콘크리트를 사용한 경우로서 fck=28MPa, fy=400 MPa이다.)
     1. 1,000mm
     2. 800mm
     3. 600mm
     4. 500mm

     정답 : []
     정답률 : 57%
     <문제 해설>
fy = 400Mpa를 기준으로 캔틸레버 보의 최소두께는 L/8

65. 그림과 같은 PSC보의 지간 중앙점에서 강선을 꺾었을 때 이 중앙점에서 상향력 U의 값은?

    

     1. 2F sin θ
     2. 4F sin θ
     3. 2F tan θ
     4. 4F tan θ

     정답 : []
     정답률 : 75%

66. 휨부재에서 fck=28MPa, fy=400MPa일 때 인장철근 D29(공칭지름 28.6mm, 공칭단면적 642mm2)의 기본정착 길이 (ldb)는 약 얼마인가?
     1. 1,200mm
     2. 1,250mm
     3. 1,300mm
     4. 1,350mm

     정답 : []
     정답률 : 75%
     <문제 해설>
인장철근은 0.6*공칭지름*fy/root fck
-> 0.6*28.6*400/root 28 = 1297.1 = 약 1300

67. 그림에 나타난 직사각형 단철근 보는 과소철근 단면이다. 공칭 휨강도 Mn에 도달할 때 인장철근의 변형률은 얼마인가? (단, 철근 D22 4본의 단면적은 1,548mm2, fck=28MPa, fy=350MPa이다.)

    

     1. 0.003
     2. 0.007
     3. 0.091
     4. 0.012

     정답 : []
     정답률 : 45%

68. 강도설계법에 의해 휨설계를 할 경우 fck=40MPa인 경우 β1의 값은?
     1. 0.85
     2. 0.812
     3. 0.766
     4. 0.65

     정답 : []
     정답률 : 65%
     <문제 해설>
β1= 0.85-0.007(fck-28)

69. 단면이 300×500mm이고, 100mm2의 PS 강선 6개를 강선군의 도심과 부재단면의 도심축이 일치하도록 배치된 프리텐션 PSC 보가 있다. 강선의 초기 긴장력이 1000MPa일 때 콘크리트의 탄성변형에 의한 프리스트레스의 감소량은? (단, n=6)
     1. 42MPa
     2. 36MPa
     3. 30MPa
     4. 24MPa

     정답 : []
     정답률 : 65%

70. 철근콘크리트의 전단철근에 관한 다음 설명 중 틀린 것은?
     1. 인 경우에 수직스터럽의 간격은 d/5 이하, 또 200mm 이하로 한다.
     2. 의 경우에 수직 스터럽의 간격은 d/2 이하, 또 600mm 이하로 한다.
     3. 의 구간에 최소전단철근을 배치한다.
     4. 전단설계 Vu≤ φVn 의 관계식에 기초한다.

     정답 : []
     정답률 : 63%

71. 철근콘크리트 구조 부재의 설계에 대한 일반적인 설명으로 틀린 것은?
     1. 철근콘크리트의 파괴는 균형상태로 설계함이 바람직하다.
     2. 단면설계시 고정하중(자중)을 먼저 적당히 가정하고 계산값과 차가 적을 때까지 반복 한다.
     3. 철근콘크리트보는 연성파괴가 되도록 과소철근단면으로 설계한다.
     4. 정모멘트(+M)와 부모멘트(-M)를 받는 부재는 복철근으로 설계한다.

     정답 : []
     정답률 : 52%

72. 다음 그림은 필렛(Fillet) 용접한 것이다. 목두께 a를 표시한 것으로 옳은 것은?

    

     1. a =S2×0.707
     2. a =S1×0.707
     3. a =S2×0.606
     4. a =S1×0.606

     정답 : []
     정답률 : 73%

73. PSC에서 콘크리트의 응력해석에서 균열 발생 전 해석상의 가정으로 옳지 않은 것은?
     1. 콘크리트와 PS강재 및 보강철근을 탄성체로 본다.
     2. RC에 적용되는 강도이론을 그대로 적용한다.
     3. 콘크리트 전단면을 유효하다고 본다.
     4. 단면의 변형률은 중립축에서의 거리에 비례한다고 본다.

     정답 : []
     정답률 : 69%

74. 철근콘크리트 부재를 설계할 때 철근의 설계기준항 복강도 fy는 다음 어느 값을 초과하지 않아야 하는가?
     1. 400MPa
     2. 500MPa
     3. 550MPa
     4. 600MPa

     정답 : []
     정답률 : 69%
     <문제 해설>
긴장재를 제외한 철근의 설계기준강도 fy 는 600Mpa를 초과하지 않아야 한다
[해설작성자 : 토목닌자 하시라마]

75. 그림에 나타난 직사각형 단철근보의 공칭 전단강도 Vn을 계산하면? (단, 철근 D10을 수직스터럽(stirrup)으로 사용하며, 스터럽 간격은 200mm, 철근 D10 1본의 단면적은 71mm2, fck=28MPa, fy=350MPa이다.)

    

     1. 119kN
     2. 176kN
     3. 231kN
     4. 287kN

     정답 : []
     정답률 : 48%
     <문제 해설>
119.058 + 111.825 = 230.9 = 231
[해설작성자 : 토깨지]

Vc = 1/6 √f'c* b* d = 1/6(28)^0.5* 300* 450 = 119058N
Vs = Av *fy*d/s = (2*71)* 350* 450/200 = 111825N
∴ Vn = Vc + Vs = 231kN
[해설작성자 : 스노우맨]

76. 그림과 같은 직사각형 단면에서 등가 직사각형 응력블록의 깊이(a)는? (단, fck=21MPa, fy=400MPa이다.)

    

     1. 107mm
     2. 112mm
     3. 118mm
     4. 125mm

     정답 : []
     정답률 : 72%
     <문제 해설>
1500×400/0.85×21×300 = 112

77. 철근콘크리트가 성립하는 이유에 대한 설명으로 틀린 것은?
     1. 철근과 콘크리트와의 부착력이 크다.
     2. 콘크리트 속에 묻힌 철근은 부식하지 않는다.
     3. 철근과 콘크리트의 탄성계수는 거의 같다.
     4. 철근과 콘크리트는 온도에 대한 팽창계수가 거의 같다.

     정답 : []
     정답률 : 70%

78. 그림과 같은 판형(Plate Girder)의 각부 명칭으로 틀린 것은?

    

     1. A-상부판(Flange)
     2. B-보강재(Stiffener)
     3. C-덮개판(Cover Plate)
     4. D-횡구(Bracing)

     정답 : []
     정답률 : 80%

79. 아래의 표에서 설명하고 있는 프리스트레스트 콘크리트의 개념은?

    

     1. 내력 모멘트의 개념
     2. 외력 모멘트의 개념
     3. 균등질 보의 개념
     4. 하중 평형의 개념

     정답 : []
     정답률 : 68%

80. 인장력을 받는 이형철근의 겹침이음길이는 A급과 B급으로 분류한다. 여기서 A급 이음의 조건으로 옳은 것은?
     1. 배치된 철근량이 이음부 전체 구간에서 해석결과 요구되는 소요철근량의 2배 이상이고 소요 겹침이음 길이 내 겹침이음된 철근량이 전체 철근량의 1/2 이하인 경우
     2. 배치된 철근량이 이음부 전체 구간에서 해석결과 요구되는 소요철근량의 2배 이하이고 소요겹침이음 길이 내 겹침이음된 철근량이 1/2 이하인 경우
     3. 배치된 철근량이 이음부 전체 구간에서 해석결과 요구 되는 소요철근량의 2배 이상이고 소요 겹침이음 길이 내 겹침이음된 철근량이 전체 철근량의 1/2 이상인 경우
     4. 배치된 철근량이 이음부 전체 구간에서 해석결과 요구되는 소요철근량의 2배 이하이고 소요 겹침이음 길이 내 겹침이음된 철근량이 전체 철근량의 1/2 이상인 경우

     정답 : []
     정답률 : 60%

5과목 : 토질 및 기초


81. 현장에서 습윤단위중량을 측정하기 위해 표면을 평활하게 한 후 시료를 굴착하여 무게를 측정하니 1,230g이었다. 이 구멍의 부피를 측정하기 위해 표준사로 채우는데 1,037g이 필요하였다. 표준사의 단위중량이 1.45g/cm3이면 이 현장 흙의 습윤단위중량은?
     1. 1.72g/cm3
     2. 1.61g/cm3
     3. 1.48g/cm3
     4. 1.29g/cm3

     정답 : []
     정답률 : 64%

82. 실내다짐시험 결과 최대건조단위무게가 1.56t/m3이고, 다짐도가 95%일 때 현장건조단위무게는 얼마인가?
     1. 1.64t/m3
     2. 1.60t/m3
     3. 1.48t/m3
     4. 1.36t/m3

     정답 : []
     정답률 : 66%
     <문제 해설>
다짐도 = rd/rdmax *100 -> rd = 다짐도 * rdmax

83. 다음 중 사질지반의 개량공법에 속하지 않는 것은?
     1. 다짐말뚝 공법
     2. 다짐모래말뚝 공법
     3. 생석회말뚝 공법
     4. 폭파다짐 공법

     정답 : []
     정답률 : 71%

84. 유선망(流線網)에서 사용되는 용어를 설명하는 것으로 틀린 것은?
     1. 유선 : 흙 속에서 물입자가 움직이는 경로
     2. 등수두선 : 유선에서 전수두가 같은 점을 연결한 선
     3. 유선망 : 유선과 등수두선이 이루는 통로
     4. 유로 : 유선과 등수두선이 이루는 통로

     정답 : []
     정답률 : 73%

85. 모래 등과 같은 점성이 없는 흙의 전단강도 특성에 대한 설명 중 잘못된 것은?
     1. 조밀한 모래는 변형의 증가에 따라 간극비가 계속 감소하는 경향을 나타낸다.
     2. 느슨한 모래의 전단과정에서는 응력의 피크(peak)점이 없이 계속 응력이 증가하여 최대 전단응력에 도달한다.
     3. 조밀한 모래의 전단과정에서는 전단응력의 피크(peak)점이 나타난다.
     4. 느슨한 모래의 전단과정에서는 전단파괴될 때까지 체적이 계속 감소한다.

     정답 : []
     정답률 : 46%

86. 아래 그림과 같이 정수두 투수시험을 실시하였다. 30분 동안 침투한 유량이 500cm3일 때 투수계수는?

    

     1. 6.13×10-3cm/sec
     2. 7.41×10-3cm/sec
     3. 9.26×10-3cm/sec
     4. 10.02×10-3cm/sec

     정답 : []
     정답률 : 70%
     <문제 해설>
QL / AHT = 500*40 / 50*30*30 =0.444 cm/min *1/60 =7.407 * 10^-3

87. 압밀계수 0.5×10-2cm2/sec이고, 일면배수 상태의 5m 두께 점토층에서 90% 압밀이 일어나는데 소요되는 시간은? (단, 90% 압밀도에서의 시간계수( Tv )는 0.848이다.)
     1. 2.12×107sec
     2. 4.24×107sec
     3. 6.36×107sec
     4. 8.48×107sec

     정답 : []
     정답률 : 60%
     <문제 해설>
Tv * (H/2)^2 / Cv = 0.848 * 5^2 / 0.5*10^-2 = 4240

88. 다음 그림에서 점토 중앙 단면에 작용하는 유효압력은?

    

     1. 1.2t/m2
     2. 2.5t/m2
     3. 2.8t/m2
     4. 4.4t/m2

     정답 : []
     정답률 : 68%
     <문제 해설>
rsat = Gs+1 / e+1 응력 = q+ rsub * H/2

89. 사면 안정해석법에 관한 설명 중 틀린 것은?
     1. 해석법은 크게 마찰원법과 분할법으로 나눌 수 있다.
     2. Fellenius 방법은 주로 단기안정해석에 이용된다.
     3. Bishop 방법은 주로 장기안정해석에 이용된다.
     4. Bishop 방법은 절편의 양측에 작용하는 수평방향의 합력이 0이라고 가정하여 해석한다.

     정답 : []
     정답률 : 61%

90. 다음의 기초형식 중 직접기초가 아닌 것은?
     1. 말뚝기초
     2. 독립기초
     3. 연속기초
     4. 전면기초

     정답 : []
     정답률 : 71%

91. 점토의 예민비(Sensitivity ratio)는 다음 시험 중 어떤 방법으로 구하는가?
     1. 삼축압축 시험
     2. 일축압축 시험
     3. 직접전단 시험
     4. 베인 시험

     정답 : []
     정답률 : 78%

92. 어떤 흙의 직접전단 시험에서 수직하중 50kg일 때 전단력이 23kg이었다. 수직응력( σ)과 전단응력( τ )은 얼마인가? (단, 공시체의 단면적은 20cm2이다.)
     1. σ=1.5kg/cm2, τ=0.90kg/cm2
     2. σ=2.0kg/cm2, τ=0.05kg/cm2
     3. σ=2.5kg/cm2, τ=1.15kg/cm2
     4. σ=1.0kg/cm2, τ=0.65kg/cm2

     정답 : []
     정답률 : 60%

93. 포화점토에 대해 베인전단시험을 실시하였다. 베인의 직경과 높이는 각각 7.5cm와 15cm이고 시험 중 사용한 최대회전모멘트는 300kg ㆍ cm이다. 점성토의 비배수전단 강도( cu )는?
     1. 1.94kg/cm2
     2. 1.62t/m2
     3. 1.94t/m2
     4. 1.62kg/cm2

     정답 : []
     정답률 : 47%
     <문제 해설>
Mmax/πD^2(H/2+D/6)

94. 흙의 다짐에서 최적함수비는?
     1. 다짐에너지가 커질수록 커진다.
     2. 다짐에너지가 커질수록 작아진다.
     3. 다짐에너지에 상관없이 일정하다.
     4. 다짐에너지와 상관없이 클 때도 있고 작을 때도 있다.

     정답 : []
     정답률 : 77%

95. 모관상승 속도가 가장 느리고, 상승고가 가장 높은 흙은 다음 중 어느 것인가?
     1. 점토
     2. 실트
     3. 모래
     4. 자갈

     정답 : []
     정답률 : 68%

96. 포화도가 100%인 시료의 체적이 1,000cm3이었다. 노건조 후에 무게를 측정한 결과 물의 무게(Ww)가 400g이었다면 이 시료의 간극률( n )은 얼마인가?
     1. 15%
     2. 20%
     3. 40%
     4. 60%

     정답 : []
     정답률 : 74%

97. 건조한 흙의 직접전단시험 결과 수직응력이 4kg/cm2일 때 전단저항은 3kg/cm2이고 점착력은 0.5kg/cm2이었다. 이 흙의 내부마찰각은?
     1. 30.2°
     2. 32°
     3. 36.8°
     4. 41.2°

     정답 : []
     정답률 : 62%
     <문제 해설>
τ= c+σtan Φ -> Φ=tan-1 τ-c / σ

98. 어떤 점토지반( φ=0°)을 연직으로 굴착하였더니 높이 5m에서 파괴되었다. 이 흙의 단위중량이 1.8t/m3이라면 이 흙의 점착력은?
     1. 2.25t/m2
     2. 2.0t/m2
     3. 1.80t/m2
     4. 1.45t/m2

     정답 : []
     정답률 : 59%

99. 아래 표의 Terzaghi의 극한 지지력 공식에 대한 설명으로 틀린 것은?

    

     1. α, β는 기초 형상계수이다.
     2. 원형기초에서는 B는 원의 직경이다.
     3. 정사각형 기초에서 α의 값은 1.3이다.
     4. Nc , Nr , Nq는 지지력 계수로서 흙의 점착력에 의해 결정된다.

     정답 : []
     정답률 : 78%

100. 기초의 구비조건에 대한 설명으로 틀린 것은?
     1. 기초는 상부하중을 안전하게 지지해야 한다.
     2. 기초의 침하는 절대 없어야 한다.
     3. 기초는 최소 동결깊이보다 깊은 곳에 설치해야 한다.
     4. 기초는 시공이 가능하고 경제적으로 만족해야 한다.

     정답 : []
     정답률 : 77%

101. 도수관로의 매설깊이는 관종 등에 따라 다르지만 일반적으로 관경 1,000mm 이상은 얼마 이상으로 하여야 하는가?
     1. 90cm
     2. 100cm
     3. 150cm
     4. 200cm

     정답 : []
     정답률 : 58%

102. 유량 3,000m3/day인 처리수에 5.0mg/L의 비율로 염소를 주입시켰더니 잔류염소량이 0.2mg/L이었다. 이처리수의 염소요구량은 얼마인가?
     1. 14.4kg/day
     2. 19.4kg/day
     3. 20.4kg/day
     4. 24.4kg/day

     정답 : []
     정답률 : 61%
     <문제 해설>
(5-0.2)×3000=14400=1.44kg/day

103. 도시하수가 하천으로 유입할 때 하천내에서 발생하는 변화로서 틀린 것은?
     1. 부유물질의 증가
     2. COD의 증가
     3. BOD의 증가
     4. DO의 증가

     정답 : []
     정답률 : 79%

104. 어떤 하수의 최종 BOD가 250mg/L, 탈산소계수 k1(상용대수)이 0.2/day일 때 BOD5는 얼마인가?
     1. 225mg/L
     2. 210mg/L
     3. 190mg/L
     4. 180mg/L

     정답 : []
     정답률 : 67%
     <문제 해설>
BOD5 = 250*1-10^-0.2*5 = 225

105. 하수관거의 길이가 1.8km인 하수관거 내에서 우수가 1.5m/sec의 유속으로 흐르고, 유입시간이 8min일 때 유달시간은 얼마인가?
     1. 8min
     2. 18min
     3. 28min
     4. 38min

     정답 : []
     정답률 : 71%

106. 지름 300mm, 길이 100m인 주철관을 사용하여 0.15m3/sec의 물을 20m 높이로 양수하기 위한 펌프의 소요 동력은 얼마인가? (단, 펌프의 효율은 70%이다.)
     1. 21kW
     2. 42kW
     3. 60kW
     4. 86kW

     정답 : []
     정답률 : 53%

107. 유량 10m3/sec, BOD 30mg/L인 하천에 유량 300m3/day, BOD 100mg/L인 하수가 유입되고 있다. 하류의 완전 혼합지점에서 BOD 농도는 얼마인가?
     1. 10mg/L
     2. 20mg/L
     3. 30mg/L
     4. 40mg/L

     정답 : []
     정답률 : 58%
     <문제 해설>
10sec x 60 x 60 x 24 = 86400
86400 x 30 + 300 x 100 / 86400 + 300 =30.24

108. 하수관거의 접합방법 중 유수의 흐름은 원활하지만, 굴착깊이가 증가되어 공사비가 증대되고 펌프배수 지역에서는 양정이 높게 되는 단점이 있는 방법은 어느 것인가?
     1. 관중심 접합
     2. 관저 접합
     3. 관정 접합
     4. 수면 접합

     정답 : []
     정답률 : 66%

109. 다음 중 완속여과의 효과와 거리가 가장 먼 것은 어느 것인가?
     1. 철의 제거
     2. 경도의 제거
     3. 색도의 제거
     4. 망간의 제거

     정답 : []
     정답률 : 56%

110. 분류식 하수관거 계통과 비교하여 합류식 하수관거 계통의 특징에 대한 설명으로서 다음 중 옳지 않은 것은?
     1. 검사 및 관리가 비교적 용이하다.
     2. 청천시 관내에 오염물이 침전되기 쉽다.
     3. 하수처리장에서 오수 처리비용이 많이 소요된다.
     4. 오수와 우수를 별개의 관거계통으로 건설하는 것보다 건설비용이 크게 소요된다.

     정답 : []
     정답률 : 71%

111. 도시화에 따른 우수유출량의 증대로 하수관거 및 방류수로의 유하능력이 부족한 곳에 설치하여 하류지역의 우수유출이나 침수방지에 효과적인 기능을 발휘하는 시설은?
     1. 토구
     2. 침사지
     3. 우수받이
     4. 우수조정지

     정답 : []
     정답률 : 77%

112. 슬러지 농축조에서 함수율 98%인 생슬러지를 투입하여 함수율 96%의 농축 슬러지를 얻었다면, 농축 슬러지의 부피는 얼마인가?(단, 생슬러지의 부피는 V로 가정한다.)
     1.
     2.
     3.
     4.

     정답 : []
     정답률 : 67%
     <문제 해설>
100-98/100-96 = 2/4 = 1/2

113. 하천이나 호소 또는 연안부의 모래 ㆍ 자갈층에 함유되어 있는 지하수로서 대체로 양호한 수질을 얻을 수 있어 그대로 수원으로 사용되기도 하는 것은 어느 것인가?
     1. 용천수
     2. 심층수
     3. 천층수
     4. 복류수

     정답 : []
     정답률 : 75%

114. 저수조식(탱크식)급수방식이 바람직한 경우에 대한 설명으로서 다음 중 옳지 않은 것은?
     1. 역류에 의하여 배수관의 수질을 오염시킬 우려가 없는 경우
     2. 배수관의 수압이 소요압력에 비해 부족할 경우
     3. 항상 일정한 급수량을 필요로 할 경우
     4. 일시에 많은 수량을 사용할 경우

     정답 : []
     정답률 : 68%

115. 상수도관내의 수격현상(water hammer)을 경감시키는 방안으로서 적합하지 않은 것은?
     1. 펌프의 급정지를 피한다.
     2. 에어챔버(air-chamber)를 설치한다.
     3. 운전 중 관내 유속을 최대로 유지한다.
     4. 관로에 압력조정수조(surge tank)를 설치한다.

     정답 : []
     정답률 : 76%

116. 어떤 도시의 총인구가 5만 명, 급수인구는 4만명 일 때 1년간 총급수량이 200만m3이었다. 이 도시의 급수보급률(%)과 1인 1일 평균급수량(m3/인 ㆍ 일)은 얼마인가?
     1. 125 %, 0.110m3/인ㆍ일
     2. 125 %, 0.137m3/인ㆍ일
     3. 80 %, 0.110m3/인ㆍ일
     4. 80 %, 0.137m3/인ㆍ일

     정답 : []
     정답률 : 63%
     <문제 해설>
보급률 = 급수인구/총인구 x 100
1인 1일 평균 급수량 = 총 급수량 / 급수인구 x 365    

117. 하수관거 설계시의 계획오수량을 산정할 때 지하 수량은 1인 1일 최대오수량의 어느 정도로 가정하여 산정함이 원칙인가?
     1. 10~20 %
     2. 20~30 %
     3. 30~40 %
     4. 40~50 %

     정답 : []
     정답률 : 67%

118. 침전지에서 침전효율을 크게 하기 위한 조건으로서 다음 중 옳은 것은?
     1. 유량을 적게 하거나 표면적을 크게 한다.
     2. 유량을 많게 하거나 표면적을 크게 한다.
     3. 유량을 적게 하거나 표면적을 적게 한다.
     4. 유량을 많게 하거나 표면적을 적게 한다.

     정답 : []
     정답률 : 72%

119. 접촉산화법의 특징에 대한 설명으로서 다음 중 틀린 것은?
     1. 생물상이 다양하여 처리효과가 안정적이다.
     2. 유입기질의 변동에 유연한 대처가 곤란하다.
     3. 반송슬러지가 필요하지 않으므로 운전관리가 용이하다.
     4. 고부하에서 운전하면 생물막이 비대화되어 접촉재가 막히는 경우가 발생한다.

     정답 : []
     정답률 : 48%

120. 계획취수량의 기준이 되는 수량으로서 다음 중 옳은 것은?
     1. 계획 1일 평균급수량
     2. 계획 1일 최대급수량
     3. 계획 시간 최대급수량
     4. 계획 1일 1인 평균급수량

     정답 : []
     정답률 : 79%


정 답 지

1

2

3

4

5

6

7

8

9

10

11

12

13

14

15

16

17

18

19

20

21

22

23

24

25

26

27

28

29

30

31

32

33

34

35

36

37

38

39

40

41

42

43

44

45

46

47

48

49

50

51

52

53

54

55

56

57

58

59

60

61

62

63

64

65

66

67

68

69

70

71

72

73

74

75

76

77

78

79

80

81

82

83

84

85

86

87

88

89

90

91

92

93

94

95

96

97

98

99

100

101

102

103

104

105

106

107

108

109

110

111

112

113

114

115

116

117

118

119

120

토목산업기사 필기 기출문제(해설) 및 CBT 2014년03월02일을 이용해 주셔서 감사합니다.
, 필기, 기출문제, 전자문제집, CBT, 온라인, 모의테스트, 모의고사



List of Articles
번호 제목 글쓴이 날짜 조회 수
» 토목산업기사 필기 기출문제(해설) 및 CBT 2014년03월02일(2673) new 좋은아빠되기 2025.11.25 0
9822 토목산업기사 필기 기출문제(해설) 및 CBT 2011년10월02일(2672) new 좋은아빠되기 2025.11.25 0
9821 토목산업기사 필기 기출문제(해설) 및 CBT 2011년03월20일(2671) new 좋은아빠되기 2025.11.25 0
9820 토목산업기사 필기 기출문제(해설) 및 CBT 2009년05월10일(2670) new 좋은아빠되기 2025.11.25 0
9819 토목산업기사 필기 기출문제(해설) 및 CBT 2009년03월01일(2669) new 좋은아빠되기 2025.11.25 0
9818 토목산업기사 필기 기출문제(해설) 및 CBT 2008년05월11일(2668) new 좋은아빠되기 2025.11.25 0
9817 토목산업기사 필기 기출문제(해설) 및 CBT 2008년03월02일(2667) new 좋은아빠되기 2025.11.25 0
9816 토목산업기사 필기 기출문제(해설) 및 CBT 2007년05월13일(2666) new 좋은아빠되기 2025.11.25 0
9815 토목산업기사 필기 기출문제(해설) 및 CBT 2007년03월04일(2665) new 좋은아빠되기 2025.11.25 0
9814 토목산업기사 필기 기출문제(해설) 및 CBT 2006년09월10일(2664) new 좋은아빠되기 2025.11.25 0
9813 토목산업기사 필기 기출문제(해설) 및 CBT 2005년09월04일(2663) new 좋은아빠되기 2025.11.25 0
9812 토목산업기사 필기 기출문제(해설) 및 CBT 2005년05월29일(2662) new 좋은아빠되기 2025.11.25 0
9811 토목산업기사 필기 기출문제(해설) 및 CBT 2005년03월06일(2661) new 좋은아빠되기 2025.11.25 0
9810 토목산업기사 필기 기출문제(해설) 및 CBT 2004년09월05일(2660) new 좋은아빠되기 2025.11.25 0
9809 토목산업기사 필기 기출문제(해설) 및 CBT 2004년05월23일(2659) new 좋은아빠되기 2025.11.25 0
9808 토목산업기사 필기 기출문제(해설) 및 CBT 2004년03월07일(2658) new 좋은아빠되기 2025.11.25 0
9807 토목산업기사 필기 기출문제(해설) 및 CBT 2003년08월31일(2657) new 좋은아빠되기 2025.11.25 0
9806 토목산업기사 필기 기출문제(해설) 및 CBT 2003년05월25일(2656) new 좋은아빠되기 2025.11.25 0
9805 토목산업기사 필기 기출문제(해설) 및 CBT 2003년03월16일(2655) new 좋은아빠되기 2025.11.25 0
9804 토목산업기사 필기 기출문제(해설) 및 CBT 2002년09월08일(2654) new 좋은아빠되기 2025.11.25 0
Board Pagination Prev 1 ... 130 131 132 133 134 135 136 137 138 139 ... 626 Next
/ 626