자격증 필기 기출문제



의공기사 필기 기출문제(해설) 및 CBT 2016년03월06일(3712)

최강 자격증 기출문제 전자문제집 CBT : www.comcbt.com


전자문제집 CBT란?

종이 문제집이 아닌 인터넷으로 문제를 풀고 자동으로 채점하며 모의고사, 오답 노트, 해설까지 제공하는
무료 기출문제 학습 프로그램으로 실제 상설검정에서 사용하는 OMR 형식의 CBT를 제공합니다.


최신 의공기사 필기 기출문제 : [다운로드]

1과목 : 기초의학 및 의공학


1. 가변저항 센서(potentiometer)에 대한 설명으로 틀린 것은?
     1. 저항 측정을 통해 변위를 측정한다.
     2. 직선 변위만 측정할 수 있다.
     3. 교류와 직류 모두 사용할 수 있다.
     4. 선형성이 좋고 측정 범위가 넓다.

     정답 : []
     정답률 : 91%
     <문제 해설>
가변저항 센서 특징: 교류나 직류 사용 가능, 선형성 좋음, 직선뿐만 아니라 회전 변위도 측정 가능, 넓은 측정 범위
[해설작성자 : comcbt.com 이용자]

2. 각성 시에 전두부에서 주로 나타나는 뇌전도 파형은?
     1. α파
     2. β파
     3. γ파
     4. δ파

     정답 : []
     정답률 : 73%
     <문제 해설>
α파: 안정되고 편안한 상태
γ파: 강한 집중 시
δ파: 숙면, 신생아
[해설작성자 : comcbt.com 이용자]

3. 전극을 이용한 측정에서 발생하는 잡음의 종류 및 원인에 대한 설명으로 틀린 것은?
     1. 백색잡음 : 전극의 전해질 건조, 리드선 커넥터 부분의 연결 불량, 리드선이 외부 장치와 단락
     2. 전원 잡음: 공통 전극의 접촉 불량 또는 단선, 리드선이 외부 장치와 단락
     3. 동잡음 : 전자기파의 간섭
     4. 출력 신호 포화 : 전극과 리드선과의 단선, 리드선의 움직임, 전극 건조

     정답 : []
     정답률 : 79%
     <문제 해설>
동잡음: 전극의 고정 미흡, 리드선의 움직임에 의한 전극의 움직임, 전극 전해질 건조
[해설작성자 : comcbt.com 이용자]

4. 심장 전기 자극의 이동경로로 옳은 것은?
     1. 동방결절(SA node) → 심방(atria) → 방실결절(AV node) → 심실(ventricle) → 히스속(bundle of His) → 푸르키니에 섬유(Purkinje Fiber)
     2. 동방결절(SA node) → 심방(atria) → 방실결절(AV node) → 히스속(bundle of His) → 푸르키니에 섬유(Purkinje Fiber) → 심실(ventricle)
     3. 방실결절(AV node) → 심방(atria) → 동방결절(SA node) → 히스속(bundle of His) → 푸르키니에 섬유(Purkinje Fiber) → 심실(ventricle)
     4. 방실결절(AV node) → 동방결절(SA node) → 심방(atria) → 히스속(bundle of His) → 푸르키니에 섬유(Purkinje Fiber) → 심실(ventricle)

     정답 : []
     정답률 : 88%
     <문제 해설>
심장 전기 자극 이동 경로: 동방결절 - 심방- 방실결절- 히스속- 푸르키니에 섬유- 심실
[해설작성자 : comcbt.com 이용자]

5. 어떤 금속의 반전지 전위(half-cell potential)에 대한 설명으로 옳은 것은?
     1. 1기압의 수소기체를 기준으로 상대 전위를 측정한다.
     2. 외부의 기계적 압력에 의해 발생하는 전위이다.
     3. 두 금속의 열전도율 차에 의해 발생하는 전위이다.
     4. 두 금속의 열팽창률 차에 의해 발생하는 전위이다.

     정답 : []
     정답률 : 79%

6. 동맥과 정맥에 대한 설명으로 옳은 것은?
     1. 정맥에는 판막이 있다.
     2. 정맥의 벽은 동맥과 마찬가지로 단일층으로 되어 있다.
     3. 정맥은 동맥에 비해서 두꺼운 혈관벽을 가지고 있다.
     4. 중간 크기와 정맥이나 대정맥에는 외막 속에 혈관 자체에 영양을 공급하는 자양혈관이 있다.

     정답 : []
     정답률 : 88%
     <문제 해설>
동맥은 혈압이 높아 벽이 두꺼우며 정맥은 압력이 낮아 벽이 얇다.
혈관벽에 영양을 공급하는 혈관을 자양혈관이라 하며 벽이 두꺼운 혈관에 주로 분포한다.
정맥은 압력이 낮으므로 정수압 및 다른 조건에 의하여 혈액이 역류할 수 있으므로 혈액의 역류를 방지하기 위하여
판막이 곳곳에 있다.
[해설작성자 : RJ SHIN]

7. 변위에 따라 저항이 바뀌는 센서는?
     1. 열전쌍
     2. 선형 가변 차동 변환기
     3. 스트레인게이지
     4. 압전센서

     정답 : []
     정답률 : 62%

8. 전극의 종류와 관련하여 표면전극이 아닌 것은?
     1. 일회용 금속판 전극
     2. 바늘형 전극
     3. 부유 전극
     4. 흡착 전극

     정답 : []
     정답률 : 90%
     <문제 해설>
바늘형 전극은 내부전극이다.
[해설작성자 : comcbt.com 이용자]

9. 심장 박동 주기 중 심실 압력은 급격히 증가하나 모든 판막이 닫혀 있기 때문에 심실용적이 일정하게 유지되는 시기는?
     1. 심방 수축기
     2. 심실의 등장성 수축기
     3. 급속 구출기
     4. 감소 구출기

     정답 : []
     정답률 : 86%

10. 다음 그림은 일회용 금속판 전극의 단면을 나타낸 것이다. 그림에서 전해질 젤(electrolyte gel)은 어느 부분인가?

    

     1. A 부분
     2. B 부분
     3. C 부분
     4. D 부분

     정답 : []
     정답률 : 93%

11. 신경과 근육의 연접부위에 대한 설명 중 틀린 것은?
     1. 운동신경 말단에는 다수의 소포(vesicle)가 있고 이곳에 미토콘드리아 및 화학전달물질인 아세틸콜린 등이 함유되어있다.
     2. 흥분이 신경종말까지 전이되면 소포 속에 저장되어 있던 아세틸콜린이 분비되어 신경종말과 종판 사이의 좁은 간격으로 확산 유출된다.
     3. 유출된 아시틸콜린은 근육의 수용기(receptor)에 도달되어 수용기-아세틸콜린 복합체를 만든다.
     4. 효소인 아세틸콜린 에스테라제는 아세틸콜린복합체를 활성화 시켜준다.

     정답 : []
     정답률 : 69%
     <문제 해설>
아세틸콜린 에스테라제: 신경 전달물질인 아세틸콜린의 분해효소
아세틸콜린복합체를 억제한다.

12. 근육수축의 가장 간단한 형태로서 단일자극에 대한 단일수축을 무엇이라 하는가?
     1. 경축(contracture)
     2. 강축(tetanus)
     3. 연축(twitch)
     4. 긴장(tonus)

     정답 : []
     정답률 : 76%
     <문제 해설>
1회의 자극으로 근육이 오그라들었다가 이완되어 다시 본래의 상태로 되돌아가는 과정, 단일 자극에 의한 근육의 1회수축
[해설작성자 : 술풀레옹]

13. 심장에서 정상적인 심박조율 기능을 하는 부위는?
     1. 푸르키니에 섬유
     2. 히스번들
     3. 방실결절
     4. 동방결절

     정답 : []
     정답률 : 83%
     <문제 해설>
동방결절은 주기적인 자극을 생성하여 심장 수축을 유도함으로써 심장박동을 조절하는 심장의 특정한 부분을 지칭한다
[해설작성자 : 술풀레옹]

14. X-선을 사용한 골 연령 판정에 사용되는 부위는?
     1. 골막
     2. 골수강
     3. 치밀골
     4. 골단선

     정답 : []
     정답률 : 69%
     <문제 해설>
관상골(管狀骨)의 골간(骨幹)과 골단(骨端) 사이에 있는 성장선.
또는 성장판이라고 불린다.
[해설작성자 : hh]

15. 체온조절을 담당하는 신경계의 부위는?
     1. 대뇌
     2. 소뇌
     3. 시상하부
     4. 측두엽

     정답 : []
     정답률 : 89%
     <문제 해설>
시상하부는 뇌 전체 부피의 1% 이하를 차지하고 있지만, 항상성 유지를 위한 중추로 작용한다. 또한 감정표출, 체온조절, 배고픔이나 목마름 등의 다양한 행동 조절을 담당하는 중추로도 작용한다.
[해설작성자 : 술풀레옹]

16. 금속저항 온도계를 이용한 온도측정 회로에서 센서에 큰 전류가 흐르도록 설계해서는 안 되는 이유는?
     1. 제작상의 어려움 때문에
     2. 회로 구성의 어려움 때문에
     3. 온도센서의 부식 때문에
     4. 소자의 온도 상승 때문에

     정답 : []
     정답률 : 91%

17. 센서가 활용되는 측정회로에서 입력이 없음에도 불구하고 출력전기 신호가 0이 아닌 값이 나오는 현상을 부르는 용어는?
     1. 감도
     2. 동작범위
     3. 복귀도
     4. 오프셋

     정답 : []
     정답률 : 89%
     <문제 해설>
감도 : 입력신호의 단위 크기에 대한 출력신호의 변화 비율을 감도 또는 민감도라고 한다.
동작범위 : 센서에서 직선성이 항상 나타나는 것이 아니고 일정 구간에서만 나타나는데 이 구간을 동작범위라고 한다.
                     즉, 센서의 허용 가능한 입력값 범위를 말하며 스팬이라고도 한다
[해설작성자 : RJ SHIN]

18. 열전쌍(thermocouple)의 특징이 아닌 것은?
     1. 열기전력 특성이 연속적이고 선형성을 가진다.
     2. 화학적, 기계적으로 안정적이다.
     3. 변위를 측정할 때 사용된다.
     4. 안정적인 고감도 증폭기가 필요하다.

     정답 : []
     정답률 : 72%
     <문제 해설>
열전쌍은 온도 변화에 대해 유도되는 기전력이 작아서 온도 변화가 작은 생체에서 온도 측정을 하려할 때
예민한 증폭기를 필요로 하는 센서이다.
서로 다른 두 금속의 접합부 양단에 온도를 다르게 하면 두 접합부 사이에 기전력이 유도되는 제벡효과를 이용한 센서이다.
[해설작성자 : comcbt.com 이용자]

19. 인슐린(insulin)이 생산되는 곳은?
     1.
     2. 췌장
     3. 신장
     4. 비장

     정답 : []
     정답률 : 81%
     <문제 해설>
인슐린: 췌장의 랑게르한스섬에 있는 β세포에서 분비되는 호르몬이다. 생체 내에서 혈당을 강하시키는 기능을 하며, 많은 조직과 기관에서 직,간접적으로 대사 조절에 관여한다.
[해설작성자 : comcbt.com 이용자]

20. 열전쌍에 적용되는 원리로서, 2종의 금속 또는 반도체를 폐로가 되도록 접속하고, 접속한 두 점 사이에 온도차에 대해 기전력이 발생하여 전류가 흐르는 현상은?
     1. 제만 효과
     2. 제벡 효과
     3. 전위차 효과
     4. 접합 효과

     정답 : []
     정답률 : 92%

2과목 : 의용전자공학


21. 생체압력계측 중 혈압측정에 있어 간접측정 방법으로 틀린 것은?
     1. 카테터 삽입 측정법
     2. 초음파 센서 이용법
     3. 오실로메트릭법
     4. 청진법

     정답 : []
     정답률 : 88%

22. 펄스의 주기와 펄스폭은 일정하고 펄스 진폭만을 입력 신호 전압에 따라 변화시키는 변조방식은?
     1. 펄스부호변조(PCM)
     2. 펄스위치변조(PPM)
     3. 펄스진폭변조(PAM)
     4. 펄스폭변조(PWM)

     정답 : []
     정답률 : 90%

23. 어떤 도체의 단면에 1분 동안 240 C의 전기량이 이동하였을 때 전류는 몇 A 인가?
     1. 3
     2. 4
     3. 5
     4. 6

     정답 : []
     정답률 : 93%
     <문제 해설>
I=Q/t 이므로 240C/60s=4[A]
[해설작성자 : 합격기원]

24. 인가전압이 40V인 회로에서 저항 R1에 걸리는 전압은 몇 V 인가? (단, R1=5Ω, R2=15Ω이다.)

    

     1. 10
     2. 20
     3. 30
     4. 40

     정답 : []
     정답률 : 83%
     <문제 해설>
V1= R1*V / R1+R2 = 5*40 / 5+15 = 10V
[해설작성자 : 로그인]

25. 정전용량이 C 인 콘덴서의 극판사이에 비유전율이 8인 유전체를 제거하고 공기로 채웠을 때의 용량을 C0 이라고 하면 C와 C0의 관계는?
     1. C = 8C0
     2. C = 4C0
     3. C = C0 / 8
     4. C = C0 / 4

     정답 : []
     정답률 : 85%
     <문제 해설>
C = 8ε0*(S/d)
C0 = ε0*(S/d)
C = 8C0
[해설작성자 : comcbt.com 이용자]

26. 입력에 2 VPP의 100 kHz 구형파를 입력하였더니 출력파형은 20 VPP의 삼각파가 되었을 때 Slew rate는 얼마인가? (단, 연산증폭기는 전압이득 10인 비반전 증폭기로 구성하였다.)
     1. 2 V/us
     2. 4 V/us
     3. 20 V/us
     4. 40 V/us

     정답 : []
     정답률 : 49%
     <문제 해설>
주파수 100kHz = > 주기 10 us => 반주기 us
Slew rate = 20[Vpp] / 5[us] = 4[V/us]
[해설작성자 : comcbt.com 이용자]

27. 다음 회로에서 RL 에 흐르는 전류는 몇 mA 인가? (단, Vin = 2V, R1=R2=R3=2kΩ, RL=500Ω이다.)

    

     1. 4.0
     2. 2.0
     3. 1.0
     4. 0.5

     정답 : []
     정답률 : 58%
     <문제 해설>
1. R2에 걸리는 전압 Vr2 = Vout * { (R2//R3) / (RL + R2//R3) } = Vout / 1.5
2. Vin / R1 = - Vr2 / R2 => |Vr2| = 2[v] => Vout = 3[V]
3. RL에 걸리는 전압 Vrl = Vout * { RL / ( RL + R2//R3 ) } = 3 * (0.5/1.5) = 1 [V]
4. RL에 흐르는 전류 Irl = Vrl / RL = 1 / 0.5 = 2
[해설작성자 : comcbt.com 이용자]

28. 생체전기 현상을 유도하는 전극 중 단일 세포내에 찔러 넣어 막전위를 기록하는데 사용하는 전극은?
     1. 표면 전극(surface electrode)
     2. 피부 전극(skin electrode)
     3. 미소 전극(micro lectrode)
     4. 내부 전극(internal electrode)

     정답 : []
     정답률 : 68%
     <문제 해설>
근섬유나 신경세포 등 개개의 세포 내에 찔러 넣어서 세포 내의 전위 변동을 측정하기 위한 전극이다
[해설작성자 : 술풀레옹]

29. 다음의 논리함수를 불(Boole) 대수를 이용하여 간단히 하면?

    

     1. C
     2.
     3. AC
     4.

     정답 : []
     정답률 : 80%
     <문제 해설>
AB'(1+C) = AB'
[해설작성자 : comcbt.com 이용자]

30. 교류전압 100V, 50 Hz를 반파정류 했을 경우 출력 주파수는 몇 Hz 인가?
     1. 60
     2. 120
     3. 50
     4. 100

     정답 : []
     정답률 : 67%

31. 생체신호 측정에서 심전도 신호의 주파수 대역이 0.01~200 Hz 라고 할 때, 앨리어싱효과(aliasing effect)가 일어나지 않게 하기 위한 표본화 주파수는 최소 얼마 이상이어야 하는가?
     1. 0.01 Hz
     2. 100 Hz
     3. 200 Hz
     4. 400 Hz

     정답 : []
     정답률 : 66%
     <문제 해설>
일반적으로 표본화 주파수는 기록하는 신호의 최고 주파수보다 2배 이상의 높은 주파수가 필요하다.
2*200 = 400
[해설작성자 : comcbt.com 이용자]

32. 배전압 정류회로의 특징으로 틀린 것은?
     1. 승압용 변압기가 필요하지 않다.
     2. 고전압용으로 사용한다.
     3. 용량이 작은 커패시터를 사용한다.
     4. 저전류 용도로 사용한다.

     정답 : []
     정답률 : 74%
     <문제 해설>
용량이 큰 커패시터를 사용하면 성능이 좋다.
[해설작성자 : 로그인]

33. 생체계측기의 특성 중 입력의 보상방법으로 틀린 것은?
     1. 감도제한
     2. 부귀환
     3. 필터링
     4. 변조

     정답 : []
     정답률 : 58%

34. 생체신호 측정전극으로 사용하는 금속전극의 대표적인 재질은?
     1. 은-염화은(Ag-AgCl)
     2. 구리(Cu)
     3. 알루미늄(Al)
     4. 납(Pb)

     정답 : []
     정답률 : 86%

35. 직류회로의 전압과 전류에 대한 설명으로 틀린 것은?
     1. 1A는 1초에 1C의 전하가 이동하는 비율에 해당하는 전류량이다.
     2. 전자의 이동방향은 전류의 이동방향과 반대이다.
     3. 도체에 흐르는 전류는 인가전압의 크기에 비례하고 저항에 반비례한다.
     4. 전류의 흐름은 일반적으로 음전하가 이동하는 방향이다.

     정답 : []
     정답률 : 73%
     <문제 해설>
음전하의 이동 방향 = 전자의 이동 방향 = 전류의 흐름과 반대 방향
[해설작성자 : comcbt.com 이용자]

36. 진공 중의 유전율과 단위를 올바르게 나타낸 것은?
     1. 8.854 × 10-12 C/m
     2. 8.854 × 10-12 F/m
     3. 1.602 × 10-19 A/m
     4. 1.602 × 10-19 H/m

     정답 : []
     정답률 : 62%

37. 클록 펄스(clock pulse)의 주기만큼 입력신호가 지연되어 출력에 나타나는 시프트 레지스터(shift register)에 주로 사용되는 것은?
     1. D 플립플롭
     2. T 플립플롭
     3. RS 플립플롭
     4. JK 플립플롭

     정답 : []
     정답률 : 69%

38. 생체를 대상으로 하는 의료분야에 있어서 새로운 기술을 도입하여 이용하고자 할 경우에는 생체계측의 특수성을 충분히 고려하여야 한다. 이에 맞지 않는 설명은?
     1. 인간을 측정대상으로 하기 때문에 안전성을 충분히 고려하여야 한다.
     2. 개체차가 상당히 크고, 장치의 설계나 데이터의 해석에 다양성이 요구된다.
     3. 측정상태로 인해 생리 상태를 크게 변화시킬 수 있다.
     4. 일반적으로 반복되는 현상을 검출하기 때문에 즉시성이 요구되지 않는다.

     정답 : []
     정답률 : 83%

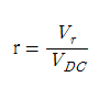
39. 커패시터 필터에 관한 설명으로 옳은 것은?
     1. 리플계수 이다.
     2. 리플이 클수록 효율적인 필터이다.
     3. 커패시터의 용량을 작게 하면 출력전압은 직류에 가까워진다.
     4. 커패시터의 충전과 방전에 의한 출력전압의 변동이 리플 전압이다.

     정답 : []
     정답률 : 69%
     <문제 해설>
리플계수 r = Vr / Vdc
리플계수가 낮을수록 좋은 필터이다.
[해설작성자 : comcbt.com 이용자]

40. 심장의 전기생리적 특성에 대한 설명으로 틀린 것은?
     1. 자동성
     2. 흥분성
     3. 유도성
     4. 전도성

     정답 : []
     정답률 : 66%

3과목 : 의료안전·법규 및 정보


41. 의료기기법령상 의료기기를 규정에 따라 재심사 신청 시 신청서 제출 대상이 다른 것은?
     1. 1등급 의료기기
     2. 2등급 의료기기
     3. 3등급 의료기기
     4. 4등급 의료기기

     정답 : []
     정답률 : 73%

42. 다음 중 접지공사의 목적이 아닌 것은?
     1. 뇌해(벼락) 방지용
     2. 누설전류로 인한 감전 방지용
     3. 단락사고시 전원차단용 기기의 정지용
     4. 고압전류를 대지로 흘려 감전을 방지하는 작용

     정답 : []
     정답률 : 83%

43. 다음 각 ( ) 안에 알맞은 것은?

    

     1. a : 최대, b : 제조원 포장단위
     2. a : 최대, b : 수입원 포장단위
     3. a : 최소, b : 제조원 포장단위
     4. a : 최소, b : 수입원 포장단위

     정답 : []
     정답률 : 70%
     <문제 해설>
수입의 경우 수입원 포장단위입니다.
[해설작성자 : 민짜이]

취급상 용이한 최소단위로 정하여 기재합니다.
- 제조의료기기 : 1set, 1box, 1pack 또는 '자사 포장단위'
- 수입의료기기 : 1set, 1box, 1pack 또는 '제조원 포장단위'
[해설작성자 : 부리부리]

제조업자 또는 제조원이 정하는 최소 포장단위로 기재하되, 제조의료 기기의 경우에는 "자사 포장단위"로, 수입의료기기의 경우에는 "제조원 포장단위"로 기재할 수 있다.
[해설작성자 : 술풀레옹]

44. 의료기기의 전기·기계적 안전에 관한 공통 기준규격에 의거 “정상적인 사용 시에 손으로 지지하는 것을 의도한 기기”를 무엇이라 하는가?
     1. 고정형 기기
     2. 이동형 기기
     3. 수지형 기기
     4. 영구설치형 기기

     정답 : []
     정답률 : 87%

45. 의료기기법상 의료기기 제조업 허가를 받을 수 있는 사람은?
     1. 금치산자
     2. 마약 중독자
     3. 의료기기법을 위반하여 제조업 허가가 취소된 날부터 14개월이 경과된 자
     4. 의료기기법을 위반하여 금고 이상의 형을 선고받고 그 집행이 끝나지 아니한 자

     정답 : []
     정답률 : 87%

46. AMIA(America Medical Informatics Association)에서 권고하고 있는 의료정보학의 목표로 적당하지 않은 것은?
     1. 정보의 검색과 관리
     2. 안정적인 연구 및 개발
     3. 환자관리와 의사결정
     4. 병원정보시스템

     정답 : []
     정답률 : 57%
     <문제 해설>
의료정보학의 목표
1컴퓨터 조작방법의 습득
2통신
3정보의 검색과 관리
4컫퓨터 보조학습
4환자관리와 의사결정
5의료사무관리
6병원 정보 시스템

47. 의료기기법령상 다음 ( ) 안에 알맞은 내용은?

    

     1. 정확성, 보편성
     2. 보편성, 유효성
     3. 안전성, 정확성
     4. 안전성, 유효성

     정답 : []
     정답률 : 82%

48. 전자파의 발생 원인에 대한 설명으로 틀린 것은?
     1. 전자파는 전류가 흐르는 송전 전력선 근처에서 발생할 수 있다.
     2. 높은 자장을 이용한 진단용 MRI에서 전자파가 발생할 수 있다.
     3. 병원에서 진단목적으로 사용하는 초음파 기기에서는 초음파가 발생하고 전자파는 발생하지 않는다.
     4. 진단용 CT에서 사용하는 X-선도 전자파이다.

     정답 : []
     정답률 : 85%
     <문제 해설>
초음파 기기에서도 전자파가 나오기 때문에
휴대용 초음파 진단기기 관련 규격 내 3.1 안전성 평가 관련 규격 하위 '나'에 전자파 안전성 관련규격이 있다.
[해설작성자 : comcbt.com 이용자]

49. 의료기기의 용기나 외장에 기재하여야 할 사항으로 틀린 것은?
     1. 쉽게 볼 수 있는 장소에 기재하여야 하고, 보건복지부령이 정하는 바에 의하여 한글로 읽기 쉽고 이해하기 쉬운 용어로 정확히 기재하여야 한다.
     2. 의료기기의 용기나 외장에 기재한 사항이 외부의 용기나 포장에 의하여 보이지 아니할 경우에는 외부의 용기나 포장에도 같은 사항을 기재하여야 한다.
     3. 의료기기의 첨부문서에는 보수점검에 관한 사항, 식품의약품안전처장이 기재하도록 정하는 사항, 보건복지부령으로 정하는 사항 등을 기재하여야 한다.
     4. 의료기기의 용기나 외장에는 제품명, 형명(모델명), 품목허가(신고)번호, 제조업자 또는 수입업자의 상호와 주소, 사용방법 및 사용시 주의사항을 반드시 기재하여야 한다.

     정답 : []
     정답률 : 76%
     <문제 해설>
사용방법 및 사용시 주의사항은 반드시 기재하는 사항은 아니다.

50. 다음은 의료영상의 압축방법 중 무손실 압축을 설명한 내용으로 틀린 것은?
     1. 대표적인 무손실 압축은 JPEG 이다.
     2. 의료영상은 진단의 오류를 방지하기 위하여 가능하면 무손실 압축을 실시한다.
     3. 복원된 영상은 완벽하게 원본과 일치하여야 한다.
     4. 압축율은 일반적인 압축 기법에 비하여 낮은 편이다.

     정답 : []
     정답률 : 73%
     <문제 해설>
대표적인 무손실 압축은 ZIP, RAR, BMP
JPEG 는 손실 압축
[해설작성자 : comcbt.com 이용자]

51. 의료가스 중 아기 탯줄 혈액 보관 등 냉동용으로 사용하는 가스는 무엇인가?
     1. 산소
     2. 수소
     3. 탄산
     4. 질소

     정답 : []
     정답률 : 84%

52. 다음 중 종이의무기록의 문제점이 아닌 것은?
     1. 정보 접근의 비효율성
     2. 정보의 대량 유출 우려
     3. 중복기록
     4. 기록자 간의 기록방식의 비일관성

     정답 : []
     정답률 : 84%

53. 지식습득 방법 중 인간두뇌의 신경해부학적 사실을 모사하여 신경세포인 뉴런의 작동방식을 컴퓨터상에 구현한 계산모델을 의미하는 것은?
     1. 규칙기반추론
     2. 신경회로망
     3. 사례기반추론
     4. 데이터마이닝

     정답 : []
     정답률 : 84%

54. 다음 중 원격의료에 대한 설명으로 틀린 것은?
     1. 원격지의 의료종사자와 환자 사이에 정보통신기술을 활용한 의료행위
     2. 원격통신을 이용한 진단 및 치료 행위
     3. 병원 내 PACS 연결로 인한 의료정보의 공유
     4. 화상회의와 원격의료영상전송시스템의 복합 기술

     정답 : []
     정답률 : 81%

55. 의료용 접지방식 중 수술실에서 유기될 수 있는 누설전류 및 정전기 등을 신속히 대지로 방류시키기 위한 설비로 격자망을 도전성 몰탈에 접지하는 방식은?
     1. 바닥도전 접지
     2. 보호접지
     3. 정전기 장해 방지용 접지
     4. 잡음 방지용 접지

     정답 : []
     정답률 : 68%
     <문제 해설>
보호접지: 가장 기본적인 접지 방식으로 macro shock 안전대책이다.
정전기 장해방지용 접지:    정전기 축적을 방지하고 발생된 정전기를 대지로 방류하기 위한 목적이다.
잡음방지용 접지: 외부에서 침입한 잡음원에 의해 전자기기가 오동작 하는 것을 방지하기 위한 목적이다.
[해설작성자 : comcbt.com 이용자]

56. 의료기기 생물학적 안전성 시험 시행의 일반적인 고려사항에 해당되지 않는 것은?
     1. 시험은 완제품 또는 완제품과 같은 방법으로 처리된 원자재에서 나온 대표적인 검체에 대해 시행되어야 한다.
     2. 의료기기 용출물을 제조할 때, 용출용매와 용추조건이 완제품의 특성 및 사용조건에 적합하여야 한다.
     3. 생물학적 시험의 결과가 생물학적 위해가 없음을 보증한다.
     4. 생물학적 평가 이전에 완제품에서 용출될 수 있는 화학물질(extractable chemical)에 대한 정성 및 정량 평가가 이루어져야 한다.

     정답 : []
     정답률 : 60%

57. 전기충격에 대한 보호를 기초절연에만 의존하지 않고, 이중절연 또는 강화절연과 같은 추가적인 안전수단이 갖추어진 보호접지나 설치조건에 의존하지 않는 전기기기를 의미하는 것은?
     1. AP류
     2. APG류
     3. 1급기기
     4. 2급기기

     정답 : []
     정답률 : 70%

58. 의료인의 의사결정을 목적으로 컴퓨터를 이용한 보조시스템은?
     1. 의료용 전문가시스템
     2. 컴퓨터 의료보조시스템
     3. 원격의료시스템
     4. 의료영상시스템

     정답 : []
     정답률 : 64%

59. 의료가스를 공급하는 경우 치료 서비스 조건에 적합하도록 설계해야 하는데 적합한 장소가 아닌 것은?
     1. 환자 휴게실
     2. 분만실
     3. 미숙아실
     4. 마취실

     정답 : []
     정답률 : 87%

60. 다음은 국내 종합병원에서 병원정보시스템의 과거, 현재, 그리고 미래 시스템을 나타낸 것이다. 시간 순으로 바르게 나타낸 것은?
     1. PMS→OCS→EMR→EHR
     2. PMS→OCS→EHR→EMR
     3. OCS→EMR→EHR→PMS
     4. OCS→EHR→EMR→PMS

     정답 : []
     정답률 : 66%

4과목 : 의료기기


61. 컴퓨터 적외선 열 영상 진단기의 특징으로 틀린 것은?
     1. 방사선 방식이 아니므로 방사선 노출이 없다.
     2. 인체에 무해한 적외선을 이용하므로 통증이 없다.
     3. 환자가 감지할 수 없는 통증을 천연색으로 촬영하며 시각화한다.
     4. 종양, 염증, 혈액순환 장애의 인체변화에 따른 온도 분포 측정은 불가능하다.

     정답 : []
     정답률 : 79%

62. 전기수술기를 구성하는 본체 중에서 환자의 상태에 따라 적절히 출력을 제한시키는 회로는 어떤 것인가?
     1. 발진회로
     2. 조정회로
     3. 입력회로
     4. 안전회로

     정답 : []
     정답률 : 60%
     <문제 해설>
환자의 대극판이 단선될 때 환자와 의료진이 모두 부상의 위험이 있다.
이를 방지하기 위해 단선 여부를 감지, 단선될 때 출력되지 않게 작동한다.
[해설작성자 : RJ SHIN]

63. 제세동기의 에너지에 관한 설명으로 틀린 것은?
     1. 심장 전체를 탈분극 시킬 수 있는 최저 유효에너지로 설정된다.
     2. 성인의 기준에서 체격과 밀접한 관계가 있다.
     3. 너무 낮아 전류가 약하면 제세동에 실패하게 된다.
     4. 너무 높으면 심근이 손상되어 심장 기능에 장애가 생길 수 있다.

     정답 : []
     정답률 : 72%
     <문제 해설>
성인의 기준에서, 체격과 요구 에너지는 크게 관계가 없다. 다만 소아(1~8세)의 경우 성인보다 적은 에너지를 사용해야 한다. 사정이 여의치 않을 경우 성인 기준의 에너지를 사용한다. 1세 미만의 영아에게는 제세동을 실시하지 않는다.
[해설작성자 : comcbt.com 이용자]

64. 체열진단기의 특성으로 틀린 것은?
     1. 전극 간 임피던스가 낮아 잡음에 매우 강하다.
     2. 센서가 감응하는 적외선 파장대의 광학필터가 필요하다.
     3. 초퍼회로나 셔터장치가 필요하다.
     4. 주변 환경의 온도 변화로부터 보호하기 위한 온도보상장치와 항온, 항습장치가 필요하다.

     정답 : []
     정답률 : 73%
     <문제 해설>
전극 간 임피던스가 높아 잡음에 취약하며 증폭기의 입력임피던스에 따라 센서의 특성이 달라질 수 있다.
[해설작성자 : comcbt.com 이용자]

65. 관절염이나 특정 질환 또는 외상에 의해 더 이상 기능을 나타내지 못하는 파기된 관절의 일부분을 제거하고 인체 공학적으로 제작된 기계를 삽입하여 관절의 운동 기능을 회복시키면서 통증을 없애주는 수술은?
     1. 인공심장 이식수술
     2. 인공관절 치환술
     3. 인공와우 수술
     4. 인공혈관 수술

     정답 : []
     정답률 : 88%

66. 인공관절의 금속성 소재가 아닌 것은?
     1. 스테인레스 스틸
     2. 코발트크롬 합금
     3. 티타늄
     4. 중합체

     정답 : []
     정답률 : 80%

67. 원자핵이 붕괴할 때 방출되는 양전자가 전자와 결합하여 양전자 소멸 현상에 의해 동시에 발생한 511×103 eV 에너지의 감마선 쌍을 감마선 검출기로 측정함으로써 양전자 방출 핵종의 체내 분포에 대한 공간적 위치정보를 영사으로 표현하는 장치는?
     1. CT
     2. MRI
     3. SPECT
     4. PET

     정답 : []
     정답률 : 79%

68. 시료를 적절한 방법으로 연소시킬 때 발생되는 화염이나 불꽃의 파장을 검사하는 계측기는?
     1. 안압계
     2. 분광광도계
     3. 염광광도계
     4. 각막곡률계

     정답 : []
     정답률 : 80%

69. 임상 시 그림과 같은 전자 체온계를 이용해 체온을 측정한다면 측정 부위로 틀린 것은?

    

     1. 구강
     2. 직장
     3. 귓속의 고막
     4. 겨드랑이

     정답 : []
     정답률 : 75%

70. 피부로부터 측정된 근전도 신호를 증폭하기 위한 증폭기에 대한 설명으로 틀린 것은?
     1. 근육 조직의 생리적 변화에 따른 이온 흐름 변화를 관찰하는 것이므로 전류 증폭기를 사용하여 신호를 증폭한다.
     2. 전극 모두에 공통적으로 유도되는 잡음을 제거하기 위해 공통모드제거비(CMRR)가 큰 증폭기를 사용한다.
     3. 증폭기의 입력 임피던스는 1~10MΩ 이상으로 커야 한다.
     4. 근전도 신호의 주파수는 10~250 Hz 범위에 있어 증폭기의 동작 주파수 범위는 10~500 Hz 정도이다.

     정답 : []
     정답률 : 38%

71. CT-번호가 가장 큰 것은?
     1. 공기
     2. 나일론
     3. 뼈(경골)
     4. 금속성 보철물

     정답 : []
     정답률 : 78%
     <문제 해설>
금속성 보철물(약 3000[HU]) > 뼈경골(1000[HU]) > 나일론(87~97[HU]) > 공기(-1000[HU])
[해설작성자 : comcbt.com 이용자]

72. 체외에서 인체로 방사선을 조사하는 고에너지 치료 장치 중 틀린 것은?
     1. 선형 가속장치(Linac)
     2. 표재 치료장치(Dermopan)
     3. 마이크로트론(Microtron)
     4. 밴더그래프 정전발전기(Van De Graaff electrostatic generator)

     정답 : []
     정답률 : 54%
     <문제 해설>
저에너지X선 치료장치: 표재치료장치, 심부치료장치
고에너지 치료장치: Linac, Microtron, Betatron, Cyclotron, Synchrotron, Synchrocyclotron, Van de Graaff
[해설작성자 : comcbt.com 이용자]

73. 페이스메이커 이식 후 주의사항으로 틀린 것은? (문제 오류로 실제 시험에서는 2,3번이 정답처리 되었습니다. 여기서는 2번을 누르면 정답 처리 됩니다.)
     1. 강한 전기나 자석의 영향을 받을 가능성이 있는 기기를 주의해야 한다.
     2. 휴대폰은 페이스메이커 이식과 무관하게 사용이 가능하다.
     3. MRI는 페이스메이커를 영구적으로 손상시키므로 MRI 촬영을 할 수 없다.
     4. 자석요(매트), 고주파/초음파 온열치료기 등은 사용하지 말아야 한다.

     정답 : []
     정답률 : 86%
     <문제 해설>
휴대폰은 사용 가능하지만 페이스메이커와 일정 거리(15cm) 이상 유지한 상태로 사용하는 것이 좋다.
[해설작성자 : comcbt.com 이용자]

74. 환자감시장치에서 혈중산소포화농도(SpO2)에 대한 설명으로 틀린 것은?
     1. 적외선 빛과 빨간색 빛의 총합비교를 측정하여 값을 산출한다.
     2. 방출된 빛은 손가락 내의 혈관을 통해 수광부를 통해 검출된다.
     3. 수광부에서는 LED 발광을 통해 자외선과 빨간색 빛을 동시에 내보낸다.
     4. 산소와 결합한 헤모글로빈은 적외선을, 그렇지 않은 헤모글로빈은 빨간색 빛을 더 흡수하는 성질을 갖고 있다.

     정답 : []
     정답률 : 75%
     <문제 해설>
LED를 이용해 적외선과 붉은색 빛을 방출하는 발광부, 혈관을 통과한 방출된 빛을 검출하는 수광부로 구성되어 있다.
[해설작성자 : 술풀레옹]

75. 30μF 콘덴서를 이용한 직류 제세동기에서 135 W/s 의 에너지를 설정할 경우, 이 때 제세동기의 충전전압은 몇 V 인가?
     1. 2000
     2. 3000
     3. 4000
     4. 5000

     정답 : []
     정답률 : 54%
     <문제 해설>
W=0.5×Q×V^2
135=0.5×30u×V^2
V^2=9×10^6
V=3×10^3
[해설작성자 : 몽]

76. 환자의 체온측정에 이용되는 열전대의 기본 원리를 나타내는 것은?
     1. 제백 효과
     2. 펠티어 효과
     3. 열적외선 효과
     4. 압전 효과

     정답 : []
     정답률 : 60%

77. 알콜, 에틸린그리콜 등에 활성분자 색소를 균일하게 녹인 매질을 활용한 레이저의 명칭은?
     1. 기체레이저
     2. 고체레이저
     3. 액체레이저
     4. 반도체레이저

     정답 : []
     정답률 : 84%
     <문제 해설>
기체레이저: 기체의 활성원자 또는 그것을 포함한 혼합기체를 레이저 매질로써 활용하는 것으로 주로 전기 방전 또는 전자빔에 의하여 여기된다.
고체레이저: 특수한 결정이나 글라스 등의 고체를 모재로 하여, 그 속에 활성원자를 균일하게 분포시킨 것으로 주로 빛에 의하여 여기된다.
반도체레이저: 갈륨비소, 인듐갈륨비소인 등과 같은 반도체로 p형 및 n형을 구성하고, 전자와 홀의 재결합을 촉진시켜 유도방출을 만들어 낸다.
[해설작성자 : comcbt.com 이용자]

78. 수소원자핵이 높은 에너지 준위로 천이된 뒤 시간이 지나면서 다시 원래의 상태로 돌아가는 현상은?
     1. T 1 이완
     2. 여기
     3. 평형
     4. 공명

     정답 : []
     정답률 : 73%

79. 양전자방출단층촬영장치(PET)의 구성요서 중 소멸방사선의 위치정보 수집을 위한 장치는?
     1. 동시계수회로
     2. 광전자증배관
     3. 섬광체
     4. 조준기

     정답 : []
     정답률 : 67%
     <문제 해설>
광전자증배관
주로 가시광선을 검출하는 진공관으로 2차전자의 방출을 이용하여 미소한 광전자의 전자류를 증폭하는데에 쓰인다. 트랜지스터나 진공관을 이용할 때보다 훨씬 잡음이 적으므로 미약한 빛을 검출할 때 쓰인다.

섬광체
방사선입자에 의해 여기된 형광체를 말한다

조준기
광선이나 중성자선을 평행하게 하여 집속(集束)시키는 것.
[해설작성자 : 로그인]

80. 체외충격파 쇄석술(extracorporeal shock wave lihotripsy)의 충격파를 발생시키는 방법에 대한 설명으로 틀린 것은?
     1. 미소발파 방식 : 미량의 화학물질을 폭파시켜 발생되는 충격파를 이용하는 방식
     2. 수중방전 방식 : 수중에 놓인 전극간 방전을 통해 발생하는 충격파를 이용하는 방식
     3. 레이저 방식 : 금속막을 전자석으로 진동시켜 발생되는 압력파를 집속시켜 충격파를 만드는 방식
     4. 압전소자 방식 : 세라믹 소자에 고주파를 인가하여 발생하는 초음파(압력파)를 이용하는 방식

     정답 : []
     정답률 : 82%
     <문제 해설>
체외충격파쇄석기는 에너지원에서 발생한 압력파를 초점에 집속하여 충격파로 만든 점 에너지 방식을 이용한다.
점 에너지원으로는 수중방전, 미소발파, 전자진동, 압전소자 방식이 있다.

전자진동 : 금속막을 전자석으로 진동시켜 발생되는 압력파를 집속시켜 충격파를 만드는 방식
[해설작성자 : RJ SHIN]

81. 키틴(chitin)에 대한 설명으로 틀린 것은?
     1. 물이나 열에 녹지 않는 다당질이다.
     2. 인체에서 잘 분해된다.
     3. 세균의 세포막 구성 성분 중 하나이다.
     4. 수소결합에 의한 강한 결정 구조이다.

     정답 : []
     정답률 : 69%

82. 혈관에서 발생하는 현상에 대한 설명으로 틀린 것은?
     1. 인체의 평균혈류속도는 대동맥에서 25cm/s, 모세혈관에서 0.05cm/s 정도이다.
     2. 혈관에서의 평균압력이 높은 순서는 동맥, 정맥, 모세혈관 순이다.
     3. 혈관벽 응력은 혈관 두께에 반비례하고, 내압과 직경에 비례한다.
     4. 정맥은 동맥에 비해 직경은 크나 탄성이 적다.

     정답 : []
     정답률 : 63%
     <문제 해설>
혈류 속도&혈관벽 두께:동맥>정맥>모세혈관
혈압:동맥>모세혈관>정맥
총 단면적:모세혈관>정맥>동맥

아래와 같은 오류 신고가 있었습니다.
여러분들의 많은 의견 부탁 드립니다.
추후 여러분들의 의견을 반영하여 정답을 수정하도록 하겠습니다.
참고로 정답 변경은 오류 신고 5회 이상일 경우 수정합니다.

[오류 신고 내용]
보기 1번
대동맥에서의 평균혈류속도는 50cm/s이고 대정맥에서의 평균혈류속도가 25cm/s입니다. 따라서 1번 또한 정답으로 인정되어야 할 것 같습니다.
[해설작성자 : 기사준비생]

83. 관절의 일률(power)을 구하는 식은?
     1. 힘 × 거리(모멘트암) × 관절 각속도
     2. 힘 × 관절각도 × 관절 각가속도
     3. 힘 × 거리(모멘트암) × 관절 각가속도
     4. 관절두께 × 거리(모멘트암) × 관절 각속도

     정답 : []
     정답률 : 66%

84. 생체조직 중에서의 점도가 제일 큰 것은?
     1.
     2.
     3. 혈액
     4. 연조직

     정답 : []
     정답률 : 74%

85. 흥분자극에 의해 신경세포, 근육세포, 감각세포, 분비세포들의 세포막에서 발생하는 활동전위(active potential)에 대한 설명으로 틀린 것은?
     1. 역치 이상의 자극에서만 활동전위가 발생된다.
     2. 활동전위가 인접부위의 세포로 전달됨으로써 생체자극이 전달이 이루어진다.
     3. 흥분자극을 받으면 세포막의 Na+ 투과성이 높아져서 다량의 Na+ 이 유입됨에 따라 활동전위가 생성된다.
     4. 활동전위가 되면 세포내 전위가 양의 전위에서 음의 전위로 전환된다.

     정답 : []
     정답률 : 66%

86. 깁스의 상률(Gibbs' phase rule)에 대한 식을 옳게 표현한 것은? (단, f : 자유도, c : 조성의 수, p : 상의 수이다.)
     1. f = c + p + 1
     2. f = c – p - 1
     3. f = c – p + 2
     4. f = c + p – 2

     정답 : []
     정답률 : 58%

87. 혈압이 일정할 때 혈관의 직경이 2배가 되면 혈류량은?
     1. 변함이 없다.
     2. 2배가 된다.
     3. 4배가 된다.
     4. 16배가 된다.

     정답 : []
     정답률 : 73%
     <문제 해설>
혈류량은 반지름의 네제곱에 비례한다.
[해설작성자 : comcbt.com 이용자]

88. 표면에 쉽게 산화피막이 형성되어 내부식성을 향상 시키는 생체용 금속재료는?
     1. 니켈(Ni)
     2. 티타늄(Ti)
     3. 철(Fe)
     4. 구리(Cu)

     정답 : []
     정답률 : 58%

89. 원자핵에 있는 중성자 수는?
     1. 27
     2. 33
     3. 60
     4. 87

     정답 : []
     정답률 : 77%
     <문제 해설>
중성자수 = 질량수 - 원자번호 = 60-27 = 33
[해설작성자 : comcbt.com 이용자]

90. 의료현장에서 빛을 사용하는 방법으로 옳게 나열한 것은?

    

     1. ㉠, ㉡
     2. ㉡, ㉢
     3. ㉠, ㉢, ㉣
     4. ㉡, ㉢, ㉣

     정답 : []
     정답률 : 72%

91. 경골은 하지의 주요한 체중 부하골이다. 만약 70 kg의 사람이 해부학적 자세로 서 있을 때 체중의 25%가 한쪽 슬관절 근위부에 있다면, 양쪽 경골에 작용하는 총 압축력은 약 몇 N 인가?
     1. 350
     2. 450
     3. 700
     4. 1050

     정답 : []
     정답률 : 53%
     <문제 해설>
(0.25*2)70kg*9.8=343N

평균가속도:9.8(m/s)
양쪽경골:2
몸무게: 70kg
체중:25%
[해설작성자 : 로그인]

92. 인공뼈로 가장 많이 사용되는 골유착성 세라믹제는?
     1. 알루미나(Al2O2)
     2. 지르코니아(ZrO2)
     3. 탄소 세라믹(carbon ceramics)
     4. 수산화인회석(hydroxyapatite)

     정답 : []
     정답률 : 74%

93. 열 전도에 대한 설명으로 틀린 것은?
     1. 두 물체의 온도차이가 클수록 열전달이 증가한다.
     2. 두 물체사이의 표면적이 증가할수록 열전달이 증가한다.
     3. 거리에 비례하여 열전달이 증가한다.
     4. 열전도계수에 비례하여 열전달이 증가한다.

     정답 : []
     정답률 : 79%
     <문제 해설>
`열 전도의 기본 법칙` 또는 `푸리에 열 전도 법칙`
    - 단위 시간(t) 당 전도되는 열량(Q)은,
    - `온도차(ΔT)` 및 접촉된 `단면적(A)`에 비례하고,
    - 떨어져있는 `거리(x)`에 반비례 함
[해설작성자 : comcbt.com 이용자]

94. 염증반응의 순서로 옳은 것은?
     1. 세포침투 → 피복형성 → 재형성 → 소멸
     2. 재형성 → 피복형성 → 세포침투 → 소멸
     3. 세포침투 → 재형성 → 피복형성 → 소멸
     4. 세포침투 → 재형성 → 통합 → 소멸

     정답 : []
     정답률 : 63%
     <문제 해설>
염증반응 순서: 세포침투->재형성->피복형성->소멸
[해설작성자 : _world]

95. 관절을 형성하는 두 분절 사이의 각도가 감소할 때 발생하는 운동은?
     1. 내전(adduction)
     2. 외전(abduction)
     3. 신전(extension)
     4. 굴곡(flexion)

     정답 : []
     정답률 : 58%

96. 의료용 기계요소 중 동력전달요소가 아닌 것은?
     1. 체인
     2. 스프로킷 휠
     3. 미끄럼 베어링
     4. 벨트전동

     정답 : []
     정답률 : 68%
     <문제 해설>
미끄럼 베어링: 축(저널)과 베어링 사이에 윤활유 유막이 형성되어 미끄럼에 의한 상대운동을 지지하는 것이다.
출처: Value Factory:티스토리
[해설작성자 : comcbt.com 이용자]

97. 인장 시험을 위한 응력-변형률 그래프에서 각 항목에 해당하는 명칭으로 옳은 것은?

    

     1. a : 항복점(yield point)
     2. c : 파괴점(rupture point)
     3. d : 극한점(ultimate point)
     4. e : 탄성한계(elastic limit)

     정답 : []
     정답률 : 70%

98. 의료용으로 사용되는 고분자 생체재료는 열, 화학약품 또는 기계적인 요소에 의하여 퇴화된다. 다음 중 건식 열소독이 가능한 고분자 생체재료는?
     1. 테프론(PTFE)
     2. 폴라아미드(Polyamide)
     3. 폴리에틸렌(Polyethylene)
     4. 폴리메틸메타크릴레이트(Polymethl methacrylate)

     정답 : []
     정답률 : 64%

99. 탈분극 이후 세포막 양단의 전위가 다시 안정막 전위로 회복 되는 현상은 무엇인가?
     1. 불응기
     2. 과분극
     3. 안정기
     4. 재분극

     정답 : []
     정답률 : 76%

100. 생체재료의 내부의 결정 구조를 분석할 수 있는 방법은?
     1. X-선 에너지 분산 분석법
     2. X-선 회절 분석법
     3. X-선 단층 촬영법
     4. 주사 전자현미경

     정답 : []
     정답률 : 65%


정 답 지

1

2

3

4

5

6

7

8

9

10

11

12

13

14

15

16

17

18

19

20

21

22

23

24

25

26

27

28

29

30

31

32

33

34

35

36

37

38

39

40

41

42

43

44

45

46

47

48

49

50

51

52

53

54

55

56

57

58

59

60

61

62

63

64

65

66

67

68

69

70

71

72

73

74

75

76

77

78

79

80

81

82

83

84

85

86

87

88

89

90

91

92

93

94

95

96

97

98

99

100

의공기사 필기 기출문제(해설) 및 CBT 2016년03월06일을 이용해 주셔서 감사합니다.
, 필기, 기출문제, 전자문제집, CBT, 온라인, 모의테스트, 모의고사



List of Articles
번호 제목 글쓴이 날짜 조회 수
10862 지적기능사 필기 기출문제(해설) 및 CBT 2002년01월27일(1회)(3718) 좋은아빠되기 2025.11.25 1
10861 식품가공기능사 필기 기출문제(해설) 및 CBT 2010년03월28일(2회)(3717) 좋은아빠되기 2025.11.25 0
10860 식품가공기능사 필기 기출문제(해설) 및 CBT 2006년04월02일(2회)(3716) 좋은아빠되기 2025.11.25 1
10859 의공기사 필기 기출문제(해설) 및 CBT 2018년09월15일(3715) 좋은아빠되기 2025.11.25 0
10858 의공기사 필기 기출문제(해설) 및 CBT 2018년03월04일(3714) 좋은아빠되기 2025.11.25 1
10857 의공기사 필기 기출문제(해설) 및 CBT 2016년10월01일(3713) 좋은아빠되기 2025.11.25 0
» 의공기사 필기 기출문제(해설) 및 CBT 2016년03월06일(3712) 좋은아빠되기 2025.11.25 1
10855 의공기사 필기 기출문제(해설) 및 CBT 2015년09월19일(3711) 좋은아빠되기 2025.11.25 0
10854 의공기사 필기 기출문제(해설) 및 CBT 2015년03월08일(3710) 좋은아빠되기 2025.11.25 1
10853 의공기사 필기 기출문제(해설) 및 CBT 2013년09월28일(3709) 좋은아빠되기 2025.11.25 0
10852 의공기사 필기 기출문제(해설) 및 CBT 2012년09월15일(3708) 좋은아빠되기 2025.11.25 1
10851 의공기사 필기 기출문제(해설) 및 CBT 2011년10월02일(3707) 좋은아빠되기 2025.11.25 0
10850 의공기사 필기 기출문제(해설) 및 CBT 2009년08월30일(3706) 좋은아빠되기 2025.11.25 1
10849 의공기사 필기 기출문제(해설) 및 CBT 2008년09월07일(3705) 좋은아빠되기 2025.11.25 0
10848 방사선비파괴검사기사(구) 필기 기출문제(해설) 및 CBT 2013년09월28일(3704) 좋은아빠되기 2025.11.25 1
10847 방사선비파괴검사기사(구) 필기 기출문제(해설) 및 CBT 2013년03월10일(3703) 좋은아빠되기 2025.11.25 0
10846 방사선비파괴검사기사(구) 필기 기출문제(해설) 및 CBT 2012년09월15일(3702) 좋은아빠되기 2025.11.25 1
10845 방사선비파괴검사기사(구) 필기 기출문제(해설) 및 CBT 2011년10월02일(3701) 좋은아빠되기 2025.11.25 0
10844 방사선비파괴검사기사(구) 필기 기출문제(해설) 및 CBT 2010년09월05일(3700) 좋은아빠되기 2025.11.25 1
10843 방사선비파괴검사기사(구) 필기 기출문제(해설) 및 CBT 2010년03월07일(3699) 좋은아빠되기 2025.11.25 0
Board Pagination Prev 1 ... 303 304 305 306 307 308 309 310 311 312 ... 851 Next
/ 851