자격증 필기 기출문제



전기기사 필기 기출문제(해설) 및 CBT 2010년07월25일(6369)

최강 자격증 기출문제 전자문제집 CBT : www.comcbt.com


전자문제집 CBT란?

종이 문제집이 아닌 인터넷으로 문제를 풀고 자동으로 채점하며 모의고사, 오답 노트, 해설까지 제공하는
무료 기출문제 학습 프로그램으로 실제 상설검정에서 사용하는 OMR 형식의 CBT를 제공합니다.


최신 전기기사 필기 기출문제 : [다운로드]

1과목 : 전기자기학


1. 길이 1m, 단면적 15[cm2]인 무단 솔레노이드에 0.01[Wb]의 자속을 통하는데 필요한 기자력은? (단, 철심의 비투자율을 1000이라 한다.)
     1. 103/(6π)[AT]
     2. 107/(6π)[AT]
     3. 106/(6π)[AT]
     4. 105/(6π)[AT]

     정답 : []
     정답률 : 53%
     <문제 해설>
자속=usNI/l
0.01=4π*10^-7*15*10^-4*1000*NI / 1
NI=0.01/4π*10^-7*15*10^-4*1000*NI = 5305.16....
[해설작성자 : 단위틀림]

자속)φ[wb] = μ * S * NI / ℓ ▶ 기자력)NI[AT] = ℓ * φ/ μ * S ▶ 1 * 0.01 / 4π * 10^-7 * 1000 * 15 * 10^-4 = 5305.164 = 10^5 / 6π[AT]
[해설작성자 : 따고싶다 or 어디든 빌런]

2. 정현파 자속의 주파수를 2배로 높이면 유기 기전력은?
     1. 변하지 않는다.
     2. 2배로 증가한다.
     3. 4배로 증가한다.
     4. 1/2이 된다.

     정답 : []
     정답률 : 74%
     <문제 해설>
기전력과 자속은 비례한다

3. 내도체의 반지름이 1/(4πε)[㎝], 외도체의 반지름이 1/(πε)[㎝]인 동심구 사이를 유전율이 ε[F/m]인 매질로 채웠을 때 도체 사이의 정전 용량은?
     1. 1/2[F]
     2. 10-2[F]
     3. 3/4[F]
     4. (4/3)×10-2[F]

     정답 : []
     정답률 : 56%
     <문제 해설>
동심구도체 정전용량 : { 4*pi*epsilon0*(반지름 큰 거)*(반지름 작은 거) } / (반지름 큰 거 - 반지름 작은 거)
[해설작성자 : 해설다써줘용]

내도체:a 외도체:b 일때
동심구에서 정전용량 : 4*파이*입실론*a*b/b-a 공식에 대입해서 계산
[해설작성자 : 이직한드아!]

C = 4*π*ε*a*b / b-a ▶ 4*π*ε*[1/4πε * 1/(πε)] / [(1/πε - 1/4πε)] ▶ [4*π*ε*(1/4π^2ε^2) / (3/4πε)] ▶
[(1/πε) / (3/4πε)] ▶ 4πε/3πε▶ (4/3) * 10^-2 [cm -> M로 변경 / 계산식에서는 10^-2를 제외하고 계산]
[해설작성자 : 따고싶다 or 어디든 빌런]

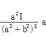
4. 반지름 a[m]인 2개의 원형 선조 루프가 ±Z축 상에 그림과 같이 놓여진 경우 I[A]의 전류가 흐를 때, 원형 전류 중심축상의 자계 Hz [A/m]는? (단, az, aø는 단위벡터이다.)

   

     1.
     2.
     3.
     4.

     정답 : []
     정답률 : 45%
     <문제 해설>
다수의 오류 긴고로 인하여 정답을 3번에서 1번으로 수정하였습니다.
여러분들의 많은 의견 부탁 드립니다.

원형 전류 중심축상의 자위 u는
u = (I/4π)ω = (I/2)(1-z/√(a^2+x^2))[AT]이고
자계의 세기 H1z는
H1z = -(∂u/∂z)az = (a^2I/2(a^2+z^2)^3/2)az가 된다.
Hz = 2Hz = [a^2I/(a^2+z^2)^3/2]az[A/m]
[해설작성자 : Jacky]

5. 지구 중심방향으로 향하는 300[V/m]의 전계가 지표면에 있다면 그 표면의 전하 밀도는? (단, 지구는 도체로 본다.)
     1. 2.66×10-9[c/m2]
     2. -2.66×10-9[c/m2]
     3. 1.33×10-9[c/m2]
     4. -1.33×10-9[c/m2]

     정답 : []
     정답률 : 54%
     <문제 해설>
D=입실론×전계
지구중심으로 향하는 방향(-)
[해설작성자 : 박태]

-D = ε * E ▶ 8.855 * 10^-12 * 300 = -2.6565 * 10^-9
※ 지구중심으로 향하는 방향(-)
[해설작성자 : 따고싶다 or 어디든 빌런]

6. 서로 같은 두개의 구 도체에 동일양의 전하를 대전 시킨 후 20[㎝] 떨어뜨린 결과 구 도체에 서로 6×10-4[N]의 반발력이 작용한다. 구 도체에 주어진 전하는?
     1. 약 5.2×10-8[C]
     2. 약 6.2×10-8[C]
     3. 약 7.2×10-8[C]
     4. 약 8.2×10-8[C]

     정답 : []
     정답률 : 52%
     <문제 해설>
F=Q1*Q2 / 4πεr2

F=Q^2/4πεr^2
-> Q = √4πεr^2F
         = √4π * 8.85 * 10^-12 * 0.2^2 * 6 * 10^-4
         = 5.2 * 10^-8
[해설작성자 : 다들 건승]

F = Q^2 / 4π * ε * r^2 ▶ 9 * 10^9 * ( Q^2 / r^2 ) ▶ Q^2 = F * r^2 / 9 * 10^9 ▶ Q = 루트( F * r^2 / 9 * 10^9 ) ▶
( 6 * 10^-4 * 0.2^2 / 9 * 10^9 ) = 5.163977 * 10^-8[C]
[해설작성자 : 따고싶다 or 어디든 빌런]

7. 자유 공간을 진행하는 전자기파의 전계와 자계의 위상차는?
     1. 전계가 π/2빠르다.
     2. 자계가 π/2빠르다.
     3. 위상이 같다.
     4. 전계가 π빠르다.

     정답 : []
     정답률 : 68%

8. 자성체 내에서 임의의 방향으로 배열되었던 자구가 외부 자장의 힘이 일정치 이상이 되면 순간적으로 회전하여 자장의 방향으로 배열되기 때문에 자속 밀도가 증가하는 현상은?
     1. 자기여효(magnetic aftereffect)
     2. 바크하우젠(Bark hausen) 효과
     3. 자기왜현상(magneto-striction effect)
     4. 핀치효과(Pinch effect)

     정답 : []
     정답률 : 72%

9. 순수한 물 (ℇs=80, μs=1)중에 있어서의 고유 임피던스는?
     1. 약 38.2[Ω]
     2. 약 42.2[Ω]
     3. 약 46.2[Ω]
     4. 약 50.2[Ω]

     정답 : []
     정답률 : 76%
     <문제 해설>
고유임피던스 = 120*pi*(루트(u s/epsilon s))
[해설작성자 : 답적어줄겡]

고유 임피던스)Z = 루트( μ0 / ε0 ) * 루트( μs / εs ) ▶ 120π * 루트( μs / εs ) ▶ 377 * 루트( μs / εs ) ▶
377 * 루트( 1 / 80 ) = 42.14988[Ω]
[해설작성자 : 따고싶다 or 어디든 빌런]

10. 평균길이 1[m], 권수 1000회의 솔레노이드 코일에 비투자율 1000의 철심을 넣고 자속밀도 1[Wb/m2]를 얻기 위해 코일에 흘려야 할 전류는?
     1. 0.4[A]
     2. 0.6[A]
     3. 0.8[A]
     4. 1.0[A]

     정답 : []
     정답률 : 57%
     <문제 해설>
B=μH=μμH
H=NI/l
∴I=Bl/μμN=1*1/4*3.14*10^-7*1000*1000=0.8A
[해설작성자 : 왕배]

B=μμH ->H=B/μμ=795.8...(1)
H=Ni/L (L=평균길이)....(2)
(2)에 (1)대입하면,
795.8=(1000*i)/1
=>>i=(795.8*1)/1000=0.796
[해설작성자 : 스피드웨건]

B[Wb/m^2] = μs * μ0 * H ▶ μs * μ0 * N * I / ℓ ▶ I[A] = ℓ * B / μs * μ0 * N ▶ 1 * 1 / 1000 * 4π * 10^-7 * 1000 = 0.79577[A]
[해설작성자 : 따고싶다 or 어디든 빌런]

11. z방향으로 진행하는 평면파에 대한 설명으로 잘못된 것은?
     1. z성분이 0이다.
     2. x의 미분 계수가 0이다.
     3. y의 미분 계수가 0이다.
     4. z의 미분 계수가 0이다.

     정답 : []
     정답률 : 63%
     <문제 해설>
Z방향으로 진행하는 평면파
- z 성분이 0이다
- x,y의 미분계수가 0이다.
[해설작성자 : 뮬란]

Z방향으로 진행한다는 말은 Z방향 속도 성분(미분계수)이 있어야 한다는 말씀
[해설작성자 : comcbt.com 이용자]

12. 길이 8m의 도선으로 정사각형을 만들고 직류 π[A]를 흘렸을 때, 그 중심에서의 자계의 세기는?
     1. √2/2[A/m]
     2. √2[A/m]
     3. 2√2[A/m]
     4. 4√2[A/m]

     정답 : []
     정답률 : 56%
     <문제 해설>
8m로 사각형을 만들면 한 변의 길이는 2m입니다.
사각형의 중심자계공식인 2√2 * i/πl 공식에 대입하면 중심자계값이 √2가 나옵니다.
[해설작성자 : comcbt.com 이용자]

정사각형 자계) H[A/m] = 2 * 루트(2) * I / π * ℓ ▶ 2 * 루트(2) * π / π * 2 = 루트(2)
ℓ = 2(한변의길이)
[해설작성자 : 따고싶다 or 어디든 빌런]

13. 진공 중에 선간거리 1[m]의 평행왕복 도선이 있다. 두 선간에 작용하는 힘이 4×10-7[N/m]이었다면 전선에 흐르는 전류는?(오류 신고가 접수된 문제입니다. 반드시 정답과 해설을 확인하시기 바랍니다.)
     1. 1[A]
     2. √2[A]
     3. √3[A]
     4. 2[A]

     정답 : []
     정답률 : 61%
     <문제 해설>
F = 2 * I^2 * 10^-7 / ℓ ▶ I^2 = F * ℓ / 2 * 10^-7 ▶ I = 루트( F * ℓ / 2 * 10^-7 ) ▶ 루트( 4 * 10^-7 * 1 / 2 * 10^-7 ) = 루트(2)[A]
[해설작성자 : 따고싶다 or 어디든 빌런]

14. 자기회로에 대한 설명으로 틀린 것은?
     1. 전기회로의 정전용량에 해당되는 것은 없다.
     2. 자기 저항에는 전기저항의 줄손실에 해당되는 손실이 있다
     3. 기자력과 자속은 변화가 비직선성을 갖고 있다.
     4. 누설자속은 전기회로의 누설전류에 비하여 대체로 많다.

     정답 : []
     정답률 : 56%
     <문제 해설>
자기 회로에서는 자속이 흐르므로 자속에 의한 동손은 발생하지 않고 철손이 생깁니다
[해설작성자 : ㅇㅇ]

15. 최대 정전용량 C0[F]인 그림과 같은 콘덴서의 정전용량이 각도에 비례하여 변화한다고 한다. 이 콘덴서를 전압 V[V]로 충전했을 때, 회전자에 작용하는 토크는?

    

     1.
     2.
     3.
     4.

     정답 : []
     정답률 : 67%

16. 두 유전체의 경계면에서 정전계가 만족하는 것은?
     1. 전속은 유전율이 작은 유전체로 모인다.
     2. 두 경계면에서의 전위는 서로 같다.
     3. 전속밀도는 접선성분이 서로 같다.
     4. 전계는 법선성분이 같다.

     정답 : []
     정답률 : 60%
     <문제 해설>
유전체의 경계면에서 정전계가 만족하는 조건 = 완전 경계조건
- 두 점간의 전위차가 같다
- 전계의 접선성분이 같다
- 전속밀도의 법선성분이 같다
[해설작성자 : 뮬란]

17. 다음 설명 중 잘못된 것은?
     1. 저항률의 역수는 전도율이다.
     2. 도체의 저항률은 온도가 올라가면 그 값이 증가한다.
     3. 저항의 역수는 컨덕턴스이고, 그 단위는 지멘스[S]를 사용한다.
     4. 도체의 저항은 단면적에 비례한다.

     정답 : []
     정답률 : 68%
     <문제 해설>
R = l/σS
σ = RS/l
G = 1/R
ρ = σ
[해설작성자 : ㅅㅅㅅ]

18. 다음 중 비투자율이 가장 큰 것은?
     1.
     2.
     3. 구리
     4. 니켈

     정답 : []
     정답률 : 68%
     <문제 해설>
비투자율이 가장 큰 것은 강자성체 강자성체의 대표적인 예는 철니코
[해설작성자 : 리륜]

19. 극판의 면적이 4[cm2], 정전 용량이 10pF 인 종이 콘덴서를 만들려고 한다. 비유전율 2.5, 두께 0.01mm의 종이를 사용하면 약 몇 장을 겹쳐야 되겠는가?
     1. 89장
     2. 100장
     3. 885장
     4. 8850장

     정답 : []
     정답률 : 54%
     <문제 해설>
d= εoεsS/C = (8.855*10^-12*2.5*4*10^-4)/10*10^-12 = 0.886[mm]
N = 0.886/0.01 = 89장
[해설작성자 : comcbt.com 이용자]

높이(h)가 정해진 어떠한 공간에 책을 쌓는다고 생각해봅시다.
그러기 위해서는 어떠한 공간의 높이를 알아야 됩니다.
정전용량 10[PF]인 종이 콘덴서가 어떠한 공간이니 C=εoεs(S/h)에서 어떠한 공간의 높이 h를 구합니다.
이제 그 높이만큼 두께 0.01[mm]의 책을 쌓으면 됩니다. 나눈다는 의미는 분모를 단위 즉,1로 본다는 뜻이죠.
공식 암기 X!!!!! 물리적 현상을 이해하자.
[해설작성자 : 로니콜먼]

종이 콘덴서 1개의 정전용량 = (입실론x면적)/극판간격 공식에서 8.85x10^-10
n개의 직렬연결 용량은 = (8.85x10^-10)/n
이 값이 10PF과 같으므로 n = (8.85x10^-10)/10X10^-12 = 89장
[해설작성자 : comcbt.com 이용자]

C[pF] = ε0 * εs * S / d ▶ d[mm] = ε0 * εs * S / C ▶ 8.855 * 10^-12 * 2.5 * 4*10^-4 / 10 * 10^-12 = 8.855 * 10^-4 ▶ 0.886[mm]
N[장] = 0.886 / 0.01 = 88.6[장]    
[해설작성자 : 따고싶다 or 어디든 빌런]

20. 저항 20[Ω]인 동선과 저항 90[Ω]인 망간선을 직렬로 접속한 경우 회로의 합성 온도 계수는? (단, 동선의 온도계수 α1=0.00427이고, 망간선의 온도계수 α2≒0이다.)
     1. 약 5×10-4[1/℃]
     2. 약 6×10-4[1/℃]
     3. 약 8×10-4[1/℃]
     4. 약 9×10-4[1/℃]

     정답 : []
     정답률 : 55%
     <문제 해설>
합성 온도 계수
a1r1+a2r2 / r1+r2
[해설작성자 : RHOS]

합성 온도 계수 ▶ a1r1+a2r2 / r1+r2 ▶ (0.00427 * 20) + (0 * 90) / 20 + 90 = 7.7636 * 10^-4
[해설작성자 : 따고싶다 or 어디든 빌런]

2과목 : 전력공학


21. 송전선로에서 역섬락을 방지하는데 가장 유효한 방법은?
     1. 가공지선을 설치한다.
     2. 소호각을 설치한다.
     3. 탑각 접지저항을 작게 한다.
     4. 피뢰기를 설치한다.

     정답 : []
     정답률 : 69%
     <문제 해설>
가공지선 - 뇌의 차폐, 전자 유도 장해
피뢰기 - 기기의 보호(변압기), 일정 전압 이상이 되면 방전됨
매설지선 - 역섬락 방지
[해설작성자 : 김김]

소호각 설치 -낙뢰로부터 애자의 애자련보호
[해설작성자 : 이직가자!]

22. 전력계통에서 인터록(inter lock)의 설명으로 알맞은 것은?
     1. 부하통전 시 단로기를 열 수 있다.
     2. 차단기가 열려 있어야 단로기를 닫을 수 있다.
     3. 차단기가 닫혀 있어야 단로기를 열 수 있다.
     4. 차단기의 접점과 단로기의 접점이 기계적으로 연결되어 있다.

     정답 : []
     정답률 : 78%

23. 다음 중 보호 계전 방식이 그 역할을 다하기 위하여 요구 되어지는 구비 조건과 거리가 먼 것은?
     1. 고장 회선 내지 고장 구간의 차단을 신속 정확하게 할 수 있을 것
     2. 과도 안정도를 유지하는데 필요한 한도 내의 작동 시한을 가질 것
     3. 적절한 후비 보호 능력이 있을 것
     4. 고장 파급 범위를 최대로 하기 위한 재폐로를 실시할 것

     정답 : []
     정답률 : 74%
     <문제 해설>
고장 파급 범위를 최소로 하기위해 재폐로 차단방식을 실시함
[해설작성자 : 주장비정비반]

24. 정격 전압 154[kV], 1선의 유도 리액턴스가 20[Ω]인 3상 3선식 송전선로에서 154[kV], 100[MVA]기준으로 환산한 이 선로의 % 리액턴스는?
     1. 약 1.4[%]
     2. 약 2.2[%]
     3. 약 4.2[%]
     4. 약 8.4[%]

     정답 : []
     정답률 : 66%
     <문제 해설>
%X = Pa*Z / 10V^2
     = (100*10^3 * 20) / (10 * 154^2) = 8.43
[해설작성자 : BUMSANG]

25. 다음 송전선로의 전기 방식 중 전선의 중량(전선비용)이 가장 적게 소요되는 방식은? (단, 송전전압, 송전거리, 송전전력 및 선로 손실은 같다.)
     1. 단상 2선식
     2. 단상 3선식
     3. 3상 3선식
     4. 3상 4선식

     정답 : []
     정답률 : 65%
     <문제 해설>
단상 2선식이 1 이라 하면, 다른 전기 방식들은
단상 3선식은 3/8배 = 37.5%
3상 3선식은 3/4배 = 75%
3상 4선식은 1/3배 = 33.3%
-> 3상 4선식 < 단상 3선식 < 3상 3선식 < 단상 2선식 @_@
[해설작성자 : 블루아카이브 아리스]

26. 전력 퓨즈에 대한 설명 중 틀린 것은?
     1. 차단용량이 크다.
     2. 보수가 간단하다.
     3. 정전 용량이 크다.
     4. 가격이 저렴하다.

     정답 : []
     정답률 : 68%
     <문제 해설>
정전 용량이 작아야된다
[해설작성자 : 합격기원]

27. 화력발전소에서 열사이클의 효율 향상을 기하기 위한 방법이 아닌 것은?
     1. 고압, 고온증기의 채용과 과열기의 설치
     2. 절탄기, 공기예열기의 설치
     3. 재생, 재열사이클의 채용
     4. 조속기의 설치

     정답 : []
     정답률 : 74%
     <문제 해설>
조속기는 속도 조절하는 놈입니다.
보통 동기기에서 난조 발생 방지 대책으로 쓰입니다.
[해설작성자 : 로니콜먼]

28. 전력계통에서 전력용 콘덴서와 직렬로 연결하는 리액터로 제거되는 고조파는?
     1. 제2고조파
     2. 제3고조파
     3. 제4고조파
     4. 제5고조파

     정답 : []
     정답률 : 71%

29. 원자력 발전소에서 원자로의 냉각재가 갖추어야 할 조건으로 잘못된 것은?
     1. 중성자의 흡수 단면적이 클 것
     2. 유도 방사능이 적을 것
     3. 비열이 클 것
     4. 열전도율이 클 것

     정답 : []
     정답률 : 58%
     <문제 해설>
중성자 흡수 단면적이 작아야 함

30. 저압 뱅킹배전방식에서 캐스케이딩 현상이란?
     1. 변압기의 부하 배분이 불균일한 현상
     2. 저압선의 고장에 의하여 건전한 변압기의 일부 또는 전부가 차단되는 현상
     3. 전압 동요가 적은 현상
     4. 저압선이나 변압기에 고장이 생기면 자동적으로 고장이 제거되는 현상

     정답 : []
     정답률 : 77%

31. 전력계통의 주회로에 사용되는 것으로 고장 전류와 같은 대전류를 차단할 수 있는 것은?
     1. 선로 개폐기(LS)
     2. 단로기(DS)
     3. 차단기(CB)
     4. 유입개폐기(OS)

     정답 : []
     정답률 : 75%

32. 최근 송전 계통에 단권변압기가 사용되고 있다. 그 특성과 관계가 없는 것은?
     1. 누설 임피던스가 커 단락 전류가 작다.
     2. 1차측 이상전압이 2차측에 영향을 미친다.
     3. 충량이 가볍다.
     4. 전압 변동률이 작다.

     정답 : []
     정답률 : 51%
     <문제 해설>
단권변압기의 특징
- 철량과 동량이 절약되고 손실이 적고 효율이 좋다
- 1차와 2차의 절연이 어렵고, 단락 전류가 크다
- 전압 변동율이 적고 누설 리액터가 적다
[해설작성자 : 나그네]

단권 변압기는 동량이 절약됩니다. 즉, 그만큼 임피던스도 작아집니다. 임피던스가 작으면 작을 수록 전류의 값은 커집니다. 그러므로, 단락전류가 커집니다.
[해설작성자 : 로니콜먼]

33. 저압 배전선의 배전 방식 중 배전 설비가 단순하고, 공급 능력이 최대인 경제적 배분 방식이며, 국내에서 220/380[V] 승압 방식으로 채택된 방식은?
     1. 단상 2선식
     2. 단상 3선식
     3. 3상 4선식
     4. 3상 3선식

     정답 : []
     정답률 : 69%
     <문제 해설>
우리나라는
송전 : 3상 3선식
배전 3상 4선식
[해설작성자 : ㄱㅂㅎ]

34. 154[kV], 60[Hz], 길이 50[km]인 3상 송전선로에서 Cs=0.004[μF/㎞], Cm=0.0012[μF/㎞]일 때, 1선에 흐르는 충전전류 [A]는?
     1. 약 0.25
     2. 약 8.71
     3. 약 9.66
     4. 약 12.73

     정답 : []
     정답률 : 55%
     <문제 해설>
대지정전용량Cs
선간정전용량Cm
50km라는 조건이 주어 줬으니 용량마다 50을 곱해야 같은 uF/km가 된다.
그리고 3상이라는 조건이 있으니 C=Cs+3Cm을 해야함.
(uF/km 생략) 따라서 C=0.004×50+0.0012×3×50=6980.5[ohm]
1상의 전류를 구하는 거니 선간전압 154kv에서 1/루트3을 하고 옴의 법칙 쓰면 답나옵니다.
154×10^3 / 6980.5 ×루트3
[해설작성자 : 기능사 산업기사 기사 트리플 크라운 가즈아~~~~]

2π * 60 * 50 *(0.004 + (3*0.0012) * 10^-6 * 154*10^3/ 루트(3) = 12.737
[해설작성자 : comcbt.com 이용자]

대지정전용량 Cs
선간정전용량 Cm
3상 작용정전용량 Cn=Cs+3Cm
충전전류 Ic = E/Xc = jwcE
2파이f * Cn *10^-6*거리 50* (154000/루트3)= 12.73 입니다
[해설작성자 : comcbt.com 이용자]

대지정전용량 Cs, 선간정전용량 Cm , 3상 작용정전용량)C[μF] = Cs + 3Cm ▶ 0.004 + ( 3 * 0.0012 ) = 0.0076[μF]
충전전류)I[A] = 2π * f * C * ℓ * ( V / √3 ) ▶ 2π * 60 * 0.0076 * 10^-6 * 50 * ( 154 * 10^3 / √3 ) = 12.7372[A]
[해설작성자 : 따고싶다 or 어디든 빌런]

35. 수압관 안의 한 점에서 흐르는 물의 압력을 측정한 결과 9[㎏/cm2]이고, 유속을 측정한 결과 49[m/s]이었다. 그 점에서의 압력 수두는?
     1. 30[m]
     2. 50[m]
     3. 70[m]
     4. 90[m]

     정답 : []
     정답률 : 36%
     <문제 해설>
베르누이 방정식에서 압력수두는 H= P/p (질량압력 P[kg/m^2], 밀도 p[kg/m^3])
물의 밀도 p=1000[kg/m^3], 물의 압력 P=9[kg/cm^2]=90000[kg/m^2]

==> H = P/p = 90000/1000 = 90[m]

[추가 해설]
유체역학을 약간 공부해야 되는 내용이 전기기사 전력공학에 나오다니.. 좀 이해가 되진 않지만.

압력수두. 수두는 물의 높이를 말합니다. 그럼 압력수두는 물이 누르는 압력에 대한 높이.. 쯤으로 받아들이시면됩니다.
압력이 주어지면 압력수두는 환산하면 금방구할수 있습니다. 유속 49m/s는 헷갈리라고 넣어놨네요.
1.0332[㎏/cm2] = 10.332m와 같습니다. 그럼 수두를 구해보면..

9[㎏/cm2]
---------            * 10.332m = 90m 가 됩니다.
1.0332[㎏/cm2]
[해설작성자 : 마이클신]

36. 그림과 같은 배전선이 있다. 급전점 O의 전압을 110V라 하면 C점의 전압은? (단, OA, AB, BC간의 저항은 각각 0.2[Ω]이며, 부하 역률은 100%이다.)

    

     1. 92[V]
     2. 97[V]
     3. 99[V]
     4. 104[V]

     정답 : []
     정답률 : 54%
     <문제 해설>
각 구간의 R값을 주어줬으니 각구간의 I값을 구하면 BC=10[A], AB=10+15=25[A], OA=25+5=30[A]
따라서 V=110-((30*0.2)+(25*0.2)+(10*0.2))=97[V]
[해설작성자 : 이직가자!]

110-0.2*(5+15+10)=104
104-0.2*(15+10)=99
99-0.2*(10)=97

37. 유효접지 계통에서 피뢰기의 정격전압을 결정하는데 가장 중요한 요소는?
     1. 선로 애자련의 충격 섬락 전압
     2. 내부 이상전압 중 과도이상전압의 크기
     3. 유도뢰의 전압의 크기
     4. 1선 지락 고장 시 건전상의 대지 전위 즉, 지속성 이상전압

     정답 : []
     정답률 : 59%

38. 직류 송전방식에 대한 설명으로 틀린 것은?
     1. 직류 방식은 선로 전압이 교류 전압의 최곳값보다 낮아 절연 계급이 낮아진다.
     2. 직류 방식은 교류 방식의 표피효과가 없어 송전 효율은 떨어진다.
     3. 직류 방식은 리액턴스나 위상각을 고려할 필요가 없어서 안정도가 좋다.
     4. 장거리 송전의 경우에는 교류방식보다 직류 방식이 유리하다.

     정답 : []
     정답률 : 59%

39. 변압기의 내부 고장 보호용으로 사용되는 계전기는?
     1. 비율차동 계전기
     2. 방향 계전기
     3. 과전압 계전기
     4. 거리 계전기

     정답 : []
     정답률 : 78%

40. 다음 중 송전선의 코로나손과 가장 관계가 깊은 것은?
     1. 상대공기 밀도
     2. 송전선의 정전용량
     3. 송전거리
     4. 송전선의 전압 변동률

     정답 : []
     정답률 : 60%
     <문제 해설>
선간거리, 상대공기밀도, 전선의 대지전압 등등 영향을 준다

3과목 : 전기기기


41. 병렬 운전을 하고 있는 동기 발전기에서 난조를 일으키는 원인이 아닌 것은?
     1. 부하가 갑자기 크게 변하는 경우
     2. 원동기의 토크에 고조파 토크를 포함하는 경우
     3. 원동기의 조속기 감도가 지나치게 민감한 경우
     4. 전기자 회로의 저항이 상당히 작은 값인 경우

     정답 : []
     정답률 : 63%
     <문제 해설>
난조를 일으키는 원인
1. 부하가 갑자기 크게 변하는 경우.
2. 원동기의 토크에 고조파 토크를 포함하는 경우.
3. 원동기의 조속기 감도가 지나치게 민감한 경우.
4. 전기자 회로의 저항이 상당히 큰 값인 경우
[해설작성자 : Jacky]

42. 3상 직권 정류자 전동기에서 중간 변압기를 사용하는 주된 이유가 아닌 것은?
     1. 고정자 권선과 병렬로 접속해서 사용하며 동기속도 이상에서 역률을 100[%]로 할 수 있다.
     2. 전원전압의 크기에 관계없이 회전자 전압을 정류작용에 알맞은 값으로 선정할 수 있다.
     3. 중간 변압기의 권수비를 바꾸어 전동기 특성을 조정할 수 있다.
     4. 중간 변압기의 철심을 포화하면 경부하시 속도 상승을 억제할 수 있다.

     정답 : []
     정답률 : 52%
     <문제 해설>
고정자 권선과 직렬로 접속한다.
[해설작성자 : 직권전동기]

43. 변압기의 임피던스 전압은?
     1. 정격 전류가 흐를 때 2차측 전압
     2. 정격 전류가 흐를 때 변압기 내의 전압강하
     3. 여자 전류가 흐를 때의 2차측 전압
     4. 여자 전류가 흐를 때의 1차측 전압

     정답 : []
     정답률 : 69%
     <문제 해설>
임피던스 전압이나 임피던스 와트는 회로 내의 임피던스에 의한 것들임
구하는 방법은 부하를 단락시키고 1차 전압을 고정 했을 때 1차에 흐르는 전류를 통해 계산
[해설작성자 : 홀홀홀]

44. 20[HP],4극, 60[Hz]의 3상 유도전동기가 있다. 전부하 슬립이 4[%]일 때 전부하시의 토크는?(단, 1[HP]=746[W]이다)
     1. 약 11.41[㎏·m]
     2. 약 10.41[㎏·m]
     3. 약 9.41[㎏·m]
     4. 약 8.41[㎏·m]

     정답 : []
     정답률 : 57%
     <문제 해설>
Ns=120f/p = 1800(rpm)
N=(1-s)Ns = 1728(rpm)
T=0.975P/N = 0.975*20*746/1728 = 약 8.4
[해설작성자 : comcbt.com 이용자]

τ[㎏·m] = 0.975 * P / N ▶ 0.975 * 14920 / 1728 = 8.4184[㎏·m]
P[W] = 20 * 746 = 14920[W]
N[rpm] = ( 1 - s ) * 120 * f / p ▶ ( 1 - 0.04 ) * 120 * 60 / 4 = 1728[rpm]
[해설작성자 : 따고싶다 or 어디든 빌런]

45. 1[MVA], 3300[V], 동기 임피던스 6[Ω] 2대의 3상 교류발전기를 병렬운전 중 한 발전기의 계자를 강화해서 두 유도기전력(상전압) 사이에 210[V]의 전압차가 생기게 했을 때 두 발전기 사이에 흐르는 무효횡류[A]는?
     1. 17.5
     2. 20
     3. 15.5
     4. 14

     정답 : []
     정답률 : 47%
     <문제 해설>
1) 발전기 전압 : 3,300 + 210 = 3,510[V]
2) 동기임피던스(6옴) : 2대 * 6옴 = 12옴
3) 무효횡류 : (3,510-3,300) / 12 = 17.5[A]    

46. 변압기 내부의 백분율 저항강하와 백분율 리액턴스강하는 각각 3%, 4%이다. 부하의 역률이 지상 60%일 때 변압기의 전압변동율은?
     1. 2.8%
     2. 4%
     3. 5%
     4. 7.4%

     정답 : []
     정답률 : 69%
     <문제 해설>
전압변동율 ε= pcosθ+qsinθ = 3*0.6 + 4*0.8 = 5[%]

47. 두 개의 동기 발전기가 병렬운전하고 있다. 그림과 같이 동기 검정기가 접속되었을 때, 상회전 방향이 일치되어 있다면?

    

     1. L1, L2, L3 모두 어둡다.
     2. L1, L2, L3 모두 밝다.
     3. L1, L2, L3 순서대로 점멸한다.
     4. L1, L2, L3 모두 점등되지 않는다.

     정답 : []
     정답률 : 53%
     <문제 해설>
동기검정기 동작(상회전 방향 확인)
- 상회전 방향이 일치: L1, L2, L3 모두 소등
- 상회전 방향이 불일치: L1, L2, L3의 순서대로 점등
[해설작성자 : 공기업준비생]

48. 권선형 유도 전동기 저항 제어법의 단점 중 틀린 것은?
     1. 운전 효율이 낮다.
     2. 부하에 대한 속도 변동률이 작다.
     3. 제어용 저항기는 가격이 비싸다.
     4. 부하가 적을 때는 광범위한 속도 조정이 곤란하다.

     정답 : []
     정답률 : 47%
     <문제 해설>
권선형 유도 전동기 저항 제어법
장점
1. 기동용 저항기를 겸한다.
2. 구조가 간단하여 제어 조작이 용이하고 내구성이 풍부하다.
단점
1. 운전 효율이 낮다.
2. 부하에 대한 속도 변동률이 크다.
3. 부하가 적을 때는 광범위한 속도 조정이 곤란하다.
4. 가격이 비싸다.
[해설작성자 : Jacky]

49. 직류기의 권선을 단중 파권으로 감으면?
     1. 내부 병렬회로수가 극수만큼 생긴다.
     2. 균압환을 연결해야 한다.
     3. 저압 대전류용 권선이다.
     4. 전기자 병렬 회로수가 극수에 관계없이 언제나 2이다.

     정답 : []
     정답률 : 73%
     <문제 해설>
파권 a=2
중권 a=p
단권은 변압기.

50. 10[HP], 4극, 60[hz] 3상 유도전동기의 전전압 기동 토크가 전부하 토크의 1/3일 때, 탭 전압이 1/√3인 기동 보상기로 기동하면 그 기동 토크는 저부하 토크의 몇 배가 되겠는가?
     1. √3
     2. 1/3
     3. 1/9
     4. 2

     정답 : []
     정답률 : 46%
     <문제 해설>
토크는 전압의 제곱에 비례합니다.
1/3일때, 주의하시길
[해설작성자 : 로니콜먼]

51. 단상 전파 정류회로에서 저항 부하시 맥동률은 약 얼마인가?
     1. 17[%]
     2. 48[%]
     3. 52[%]
     4. 83[%]

     정답 : []
     정답률 : 57%
     <문제 해설>
단상반파 : 121%
단상전파 : 48%
3상반파 : 17%
3상전파 : 4%

52. 분권 직류전동기에서 부하의 변동이 심할 때, 광범위하고 안정되게 속도를 제어하는 가장 적당한 방식은?
     1. 계자제어 방식
     2. 저항제어 방식
     3. 워드 레오너드 방식
     4. 일그너 방식

     정답 : []
     정답률 : 45%
     <문제 해설>
직류 분권 전동기 속도 제어법
- 계자 제어법: 정출력 제어 / 속도 제어 범위가 좁다
- 전압 제어법: 워드 레오나드 방식 / 제어 범위가 넓다, 손실이 적다, 정역운전 가능, 설비비가 높다
                                일그너 방식
- 직렬 저항법 / 효율이 나쁘다

일그너 방식
- 부하가 급변해도 전원에서 공급되는 전력의 변동이 적다
[해설작성자 : ㅅㅅㅅ]

53. 극수가 24일 때, 전기각 180º에 해당되는 기계각은?
     1. 7.5º
     2. 15º
     3. 22.5º
     4. 30º

     정답 : []
     정답률 : 67%
     <문제 해설>
기계각 = 전기각 * (2 / 극수)
전기각이 180도일 때, 기계각 = 180 * ( 2 / 24 ) = 180 * (1 / 12) = 15도
[해설작성자 : 해설작성자]

아래와 같은 오류 신고가 있었습니다.
여러분들의 많은 의견 부탁 드립니다.
추후 여러분들의 의견을 반영하여 정답을 수정하도록 하겠습니다.
참고로 정답 변경은 오류 신고 5회 이상일 경우 수정합니다.

[오류 신고 내용]
기계각 = 전기각 * (극수 / 2)
[해설작성자 : 하나]

[오류신고 반론]
기계각 = 전기각 * (2 / 극수) 가 맞습니다
전기각 = 기계각 * (극수 / 2) 이구요
[해설작성자 : 덩구]

54. 단상 유도전동기에서 2전 동기설(two motor theory)에 관한 설명 중 틀린 것은?
     1. 시계방향 회전자계와 반시계방향 회전자계가 두개 있다.
     2. 1차 권선에는 교번자계가 발생한다.
     3. 2차 권선 중에는 sf1과 (2-s)f1 주파수가 존재한다.
     4. 기동 시 토크는 정격토크의 1/2이 된다.

     정답 : []
     정답률 : 38%
     <문제 해설>
기동시, 기동토크는 0임
[해설작성자 : ㅇㅁㅇ]

55. 200[V], 60[Hz], 4극, 20[kW]의 3상 유도전동기가 있다. 전부하일 때의 회전수가 1728[rpm]이면 2차 효율[%]은?
     1. 45
     2. 56
     3. 96
     4. 100

     정답 : []
     정답률 : 68%
     <문제 해설>
η2 = P / P2
        = N / Ns
Ns = 120f/p
     = 120 * 60 / 4 = 1800
η2 = 1728 / 1800 * 100
        = 96%
[해설작성자 : ㅅㅅㅅ]

Ns[rpm] = 120 * f / p ▶ 120 * 60 / 4 = 1800[rpm]
s = N / Ns ▶ 1728 / 1800 = 0.96
η = s * 100 ▶ 0.96 * 100 = 96[%]    
[해설작성자 : 따고싶다 or 어디든 빌런]

56. 유입 변압기에 기름을 사용하는 목적이 아닌 것은?
     1. 효율을 좋게 하기 위하여
     2. 절연을 좋게 하기 위하여
     3. 냉각을 좋게 하기 위하여
     4. 열방산을 좋게 하기 위하여

     정답 : []
     정답률 : 53%

57. 동기발전기에서 무부하 정격 전압일 때의 여자전류를 If0, 정격부하 정격전압일 때의 여자전류를 If1, 3상 단락 정격 전류에 대한 여자 전류를 Ifs라 하면 정격 속도에서의 단락비는?
     1. Ifs/If0
     2. If0/Ifs
     3. Ifs/If1
     4. If1/Ifs

     정답 : []
     정답률 : 50%
     <문제 해설>
무부하 정격전류 / 3상 단락 정격 전류

58. 그림과 같은 환류다이오드를 사용하여 전파정류 할 때 출력 전압의 평균값은? (단, α는 점호각이다.)

    

     1.
     2.
     3.
     4.

     정답 : []
     정답률 : 35%

59. 60[Hz]의 변압기에 50[Hz]의 동일 전압을 가했을 때의 자속밀도는 60[Hz]일 때의 몇 배인가?
     1. 6/5
     2. 5/6
     3. (5/6)1.6
     4. (5/6)2

     정답 : []
     정답률 : 56%
     <문제 해설>
변압기 기전력 = 4.44 x 주파수 x 권수 x 자속 입니다.
기전력이 일정할 때 자속과 주파수는 반비례 관계이고 자속은 자속밀도와 비례합니다.
[해설작성자 : 보이즈투맨내한또와주세요]

60. 외분권 차동 복권발전기의 단자전압 V는? (øs : 직권 계자 권선에 의한 자속, øf : 분권 계자의 자속, Ra : 전기자의 저항, Rs : 직권 계자저항, Ia : 전기자의 전류, I[A] :부하전류, n[rps] : 속도, k=PZ/a이며, 자기회로의 포화현상과 전기자 반작용은 무시한다.)
     1. V=K(øf+øs)n-IaRa-IRs[V]
     2. V=K(øf-øs)n-IaRa-IRs[V]
     3. V=K(øf+øs)n-Ia(Ra+Rs)[V]
     4. V=K(øf-øs)n-Ia(Ra+Rs)[V]

     정답 : []
     정답률 : 40%

4과목 : 회로이론 및 제어공학


61. 다음 회로를 신호흐름선도로 나타낸 것은?

    

     1.
     2.
     3.
     4.

     정답 : []
     정답률 : 60%
     <문제 해설>
회로의 등가변환
M(s) = (1/CS)/(R+1/CS) = 1/1+RCS
답에 있는 신호흐름선도를 하나씩 M(S) 전달함수로 변환시켜 봅니다.
[해설작성자 : comcbt.com 이용자]

62. 특성 방정식 Ks3+s2-2s+5=0인 제어계의 안정상태는?
     1. K > 0이면 불안정하다.
     2. K < -2/5이면 안정하다.
     3. K > 2/5이면 안정하다.
     4. K의 값에 관계없이 불안정하다.

     정답 : []
     정답률 : 54%
     <문제 해설>
안정도 판별법 전제조건
- 모든 계수는 부구가 동일할 것
- 모든 계수가 존재할 것
* 특성방정식에 (-)항이 있으므로 K값에 관계없이 불안정하다
[해설작성자 : 나그네]

63. 제어계 중에서 물체의 위치(속도, 가속도), 각도(자세, 방향)등의 기계적인 출력을 목적으로 하는 제어는?
     1. 프로세스 제어
     2. 프로그램 제어
     3. 자동 조정제어
     4. 서보제어

     정답 : []
     정답률 : 63%

64. 그림과 같은 제어계에서 단위 계단 입력 D가 인가될 때 외란 D에 의한 정상편차는?

    

     1. 20
     2. 21
     3. 1/10
     4. 1/21

     정답 : []
     정답률 : 58%
     <문제 해설>
아래와 같은 오류 신고가 있었습니다.
여러분들의 많은 의견 부탁 드립니다.
추후 여러분들의 의견을 반영하여 정답을 수정하도록 하겠습니다.
참고로 정답 변경은 오류 신고 5회 이상일 경우 수정합니다.

[오류 신고 내용]
오류 : D 들어가는게 엔트미디어에서는 -로 돼있어요
[해설작성자 : comcbt.com 이용자]

[오류신고 반론]
C/R=G/(1+G), C/D=1/(1+G)    --->>C=GR/(1+G) + D/(1+G)
E=R - C=R - GR/(1+G) + D/(1+G)
외란 'D에 의한'이므로 R=0----->>E=D/(1+G)
단위계단입력 D에 의한 정상편차 구하면 -1/21 나옴
D가 엔트미디어처럼 -로 되있다면 1/21이 나오긴 함
[해설작성자 : -1/21의 크기만을 취한 걸수도..]

[관리자 입니다.
시험지 사진 원본 확인해 봤는데요
+가 맞습니다.
위 해설자님 닉네임 처럼 크기만 취한것 같네요.
엔트미디어에서는 혼돈을 피하기 위해서 D값 -로 변견한듯 합니다만
저희는 가능한 원본 문제에 충실한것을 원칙으로 하므로
+로 그냥 두도록 하겠습니다.
문제푸실때 참고 부탁 드립니다.]

[오류신고 반론]
C(s) = E(s)G(s) + D(s)
E(s) = R(s) - C(s)
C(s) = G(s)(R(s) - C(s)) + D(s)
=> 외란 D에 의한 전달함수 : R(s) = 0
Md(s) = C(s)/D(s) = 1/(1+G(s))

정상편차 E(s) = R(s) - C(s)
C(s) = G(s)/(1+G(s)) * R(s) + D(s)/(1+G(s))
E(s) = R(s)/(1+G(s)) - D(s)/(1+G(s)) -> R(s) = 0
단위계단입력 D -> D(s) = 1/s    => E(s) = - (s+1) / s(s+21)

정상상태 t->무한대 => 최종값 정리 : lim s->0 sE(s) => - 1/ 21
[해설작성자 : 무직백수]

65. Laplace 변환된 함수 X(s)=1/(s(s+1))에 대한 z변환은?
     1.
     2.
     3.
     4.

     정답 : []
     정답률 : 57%
     <문제 해설>
X(s)    1/s(s+1) = 1/s - 1/(s+1)
L^-1 [X(s)] = x(t) = u(t)-e^-1
Z[x(t)] = z/(z-1) - z/(z-e^-1)
                = [z(z-e^-1)/(z-1)(z-e^-1)]

66. 시스템의 특성이 G(s)=C(s)/U(s)=1/s2과 같을 때 천이행렬은?
     1.
     2.
     3.
     4.

     정답 : []
     정답률 : 57%
     <문제 해설>
1.전달함수변형
s^2 x C = U

2.상태방정식 작성
x1 = C
x2 = d/dt C
dotx1 = x2
dotx2 = 0
이므로
A행렬
0 0
0 1
3.상태천이행렬 구하면 끝
[해설작성자 : 전남대전기공학과]

67. 논리식 L= 를 간략화한 것은?
     1.
     2.
     3.
     4.

     정답 : []
     정답률 : 69%

68. 나이퀴스트(Nyquist)의 안정론에서는 벡터 궤적과 점(X, Y)의 상대적 관계로 안정판별이 결정되는데 이때, X, Y의 값으로 옳은 것은?
     1. 1,j0
     2. -1,j0
     3. 0,j0
     4. ∞,j0

     정답 : []
     정답률 : 61%

69. 개루프 전달함수 G(s)H(s)=(K(S+1))/(S(S+2))일 경우, 실수축상의 근 궤적의 범위는?
     1. 원점과 (-2)사이
     2. 원점에서 점 (-1) 사이와 (-2)에서 (-∞)사이
     3. (-2)와 (+∞)사이
     4. 원점에서 (+2)사이

     정답 : []
     정답률 : 65%
     <문제 해설>
극점 영점 개수 총합 홀수 주의
[해설작성자 : 로니콜먼]

70. 다음 중 t=0에서 상태 천이행렬 ø(t)=eat의 값은?
     1. e
     2. e-1
     3. I
     4. 0

     정답 : []
     정답률 : 52%
     <문제 해설>
ø(0) = I
단위행렬으로 그냥 암기
[해설작성자 : 선녀와]

71. 다음 그림과 같이 2개의 전력계에 의한 3상 전력 측정 시전 3상 전력 [W]는?

    

     1.
     2.
     3.
     4.

     정답 : []
     정답률 : 51%

72. 내부에 기전력이 있는 회로가 있다. 이 회로의 한 쌍의 단자 전압을 측정하였을 때 70[V]이고, 또 이 단자에서 본 이 회로의 임피던스가 60[Ω]이라 한다. 지금 이 단자에 40[Ω]의 저항을 접속하면 이 저항에 흐르는 전류는?
     1. 0.5[A]
     2. 0.6[A]
     3. 0.7[A]
     4. 0.8[A]

     정답 : []
     정답률 : 63%
     <문제 해설>
i = 70 / (60+40)
    = 0.7
[해설작성자 : ㅅㅅㅅ]

73. 각상의 임피던스가 6+j8[Ω]인 평형 Y부하에 선간전압 220[V]인 대칭 3상 전압을 가하였을 때 선전류는?
     1. 10.7[A]
     2. 11.7[A]
     3. 12.7[A]
     4. 13.7[A]

     정답 : []
     정답률 : 68%
     <문제 해설>
(220/루트3)/(루트6^2+8^2)
[해설작성자 : comcbt.com 이용자]

Y결선 = √3 * Vp(상전압) = VL(선간전압), Ip(상전류) = IL(선전류)
선전류)IL[A] = VL(선간전압) / √3 * Z ▶ 220 / √3 * √( 6^2+ 8^2 ) ▶ 12.7017[A]
[해설작성자 : 따고싶다 or 어디든 빌런]

74. 어떤 정현파 전압의 평균값이 150[V]이면 최대값은 약 얼마인가?
     1. 300[V]
     2. 236[V]
     3. 115[V]
     4. 175[V]

     정답 : []
     정답률 : 58%
     <문제 해설>
V=2Vm/π
- 150*π/2 = 235.62
[해설작성자 : ㅅㅅㅅ]

평균값 = 0.637 * Vm ▶ Vm[V] = 150 / 0.637 = 235.4788[V]
실효값 = 0.707 * Vm
[해설작성자 : 따고싶다 or 어디든 빌런]

75. f(t)=sint+2cost를 라플라스 변환하면?
     1.
     2.
     3.
     4.

     정답 : []
     정답률 : 55%
     <문제 해설>
sint = 1 / (s^2 + 1)
2cost = 2s / (s^2 + 1)
= (1 + 2s) / (s^2 + 1)
[해설작성자 : ㅅㅅㅅ]

76. 어떤 회로망의 4단자 정수 중에서 A=8, B=j2, D=3+j2 이면, 이 회로망의 C 는?
     1. 24+j14
     2. 3-j4
     3. 8-j11.5
     4. 4+j6

     정답 : []
     정답률 : 67%
     <문제 해설>
AD-BC=1을 이용하여 구해준다
[해설작성자 : 레쓰기릿]

AD - BC = 1 ▶ C = AD - 1 / B ▶ ( 8 * 3 + j2 ) - 1 / j2 = 8 - j11.5
[해설작성자 : 따고싶다 or 어디든 빌런]

77. 어떤 회로에 100+j20[V]인 전압을 가했을 때, 8+j6[A]인 전류가 흘렀다면 이 회로의 소비전력[W]은?
     1. 800
     2. 920
     3. 1200
     4. 1400

     정답 : []
     정답률 : 51%
     <문제 해설>
1. P = I^2 X R -> Z = V/I = R - Xj
2. P = V X I' = (100+20j)(8-6j) = 유효전력 + 무효전력

78. 1상의 임피던스 Z=4+j3[Ω]인 평형 Y 부하에 평형 3상 전압 208[V]가 인가되었다면 소비전력[W]은?
     1. 약 4500
     2. 약 5300
     3. 약 5180
     4. 약 6910

     정답 : []
     정답률 : 52%
     <문제 해설>
평형 Y형 유의할 것
[해설작성자 : comcbt.com 이용자]

평형 3상 소비전력
P = 3*I^2*R
I = V/Z
[해설작성자 : 된장민]

평행3상 소비전력
P=3*I^2*R ▶ 3*24^2*4 = 6912
I=(V/3^1/2)/Z ▶ 208 / 루트(3) * 5
Z=R+jX ▶ 루트(4^2+3^2) = 5
[해설작성자 : 따고싶다 or 어디든 빌런]

P[W] = 3 * I^2 * R ▶ 3 * 24^2 * 4 = 6912[W]
I[A] = V / 루트(3) * Z ▶ 208 / 루트(3) * 5 = 24.01777[A]
Z[Ω] = R + jX ▶ 루트( 4^2 + 3^2 ) = 5[Ω]
※ 위에 해설을 잘못적었네요 ㅠ 죄송함돠 ㅠ
[해설작성자 : 따고싶다 or 어디든 빌런]

79. 다음과 같은 회로가 정저항 회로가 되기 위한 R값은? (단, L=4[mH], C=0.1[μF]이다.)

    

     1. 40000[Ω]
     2. 200[Ω]
     3. 2.5×10-4[Ω]
     4. 2×10-5[Ω]

     정답 : []
     정답률 : 61%
     <문제 해설>
정저항 조건 R^2 = L/C,    R = √L/C
R = √4*10^-3/0.1*10^-6 = 200[Ω]

80. 다음의 회로에서 저항 20[Ω]에 흐르는 전류는?

    

     1. 0.4[A]
     2. 1.8[A]
     3. 3.6[A]
     4. 5.4[A]

     정답 : []
     정답률 : 58%
     <문제 해설>
20V에 의한 전류
- 20/(5+20) = 0.8
5A에 의한 전류
- 5/(5+20)*5 = 1
I = 0.8+1 = 1.8
[해설작성자 : ㅅㅅㅅ]

전류원 개방시
I[A] = V / R ▶ 20 / 20 + 5 = 0.8[A]
전압원 단락시
I[A] = ( R2 / R1 + R2 ) * I ▶ ( 5 / 20 + 5 ) * 5 = 1[A]
전체전류) I[A] = I1 + I2 ▶ 1 + 0.8 = 1.8[A]
[해설작성자 : 따고싶다 or 어디든 빌런]

81. 지중 전선로 시설 규정 중 옳은 것은?(관련 규정 개정전 문제로 여기서는 기존 정답인 4번을 누르면 정답 처리됩니다. 자세한 내용은 해설을 참고하세요.)
     1. 지중 전선로는 전선으로 케이블을 사용할 수 없다.
     2. 지중 전선로는 암거식에 의해 시설할 수 없다.
     3. 지중 전선로를 직접 매설하는 경우에는 차량에 의해 압력을 받을 우려가 있는 장소에서는 60㎝ 이상 매설한다.
     4. 방호장치의 금속제 부분, 지중전선의 피복으로 사용하는 금속체는 제 3종 접지 공사를 하여야 한다.

     정답 : []
     정답률 : 68%
     <문제 해설>
아래와 같은 오류 신고가 있었습니다.
여러분들의 많은 의견 부탁 드립니다.
추후 여러분들의 의견을 반영하여 정답을 수정하도록 하겠습니다.
참고로 정답 변경은 오류 신고 5회 이상일 경우 수정합니다.

[오류 신고 내용]
압력을 받을 우려가 있는 경우는 1.2m 입니다. 답은 3번 입니다.

[오류신고 반론]
옳은거 고르는겁니다 답 4번 맞습니다.

[오류신고 반론]
답은 4번 맞습니다.
3번에 압력 받는 장소는 1.2m 입니다
그런데 보기에서 60cm 이상이라고 되어 있는데 60cm이라면 3번도 답이 맞지만 원래문제에서는 60m
이므로 답은 4번이 맞습니다.
[해설작성자 : 갓규명]

[추가 오류 신고]
3번 보기 오류 60cm이 아닌 60m 입니다
[해설작성자 : 갓규명]

[관리지 입니다.
문제지 사진 원본 확인해 봤는데요.
보기 3번은 60 cm가 맞습니다. m 아닙니다.
여러분들의 많은 의견 부탁 드립니다.]

[오류신고 반론]
압력 우려 없는곳 60cm(0.6m) , 압력 우려 있는곳 1.2m 따라서 3번은 틀린 보기
[해설작성자 : 60m를 어떻게 팝니까]

[규정 개정]
2021년 한국전기설비규정(KEC) 개정으로 인하여
접지대상에 따라 일괄 적용한 종별접지는 폐지되었습니다.
본 문제는 참고용으로만 이용 하시기 바랍니다.

82. 저압 옥측전선로를 시설하는 경우 옳지 않은 공사는? (단, 전개된 장소로서 목조 이외의 조영물에 시설하는 경우)
     1. 애자사용 공사
     2. 합성 수지관 공사
     3. 케이블 공사
     4. 금속 몰드 공사

     정답 : []
     정답률 : 43%
     <문제 해설>
저압 옥측전선로의 시설
1) 애자사용 공사(전개된 장소)
2) 합성수지관 공사
3) 금속관 공사
4) 버스덕트 공사
5) 케이블 공사
[해설작성자 : 나그네]

83. 유도장해의 방지를 위한 규정으로 사용전압 60[kV] 이하인 가공 전선로의 유도 전류는 전화선로의 길이 12[km] 마다 몇 [μA]를 넘지 않도록 하여야 하는가?
     1. 1μA
     2. 2μA
     3. 3μA
     4. 4μA

     정답 : []
     정답률 : 70%
     <문제 해설>
60kV 이하인 경우 선로의 길이 12km마다 2μA를 넘지 않도록 하고
60kV 초과인 경우 선로의 길이 40km마다 3μA를 넘지 않도록 한다.

84. 저압 가공전선과 고압 가공전선을 동일 지지물에 시설하는 경우 저압 가공전선과 고압 가공전선 이격거리는 몇 [㎝] 이상이어야 하는가?
     1. 10
     2. 20
     3. 40
     4. 50

     정답 : []
     정답률 : 51%
     <문제 해설>
저고압 가공전선등의 병가
- 이격거리는 50CM 이상으로 한다.
[해설작성자 : 된장민]

85. 사용 전압이 400[V]미만인 저압 가공 전선으로 절연전선을 사용하는 경우, 지름 몇 [mm] 이상의 경동선을 사용하여야 하는가?(오류 신고가 접수된 문제입니다. 반드시 정답과 해설을 확인하시기 바랍니다.)
     1. 2.0
     2. 2.6
     3. 3.2
     4. 3.8

     정답 : []
     정답률 : 64%
     <문제 해설>
222.5 저압 가공전선의 굵기 및 종류

400[V]이하
-절연전선 : 인장강도 2.3[kN]이상의 것 또는 지름 2.6[mm]이상의 경동선
-케이블이외 : 인장강도 3.43[kN]이상의 것 또는 지름 3.2[mm]이상의 경동선

400[V]초과인 저압(케이블이외)
-시가지에 시설 : 인장강도 8.01[kN]이상의 것 또는 지름 5[mm]이상의 경동선
-시가지외에 시설 : 인장강도 5.26[kN]이상의 것 또는 지름 4[mm]이상의 경동선
[해설작성자 : 피카츄빠직]

86. 전로에 시설하는 기계기구 중에서 외함 접지공사를 생략할 수 없는 경우는?
     1. 사용전압이 직류 300[V] 또는 교류 대지 전압이 150[V] 이하인 기계기구를 건조한 장소에 시설하는 경우
     2. 정격 감도 전류 40[mA], 동작시간이 0.5초인 전류 동작형의 인체 감전 보호용 누전 차단기를 시설하는 경우
     3. 외함이 없는 계기용변성기가 고무, 합성수지 기타의 절연물로 피복한 것일 경우
     4. 철대 또는 외함의 주위에 적당한 절연대를 설치하는 경우

     정답 : []
     정답률 : 54%
     <문제 해설>
2. 정격 감도 전류 30mA이하, 동작시간 0.03초 이하
[해설작성자 : 해설작성자]

87. 강색 차선과 대지 사이의 절연 저항은 사용전압에 대한 누설전류가 궤도의 연장 1[km]마다 몇 [mA]를 넘지 않도록 하여야 하는가?
     1. 5
     2. 10
     3. 30
     4. 50

     정답 : []
     정답률 : 53%
     <문제 해설>
강색 차선의 절연저항(판단기준 제278조)
강색 차선과 대지 사이의 절연저항은 사용전압에 대한 누설 전류가 궤도의 연장 1km마다 10mA를 넘지 아니하도록 유지하여야 한다.
[해설작성자 : Jacky]

88. 제1종 접지공사의 접지선의 굵기는 공칭단면적 몇 [mm2] 이상의 연동선이어야 하는가?(관련 규정 개정전 문제로 여기서는 기존 정답인 3번을 누르면 정답 처리됩니다. 자세한 내용은 해설을 참고하세요.)
     1. 2.5
     2. 4.0
     3. 6.0
     4. 8.0

     정답 : []
     정답률 : 64%
     <문제 해설>
[규정 개정]
2021년 한국전기설비규정(KEC) 개정으로 인하여
접지대상에 따라 일괄 적용한 종별접지는 폐지되었습니다.
본 문제는 참고용으로만 이용 하시기 바랍니다.

89. 애자사용 공사에 의한 고압 옥내배선 공사를 할 때, 전선의 지지점간의 거리는 몇 [m] 이하로 하여야 하는가? (단, 전선은 조영재 면을 따라 붙였다고 한다.)
     1. 2
     2. 3
     3. 4
     4. 5

     정답 : []
     정답률 : 54%
     <문제 해설>
고압 옥내배선 등의 시설(판단기준 제209조)
1. 고압 옥내배선은 다음 중 1에 의하여 시설할 것.
가. 애자사용 공사(건조한 장소로서 전개된 장소에 한한다)
나. 케이블 공사
다. 케이블 트레이 공사
2. 애자사용 공사에 의한 고압 옥내배선은 다음에 의하고, 또한 사람이 접촉할 우려가 없도록 시설할 것.
가. 전선은 공칭단면적 6mm^2 이상의 연동선 또는 이와 동등 이상의 세기 및 굵기의 고압 절연전선이나
         특고압 절연전선 또는 인하용 고압 절연전선일 것.
나. 전선의 지지점 간의 거리는 6m 이하일 것. 다만, 전선을 조영재의 면을 따라 붙이는 경우에는 2m 이하
         이어야 한다.
다. 전선 상호 간의 간격은 8cm 이상, 전선과 조영재 사이의 이격거리는 5cm 이상일 것
라. 애자사용 공사에 사용하는 애자는 절연성․난연성 및 내수성의 것일 것.
마. 고압 옥내배선은 저압 옥내배선과 쉽게 식별되도록 시설할 것.
바. 전선이 조영재를 관통하는 경우에는 그 관통하는 부분의 전선을 전선마다 각각 별개의 난연성 및 내수성이
         있는 견고한 절연관에 넣을 것.
[해설작성자 : Jacky]

90. 가공 전선로의 지지물에 시설하는 지선에 관한 사항으로 옳은 것은?
     1. 지선은 안전율은 1.2 이상이고, 허용인장하중의 최저는 4.31kN으로 한다.
     2. 지선에 연선을 사용할 경우에는 소선은 3가닥 이상의 연선을 사용한다.
     3. 소선은 지름 1.2[㎜] 이상인 금속선을 사용한다.
     4. 도로를 횡단하여 시설하는 지선의 높이는 지표상 6.0m 이상이다.

     정답 : []
     정답률 : 71%

91. 고압 가공전선과 건조물의 상부 조영재와의 옆쪽 이격거리는 몇 [m] 이상이어야 하는가? (단, 전선에 사람이 쉽게 접촉할 우려가 있고 케이블이 아닌 경우)
     1. 1.0
     2. 1.2
     3. 1.5
     4. 2.0

     정답 : []
     정답률 : 48%
     <문제 해설>
저고압 가공 전선과 건조물의 접근(판단기준 제79조)
저압 가공전선과 건조물의 조영재 사이의 이격거리
1. 상부 조영재    위쪽 - 2m이상,    옆쪽 또는 아래쪽 - 1.2m이상(전선에 사람이 쉽게 접촉할 우려가 없도록
                                                                시설한 경우에는 80cm, 고압 절연전선,특고압 절연전선 또는 케이블인 경우에는 40cm)
2. 기타의 조영재    1.2m (전선에 사람이 쉽게 접촉할 우려가 없도록 시설한 경우에는 80cm, 고압 절연전선,
                                                특고압 절연전선 또는 케이블인 경우에는 40cm)
[해설작성자 : Jacky]

92. 발전소에서 개폐기 또는 차단기에 사용하는 압축공기 장치는 수압을 연속하여 10분간 가하여 시험하였을 때 최고 사용 압력 및 몇 배의 수압에 견디고 새지 않아야 하는가?
     1. 1.1배
     2. 1.25배
     3. 1.5배
     4. 2배

     정답 : []
     정답률 : 52%
     <문제 해설>
수압 1.5배
기압 1.25배

93. 최대사용전압이 7[kV]를 넘는 회전기의 절연내력 시험은 최대 사용 전압 몇 배의 전압에서 10분간 견디어야 하는가?
     1. 0.92
     2. 1.25
     3. 1.5
     4. 2

     정답 : []
     정답률 : 55%
     <문제 해설>
회전기의 절연내력시험
------------------------------------------------------------------------------------------------------
가. 발전기, 전동기, 조상기 : 1. 7kV이하일 때 - 최대사용전압 1.5배(최저시험전압 500V), 권선-대지 간 시험
                                                         2. 7kV초과일 때 - 최대사용전압 1.25배(최저시험전압 10,500V), 권선-대지 간 시험

나. 회전변류기                         : 최대사용전압 1배(최저시험전압 500V), 권선-대지 간 시험
[해설작성자 : 해설작성자]

94. 사용전압이 154[kV]인 가공 전선로를 제 1종 특고압 보안공사로 시설할 때 사용되는 경동연선의 단면적은 몇 [mm2] 이상 이어야 하는가?
     1. 55
     2. 100
     3. 150
     4. 200

     정답 : []
     정답률 : 63%
     <문제 해설>
100이상~300kV미만은 150
[해설작성자 : comcbt.com 이용자]

아래와 같은 오류 신고가 있었습니다.
여러분들의 많은 의견 부탁 드립니다.
추후 여러분들의 의견을 반영하여 정답을 수정하도록 하겠습니다.
참고로 정답 변경은 오류 신고 5회 이상일 경우 수정합니다.

[오류 신고 내용]
모의고사 문제에는 정답이 2번으로 나옵니다
[해설작성자 : comcbt.com 이용자]

[오류신고 반론]
동일출판사에서
제 1종 특고압 보안공사 케이블이외의 전선은 아래 값 이상일것.
100kv미만                     - 55
100kv이상 300kv미만 - 150
300kv이상                     - 200

으로 나와서 답 3번 맞습니다.
[해설작성자 : 붙자]

[오류신고 반론]
한솔아카데미 책
100kV 미만 55
100~300kV 150
300kV이상 200
[해설작성자 : 전기기사2일의기적]

95. 금속관 공사에 의한 저압 옥내배선의 방법으로 틀린 것은?
     1. 옥외용 비닐 절연전선을 사용하였다.
     2. 전선으로 연선을 사용하였다.
     3. 콘크리트에 매설하는 관은 두께 1.2[㎜]용을 사용하였다.
     4. 사용전압 400[V] 이상이고 사람의 접촉 우려가 없어 제3종 접지공사를 하였다.

     정답 : []
     정답률 : 66%
     <문제 해설>
접촉우려 x -> 3종
[해설작성자 : ㅎㅎ]

전선은 절연전선(옥외용 비닐전연전선 제외)
전선은 연선
- 짧고 가는 금속관에 넣을 것
- 단면적은 10mm^2 이하의 것
전선은 금속관 안에서 접속점이 없을 것
[해설작성자 : ㅅㅅㅅ]

96. 특고압의 기계기구 모선 등을 옥외에 시설하는 변전소의 구내에 취급자 이외의 자가 들어가지 못하도록 시설하는 울타리, 담 등의 높이는 몇 [m] 이상으로 하여야 하는가?
     1. 2
     2. 2.2
     3. 2.5
     4. 3

     정답 : []
     정답률 : 59%

97. 저압 옥내 배선 공사 중 인입용 비닐 절연전선을 사용할 수 없는 공사는?
     1. 합성 수지관 공사
     2. 금속 몰드 공사
     3. 애자 사용 공사
     4. 가요 전선관 공사

     정답 : []
     정답률 : 42%
     <문제 해설>
애자사용공사 : 인입용,옥외용 비닐절연전선 외 절연전선 사용입니다.
[해설작성자 : 가즈아]

애자사용 공사(판단기준 제181조)
1. 전선은 절연전선(옥외용 비닐 절연전선 및 인입용 비닐 절연전선을 제외한다)일 것.
2. 전선 상호 간의 간격은 6cm 이상일 것.
3. 전선과 조영재 사이의 이격거리는 사용전압이 400V 미만인 경우에는 2.5cm 이상, 400V 이상인
     경우에는 4.5cm(건조한 장소에 시설하는 경우에는 2.5cm)이상일 것.
4. 전선의 지지점 간의 거리는 전선을 조영재의 윗면 또는 옆면에 따라 붙일 경우에는 2m 이하일 것.
5. 사용전압이 400V 이상인 것은 제4호의 경우 이외에는 전선의 지지점 간의 거리는 6m 이하일 것.
6. 저압 옥내배선은 사람이 접촉할 우려가 없도록 시설할 것. 다만, 사용전압이 400V 미만인 경우에
     사람이 쉽게 접촉할 우려가 없도록 시설하는 때에는 그러하지 아니하다.
[해설작성자 : Jacky]

98. 풀용 수중 조명등에 전기를 공급하기 위한 절연 변압기의 2차측 전로의 사용전압이 30[V] 이하이다. 1차 권선과 2차 권선 사이에 금속제의 혼촉 방지판을 설치한 경우 제 몇 종 접지공사를 하여야 하는가?(관련 규정 개정전 문제로 여기서는 기존 정답인 1번을 누르면 정답 처리됩니다. 자세한 내용은 해설을 참고하세요.)
     1. 제 1종 접지공사
     2. 제 2종 접지공사
     3. 제 2종 또는 특별 제 3종 접지공사
     4. 제 3종 또는 특별 제 3종 접지공사

     정답 : []
     정답률 : 56%
     <문제 해설>
2차측이 30v 이하일때 절연변압기 내에 1종접지공사를 한 혼촉판을 설치
                30v 초과일때 자동차단장치를 설치
(2차측에는 접지를 하지 않음)
조명등의 용기 및 방호장치 금속제 부분에는 특3종 접지공사를 함.

(2021년 KEC 규정 변경으로 인하여 종별 접지관련 문제는 출제되지 않습니다.)

99. 전력 보안 가공 통신선을 횡단보도교 위에 설치하고자 할 때, 노면상의 높이는 몇 [m] 이상이어야 하는가?
     1. 3
     2. 3.5
     3. 5
     4. 6.5

     정답 : []
     정답률 : 36%
     <문제 해설>
가공통신선의 높이    (판단기준 156조)
도로(차도)위 일반적인경우 5m    교통에 지장을 안주는경우 4.5m
철도횡단 6.5 (철도횡단 궤도횡단은 모든법규가 6.5m 이다 이건 빵점방지용문제다)
횡단보도교 위 3m
기타의 장소 3.5m
[해설작성자 : 태공망]

100. 발전소에는 운전 보안상 각종의 계측 장치를 시설하여야 한다. 다음 중 계측 대상이 아닌 것은?
     1. 발전기의 고정자 온도
     2. 주요 변압기의 역률
     3. 주요 변압기의 전압 및 전류 또는 전력
     4. 특고압용 변압기의 온도

     정답 : []
     정답률 : 65%


정 답 지

1

2

3

4

5

6

7

8

9

10

11

12

13

14

15

16

17

18

19

20

21

22

23

24

25

26

27

28

29

30

31

32

33

34

35

36

37

38

39

40

41

42

43

44

45

46

47

48

49

50

51

52

53

54

55

56

57

58

59

60

61

62

63

64

65

66

67

68

69

70

71

72

73

74

75

76

77

78

79

80

81

82

83

84

85

86

87

88

89

90

91

92

93

94

95

96

97

98

99

100

전기기사 필기 기출문제(해설) 및 CBT 2010년07월25일을 이용해 주셔서 감사합니다.
전기, 기사, 전기기사, 필기, 기출문제, 전자문제집, CBT, 온라인, 모의테스트, 모의고사



List of Articles
번호 제목 글쓴이 날짜 조회 수
13489 전기기사 필기 기출문제(해설) 및 CBT 2014년03월02일(6379) new 좋은아빠되기 2025.11.25 0
13488 전기기사 필기 기출문제(해설) 및 CBT 2013년08월18일(6378) new 좋은아빠되기 2025.11.25 0
13487 전기기사 필기 기출문제(해설) 및 CBT 2013년06월02일(6377) new 좋은아빠되기 2025.11.25 0
13486 전기기사 필기 기출문제(해설) 및 CBT 2013년03월10일(6376) new 좋은아빠되기 2025.11.25 0
13485 전기기사 필기 기출문제(해설) 및 CBT 2012년08월26일(6375) new 좋은아빠되기 2025.11.25 0
13484 전기기사 필기 기출문제(해설) 및 CBT 2012년05월20일(6374) new 좋은아빠되기 2025.11.25 0
13483 전기기사 필기 기출문제(해설) 및 CBT 2012년03월04일(6373) new 좋은아빠되기 2025.11.25 0
13482 전기기사 필기 기출문제(해설) 및 CBT 2011년08월21일(6372) new 좋은아빠되기 2025.11.25 0
13481 전기기사 필기 기출문제(해설) 및 CBT 2011년06월12일(6371) new 좋은아빠되기 2025.11.25 0
13480 전기기사 필기 기출문제(해설) 및 CBT 2011년03월20일(6370) new 좋은아빠되기 2025.11.25 0
» 전기기사 필기 기출문제(해설) 및 CBT 2010년07월25일(6369) new 좋은아빠되기 2025.11.25 0
13478 전기기사 필기 기출문제(해설) 및 CBT 2010년05월09일(6368) new 좋은아빠되기 2025.11.25 0
13477 전기기사 필기 기출문제(해설) 및 CBT 2010년03월07일(6367) new 좋은아빠되기 2025.11.25 0
13476 전기기사 필기 기출문제(해설) 및 CBT 2009년07월26일(6366) new 좋은아빠되기 2025.11.25 0
13475 전기기사 필기 기출문제(해설) 및 CBT 2009년05월10일(6365) new 좋은아빠되기 2025.11.25 0
13474 전기기사 필기 기출문제(해설) 및 CBT 2009년03월01일(6364) new 좋은아빠되기 2025.11.25 0
13473 전기기사 필기 기출문제(해설) 및 CBT 2008년07월27일(6363) new 좋은아빠되기 2025.11.25 0
13472 전기기사 필기 기출문제(해설) 및 CBT 2008년05월11일(6362) new 좋은아빠되기 2025.11.25 0
13471 전기기사 필기 기출문제(해설) 및 CBT 2008년03월02일(6361) new 좋은아빠되기 2025.11.25 0
13470 전기기사 필기 기출문제(해설) 및 CBT 2007년08월05일(6360) new 좋은아빠되기 2025.11.25 0
Board Pagination Prev 1 ... 141 142 143 144 145 146 147 148 149 150 ... 820 Next
/ 820