자격증 필기 기출문제



전자계산기기능사 필기 기출문제(해설) 및 CBT 2013년04월14일(2회)(5656)

최강 자격증 기출문제 전자문제집 CBT : www.comcbt.com


전자문제집 CBT란?

종이 문제집이 아닌 인터넷으로 문제를 풀고 자동으로 채점하며 모의고사, 오답 노트, 해설까지 제공하는
무료 기출문제 학습 프로그램으로 실제 상설검정에서 사용하는 OMR 형식의 CBT를 제공합니다.


최신 전자계산기기능사 필기 기출문제 : [다운로드]

1과목 : 전기전자공학


1. 정류기의 평활회로는 어느 것에 속하는가?
     가. 고역 통과 여파기
     나. 대역 통과 여파기
     다. 저역 통과 여파기
     라. 대역 소거 여파기

     정답 : []
     정답률 : 71%

2. 정전용량 100㎌ 의 콘덴서에 1C의 전하가 축적되었다면 양단자의 전압은 몇 V 인가?
     가. 10V
     나. 100V
     다. 1000V
     라. 10000V

     정답 : []
     정답률 : 44%
     <문제 해설>
정전용량 : C[F], 전하량 : Q[C], 전압 : V[V]
Q=CV에서, V=Q/C=1/100*10(-6승)=1/10(-4승)=10(4승)=10,000
따라서, 10,000[V]
[해설작성자 : 전자과 이영하]

3. 다음 설명과 가장 관련 깊은 것은?

   

     가. 태브낭의 정리
     나. 노턴의 정리
     다. 키르히호프의 법칙
     라. 패러데이의 법칙

     정답 : []
     정답률 : 76%
     <문제 해설>
키르히호프의 법칙 (제1법칙) : 회로의 접속점에서 볼 때, 접속점에 흘러 들어어고 나가는 전류의 합은 같다.
키르히호프의 법칙 (제2법칙) : 임의 폐회로에서 기전력의 총 합은 회로 소자에서 발생하는 전압 강하의 총 합과 같다.
[해설작성자 : 파즈냥]

4. 펄스폭이 1sec이고 반복주기가 4sec이면 주파수는 몇 Hz인가?
     가. 0.1Hz
     나. 0.25Hz
     다. 1Hz
     라. 5Hz

     정답 : []
     정답률 : 77%
     <문제 해설>
펄스폭/반복주기 = 1/4 답은 0.25이다.
[해설작성자 : 레자바지 내말맞지 ]

5. 순시값 = 의 실효값은 몇 V 인가?
     가. 100V
     나. 141V
     다. 200V
     라. 282V

     정답 : []
     정답률 : 41%
     <문제 해설>
(실효값) = (최댓값) / (루트)2
100(루트)2 이 부분이 교류 신호의 최댓값이다.
(루트)2로 나누면 100V이다.
[해설작성자 : 김동현]

6. FM 방식에서 변조를 깊게 했을 때 최대 주파수 편이가 이라면 필요한 주파수 대역폭 B는?
     가.
     나.
     다.
     라.

     정답 : []
     정답률 : 55%

7. 연산증폭기의 입력 오프셋 전압에 대한 설명으로 가장 적합한 것은?
     가. 차동출력을 0V가 되도록 하기 위하여 입력 단자 사이에 걸어주는 전압이다.
     나. 출력전압이 무한대가 되게 하기 위하여 입력단자 사이에 걸어주는 전압이다.
     다. 출력전압과 입력전압이 같게 될 때의 증폭기의 입력전압이다.
     라. 두 입력단자가 접지되었을 때 두 출력단자 사이에 나타나는 직류전압의 차이다.

     정답 : []
     정답률 : 55%

8. 다음과 같은 연산증폭기의 회로에서 2MΩ에 흐르는 전류는?

   

     가. 0
     나.
     다.
     라.

     정답 : []
     정답률 : 52%

9. LC 발진기에서 일어나기 쉬운 이상 현상이 아닌 것은?
     가. 기생 진동(parasitiz oscillator)
     나. 인입 현상(pull-in phenomenon)
     다. 블로킹(blocking) 현상
     라. 자왜(滋歪) 현상

     정답 : []
     정답률 : 65%

10. 그림과 같은 회로의 입력측에 정현파를 가할 때 출력측에 나오는 파형은 어떻게 되는가?(단, 이고 이다.)

    

     가.
     나.
     다.
     라.

     정답 : []
     정답률 : 60%

2과목 : 전자계산기구조


11. 컴퓨터의 기능 중 프로그램의 명령을 꺼내어 판단하며 지시 감독하여 명령하는 기능은?
     가. 기억기능
     나. 제어기능
     다. 연산기능
     라. 출력기능

     정답 : []
     정답률 : 86%

12. 논리적 연산 중 이항 연산에 해당되는 것은?
     가. Complement
     나. Shift
     다. MOVE
     라. OR

     정답 : []
     정답률 : 64%

13. 8진수 62를 2진수로 옳게 변환한 것은?
     가. 110010
     나. 101101
     다. 111010
     라. 110101

     정답 : []
     정답률 : 69%
     <문제 해설>
아래와 같은 오류 신고가 있었습니다.
여러분들의 많은 의견 부탁 드립니다.
추후 여러분들의 의견을 반영하여 정답을 수정하도록 하겠습니다.
참고로 정답 변경은 오류 신고 5회 이상일 경우 수정합니다.

[오류 신고 내용]

111110인데요?

[관리자 입니다.
제가 컴퓨터 전공자라사 간략하게 설명드리겠습니다.

위 오류신고는 잘못된 오류신고입니다.
이진수 111110 은 십진수로 변환하면 62가 됩니다.
즉 문제에서는 10진수 62를 2진수로 바꾸라고 한게 아니고
8진수 62 이므로 3자리씩 끊어서 계산하면

110(6) 010(2) 이렇게 변환이 됩니다.

오류신고시 본인의 생각만 가지고 오류신고 하시는것은 자제 부탁 드립니다.
오류 신고전 다른 문제집 정답을 확인하거나, 인터넷 검색 및 기타 충분한
검토후 확실한 오류 신고 부탁 드립니다.

본인 생각만으로 오류신고를 하게 되면
이곳 모든 문제에 오류신고가 달릴수 있습니다.
그럼 문제를 풀때 혼란만 가중되게 됩니다.]

14. 중앙처리장치로부터 입.출력 지시를 받으면 직접 주기억장치에 접근하여 데이터를 꺼내어 출력하거나 입력한 데이터를 기억시킬 수 있고, 입.출력에 관한 모든 동작을 자율적으로 수행하는 입.출력 제어 방식은?
     가. 프로그램 제어 방식
     나. 인터럽트 방식
     다. DMA 방식
     라. 폴링 방식

     정답 : []
     정답률 : 70%

15. 기억장치에 기억된 명령(instruction)이 기억된 순서대로 중앙처리장치에서 실행될 수 있도록 그 주소를 지정해 주는 레지스터는?
     가. 누산기(Accumulator)
     나. 스택 포인터(Stack Pointer)
     다. 프로그램 카운터(Program Counter)
     라. 명령 레지스터(Instruction Register)

     정답 : []
     정답률 : 52%

16. 공유하고 있는 통신회선에 대한 제어신호를 각 노드 간에 순차적으로 옮겨가면서 수행하는 방식은?
     가. CSMA 방식
     나. CD 방식
     다. ALOHA 방식
     라. TOKEN PASSING 방식

     정답 : []
     정답률 : 69%

17. 연산장치에서 주기억장치로부터 연산을 수행할 데이터를 제공받아 보관하거나 가산기의 입력 데이터를 보관하며, 연산 결과를 보관하는 것은?
     가. 데이터 레지스터
     나. 상태 레지스터
     다. 누산기
     라. 가산기

     정답 : []
     정답률 : 64%

18. 자기 디스크에서 기록 표면에 동심원을 이루고 있는 원형의 기록 위치를 트랙이라고 하는데 이 트랙의 모임을 무엇이라고 하는가?
     가. Cylinder
     나. Access arm
     다. Record
     라. field

     정답 : []
     정답률 : 56%
     <문제 해설>
실린더(Cylinder) : 자기 디스크의 회전축에서 동일한 거리에 있는 트랙의 집합.
[해설작성자 : 재성인]

19. 주소의 개념이 거의 사용되지 않는 보조기억장치로서, 순서에 의해서만 접근하는 기억장치(SASD)는 무엇인가?
     가. Magnetic Tape
     나. Magnetic Core
     다. Magnetic Disk
     라. Random Access Memory

     정답 : []
     정답률 : 76%

20. 부동 소수점(Floating point number) 표현 형식의 특징이 아닌 것은?
     가. 실수 연산에 사용된다.
     나. 부호, 지수부, 가수부로 구성된다.
     다. 가수는 정규화하여 유효 숫자를 크게 한다.
     라. 고정 소수점 연산에 비해 연산 속도가 빠르다.

     정답 : []
     정답률 : 53%

21. “0”과 “1”로 구성되며 정보를 나타내는 최소 단위는?
     가. file
     나. bit
     다. word
     라. byte

     정답 : []
     정답률 : 85%

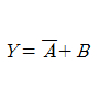
22. 어떤 회로의 입력을 A, B, 출력을 Y라 할때 Y=A+B인 논리회로의 명칭은?
     가. AND
     나. OR
     다. NOT
     라. EX-OR

     정답 : []
     정답률 : 72%

23. 입력 단자에 나타난 정보를 코드화하여 출력으로 내보내는 것으로 해독기와 정반대의 기능을 수행하는 조합 논리회로는?
     가. 가산기(Adder)
     나. 플립플롭(Flip-Flop)
     다. 멀티플렉서(Multiplexor)
     라. 부호기(Encoder)

     정답 : []
     정답률 : 74%
     <문제 해설>
해독기(디코더) ↔ 부호기(인코더)
[해설작성자 : 삼공 전기 에이스]

24. 컴퓨터 내부에서 음수를 표현하는 방법이 아닌 것은?
     가. 부호와 2의 보수
     나. 부호와 상대값
     다. 부호와 1의 보수
     라. 부호와 절대값

     정답 : []
     정답률 : 73%
     <문제 해설>
음수표현 방법은
부호와 1,2의 보수 / 부호와 절대값이 있습니다.

틀린답의 예 ) 0의보수,상대값,(-)표시 등

[해설작성자 : 파즈냥]

25. 주소지정방식(Addressing Mode)이 아닌 것은?
     가. 즉시(Immediate) 주소지정 방식
     나. 임시(Temporary) 주소지정 방식
     다. 간접(Indirect) 주소지정 방식
     라. 직접(Direct) 주소지정 방식

     정답 : []
     정답률 : 81%

26. 명령(Instruction)의 기본 구성은?
     가. 오퍼레이션과 오퍼랜드
     나. 오퍼랜드와 실행 프로그램
     다. 오퍼레이션과 제어 프로그램
     라. 제어 프로그램과 실행 프로그램

     정답 : []
     정답률 : 62%

27. 하나의 채널이 고속 입.출력 장치를 하나씩 순차적으로 관리하며, 블록(Block) 단위로 전송하는 채널은?
     가. 사이클 채널(Cycle channel)
     나. 셀렉터 채널(Select channel)
     다. 멀티플렉서 채널(Multiplexor channel)
     라. 블록 멀티 플렉서 채널(Block multiplexor channel)

     정답 : []
     정답률 : 66%

28. 디지털 데이터를 아날로그 신호로 바꾸고, 아날로그 신호로 전송된 것을 다시 디지털 데이터로 바꾸는 신호 변환 장치는?
     가. MODEM
     나. CCU
     다. DECODER
     라. TERMINAL

     정답 : []
     정답률 : 76%

29. 중앙처리장치가 한 명령어의 실행을 끝내고 다음에 실행될 명령어를 기억장치에서 꺼내올 때까지의 동작 단계를 무엇이라고 하는가?
     가. 명령어 인출
     나. 명령어 저장
     다. 명령어 해독
     라. 명령어 실행

     정답 : []
     정답률 : 79%

30. 2진수 (1011)2 을 그레이 코드로 변환하면?
     가. (1000)G
     나. (0111)G
     다. (1010)G
     라. (1110)G

     정답 : []
     정답률 : 73%

3과목 : 프로그래밍일반


31. 프로그램에서 사용되는 기억장소를 말하며, 프로그램 실행 중에 그 값이 변할수 있는 것은?
     가. Coding
     나. Operand
     다. Constant
     라. Variable

     정답 : []
     정답률 : 46%
     <문제 해설>
variable = 변수 (바꿀 수 있는것) <--> Constant = 상수 (바꿀 수 없는것)
[해설작성자 : moonmagic]

32. 프로그래밍 언어를 사용하여 사용자가 어떤 업무 처리를 위하여 작성한 프로그램을 의미하는 것은?
     가. 목적 프로그램
     나. 컴파일러
     다. 원시 프로그램
     라. 로더

     정답 : []
     정답률 : 43%

33. 프로그램의 문서화에 대한 설명으로 거리가 먼 것은?
     가. 프로그램의 유지 보수가 용이하다.
     나. 개발자 개인만 이해할 수 있도록 작성한다.
     다. 개발 중간의 변경사항에 대하여 대처가 용이하다.
     라. 프로그램의 개발 목적 및 과정을 표준화 하여 효율적인 작업이 이루어지게 한다.

     정답 : []
     정답률 : 75%

34. 로더의 기능이 아닌 것은?
     가. 할당
     나. 링킹
     다. 재배치
     라. 번역

     정답 : []
     정답률 : 72%

35. 하나의 시스템을 여러 명의 사용자가 시간을 분할하여 동시에 작업할 수 있도록 하는 방식은?
     가. Distributed System
     나. Batch Processing System
     다. Time Sharing System
     라. Real Time System

     정답 : []
     정답률 : 80%

36. 시스템 프로그래밍 언어로서 적당한 것은?
     가. FORTRAN
     나. BASIC
     다. COBOL
     라. C

     정답 : []
     정답률 : 83%

37. 프로그래밍 단계에서 “프로그래밍 언어를 선정하여 명령문을 기술하는 단계”로 적합한 것은?
     가. 순서도 작성
     나. 프로그램 코딩
     다. 데이터 입력
     라. 프로그램 모의 실험

     정답 : []
     정답률 : 59%

38. C 언어의 특징으로 옳지 않은 것은?
     가. 자료의 주소를 조작할 수 있는 포인터를 제공한다.
     나. 시스템 소프트웨어를 개발하기에 편리하다.
     다. 이식성이 높은 언어이다.
     라. 인터프리터 방식의 언어이다.

     정답 : []
     정답률 : 71%
     <문제 해설>
C언어는 인터프리터형 언어가 아니다.
C언어 컴파일러형 언어이다.
[해설작성자 : 손인성]

39. 기계어에 대한 설명으로 옳지 않은 것은?
     가. 프로그램의 유지 보수가 어렵다.
     나. 호환성이 없고 기계마다 언어가 다르다.
     다. 2진수를 사용하여 명령어의 데이터를 표현한다.
     라. 사람이 일상 생활에서 사용하는 자연어에 가까운 형태로 만들어진 언어이다.

     정답 : []
     정답률 : 70%
     <문제 해설>
사람이 일상 생활에서 사용하는 자연어에 가까운 형태의 언어는 '고급언어' 이다.
기계어는 컴퓨터가 이해하는 언어이다.
[해설작성자 : 파즈냥]

일상생활에서는 문자들의 형태가 아니라

1010110101101 과 같은 2비트 형식으로 나타냅니다.

즉 abcd 이런 형식이 아니라 1010101 과 같은 0 1 로만 이루어진 숫자로 이루어집니다.
[해설작성자 : 풍문으로 들었소]

40. 프로그래밍 절차가 옳게 나열된 것은?
     가. 문제분석-입출력설계-순서도작성-프로그램 코딩-실행
     나. 문제분석-입출력설계-프로그램 코딩-실행-순서도작성
     다. 문제분석-입출력설계-프로그램 코딩-순서도작성-실행
     라. 문제분석-순서도작성-프로그램 코딩-입출력설계-실행

     정답 : []
     정답률 : 58%
     <문제 해설>
문제분석-입출력설계-순서도작성-프로그램 코딩-실행

41. 다음 SW회로에 대한 논리함수 Y는?

    

     가. Y=(A+B)(C+D)
     나. Y=AC+BD
     다. Y=ABCD
     라. Y=AB+CD

     정답 : []
     정답률 : 57%

42. 반가산기 두 개와 OR 게이트 1개를 사용하여 구성할 수 있는 회로는?
     가. 반감산기
     나. 전감산기
     다. 전가산기
     라. 레지스터

     정답 : []
     정답률 : 64%

43. 펄스가 입력되면 현재와 반대의 상태로 바뀌게 하는 토글(Toggle) 상태를 만드는 것은?
     가. T 플립플롭
     나. D 플립플롭
     다. JK 플립플롭
     라. RS 플립플롭

     정답 : []
     정답률 : 81%

44. 2진수 0.1011을 10진수로 변환하면?
     가. 0.1048
     나. 0.2048
     다. 0.4875
     라. 0.6875

     정답 : []
     정답률 : 50%

45. 2n개의 입력선으로 입력된 값을 n개의 출력선으로 코드화해서 출력하는 회로는?
     가. 디코더(decoder)
     나. 인코더(incoder)
     다. 전가산기(full adder)
     라. 인버터(inverter)

     정답 : []
     정답률 : 49%
     <문제 해설>
이(2)n->이n->인->인+코드->인코더
[해설작성자 : 고금제일마]

46. 다음 기호로 사용되는 논리 게이트의 기능으로 옳지 않은 것은?

    

     가. 지연 시간(delay time) 기능
     나. 팬 아웃(fan out)의 확대
     다. 고주파 발진 기능
     라. 감쇠 신호의 회복 기능

     정답 : []
     정답률 : 45%
     <문제 해설>
버퍼(BUFFER) 게이트
-입력된 신호 그대로 출력하는 게이트
-팬-아웃의 수를 증가
-감쇠 신호의 회복 기능
-지연 시간(Delay Time) 기능

47. 여러 개의 플립플롭이 접속될 경우, 계수 입력에 가해진 펄스의 효과가 가장 뒤에 접속된 플립플록에 전달되려면 한 개의 플립플롭에서 일어나는 지연 시간이 여러 개 생긴다. 이러한 지연 시간을 방지하기 위해 만든 계수기를 무엇이라 하는가?
     가. 비동기형 계수기
     나. 동기형 계수기
     다. 하향 계수기
     라. 상향 계수기

     정답 : []
     정답률 : 60%

48. 논리식 X = AC + ABC 를 간소화하면?
     가. AC
     나. AB
     다. C
     라. C+1

     정답 : []
     정답률 : 72%
     <문제 해설>
논리곱 연산은 두수가 모두 1이어야하만 값이 1이고
논리합 연산은 두수중 하나만 1이면 값 1이다.
AC + ABC 에서 B의경우는 1이어도 AC 둘중 하나라도 0이면 결과는 0이다. 그렇기 때문에 B는 제거.
AC 또한 둘중 하나라도 0이면 값은 0이고 AC + AC는 결국 0 + 0 또는 1 + 1이 나올 수 밖에 없으므로
간소화하면 AC가 된다.
[해설작성자 : 파즈냥]

49. 비동기형 10진 계수기를 T 플립플롭으로 구성하려 한다. 최소 몇 개의 플립플롭이 필요한가?
     가. 2
     나. 4
     다. 5
     라. 10

     정답 : []
     정답률 : 64%

50. JK 플립플롭에서 J=1, K=1 일 때 클록펄스가 인가되면 출력 상태는?
     가. 전 상태 유지
     나. 반전
     다. 1
     라. 0

     정답 : []
     정답률 : 77%

51. 8421 코드에 별도로 3비트의 패리티 체크 비트를 부가하여 7비트로 구성한 코드로 오류 검사뿐만 아니라 교정까지도 가능한 코드는?
     가. 3초과 코드
     나. 해밍 코드
     다. 그레이 코드
     라. 2421 코드

     정답 : []
     정답률 : 79%

52. 논리식 가 나타내는 게이트는?
     가. NAND
     나. NOR
     다. EX-OR
     라. EX-NOR

     정답 : []
     정답률 : 48%
     <문제 해설>
[관리자의 말 : 관리자가 직접 알려 드립니다.

부정을 풀게 되면 논리식이 A'B+AB' 이렇게 된다고 생각하시는 분들이 계십니다.
부정을 풀면

A'B+AB'이 아니고
(AB')'ㆍ(A'B)'이 됩니다.
이걸 다시 풀면
(A'+B)ㆍ(A+B')이 됩니다.
이걸 어떻게 어떻게(길어서 생략) 하다보면
AB+A'B' 이 나오게 됩니다.


부정을 풀때는 드모르간 정리를 이용하는데 긴 막대를 쪼갠다고 생각하시면 됩니다.
단 쪼갤때 너무 쎄게 막대를 내리치다보니 가운데 딱 있는 부호가 탁 맞고 바뀐다고 생각하심 쉽습니다.

가령
(A+B)'    이걸 드모르간 정리를 하면 A'ㆍB' 이 되며
(AㆍB)' 이걸 드모르간 정리를 하면 A'+B' 이 됩니다.
참고하세요.

아울러 위 문제의 식은 맨 위의 긴바를 제외하면
A'B+AB' 는 A EX-OR B 입니다.
당연히 A EX-OR B 의 반대는 EX-NOR 이 됩니다.

필요하시면 전자문제집 CBT 사이트의 정보처리필기 관련 동영상 강의를 참조하세요.]

53. 전가산기(Full Adder) 입력의 개수와 출력의 개수는?
     가. 입력 2개, 출력 3개
     나. 입력 2개, 출력 4개
     다. 입력 3개, 출력 3개
     라. 입력 3개, 출력 2개

     정답 : []
     정답률 : 59%

54. 좌측 시프트 레지스터를 사용하여 0011의 데이터를 2회 시프트 펄스를 인가하였을 때 출력의 십진수 값은?
     가. 3
     나. 6
     다. 8
     라. 12

     정답 : []
     정답률 : 61%

55. 플립플롭을 4단 연결한 2진 하향 계수기를 리셋시킨 후 첫 번째 클록펄스가 인가되면 나타나는 출력은?
     가. 3
     나. 5
     다. 8
     라. 15

     정답 : []
     정답률 : 34%

56. 불 대수의 결합 법칙은?
     가. A+B = B+A
     나. Aㆍ(B+C) = AㆍB+AㆍC
     다. A+BㆍC = (A+B)(A+C)
     라. A+(B+C) = (A+B)+C

     정답 : []
     정답률 : 49%

57. 출력기의 일부가 입력측에 궤환되어 유발되는 레이스 현상을 없애기 위하여 고안된 플립플롭은?
     가. JK 플립플롭
     나. D 플립플롭
     다. 마스터-슬레이브 플립플롭
     라. RS 플립플롭

     정답 : []
     정답률 : 51%

58. 2진 데이터의 입.출력 또는 연산할 때 일시적으로 데이터를 기억하는 2진 기억소자를 무엇이라 하는가?
     가. RAM
     나. REGISTER
     다. CACHE
     라. ARRAY

     정답 : []
     정답률 : 63%

59. n개의 플립플롭으로 기억할 수 있는 상태의 개수는?
     가. sn
     나. s(n-1)
     다. s(n-2)
     라. n 개

     정답 : []
     정답률 : 46%

60. 조합 논리회로가 아닌 것은?
     가. 가산기와 감산기
     나. 해독기와 부호기
     다. 멀티플렉서와 디멀티플렉서
     라. 동기식 계수기와 비동기식 계수기

     정답 : []
     정답률 : 52%
     <문제 해설>
동기식 계수기와 비동기식 계수기는 조합 논리회로가 아니라 순서 논리회로 입니다
[해설작성자 : 시우야 돌아와..]


정 답 지

1

2

3

4

5

6

7

8

9

10

11

12

13

14

15

16

17

18

19

20

21

22

23

24

25

26

27

28

29

30

31

32

33

34

35

36

37

38

39

40

41

42

43

44

45

46

47

48

49

50

51

52

53

54

55

56

57

58

59

60

전자계산기기능사 필기 기출문제(해설) 및 CBT 2013년04월14일(2회)을 이용해 주셔서 감사합니다.
전자계산기기능사, 기출문제, 기능사, 필기, 기출문제, 전자문제집, CBT, 온라인, 모의테스트, 모의고사



List of Articles
번호 제목 글쓴이 날짜 조회 수
12791 한국사능력검정시험 심화 필기 기출문제(해설) 및 CBT 2011년08월13일(5671) 좋은아빠되기 2025.11.25 0
12790 한국사능력검정시험 심화 필기 기출문제(해설) 및 CBT 2011년05월14일(5670) 좋은아빠되기 2025.11.25 0
12789 한국사능력검정시험 심화 필기 기출문제(해설) 및 CBT 2010년10월23일(5669) 좋은아빠되기 2025.11.25 0
12788 한국사능력검정시험 심화 필기 기출문제(해설) 및 CBT 2010년08월14일(5668) 좋은아빠되기 2025.11.25 0
12787 한국사능력검정시험 심화 필기 기출문제(해설) 및 CBT 2010년05월08일(5667) 좋은아빠되기 2025.11.25 0
12786 한국사능력검정시험 심화 필기 기출문제(해설) 및 CBT 2009년10월24일(5666) 좋은아빠되기 2025.11.25 0
12785 한국사능력검정시험 심화 필기 기출문제(해설) 및 CBT 2009년05월23일(5665) 좋은아빠되기 2025.11.25 0
12784 전자계산기기능사 필기 기출문제(해설) 및 CBT 2016년04월02일(2회)(5664) 좋은아빠되기 2025.11.25 1
12783 전자계산기기능사 필기 기출문제(해설) 및 CBT 2016년01월24일(1회)(5663) 좋은아빠되기 2025.11.25 1
12782 전자계산기기능사 필기 기출문제(해설) 및 CBT 2015년04월04일(2회)(5662) 좋은아빠되기 2025.11.25 0
12781 전자계산기기능사 필기 기출문제(해설) 및 CBT 2015년01월25일(1회)(5661) 좋은아빠되기 2025.11.25 1
12780 전자계산기기능사 필기 기출문제(해설) 및 CBT 2014년10월11일(5회)(5660) 좋은아빠되기 2025.11.25 0
12779 전자계산기기능사 필기 기출문제(해설) 및 CBT 2014년04월06일(2회)(5659) 좋은아빠되기 2025.11.25 1
12778 전자계산기기능사 필기 기출문제(해설) 및 CBT 2014년01월26일(1회)(5658) 좋은아빠되기 2025.11.25 0
12777 전자계산기기능사 필기 기출문제(해설) 및 CBT 2013년10월12일(5회)(5657) 좋은아빠되기 2025.11.25 0
» 전자계산기기능사 필기 기출문제(해설) 및 CBT 2013년04월14일(2회)(5656) 좋은아빠되기 2025.11.25 1
12775 전자계산기기능사 필기 기출문제(해설) 및 CBT 2013년01월27일(1회)(5655) 좋은아빠되기 2025.11.25 0
12774 전자계산기기능사 필기 기출문제(해설) 및 CBT 2012년10월20일(5회)(5654) 좋은아빠되기 2025.11.25 0
12773 전자계산기기능사 필기 기출문제(해설) 및 CBT 2012년04월08일(2회)(5653) 좋은아빠되기 2025.11.25 0
12772 전자계산기기능사 필기 기출문제(해설) 및 CBT 2012년02월12일(1회)(5652) 좋은아빠되기 2025.11.25 0
Board Pagination Prev 1 ... 330 331 332 333 334 335 336 337 338 339 ... 974 Next
/ 974