자격증 필기 기출문제



농기계운전기능사 필기 기출문제(해설) 및 CBT 2011년07월31일(4회)(3915)

최강 자격증 기출문제 전자문제집 CBT : www.comcbt.com


전자문제집 CBT란?

종이 문제집이 아닌 인터넷으로 문제를 풀고 자동으로 채점하며 모의고사, 오답 노트, 해설까지 제공하는
무료 기출문제 학습 프로그램으로 실제 상설검정에서 사용하는 OMR 형식의 CBT를 제공합니다.


최신 농기계운전기능사 필기 기출문제 : [다운로드]

1과목 : 농기계운전


1. 베이퍼 록(Vapor Lock) 현상은 어느 부분에서 생기는가?
     1. 냉각 계통
     2. 전기 계통
     3. 윤활 계통
     4. 연료 계통

     정답 : []
     정답률 : 60%

2. 순환식 건조기에서 벼를 건조할 때 건조 온도는 몇 °C를 넘지 않아야 하는가?
     1. 40°C
     2. 45°C
     3. 53°C
     4. 63°C

     정답 : []
     정답률 : 56%

3. 다음과 같은 특징을 갖고 있는 트랙터용 작업기의 연결 방법은?

   

     1. 견인식
     2. 반장착식
     3. 유압제어식
     4. 3점 링크식

     정답 : []
     정답률 : 67%

4. 우리나라에서 휴대용 예취기에 가장 많이 사용되는 엔진은?
     1. 공랭식 가솔린 기관
     2. 수냉식 가솔린 기관
     3. 공랭식 디젤 기관
     4. 수냉식 디젤 기관

     정답 : []
     정답률 : 81%

5. 콤바인에 HST(hydro static transmission)장치를 많이 사용 하는 이유는?
     1. 동력 손실을 감소시킬 수 있기 때문에
     2. 연료 소비량이 감소하기 때문에
     3. 작업 중 변속이 편리하기 때문에
     4. 예취부 위치 변동이 용이 하기 때문에

     정답 : []
     정답률 : 69%

6. 디젤기관에서 시동이 안 되는 원인이 아닌 것은?
     1. 연료 계통에 공기가 유입
     2. 플런저 마모로 분사압력 저하
     3. 점화코일 파손
     4. 분사노즐의 니들밸브가 고착

     정답 : []
     정답률 : 59%

7. 다음 중 이앙기에서 독립 브레이크를 사용하여야 할 때는?
     1. 도로 주행 중
     2. 모판을 실었을 때
     3. 작업 중 선회할 때
     4. 위급 상황이 발생했을 때

     정답 : []
     정답률 : 76%

8. 분무기 노즐 중 분무각도와 거리를 조절 할 수 있는 것은?
     1. 스피드 노즐형
     2. 환상형
     3. 직선형
     4. 철포형

     정답 : []
     정답률 : 80%

9. 콤바인으로 벼를 탈곡 작업할 때 급실 내의 검불이송을 조절하는 것은?
     1. 배진량 조절 레버
     2. 풍량선택 레버
     3. 시브선택 레버
     4. 공급 깊이 조절 레버

     정답 : []
     정답률 : 54%

10. 조파기와 점파기의 3가지 주요부가 아닌 것은?
     1. 종자배출 장치
     2. 구절장치
     3. 교반 장치
     4. 복토장치

     정답 : []
     정답률 : 65%

11. 동력경운기의 주 클러치 조합을 점검하여 교환하는 부품은?
     1. 면판
     2. 가압판
     3. 고정 너트
     4. 조정 너트

     정답 : []
     정답률 : 51%

12. 엔실리지의 원료가 되는 사료 작물을 예취하여 절단하고, 컨베이어를 이용하여 운반차에 실을 수 있는 작업기는?
     1. 헤이 베일러
     2. 프리지 하베스터
     3. 엔실리지 컨디셔너
     4. 하베스터 컨디셔너

     정답 : []
     정답률 : 52%

13. 보행형 다목적관리기에서 경운 변속의 방법으로 알맞은 것은?
     1. 주행 속도의 변환
     2. PTO 변속 레버의 변환
     3. PTO 스프로킷 기어의 교환
     4. 체인 케이스의 조립 위치 변경

     정답 : []
     정답률 : 41%

14. 경운기용 쟁기 중 이체의 밑 부분으로서 토양을 반전할 때 나타나는 측압에 견디고 쟁기의 안정을 유지하는 기능을 담당하는 것은?
     1. 히치
     2. 바닥쇠
     3. 보습
     4.

     정답 : []
     정답률 : 61%

15. 다음 중 트랙터의 일상 점검 기준에 해당하는 것은?
     1. 오일 필터의 교환
     2. 배터리 비중의 점검
     3. 엔진 오일량의 점검
     4. 밸브 간극의 조정

     정답 : []
     정답률 : 80%

16. 동력살분기의 살포작업 방법에 해당되지 않는 것은?
     1. 전후진법
     2. 전진법
     3. 횡보법
     4. 후진법

     정답 : []
     정답률 : 73%

17. 압력이 142psi(lb/in2)는 몇 kg/cm2 인가?
     1. 1
     2. 5
     3. 8
     4. 10

     정답 : []
     정답률 : 62%

18. 다음중 병충해 방제 작업에서 액체와 분제를 모두 살포 할수 있는 것은?
     1. 연무기
     2. 동력 분무기
     3. 동력 살립기
     4. 동력 살분무기

     정답 : []
     정답률 : 83%

19. 2행정 가솔린 기관을 사용하는 동력예초기에서 연료와 엔진오일의 혼합비로 가장 적당한 것은?
     1. 5 : 1
     2. 15 : 1
     3. 25 : 1
     4. 35 : 1

     정답 : []
     정답률 : 70%

20. 트랙터 로터리 부착 및 작업 시 조절 요령으로 틀린 것은?
     1. 로터리 축을 회전시키면서 로터리가 상승될 때 이상음이 발생하면 상부링크 길이를 조절한다.
     2. 유니버셜 조인트와 PTO축이 이루는 각도는 90°C 이하가 되도록 위치제어레버의 작동범위를 조절한다.
     3. 로터리의 경심조절은 미륜의 연결핀을 바꿔 끼워 조절한다.
     4. 정지판은 조절판의 위치를 바꿔 끼워 조절한다.

     정답 : []
     정답률 : 60%

21. 다음 중 말린 목초나 볏짚을 일정한 용적으로 압축하여 묶는 기계는?
     1. 헤이 테더
     2. 헤이 베일러
     3. 헤이 레이크
     4. 헤이 컨디셔너

     정답 : []
     정답률 : 82%

22. 동력경운기 운전 시 안전사항 중 틀린 것은?
     1. 비탈길(경사지)에서는 조향클러치를 사용하지 않는다.
     2. 고속운전 중이거나 직진 경운 중에 조향클러치를 사용하면 위험하다.
     3. 로터리 작업 중 후진할 때는 경운변속 레버를 중립의 위치에 놓고 후진한다.
     4. 주행속도를 빠르게 하기 위하여 규정보다 큰 폴리로 바꾸어 장착 운행한다.

     정답 : []
     정답률 : 81%

23. 트랙터용 플라우의 구조와 기능에 대한 설명으로 틀린 것은?
     1. 플라우 장착의 3점은 보습끝, 보습날개, 모울드보드 끝을 말한다.
     2. 원판형 콜터는 토양을 수직으로 절단한다.
     3. 지측판은 플라우의 진행방향을 유지하여 준다.
     4. 수평 및 수직 흡인은 경심, 경폭 및 진행 방향을 일정하게 유지하는 작용을 한다.

     정답 : []
     정답률 : 44%

24. 기계의 구입 가격이 600만원, 폐기 가격이 60만원 내구 연한이 10년이면 직선법에 의한 이 기계의 감가상각비는 얼마인가?
     1. 54,000 (원/년)
     2. 540,000 (원/년)
     3. 660,000 (원/년)
     4. 3,600,000 (원/년)

     정답 : []
     정답률 : 83%

25. 내연 기관의 총 배기량을 구하는 식은?
     1. 압축비 × 실린더 수
     2. 실린더의 단면적 × 행정 × 실린더 수
     3. 실린더의 지금 × 행정 × 압축비
     4. 실린더의 단면적 × 압축비 × 실린더 수

     정답 : []
     정답률 : 78%

26. 내연기관의 공기와 연료의 혼합비가 완전연소 할 때 배기가스의 색깔은?
     1. 검은색
     2. 무색
     3. 청색
     4. 엷은 황색

     정답 : []
     정답률 : 88%

27. 가솔린을 연료로 사용하는 단기통 농업기계를 장기간 사용하지 않을 때 보관 방법은?
     1. 기화기 내의 연료가 소모되어 기관이 정지하고 난 뒤 피스톤의 위치가 압축 상사점에 오게 한다.
     2. 연료통에 연료를 가득 채워준다.
     3. 피스톤의 위치를 밸브 오버랩 상태로 오게 한다.
     4. 기관을 거꾸로 세워 이물질이 들어가지 않게 한다.

     정답 : []
     정답률 : 65%

28. 다음 중 스프링쿨러는 어느 작업을 하는 농업기계 인가?
     1. 경기 작업
     2. 탈곡 작업
     3. 방제 작업
     4. 관수 작업

     정답 : []
     정답률 : 86%

29. 다음 중 이앙기의 바퀴가 지나간 자국을 없애주고 흙의 표면을 평탄하게 해주는 것은?
     1. 플로트
     2. 모 멈추게
     3. 유압 레버
     4. 가늠자 조작 레버

     정답 : []
     정답률 : 87%

30. 다목적 관리기의 농작업에서 후진하면서 작업해야 하는 것은?
     1. 예초기 작업
     2. 절단 파쇄기 작업
     3. 휴립 피복기 작업
     4. 중경 제초기 작업

     정답 : []
     정답률 : 77%

2과목 : 농기계전기


31. 후미등 및 브레이크등에 관한 설명으로 틀린 것은?
     1. 후미등은 라이트 스위치에 의해 점멸된다.
     2. 브레이크등은 브레이크 스위치에 의해 점멸된다.
     3. 브레이크등은 주·야간 모두 점등되며, 후미등의 3배 이상의 광도를 가지고 있다.
     4. 브레이크등과 후미등은 각각 직렬로 접속되어 있다.

     정답 : []
     정답률 : 70%

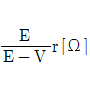
32. 2[Ω]의 저항 10개, 5[Ω]의 저항 3개가 있다. 이들 모두를 직렬로 접속할 때의 합성저항은 몇 [Ω] 인가?
     1. 7
     2. 15
     3. 20
     4. 35

     정답 : []
     정답률 : 74%

33. 납축전지에서 충전이 완료되었을 때 양극판과 음극판에서 발생되는 가스는?
     1. 양극판 : 수소, 음극판 : 산소
     2. 양극판 : 산소, 음극판 : 수소
     3. 양극판 : 황산, 음극판 : 황산
     4. 양극판 : 수소, 음극판 : 황산

     정답 : []
     정답률 : 60%

34. 4 행정 기관에서 동력을 발생하는 행정은?
     1. 흡기행정
     2. 압축행정
     3. 팽창행정
     4. 배기행정

     정답 : []
     정답률 : 72%

35. 고유저항이 작은 물질부터 순서대로 배열된 것은?
     1. 은, 동, 알루미늄, 니켈
     2. 은, 동, 니켈, 알루미늄
     3. 동, 은, 니켈, 알루미늄
     4. 동, 은, 알루미늄, 니켈

     정답 : []
     정답률 : 71%

36. 100[Ah] 용량의 축전지를 10[A]로 계속 사용하면 몇 시간 사용할 수 있는가?
     1. 8
     2. 10
     3. 25
     4. 40

     정답 : []
     정답률 : 87%

37. 다음 중 전기 측정용 계기의 설명 중 잘못된 것은?
     1. 계기는 직류용, 교류용, 직류·교류 겸용으로 구분된다.
     2. 아날로그, 디지털 형으로 구분된다.
     3. 계기의 정밀도에는 급수가 있다.
     4. 고전압은 분류기를 이용하여 측정한다.

     정답 : []
     정답률 : 52%

38. 납축전지의 용량에 대한 설명으로 옳은 것은?
     1. 음극판 단면적에 비례하고 양극판 크기에 반비례한다.
     2. 양극판의 크기에 비례하고 음극판의 단면적에 반비례한다.
     3. 극판의 표면적에 비례한다.
     4. 극판의 표면적에 반비례한다.

     정답 : []
     정답률 : 61%

39. 기동전동기의 전기자 코일과 계자코일은 어떻게 연결되어 있는가? (단, 직권이다.)
     1. 직·병렬
     2. 병렬
     3. 직렬
     4. 각각의 단자에

     정답 : []
     정답률 : 70%

40. 코일의 반회전마다 전류의 방향을 바꾸는 장치는?
     1. 브러시
     2. 계자
     3. 정류자
     4. 전기자

     정답 : []
     정답률 : 70%

41. 다음 중 엔진 시동 시 기동전동기의 허용 연속사용시간이 가장 적합한 것은?
     1. 2~3분
     2. 1~2분
     3. 40~50초
     4. 10~15초

     정답 : []
     정답률 : 72%

42. 다음 중 예열 플러그가 단선되기 쉬운 원인으로 가장 적합한 것은?
     1. 예열시간이 너무 길다.
     2. 배터리의 전압이 너무 낮다.
     3. 스위치가 불량하여 접촉이 잘 안 된다.
     4. 배기가스의 온도가 너무 높다.

     정답 : []
     정답률 : 63%

43. 다음 중 납축전지의 특징이 아닌 것은?
     1. Ah당 단가가 낮다.
     2. 충·방전 전압차이가 크다.
     3. 공칭 전압은 셀 당 약 2V이다.
     4. 전해액의 비중으로 충·방전의 상태를 알 수 있다.

     정답 : []
     정답률 : 50%

44. 다음 중 전조등 전기회로의 주요 구성이 아닌 것은?
     1. 퓨즈
     2. 전조등 스위치
     3. 디머 스위치
     4. 방향지시등 스위치

     정답 : []
     정답률 : 61%

45. 전자유도 현상에 의해서 코일에 생기는 유도 기전력의 방향을 나타내는 법칙은?
     1. 렌츠의 법칙
     2. 키르히호프의 법칙
     3. 쿨롱의 법칙
     4. 뉴턴의 법칙

     정답 : []
     정답률 : 57%

46. 동력 경운기의 사고 발생 빈도가 가장 높은 원인은?
     1. 안전지식 부족
     2. 운전 미숙
     3. 기계불량
     4. 무리한 운행

     정답 : []
     정답률 : 73%

47. 유류 화재시의 조치사항으로 맞지 않는 것은?
     1. 분말소화기를 사용한다.
     2. 모래를 뿌린다.
     3. 가마니를 덮는다.
     4. 물을 부어 끈다.

     정답 : []
     정답률 : 87%

48. 다음 중 동력살분무기의 안전작업으로 적절하지 못한 것은?
     1. 방독마스크를 착용하고 작업할 것
     2. 시동로프로 시동 시 뒤에 사람이 없어야 할 것
     3. 농약 살포시 항상 바람을 안고 작업할 것
     4. 농약 살포시 음주를 피할 것

     정답 : []
     정답률 : 89%

49. 연삭숫돌 작업 중 숫돌이 파손되는 원인이 아닌 것은?
     1. 숫돌과 공작물 재질이 맞지 않을 때
     2. 숫돌 커버가 없을 때
     3. 숫돌 측면에 대고 작업할 때
     4. 숫돌 회전수가 규정이상 일 때

     정답 : []
     정답률 : 66%

50. 다음 중 공구사용으로 발생되는 재해를 막기 위한 방법이 아닌 것은?
     1. 결함이 없는 공구 사용
     2. 작업에 적당한 공구를 선택 사용
     3. 공구의 올바른 취급과 사용
     4. 공구는 임의의 것을 사용

     정답 : []
     정답률 : 93%

51. 감전사고로 의식불명의 환자에게 알맞은 응급조치는 어느 것인가?
     1. 전원을 차단하고, 인공호흡을 시킨다.
     2. 전원을 차단하고, 찬물을 준다.
     3. 전원을 차단하고, 온수를 준다.
     4. 전기충격을 가한다.

     정답 : []
     정답률 : 87%

52. 안전사고가 발생하는 요인으로서 다음과 같은 것을 들 수있다. 이 중 심리적 요인으로 생각되는 것은?
     1. 신경계통의 이상
     2. 감정
     3. 극도의 피로감
     4. 육체적 능력의 효과

     정답 : []
     정답률 : 76%

53. 산업재해가 발생되는 직접원인은 불안전 상태와 불안전 행동으로 크게 나눈다. 다음 중에서 불안전한 행동에 해당되지 않는 것은?
     1. 위험장소 접근
     2. 보호구의 잘못 사용
     3. 안전보호장치의 결함
     4. 기계기구의 잘못 사용

     정답 : []
     정답률 : 68%

54. 다음 수공구 작업 중 옳은 것은?
     1. 조절렌치(몽키)는 밀면서 작업한다.
     2. 숫돌과 받침대간격은 3㎜이하로 작업한다.
     3. 숫돌작업은 가능한 정면에서 작업한다.
     4. 스패너의 힘이 약할 때에는 두 개로 연결해서 사용한다.

     정답 : []
     정답률 : 49%

55. 트랙터의 취급방법으로 바르게 설명된 것은?
     1. 엔진이 시동된 상태로 연료를 보급하였다.
     2. 경사진 길을 내려올 때 기어를 중립상태로 하고 주행 하였다.
     3. 도로 주행 시 좌우 브레이크 페달을 연결하고 주행하였다.
     4. 운행도중 잠시 쉬고자 하여 시동을 끄고 시동키를 꽂아둔 채로 휴식하였다.

     정답 : []
     정답률 : 80%

56. 참모식 안전관리 조직의 설명으로 올바르지 못한 것은?
     1. 300명 정도의 기업 규모에서 적용된다.
     2. 안전관리자 스스로 생산라인에서 안전 업무를 추진한다.
     3. 안전에 관한 지식과 기술개발, 축적이 가능하다.
     4. 안전과 생산을 별개로 취급하기 쉽다.

     정답 : []
     정답률 : 52%

57. 농업기계의 보관, 관리 방법 중 올바르지 못한 것은?
     1. 각종 레버, V벨트는 풀림 상태로 한다.
     2. 사용 후 물로 세척하고 건조 시킨 후 기름칠을 한다.
     3. 콤바인의 모든 클러치는 연결위치로 해 놓는다.
     4. 통풍이 잘되고 습기가 없는 곳에 보관한다.

     정답 : []
     정답률 : 79%

58. 산소 용접기를 취급할 때 주의사항에 위배되는 것은?
     1. 산소 사용 후 용기가 비어있을 때는 반드시 밸브를 잠궈둘 것
     2. 항상 기름을 칠하여 밸브조작이 잘 되도록 할 것
     3. 밸브의 개폐는 천천히 할 것
     4. 용기는 항상 40℃ 이하로 유지할 것

     정답 : []
     정답률 : 67%

59. 공장 내 안전표지를 부착하는 이유는?
     1. 능률적인 작업을 유도하기 위하여
     2. 인간 심리의 활성화 촉진
     3. 인간 행동의 변화 통제
     4. 공장 내 환경정비 목적

     정답 : []
     정답률 : 60%

60. 안전관리의 기본이념은 인명존중에 있으며, 안전관리목적을 실현시키는 것이다. 이에 해당되지 않는 것은?
     1. 사회복지의 증진
     2. 인적 재산손실 예방
     3. 작업환경 개선
     4. 경제성의 향상

     정답 : []
     정답률 : 46%


정 답 지

1

2

3

4

5

6

7

8

9

10

11

12

13

14

15

16

17

18

19

20

21

22

23

24

25

26

27

28

29

30

31

32

33

34

35

36

37

38

39

40

41

42

43

44

45

46

47

48

49

50

51

52

53

54

55

56

57

58

59

60

농기계운전기능사 필기 기출문제(해설) 및 CBT 2011년07월31일(4회)을 이용해 주셔서 감사합니다.
, 필기, 기출문제, 전자문제집, CBT, 온라인, 모의테스트, 모의고사



List of Articles
번호 제목 글쓴이 날짜 조회 수
11066 사출(프레스)금형산업기사 필기 기출문제(해설) 및 CBT 2003년05월25일(3925) new 좋은아빠되기 2025.11.25 0
11065 사출(프레스)금형산업기사 필기 기출문제(해설) 및 CBT 2003년03월16일(3924) new 좋은아빠되기 2025.11.25 0
11064 사출(프레스)금형산업기사 필기 기출문제(해설) 및 CBT 2002년09월08일(3923) new 좋은아빠되기 2025.11.25 0
11063 사출(프레스)금형산업기사 필기 기출문제(해설) 및 CBT 2002년08월11일(3922) new 좋은아빠되기 2025.11.25 0
11062 사출(프레스)금형산업기사 필기 기출문제(해설) 및 CBT 2002년05월26일(3921) new 좋은아빠되기 2025.11.25 0
11061 사출(프레스)금형산업기사 필기 기출문제(해설) 및 CBT 2002년03월10일(3920) new 좋은아빠되기 2025.11.25 0
11060 농기계운전기능사 필기 기출문제(해설) 및 CBT 2016년07월10일(4회)(3919) new 좋은아빠되기 2025.11.25 0
11059 농기계운전기능사 필기 기출문제(해설) 및 CBT 2015년07월19일(4회)(3918) new 좋은아빠되기 2025.11.25 0
11058 농기계운전기능사 필기 기출문제(해설) 및 CBT 2014년07월20일(4회)(3917) new 좋은아빠되기 2025.11.25 0
11057 농기계운전기능사 필기 기출문제(해설) 및 CBT 2012년07월22일(4회)(3916) new 좋은아빠되기 2025.11.25 0
» 농기계운전기능사 필기 기출문제(해설) 및 CBT 2011년07월31일(4회)(3915) new 좋은아빠되기 2025.11.25 0
11055 농기계운전기능사 필기 기출문제(해설) 및 CBT 2009년07월12일(4회)(3914) new 좋은아빠되기 2025.11.25 0
11054 농기계운전기능사 필기 기출문제(해설) 및 CBT 2007년07월15일(4회)(3913) new 좋은아빠되기 2025.11.25 0
11053 농기계운전기능사 필기 기출문제(해설) 및 CBT 2005년07월17일(4회)(3912) new 좋은아빠되기 2025.11.25 0
11052 농기계운전기능사 필기 기출문제(해설) 및 CBT 2004년07월18일(4회)(3911) new 좋은아빠되기 2025.11.25 0
11051 농기계운전기능사 필기 기출문제(해설) 및 CBT 2003년07월20일(4회)(3910) new 좋은아빠되기 2025.11.25 0
11050 농기계운전기능사 필기 기출문제(해설) 및 CBT 2002년07월21일(4회)(3909) new 좋은아빠되기 2025.11.25 0
11049 농기계운전기능사 필기 기출문제(해설) 및 CBT 2001년10월14일(5회)(3908) new 좋은아빠되기 2025.11.25 0
11048 9급 국가직 공무원 국어 필기 기출문제(해설) 및 CBT 2018년04월07일(3907) new 좋은아빠되기 2025.11.25 0
11047 공인중개사 2차 필기 기출문제(해설) 및 CBT 2017년10월28일(3906) new 좋은아빠되기 2025.11.25 2
Board Pagination Prev 1 ... 270 271 272 273 274 275 276 277 278 279 ... 828 Next
/ 828