자격증 필기 기출문제



농기계정비기능사 필기 기출문제(해설) 및 CBT 2006년10월01일(5회)(3422)

최강 자격증 기출문제 전자문제집 CBT : www.comcbt.com


전자문제집 CBT란?

종이 문제집이 아닌 인터넷으로 문제를 풀고 자동으로 채점하며 모의고사, 오답 노트, 해설까지 제공하는
무료 기출문제 학습 프로그램으로 실제 상설검정에서 사용하는 OMR 형식의 CBT를 제공합니다.


최신 농기계정비기능사 필기 기출문제 : [다운로드]

1과목 : 농기계정비


1. 단속기 접점 간극이 규정보다 클 때 맞는 것은?
     1. 점화시기가 빨라진다.
     2. 캠각이 커진다.
     3. 코일에 흐르는 1차 전류가 많아진다.
     4. 점화시기가 늦어진다.

     정답 : []
     정답률 : 71%

2. 기관 밸브의 점검사항으로 다음 중 가장 관계가 적은 것은?
     1. 밸브면의 마멸 및 소손
     2. 밸브 헤드의 카본의 부착상태
     3. 마아진의 두께
     4. 밸브면의 접촉상태

     정답 : []
     정답률 : 42%

3. 동력분무기 취급 시 상용 압력은 몇 ㎏/cm2인가?
     1. 2~5㎏/cm2
     2. 12~15㎏/cm2
     3. 20~25㎏/cm2
     4. 36~40㎏/cm2

     정답 : []
     정답률 : 71%

4. 가솔린 기관용 윤활유가 아닌 것은?
     1. M.L
     2. M.M
     3. M.S
     4. D.G

     정답 : []
     정답률 : 84%

5. 전류의 3대 작용이 아닌 것은?
     1. 방열작용
     2. 화학작용
     3. 정류작용
     4. 자기(磁氣)작용

     정답 : []
     정답률 : 32%

6. 4조식 이앙기로 작업할 때 결주가 생기는 원인이 아닌 것은?
     1. 분리침이 마모되었다.
     2. 파종량이 불균일하다.
     3. 세로이송 롤러가 작동불량이다.
     4. 주간 간격이 좁다.

     정답 : []
     정답률 : 76%

7. 조향 핸들의 조작을 가볍게 하는 방법 중 옳은 것은?
     1. 캐스터를 규정보다 크게 한다.
     2. 토인을 규정보다 크게 한다.
     3. 타이어 공기압을 낮춘다.
     4. 조향기어비를 크게 한다.

     정답 : []
     정답률 : 73%

8. 디젤엔진의 분사시기가 빠르다. 다음 중 정비방법으로 적합한 것은?
     1. 분사펌프 내의 플런저 스프링을 1개 더 넣는다.
     2. 분사노즐의 압력을 높게 한다.
     3. 분사노즐의 압력조절관을 0.1㎜ 1장 줄인다.
     4. 분사펌프 설치부의 동판을 0.3㎜ 1장을 더 넣는다.

     정답 : []
     정답률 : 39%

9. 동력경운기에서 주클러치를 연결하여도 힘이 안 나거나 전혀 움직이지 않을 때의 원인과 관계없는 것은?
     1. 클러치 유격이 없다.
     2. 마찰판이 심하게 소손되었다.
     3. 압력 스프링의 장력이 너무 세다.
     4. 클러치 내부에 윤활유가 누유 되었다.

     정답 : []
     정답률 : 54%

10. 콤바인의 방향센서의 역할은 무엇인가?
     1. 자동으로 줄맞춤을 할 수 있는 기능이다.
     2. 자동으로 예취높이를 조정할 수 있는 기능이다.
     3. 자동 정지기능이다.
     4. 위험경보 기능이다.

     정답 : []
     정답률 : 72%

11. 파종기에 시비장치를 부착하여 파종과 동시에 시비 작업을 할 수 있는 파종기는?
     1. 조파기
     2. 점파기
     3. 산파기
     4. 혼파기

     정답 : []
     정답률 : 78%

12. 트랙터 몰드보드 플라우의 3대 구성요소가 아닌 것은?
     1. 보습
     2. 바닥쇠
     3. 콜터
     4. 몰드보드

     정답 : []
     정답률 : 73%

13. 승용트랙터의 팬벨트의 유격은 어느 정도가 되어야 적당한가?
     1. 손으로 눌러 벨트의 여유가 30~35㎜ 정도
     2. 손으로 눌러 벨트의 여유가 10~15㎜ 정도
     3. 손으로 눌러 벨트의 여유가 3~5㎜ 정도
     4. 손으로 눌러 벨트의 여유가 없어야 한다.

     정답 : []
     정답률 : 81%

14. 브레이크 페달을 밟아도 정차하지 않는 이유로 틀린 것은?
     1. 라이닝과 드럼의 압착상태가 불량
     2. 라이닝 재질 불량 및 오일 부착
     3. 브레이크 파이프 막힘
     4. 타이어 공기압의 부족

     정답 : []
     정답률 : 72%

15. 단기통 경운기 엔진의 실린더와 피스톤을 교환할 때 검사하지 않아도 되는 것은?
     1. 링 홈 간극과 사이드 간극
     2. 피스톤과 실린더의 간극
     3. 피스톤 핀과 커넥팅로드 부싱의 간극
     4. 피스톤의 무게

     정답 : []
     정답률 : 84%

16. 다음 중 콤바인 급동의 입구 쪽에 있는 급치는?
     1. 보강치
     2. 정소치
     3. 정류치
     4. 병치

     정답 : []
     정답률 : 50%

17. 밸브스프링의 설치 길이가 기준에 비해 2㎜ 정도 이상 큰 경우의 원인과 대책 중 틀리는 것은?
     1. 밸브스프링 밑에 심(shim)을 넣어 스프링 장력을 보완한다.
     2. 밸브시트의 침하가 심하다.
     3. 밸브훼이스의 심한 마모로 마진이 작아졌다.
     4. 밸브시트와 밸브를 교환한다.

     정답 : []
     정답률 : 70%

18. 트랙터 냉각장치의 물재킷에서 밀려나온 물을 냉각시키는 곳은?
     1. 워터펌프
     2. 냉각팬
     3. 라디에이터
     4. 서머스텟

     정답 : []
     정답률 : 57%

19. 농용엔2진은 매일 어느 부분을 점검해야 하는가?
     1. 볼트, 너트, 여과기
     2. 윤활유, 냉각수, 연료
     3. 연료, 엔진, 변속기
     4. 공기청정기, 소음기, 벨트

     정답 : []
     정답률 : 77%

20. 다음 중 라디에이터의 코어 막힘률(%)의 계산공식은?
     1. (신품-검사품)/신품 × 100
     2. (신품-검사품)/검사품 × 100
     3. (검사품-신품/신품 × 100
     4. (검사품-신품)/검사품 × 100

     정답 : []
     정답률 : 75%

2과목 : 농기계전기


21. 배기가스가 정상일 때의 색깔은?(단 연료는 무연이다.)
     1. 백색
     2. 흑색
     3. 청백색
     4. 무색

     정답 : []
     정답률 : 60%

22. 연료분사 노즐의 분사압력이 규정값 보다 7㎏/cm2가 낮다. 정상이 되게 조장하는 방법은?
     1. 고압파이프를 교환한다.
     2. 분사노즐내의 공기를 빼고 스로틀을 조금 닫는다.
     3. 분사노즐 고정 너트를 완전히 조여 준다.
     4. 압력 조절판을 0.1㎜짜리 1장을 더 넣는다.

     정답 : []
     정답률 : 62%

23. 겨울철에 기관오일을 교환하려고 한다. 다음 중 어느 것으로 교환하면 가장 좋은가?
     1. SAE 90
     2. SAE 40
     3. SAE 30
     4. SAE 20

     정답 : []
     정답률 : 60%

24. 다음 중 콤바인의 기능이 아닌 것은?
     1. 전처리 기능
     2. 예취기능
     3. 탈곡기능
     4. 도정기능

     정답 : []
     정답률 : 69%

25. 동력경운기의 경우, 기어를 넣고 클러치를 연결하여도 전진하지 않을 때가 있다. 원인에 해당되지 않는 것은?
     1. 벨트의 절단
     2. 체인의 절단 또는 벗겨짐
     3. 클러치의 고장
     4. 브레이크의 고장

     정답 : []
     정답률 : 56%

26. 동력경운기용 기관의 압축압력의 점검은 어느 상태에서 해야 하는가?
     1. 기관을 시동시키기 전에
     2. 기관이 작동되고 있을 때
     3. 기관의 장기보관 전에
     4. 기관을 난기운전 후에

     정답 : []
     정답률 : 57%

27. 가솔린 기관의 총 배기량이 1400㏄이고 연소실 체적이 200㏄라면, 이 기관의 압축비는 얼마인가?
     1. 6
     2. 8
     3. 9
     4. 10

     정답 : []
     정답률 : 63%

28. 디젤기관의 분사시기 확인 시험에서 잠시 제거하여야 할 부품은?
     1. 배출밸브(딜리버리밸브)
     2. 노즐스프링
     3. 노즐홀더
     4. 가압핀

     정답 : []
     정답률 : 59%

29. 기동전동기의 회전속도가 낮고 과도한 전류가 회로 내에서 흐르며 회전력의 발생이 작은 원인과 관계없는 것은?
     1. 베어링의 오손 및 마멸
     2. 전기자축의 휨
     3. 전기자 또는 계자의 접지
     4. 당김코일 단락

     정답 : []
     정답률 : 33%

30. 승용 트랙터의 토우인 조정은 어느 것으로 하는가?
     1. 타이로드
     2. 조향상자의 워엄기어
     3. 스핀들 각
     4. 앞바퀴의 폭

     정답 : []
     정답률 : 75%

31. 단기통 실린더의 전기불꽃 발생 점화장치로 이용되는 것은?
     1. 마그네트 발전기
     2. 축전지
     3. 양수발전기
     4. 전동발전기

     정답 : []
     정답률 : 54%

32. 다음 중 전기력이 작용하는 공간은?
     1. 전계
     2. 자계
     3. 전류
     4. 전압

     정답 : []
     정답률 : 32%

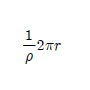
33. 다음 그림에서 합성저항 값은?

    

     1. 10[Ω]
     2. 15[Ω]
     3. 20[Ω]
     4. 25[Ω]

     정답 : []
     정답률 : 35%

34. 축전지의 전해액 보충 시 가장 적합한 것은?
     1. 증류수
     2. 수돗물
     3. 바닷물
     4. 강물

     정답 : []
     정답률 : 91%

35. 점화장치에 단속기를 두는 이유는?
     1. 농기계에 사용하는 전류가 직류이기 때문에
     2. 점화코일의 과열을 방지하기 위하여
     3. 점화타이밍을 정확히 맞추기 위해서
     4. 캠각을 변화시켜주기 위해서

     정답 : []
     정답률 : 62%

36. 다음 중 축전기와 단속기의 연결방법은?
     1. 직렬접속
     2. 병렬접속
     3. 직ㆍ병렬접속
     4. Y결선

     정답 : []
     정답률 : 39%

37. 광원의 광도가 10cd이고 거리가2.5m 떨어진 곳의 조도는 얼마인가?
     1. 50룩스
     2. 20룩스
     3. 2.5룩스
     4. 1.6룩스

     정답 : []
     정답률 : 23%

38. 다음 중 축전지 케이블단자(터미널)청소에 가장 적당한 것은?
     1. 탄산가스
     2. 그리스
     3. 전해액
     4. 탄산수소나트륨

     정답 : []
     정답률 : 61%

39. 기동전동기의 정류자는 브러시에 전류를 어떻게 흐르게 하는가?
     1. 일정 방향으로
     2. 모든 방향으로
     3. 차단 상태로
     4. 전기자철심으로

     정답 : []
     정답률 : 84%

40. 다음 중 전 기계통을 점검 및 정비할 때 필요하지 않는 부분은?
     1. 점화코일
     2. 리테이너
     3. 콘덴서
     4. 점화플러그

     정답 : []
     정답률 : 71%

41. 기동전동기(Starter)의 구동 피니언은 무엇에 의해 역회전이 방지되는가?
     1. 자기 스위치
     2. 오버러닝 클러치
     3. 계철
     4. 계자

     정답 : []
     정답률 : 84%

42. 트랙터용12V 발전기의 발전 전류가 30A이면 이 발전기의 저항은?
     1. 0.5[Ω]
     2. 0.4[Ω]
     3. 0.3[Ω]
     4. 0.2[Ω]

     정답 : []
     정답률 : 53%

43. 트랙터용 AC발전기에서 3상 전파정류에 사용되는 다이오드 수는?
     1. 1개
     2. 3개
     3. 4개
     4. 6개

     정답 : []
     정답률 : 84%

44. 동선의 온도가 상승하면 저항은?
     1. 일정하다.
     2. 커진다.
     3. 작아진다.
     4. 아무변화가 없다.

     정답 : []
     정답률 : 69%

45. 전기적 에너지를 받아서 기계적 에너지로 바꾸는 것은?
     1. 변압기
     2. 정류기
     3. 전동기
     4. 발전기

     정답 : []
     정답률 : 85%

46. 에어콤프레셔의 취급 시 안전사항에 위배되는 것은?
     1. 사용하고 남은 압축공기는 다음 날 사용한다.
     2. 정기적으로 안전밸브와 자동압력 조정기를 검사한다.
     3. 기동 시에는 언로우더 밸브를 열고 기동하고 기동이 된 후 언로우더 밸브를 잠근다.
     4. 정기적으로 윤활유의 양과 질을 검사하고 불량하면 교환한다.

     정답 : []
     정답률 : 60%

47. 사고발생의 3대요인이 아닌 것은?
     1. 환경적 요인
     2. 경험적 요인
     3. 인간적 요인
     4. 기계적 요인

     정답 : []
     정답률 : 71%

48. 유류화재 시 사용해서는 안 되는 것은?
     1.
     2. 이산화탄소
     3. 모래
     4. 가마니

     정답 : []
     정답률 : 82%

49. 다음 중 장갑을 착용해도 좋은 작업은?
     1. 선반적업
     2. 해머작업
     3. 분해조립작업
     4. 그라인더작업

     정답 : []
     정답률 : 72%

50. 다음 전동장치 중 재해가 가장 많이 나타날 수 있는 것은?
     1. 벨트
     2. 기어
     3. 차축
     4. 풀리

     정답 : []
     정답률 : 80%

51. 프레스 작업 시 인체 중 어느 부분이 다치기 쉬운가?
     1. 머리
     2.
     3. 가슴
     4.

     정답 : []
     정답률 : 90%

52. 산업재해는 직접원인과 간접원인으로 구분되는데 다음 직접 원인에서 인적불안전 행위가 아닌 것은?
     1. 위험한 장소 출입
     2. 작업태도 불안전
     3. 복장보호구 미착용
     4. 기계공구 불량

     정답 : []
     정답률 : 68%

53. 기계작업에서 적당치 않은 것은?
     1. 구멍깎기 작업 시에는 기계운전 중에도 구멍을 청소 할 것
     2. 작동 중에는 다듬면을 검사하지 말 것
     3. 치수 측정은 작동 중에 하지 말 것
     4. 베드 및 테이블 위 면을 공구대 대용으로 쓰지 말 것

     정답 : []
     정답률 : 84%

54. 가스 용기를 보관하는 방법 중 맞는 것은?
     1. 가스의 누설검사는 냄새로 한다.
     2. 가스용기를 눕혀서 보관한다.
     3. 가스용기의 온도는 40℃ 이하로 보관한다.
     4. 가스용기는 직사광선에 두면 누설이 적다.

     정답 : []
     정답률 : 75%

55. 안전화는 인체의 어느 부위의 보호를 목적으로 하는가?
     1.
     2. 무릎
     3. 가슴
     4.

     정답 : []
     정답률 : 90%

56. 작업환경으로 볼 수 없는 것은?
     1. 조명
     2. 채광
     3. 소음
     4. 공구

     정답 : []
     정답률 : 62%

57. 방독 마스크를 사용할 수 없는 조건은?
     1. 산소의 농도가 16% 이하인 장소
     2. 산소의 농도가 18% 이하인 장소
     3. 산소의 농도가 20% 이하인 장소
     4. 산소의 농도가 21% 이하인 장소

     정답 : []
     정답률 : 77%

58. 공구 사용 후의 정리정돈법이다. 가장 좋은 방법은?
     1. 창고 입구에 보관한다.
     2. 공구 상자에 보관한다.
     3. 통풍이 좋은 임의의 장소에 보관한다.
     4. 방풍이 잘된 임의의 장소에 보관한다.

     정답 : []
     정답률 : 83%

59. 동력 경운기로 로터리 경운작업 중 후진할 때 가장 안전한 방법은?
     1. 경운 변속 레버를 중립에 놓는다.
     2. 경운 축을 회전시킨다.
     3. 스로틀 레버를 저속으로 조절한다.
     4. 사이드 클러치를 잡는다.

     정답 : []
     정답률 : 56%

60. 다음 중 감전사고로 인하여 의식불명이 된 환자의 응급조치로 가장 적당한 것은?
     1. 냉수를 주어야 한다.
     2. 온수를 주어야 한다.
     3. 따뜻한 곳에 조용히 눕혀 놓는다.
     4. 시원한 곳에 옮겨 마사지를 한다.

     정답 : []
     정답률 : 40%


정 답 지

1

2

3

4

5

6

7

8

9

10

11

12

13

14

15

16

17

18

19

20

21

22

23

24

25

26

27

28

29

30

31

32

33

34

35

36

37

38

39

40

41

42

43

44

45

46

47

48

49

50

51

52

53

54

55

56

57

58

59

60

농기계정비기능사 필기 기출문제(해설) 및 CBT 2006년10월01일(5회)을 이용해 주셔서 감사합니다.
, 필기, 기출문제, 전자문제집, CBT, 온라인, 모의테스트, 모의고사



List of Articles
번호 제목 글쓴이 날짜 조회 수
10569 농기계정비기능사 필기 기출문제(해설) 및 CBT 2007년09월16일(5회)(3423) 좋은아빠되기 2025.11.25 0
» 농기계정비기능사 필기 기출문제(해설) 및 CBT 2006년10월01일(5회)(3422) 좋은아빠되기 2025.11.25 1
10567 농기계정비기능사 필기 기출문제(해설) 및 CBT 2005년07월17일(4회)(3421) 좋은아빠되기 2025.11.25 0
10566 농기계정비기능사 필기 기출문제(해설) 및 CBT 2005년01월30일(1회)(3420) 좋은아빠되기 2025.11.25 1
10565 농기계정비기능사 필기 기출문제(해설) 및 CBT 2004년07월18일(4회)(3419) 좋은아빠되기 2025.11.25 0
10564 농기계정비기능사 필기 기출문제(해설) 및 CBT 2004년02월01일(1회)(3418) 좋은아빠되기 2025.11.25 1
10563 농기계정비기능사 필기 기출문제(해설) 및 CBT 2003년07월20일(4회)(3417) 좋은아빠되기 2025.11.25 0
10562 농기계정비기능사 필기 기출문제(해설) 및 CBT 2003년01월26일(1회)(3416) 좋은아빠되기 2025.11.25 1
10561 농기계정비기능사 필기 기출문제(해설) 및 CBT 2002년07월21일(4회)(3415) 좋은아빠되기 2025.11.25 0
10560 농기계정비기능사 필기 기출문제(해설) 및 CBT 2002년01월27일(1회)(3414) 좋은아빠되기 2025.11.25 1
10559 항공장비정비기능사 필기 기출문제(해설) 및 CBT 2009년03월29일(2회)(3413) 좋은아빠되기 2025.11.25 0
10558 항공장비정비기능사 필기 기출문제(해설) 및 CBT 2005년04월03일(2회)(3412) 좋은아빠되기 2025.11.25 1
10557 항공장비정비기능사 필기 기출문제(해설) 및 CBT 2004년04월04일(2회)(3411) 좋은아빠되기 2025.11.25 0
10556 항공장비정비기능사 필기 기출문제(해설) 및 CBT 2003년03월30일(2회)(3410) 좋은아빠되기 2025.11.25 2
10555 항공장비정비기능사 필기 기출문제(해설) 및 CBT 2002년04월07일(2회)(3409) 좋은아빠되기 2025.11.25 0
10554 항공장비정비기능사 필기 기출문제(해설) 및 CBT 2001년04월29일(2회)(3408) 좋은아빠되기 2025.11.25 1
10553 잠수기능사 필기 기출문제(해설) 및 CBT 2016년04월02일(2회)(3407) 좋은아빠되기 2025.11.25 0
10552 잠수기능사 필기 기출문제(해설) 및 CBT 2015년07월19일(4회)(3406) 좋은아빠되기 2025.11.25 2
10551 잠수기능사 필기 기출문제(해설) 및 CBT 2015년04월04일(2회)(3405) 좋은아빠되기 2025.11.25 0
10550 잠수기능사 필기 기출문제(해설) 및 CBT 2014년07월20일(4회)(3404) 좋은아빠되기 2025.11.25 1
Board Pagination Prev 1 ... 302 303 304 305 306 307 308 309 310 311 ... 835 Next
/ 835