자격증 필기 기출문제



사출(프레스)금형산업기사 필기 기출문제(해설) 및 CBT 2016년03월06일(3956)

최강 자격증 기출문제 전자문제집 CBT : www.comcbt.com


전자문제집 CBT란?

종이 문제집이 아닌 인터넷으로 문제를 풀고 자동으로 채점하며 모의고사, 오답 노트, 해설까지 제공하는
무료 기출문제 학습 프로그램으로 실제 상설검정에서 사용하는 OMR 형식의 CBT를 제공합니다.


최신 사출(프레스)금형산업기사 필기 기출문제 : [다운로드]

1과목 : 금형설계


1. 다음 압축 가공 방법 중 소재의 단면적을 확대하면서 제품을 성형하는 방식이 아닌 것은?
     1. 압인
     2. 업세팅
     3. 후방 압출
     4. 밀폐 단조

     정답 : []
     정답률 : 70%

2. 판 두께 2mm인 경질 황동판에 탄소강의 공구를 사용하여 뚫을 수 있는 최소 블랭킹 지름(mm)은? (단, 황동판의 전단 저항 : 35kg/mm2, 탄소강의 압축강도 : 200kg/mm2이다.)
     1. 0.3
     2. 0.7
     3. 1.4
     4. 2.1

     정답 : []
     정답률 : 65%
     <문제 해설>
펀치의 최소직경 = 4 x (소재두께) x (소재 전단응력) / (펀치의 압축응력)
4 x 2 x 35 / 200 = 1.4
[해설작성자 : 한국폴리텍 인천캠퍼스]

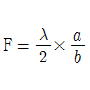
3. 가공할 소재의 두께 t=2mm이고 압축강도 σp=150kgf/mm2이며 전단 강도가 τ=40kgf/mm2일 때 펀치의 최소 직경은?
     1. 2.14mm
     2. 3.14mm
     3. 4.14mm
     4. 5.14mm

     정답 : []
     정답률 : 43%
     <문제 해설>
d(펀치의 최소 직경)= 4tr/a        t=소재의 두께, r=소재의 전단응력, a=펀치의 압축응력
d=4x2x40/150 = 2.1333
[해설작성자 : 박성준]

4. 스트립의 소재 이송을 위해 다이레벨에서 이송레벨까지 올려주면서 동시에 스트립의 이송 안내 기능까지 겸하고 있는 금형 부품은?
     1. 바 리프터
     2. 스톡 리프터
     3. 가이드 레일
     4. 가이드 리프터

     정답 : []
     정답률 : 78%

5. 블랭크를 생산하기 위하여 블랭킹 가공을 하였더니 블랭크가 낙하하지 않고 떠오르는(블랭크 업) 현상이 발생하였을 때의 방지 대책으로 틀린 것은?
     1. 펀치에 셰더핀을 설치한다.
     2. 펀치의 반경값을 크게 한다.
     3. 클리어런스 값을 작게 한다.
     4. 펀치에 에어 벤트(공기구멍)를 설치한다.

     정답 : []
     정답률 : 50%

6. 다음 중 전단가공에서 전단면 형상에 가장 큰 영향을 주는 것은?
     1. 전단력
     2. 측방력
     3. 소재 경도
     4. 클리어런스

     정답 : []
     정답률 : 72%

7. 블랭킹 다이 설계 시 다이세트의 사용 목적으로 틀린 것은?
     1. 금형 수명이 길어진다.
     2. 금형 정밀도가 높아진다.
     3. 금형 운반, 관리가 용이하다.
     4. 금형, 제작비를 줄일 수 있다.

     정답 : []
     정답률 : 72%

8. 판 또는 용기의 가장자리 부분에 원형 단면의 테두리를 말아 넣은 가공방법은?
     1. 벌징
     2. 벤딩
     3. 비딩
     4. 컬링

     정답 : []
     정답률 : 82%
     <문제 해설>
벌징:주전자 형상으로 만들기 위해 일단수직으로 드로잉 한 용기의 측벽을 부풀어 오르게 하는 가공
벤딩:굽힘 가공
비딩:용기 또는 판재에 장식, 보강, 변형제거의 목적으로 끈 모양의 돌출부를 내는가공
컬링:판 또는 용기의 가장자리 부분에 원형 단면의 테두리를 말아 넣는 가공
[해설작성자 : 박성준]

9. 굽힘 가공 시 스프링백(Spring Back)이 증가하는 원인이 틀린 것은?
     1. 굽힘 반경이 클수록
     2. 굽힘 각도가 클수록
     3. 클리어런스가 클수록
     4. 가압속도가 고속일수록

     정답 : []
     정답률 : 63%
     <문제 해설>
4.가압속도가 고속일수록 스프링백 현상이 감소한다
[해설작성자 : 박성준]

10. 드로잉작업에서 코너 R이 있는 원통용기를 드로잉할 때 필요한 블랭크 직경을 구하는 식은? (단, D : 블랭크 직경, d : 드로잉 직경, h : 드로잉 깊이, rp : 펀치 코너 반경이다.)
     1.
     2.
     3.
     4.

     정답 : []
     정답률 : 61%

11. 금형온도에서 제어시스템 중 금혈 가열 히터의 용량을 구하는 공식으로 옳은 것은? (단, P : 히터용량(kW), t1 : 상승희망온도(℃), t2 : 대기의 온도(℃), M : 제어부의 금형중량(kg), T : 희망상승시간(h), C : 금형재료의 비열, η : 히터 효율(%)이다.)
     1.
     2.
     3.
     4.

     정답 : []
     정답률 : 55%

12. 사이드 코어 또는 분할 코어를 후퇴시킬 때만 사용하는 언더컷 처리 기구로서 구조가 간단하지만 인발력과 습동 거리를 크게 할 수 없고, 정확성이 부족한 언더컷 처리 기구는?
     1. 판 캠
     2. 유압실린더
     3. 스프링 구조장치
     4. 도그레그캠(dog leg cam)

     정답 : []
     정답률 : 60%

13. 결정성 수지에 속하며 유백색, 불투명 또는 반투명으로 범용 수지 중에서 가장 가볍고(비중 0.9), 폴리스틸렌에 비하여 표면 광택이 우수하고 내약품성이 좋으며, 내충격성이 강한 수지는?
     1. PA
     2. PP
     3. PVC
     4. PMMA

     정답 : []
     정답률 : 69%
     <문제 해설>
②PP 만 결정성 수지 나머지는 공업용 수지이다
[해설작성자 : 남윤복v]

14. 사출 금형에서 게이트 위치 선정에 대한 설명으로 틀린 것은?
     1. 웰드라인이 생기기 쉬운 곳에 설치한다.
     2. 가급적 성형품의 가장 두꺼운 부분에 설치한다.
     3. 상품의 가치상 가능한 눈에 띄지 않는 곳에 설치한다.
     4. 각 캐비티의 말단까지 동시에 충전할 수 있는 위치에 설치한다.

     정답 : []
     정답률 : 83%

15. 사출성형 작업 시 플래시 방지 대책과 가장 거리가 먼 것은?
     1. 사출 압력을 낮춘다.
     2. 수지 온도를 높인다.
     3. 형 조임력을 높인다.
     4. 받침판을 두껍게 한다.

     정답 : []
     정답률 : 64%

16. 다음 중 성형품 설계에서 여러 개의 구멍이 있을 때 적합한 구멍의 피치는?
     1. 구멍 지름의 0.5배
     2. 구멍 지름의 1배
     3. 구멍 지름의 1.5배
     4. 구멍 지름의 2배

     정답 : []
     정답률 : 72%
     <문제 해설>
구멍과 구멍 간의 거리, 즉 피치는 구멍 지름의 2배이며 구멍의 중심과 제품의 끝까지 거리는 구멍 지름의 3배 이상으로 한다.
[해설작성자 : 남윤복v]

17. 다음 중 2매 구성 금형에서 게이트 절단이 용이하여 자동 성형이 용이한 게이트로 가장 적한한 것은?
     1. 팬 게이트
     2. 표준 게이트
     3. 터널 게이트
     4. 핀 포인트 게이트

     정답 : []
     정답률 : 71%

18. 사출 금형에서 받침판을 지지하고 성형품을 빼낼 때, 이젝터 플레이트가 움직일 수 있는 공간을 만들어주는 부품은?
     1. 스톱 핀(stop pin)
     2. 로케이트 링(locate ring)
     3. 스프루 부시(sprue bush)
     4. 스페이서 블록(spacer block)

     정답 : []
     정답률 : 87%

19. 다음 그림과 같이 덮개형상의 성형품에 일반적인 빼기 구배를 적용할 때, 다음 중 가장 적합한 것은? (단, H가 100mm 이상인 경우이다.)

    

     1.
     2.
     3.
     4.

     정답 : []
     정답률 : 63%

20. 사출 용적이 112cm3이고 용융 수지의 밀도가 1.05g/cm3인 사출기의 사출량(g)은 약 얼마인가? (단, 사출 효율은 86%이다.)
     1. 91
     2. 101
     3. 118
     4. 138

     정답 : []
     정답률 : 67%
     <문제 해설>
112 × 1.05 × 0.86 = 101.136
[해설작성자 : 한국폴리텍 성남캠퍼스]

2과목 : 기계가공법 및 안전관리


21. 다음 중 분할법의 종류에 해당하지 않는 것은?
     1. 간접 분할법
     2. 단식 분할법
     3. 직접 분할법
     4. 차동 분할법

     정답 : []
     정답률 : 62%
     <문제 해설>
간접 분할법은 존재하지 않는다.
[해설작성자 : 한국폴리텍 성남캠퍼스]

22. 주철을 저속으로 가공할 때 생기는 칩의 형태는?
     1. 균열형
     2. 열단형
     3. 유동형
     4. 전단형

     정답 : []
     정답률 : 63%
     <문제 해설>
균열형 칩은 메진 재료(주철 등)에 작은 절삭각으로 저속 절삭을 할 때에 나타나며, 절삭력의 변동이 크고 다듬질 면이 거칠다.
[해설작성자 : 남윤복v]

23. 드릴링머신으로 구멍 가공 작업을 할 때 주의 사항으로 틀린 것은?
     1. 드릴은 흔들리지 않게 정확하게 고정해야 한다.
     2. 크기가 작은 공작물은 손으로 잡고 드릴링한다.
     3. 구멍 가공 작업이 끝날 무렵에는 이송을 천천히 한다.
     4. 드릴을 고정하거나 풀 때는 주축이 완전히 정지된 후 작업한다.

     정답 : []
     정답률 : 92%
     <문제 해설>
손으로 잡으시면 안돼요 바이스에 고정해야 합니다
[해설작성자 : 남윤복v]

24. 다음 중 공작기계의 일반적인 구비 조건으로 틀린 것은?
     1. 가공 능률이 우수할 것
     2. 가공물의 공작 정밀도가 높을 것
     3. 사용이 간편하고 운전 비용이 저렴할 것
     4. 기계의 강성도가 작고 가격이 고가일 것

     정답 : []
     정답률 : 92%
     <문제 해설>
기계의 강성이 크고 가격이 저가여야함
[해설작성자 : 남윤복v]

25. 수평밀링과 유사하나 복잡한 형상의 지그, 게이지, 다이 등을 가공하는 소형 밀링 머신은?
     1. 공구 밀링머신
     2. 나사 밀링머신
     3. 만능 밀링머신
     4. 모방 밀링머신

     정답 : []
     정답률 : 68%

26. 브로칭머신에서 브로치 공구를 사용하여 가공하기에 가장 적합하지 않은 것은?
     1. 키홈
     2. 암나사
     3. 스플라인 홈
     4. 세그먼트 기어의 치형

     정답 : []
     정답률 : 73%

27. 측정자의 미소한 움직임을 광학적으로 확대하여 측정하는 측정기는?
     1. 미니미터
     2. 옵티미터
     3. 공기 마이크로미터
     4. 전기 마이크로미터

     정답 : []
     정답률 : 70%
     <문제 해설>
미니미터-레버를 이용
공기 마이크로미터-공기 유출량에 의한 압력변화 이용
전기 마이크로미터-전기용량의 변화를 이용
[해설작성자 : 성남폴리텍]

28. 선반 가공에서 테이퍼를 가공하는 방법으로 적합하지 않은 것은?
     1. 맨드릴을 이용하는 방법
     2. 총형 바이트를 이용하는 방법
     3. 복식 공구대를 경사시키는 방법
     4. 테이퍼 절삭 장치를 이용하는 방법

     정답 : []
     정답률 : 67%

29. 옵티컬 패럴렐을 이용하여 마이크로미터의 평행도를 검사하였더니 백색광에 의한 적색 간섭 무늬의 수가 앤빌에서 2개, 스핀들에서 4개였다. 마이크로미터의 평행도는 약 얼마인가? (단, 측정에 사용한 빛의 파장은 0.32μm이다.)
     1. 1μm
     2. 2μm
     3. 4μm
     4. 6μm

     정답 : []
     정답률 : 46%
     <문제 해설>
(6 × 0.32) ÷ 2 = 0.96
[해설작성자 : 한국폴리텍 성남캠퍼스]

30. 연삭숫돌에 쓰는 연삭 입자의 종류는 천연 입자와 인조 입자가 있다. 인조 입자에 해당하는 것은?
     1. 사암(sandstone)
     2. 석영(quartz)
     3. 에머리(emery)
     4. 산화알루미늄(Al2O3)

     정답 : []
     정답률 : 81%

31. 다음 중 리머 작업과 드릴 작업과의 관계에 대한 설명으로 적합한 것은?
     1. 리머 작업을 위한 드릴 가공의 여유는 0.2~0.3mm가 적당하다.
     2. 드릴의 직경과 리머의 직경은 동일하여야 한다.
     3. 그릴의 직경과는 관계없이 리머 가공은 정밀한 가공이 된다.
     4. 드릴의 직경보다 리머의 직경이 작은 것을 사용하여야 정밀한 가공이 된다.

     정답 : []
     정답률 : 70%
     <문제 해설>
드릴 작업에서 요구치보다 조금 작은 구멍을 꿇고 리밍 작업으로 정밀하고 매끈한 구멍을 가공한다
[해설작성자 : 왕춘식]

32. 가공물을 양극(+)으로 하여 전해액 속에서 전류를 통전하여 전기에 의한 화학적인 작용을 이용한 가공법은?
     1. 전해연마
     2. 액체호닝
     3. 레이저가공
     4. 초음파가공

     정답 : []
     정답률 : 85%

33. 밀링머신 가공에서 하향절삭(내려깍기)의 장점에 해당되는 사항은?
     1. 기계의 강성이 낮아도 무방하다.
     2. 절삭력이 하향으로 작용하므로 공작물의 고정이 유리하다.
     3. 절입할 때, 마찰력은 적으나 하향으로 충격력이 작용한다.
     4. 가공물의 이송과 공구의 회전이 서로 다른 방향으로 작용하므로 백래시 제거장치가 필요치 않다.

     정답 : []
     정답률 : 71%

34. 내면연삭기의 연삭방식이 아닌 것은?
     1. 가공물과 연삭숫돌에 회전운동을 주어 연삭하는 방식
     2. 공작물을 테이블에 고정시키고, 테이블을 회전시키는 방식
     3. 센터리스 연삭기를 이용하여 가공물을 고정하지 않고 연삭하는 방식
     4. 가공물은 고정시키고, 연삭숫돌이 회전운동 및 공전운동을 동시에 진행하는 방식

     정답 : []
     정답률 : 52%

35. 다이얼 게이지의 측정오차와 관계없는 것은?
     1. 눈금
     2. 시차
     3. 측정력
     4. 온도변화

     정답 : []
     정답률 : 55%

36. 선반 작업에 대한 설명으로 옳은 것은?
     1. 선반 작업에서는 탭(tap)을 사용하여 나사를 깍는다.
     2. 바이트의 자루는 길게 하여 작업하는 것이 훨씬 능률적이다.
     3. 절단작업은 외경절삭에 비하여 절삭속도, 이송, 절삭깊이 등을 적게하여 가공한다.
     4. 척(chuck)작업에서 앵글 플레이트(angle plate)를 사용하면 정확한 작업을 할 수 있다.

     정답 : []
     정답률 : 63%
     <문제 해설>
1. 선반 작업에서는 나사절삭바이트로 나사를 깎는다
2. 바이트의 자루는 짧게 하여 작업하는 것이 훨씬 능률적이다.
3. 정답이다.
[해설작성자 : 한국폴리텍 성남캠퍼스]

37. PTP(Point to point) 제어라고도 하며, 드릴작업이나 펀칭 작업등과 같이 공작물의 지정된 위치에 공구가 도달되는 것만이 요구되는 가공에 사용하는 NC제어방식은?
     1. 곡선절삭제어
     2. 윤곽절삭제어
     3. 위치결정제어
     4. 직선절삭제어

     정답 : []
     정답률 : 85%

38. 나사식 보정장치, 현미경을 사용한 광학장치, 표준 봉게이지 또는 다이얼게이지, 전기계측장치 중에서 선택한 것을 이용하여 테이블과 주축대의 위치를 결정하므로 2~10μm의 높은 정밀도로 가공할 수 있는 보링머신은?
     1. 수직 보링머신
     2. 수평 보링머신
     3. 정밀 보링머신
     4. 지그 보링머신

     정답 : []
     정답률 : 57%

39. 선반의 규격 표시 방법으로 옳은 것은?
     1. 기계의 중량
     2. 모터의 마력
     3. 바이트의 크기
     4. 배드 위의 스윙

     정답 : []
     정답률 : 78%

40. ø13이하의 작은 구멍 뚫기에 사용하며 작업대 위에 설치하여 사용하고, 드릴 이송은 수동으로 하는 소형의 드릴링머신은?
     1. 다두 드릴링머신
     2. 직립 드릴링머신
     3. 탁상 드릴링머신
     4. 레이디얼 드릴링머신

     정답 : []
     정답률 : 81%

41. 그림과 같이 형상 및 위치 정도를 측정할 때 측정 대상으로 가장 적합한 것은?

    

     1. 평행도
     2. 평면도
     3. 직각도
     4. 흔들림

     정답 : []
     정답률 : 79%

42. 마이크로미터를 이용한 측정법은 다음 중 어느 것에 속하는가?
     1. 절대 측정
     2. 비교 측정
     3. 간접 측정
     4. 직접 측정

     정답 : []
     정답률 : 79%

43. 선반 베드 진직도 검사시 0.02mm/m의 눈금을 가진 길이 200mm의 수준기가 한 위치에서 다음 위치로 옳기니 3눈금 이동하였다. 이 때 경사(기울기)는 몇 초 변동이 되는가?
     1. 약 4초
     2. 약 12초
     3. 약 20초
     4. 약 16초

     정답 : []
     정답률 : 71%
     <문제 해설>
0.02 × 200 × 3 = 12
[해설작성자 : 한국폴리텍 성남캠퍼스]

44. 0.01mm 보통형 다이얼 게이지의 확대 방식은?
     1. 레버식
     2. 기어식
     3. 나사식
     4. 광학식

     정답 : []
     정답률 : 61%

45. 한계 게이지와 같은 용도로 사용할 수 있는 마이크로미터로 가장 적합한 것은?
     1. 기어 마이크로미터
     2. 그루브 마이크로미터
     3. 디지털 마이크로미터
     4. 다이얼게이지 부착 마이크로미터

     정답 : []
     정답률 : 70%

46. 다이얼게이지에서 스핀들이 들어갈 때와 나올때의 양 방향에 대하여 다이얼게이지의 읽음값이 참값으로부터 어긋난 양의 값을 의미하는 것으로 기차(器差)라고도 하는 것은?
     1. 인접 오차
     2. 반복 정밀도
     3. 되돌림 오차
     4. 지시 오차

     정답 : []
     정답률 : 51%

47. 기어의 치형 오차 측정법의 종류가 아닌 것은?
     1. 기초원판식
     2. 피치원판방식
     3. 기초원조절방식
     4. 피치좌표방식

     정답 : []
     정답률 : 63%

48. 다이얼 게이지에서 눈금판의 원주를 200 등분하여 눈금 간격이 2mm가 되도록 하려면 바늘의 반지름 r은 약 몇 mm 정도가 가장 적당한가?
     1. 63.7
     2. 72.8
     3. 80.4
     4. 127.3

     정답 : []
     정답률 : 38%
     <문제 해설>
원주를 200등분하여 1눈금 2mm -> 원주 = 200 x 2 = 400 mm
400 = 2 x π x r
r = 400 / 2π = 63.7
[해설작성자 : 백수]

49. 오토콜리메이터와 함께 원주 눈금의 정도를 확인하는데 가장 적합한 것은?
     1. 클리노미터
     2. 요한슨식 각도게이지
     3. 분할판
     4. 폴리곤 프리즘

     정답 : []
     정답률 : 65%

50. 테일러의 원리를 적용하는 게이지로 거리가 먼 것은?
     1. 원통형 플러그 게이지
     2. 평형 플러그 게이지
     3. 나사 피치 게이지
     4. 링 게이지

     정답 : []
     정답률 : 52%

51. 다음 중 열경화성 수지는?
     1. 멜라민수지
     2. 초산비닐수지
     3. 폴리아미드수지
     4. 폴리에틸렌수지

     정답 : []
     정답률 : 72%

52. 순철의 변태에서 α-Fe이 γ-Fe로 변화하는 동소변태는?
     1. A1 변태
     2. A2 변태
     3. A3 변태
     4. A4 변태

     정답 : []
     정답률 : 70%

53. 알루미늄이 공업재료로 사용되는 특성의 설명으로 틀린 것은?
     1. 무게가 가볍다.
     2. 열전도도가 우수하다.
     3. 소성가공성이 우수하다.
     4. 연강보다 비강도가 작다.

     정답 : []
     정답률 : 75%

54. Fe-C 평형상태도에는 3개의 불변점(invariant point)이 있다. 이에 해당되지 않는 것은?
     1. 공정점
     2. 공석점
     3. 포정점
     4. 포석점

     정답 : []
     정답률 : 71%

55. 강도와 탄성을 요구하는 스프링 및 와이어(wire)에서 많이 사용되는 조직은?
     1. 펄라이트(pearlite)
     2. 소르바이트(sorbite)
     3. 마텐자이트(martensite)
     4. 오스테나이트(austenite)

     정답 : []
     정답률 : 57%

56. 초소성을 얻기 위한 조직의 조건이 아닌 것은?
     1. 모상입계는 고경각인 편이 좋다.
     2. 결정립의 모양은 등축이어야 한다.
     3. 모상입계가 인장 분리되기 쉬워야 한다.
     4. 결정립의 크기는 수 μm 이하 이어야 한다.

     정답 : []
     정답률 : 54%

57. 열간 금형용 소재로 가장 적당한 것은?
     1. SM15C
     2. SM50C
     3. STD61
     4. SS400

     정답 : []
     정답률 : 68%

58. 다음 중 강자성체가 아닌 것은?
     1. Ni
     2. Mn
     3. Co
     4. Fe

     정답 : []
     정답률 : 64%
     <문제 해설>
니켈, 코발트, 철은 강자성체임
[해설작성자 : 한국폴리텍대학]

59. 탄소강에 함유된 황을 제거하려면 어떤 원소를 첨가하여야 하는가?
     1. P
     2. Ni
     3. Al
     4. Mn

     정답 : []
     정답률 : 80%

60. 일반적인 열처리에서 뜨임(tempering)의 주목적을 설명한 것으로 옳은 것은?
     1. 연화가 주목적이다.
     2. 경도를 얻는 목적으로 한다.
     3. 인성을 부여하기 위한 목적이다.
     4. 표준화된 조직을 얻는 목적으로 한다.

     정답 : []
     정답률 : 68%


정 답 지

1

2

3

4

5

6

7

8

9

10

11

12

13

14

15

16

17

18

19

20

21

22

23

24

25

26

27

28

29

30

31

32

33

34

35

36

37

38

39

40

41

42

43

44

45

46

47

48

49

50

51

52

53

54

55

56

57

58

59

60

사출(프레스)금형산업기사 필기 기출문제(해설) 및 CBT 2016년03월06일을 이용해 주셔서 감사합니다.
, 필기, 기출문제, 전자문제집, CBT, 온라인, 모의테스트, 모의고사



List of Articles
번호 제목 글쓴이 날짜 조회 수
11098 사출(프레스)금형산업기사 필기 기출문제(해설) 및 CBT 2016년08월21일(3958) 좋은아빠되기 2025.11.25 0
11097 사출(프레스)금형산업기사 필기 기출문제(해설) 및 CBT 2016년05월08일(3957) 좋은아빠되기 2025.11.25 1
» 사출(프레스)금형산업기사 필기 기출문제(해설) 및 CBT 2016년03월06일(3956) 좋은아빠되기 2025.11.25 1
11095 사출(프레스)금형산업기사 필기 기출문제(해설) 및 CBT 2015년08월16일(3955) 좋은아빠되기 2025.11.25 1
11094 사출(프레스)금형산업기사 필기 기출문제(해설) 및 CBT 2014년08월17일(3954) 좋은아빠되기 2025.11.25 2
11093 사출(프레스)금형산업기사 필기 기출문제(해설) 및 CBT 2014년05월25일(3953) 좋은아빠되기 2025.11.25 1
11092 사출(프레스)금형산업기사 필기 기출문제(해설) 및 CBT 2013년08월18일(3951) 좋은아빠되기 2025.11.25 1
11091 사출(프레스)금형산업기사 필기 기출문제(해설) 및 CBT 2012년08월26일(3950) 좋은아빠되기 2025.11.25 1
11090 사출(프레스)금형산업기사 필기 기출문제(해설) 및 CBT 2012년05월20일(3949) 좋은아빠되기 2025.11.25 1
11089 사출(프레스)금형산업기사 필기 기출문제(해설) 및 CBT 2012년03월04일(3948) 좋은아빠되기 2025.11.25 1
11088 사출(프레스)금형산업기사 필기 기출문제(해설) 및 CBT 2011년08월21일(3947) 좋은아빠되기 2025.11.25 2
11087 사출(프레스)금형산업기사 필기 기출문제(해설) 및 CBT 2011년06월12일(3946) 좋은아빠되기 2025.11.25 1
11086 사출(프레스)금형산업기사 필기 기출문제(해설) 및 CBT 2011년03월20일(3945) 좋은아빠되기 2025.11.25 1
11085 사출(프레스)금형산업기사 필기 기출문제(해설) 및 CBT 2010년07월25일(3944) 좋은아빠되기 2025.11.25 1
11084 사출(프레스)금형산업기사 필기 기출문제(해설) 및 CBT 2010년05월09일(3943) 좋은아빠되기 2025.11.25 3
11083 사출(프레스)금형산업기사 필기 기출문제(해설) 및 CBT 2009년07월26일(3942) 좋은아빠되기 2025.11.25 1
11082 사출(프레스)금형산업기사 필기 기출문제(해설) 및 CBT 2009년05월10일(3941) 좋은아빠되기 2025.11.25 1
11081 사출(프레스)금형산업기사 필기 기출문제(해설) 및 CBT 2009년03월01일(3940) 좋은아빠되기 2025.11.25 2
11080 사출(프레스)금형산업기사 필기 기출문제(해설) 및 CBT 2008년03월02일(3939) 좋은아빠되기 2025.11.25 2
11079 사출(프레스)금형산업기사 필기 기출문제(해설) 및 CBT 2007년08월05일(3938) 좋은아빠되기 2025.11.25 1
Board Pagination Prev 1 ... 402 403 404 405 406 407 408 409 410 411 ... 961 Next
/ 961