자격증 필기 기출문제



전자기능사 필기 기출문제(해설) 및 CBT 2007년01월28일(1회)(6828)

최강 자격증 기출문제 전자문제집 CBT : www.comcbt.com


전자문제집 CBT란?

종이 문제집이 아닌 인터넷으로 문제를 풀고 자동으로 채점하며 모의고사, 오답 노트, 해설까지 제공하는
무료 기출문제 학습 프로그램으로 실제 상설검정에서 사용하는 OMR 형식의 CBT를 제공합니다.


최신 전자기능사 필기 기출문제 : [다운로드]

1과목 : 전기전자공학


1. 전류 I, 시간 t 및 전하량 Q 사이의 관계는?(복원 오류로 보기가 없습니다. 보기 내용을 아시는 분께서는 오류신고로 보기 내용 작성 부탁 드립니다. 정답은 1번 입니다.)
     1. Q=It
     2. Q= 복원중
     3. Q= I2
     4. Q= 복원중

     정답 : []
     정답률 : 91%

2. 그림과 같은 상호유도회로에서 결합계수 K는?(복원 오류로 보기가 없습니다. 보기 내용을 아시는 분께서는 오류신고로 보기 내용 작성 부탁 드립니다. 정답은 3번 입니다.)

   

     1. 복원중
     2. M
     3. 복원중
     4. 복원중

     정답 : []
     정답률 : 87%

3. 정전용량의 역수를 무엇이라고 하는가?
     1. 리액턴스
     2. 지멘스
     3. 엘라스턴스
     4. 커패시턴스

     정답 : []
     정답률 : 65%

4. 1eV는 무엇을 나타내는가?
     1. 전자가 1m/s의 속도를 얻는데 필요한 전압이다.
     2. 전자에 1V의 전위차를 가하였을 때 전자에 주어진 에너지이다.
     3. 전자가 1J의 에너지를 얻는데 필요한 전압이다.
     4. 전자가 1m의 간격을 옮기는데 필요한 전압이다.

     정답 : []
     정답률 : 68%

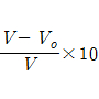
5. 전원회로에 부하를 연결했을 때 9V, 무부하시 10V 이었다면 전압변동률은 약 몇 %인가?
     1. 8
     2. 11
     3. 15
     4. 17

     정답 : []
     정답률 : 72%
     <문제 해설>
전압변동률 = (무부하시 수전단 전압 - 수전단 전압 / 수전단 전압) * 100 = { (10 - 9) / 9 } * 100 = 11.11111 [%]
[해설작성자 : 수도공고 은빈인데용]

6. 그림과 같은 회로는 무엇이라 하는가?

   

     1. 적분기
     2. 미분기
     3. 가산기
     4. 이상기

     정답 : []
     정답률 : 75%
     <문제 해설>
RC=적분기
CR=미분기 이렇게 외우면 편해용
[해설작성자 : 수도]

7. 이미터 접지회로의 전류 증폭률은 어떻게 정의 되는가?(문제 복원 오류로 정답은 1번 입니다. 정확한 보기 내용을 아시는 분들 께서는 오류 신고를 통하여 보기 내용 작성 부탁 드립니다.)
     1. (VCE일정)
     2. (VCB일정)
     3. (VCB일정)
     4. (VCE일정)

     정답 : []
     정답률 : 80%

8. 변조도 m> 1일 때 과변조(over modulation)전파를 수신하면 어떤 현상이 생기는가?
     1. 음성파 전력이 작아진다.
     2. 음성파 전력이 커진다.
     3. 음성파가 많이 일그러진다.
     4. 검파기가 과부하 된다.

     정답 : []
     정답률 : 76%

9. 피어스(Pierce) BE 수정발진기에 대한 설명으로 가장 옳은 것은?
     1. 컬렉터 회로의 임피던스가 유도성일 때 가장 안정된 발진을 한다.
     2. 컬렉터 회로의 임피던스가 용량성일 때 가장 안정된 발진을 한다.
     3. 컬렉터 회로에 저항 성분만이 존재할 때 가장 안정된 발진을 한다.
     4. 컬렉터 회로의 임피던스가 저항성 및 용량성이 동시에 존재할 때 가장 안정된 발진을 한다.

     정답 : []
     정답률 : 48%

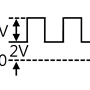
10. 회로에 그림과 같은 입력 파형을 인가하면 출력파형은?

    

     1. 삼각파
     2. 정현파
     3. 임펄스파
     4. 구형파

     정답 : []
     정답률 : 58%
     <문제 해설>
삼각파를 넣으면 무조건 구형파

11. 반송파 전력이 30kW 일 때 변조도 90%로 진폭변조 했을때 피변조파의 전력은 약 몇 kW인가?
     1. 12
     2. 21
     3. 24
     4. 42

     정답 : []
     정답률 : 33%
     <문제 해설>
30{1+(0.9^2)/2} = 42.15
[해설작성자 : 전자 2트]

12. 리플 전압이란 어떤 전압을 말하는가?
     1. 정류된 직류전압
     2. 부하시의 전압
     3. 무부하시의 전압
     4. 정류된 전압의 교류분

     정답 : []
     정답률 : 61%

13. 정현파에서의 파형률은?
     1. 최대치/실효치
     2. 실효치/평균치
     3. 최대치/평균치
     4. 평균치/최대치

     정답 : []
     정답률 : 57%
     <문제 해설>
파형률 실/평
파고율 최/실

파고율은 최순실로 외우고
파형률은 실평으로 외웠더니 쉽게 외워졌어요 !!
[해설작성자 : 진실 근면 용기있는 명장의 전당]

14. 반도체 정류기에서 1V 순바이어스 전압에 대해 10mA의 전류가 흐르고, 1V역바이어스 전압에 대해 4㎂의 전류가 흘렀다면 정류비는?
     1. 250
     2. 350
     3. 2500
     4. 3500

     정답 : []
     정답률 : 54%
     <문제 해설>
정류비 = 순방향 전류 / 역방향 전류 = 10 * 10 ^ -3 / 4 * 10 ^ -6 = 2500
[해설작성자 : 수도공꼬 은빈인데용]

15. 다음 중 출력 임피던스가 가장 적은 회로는?
     1. 베이스 접지회로
     2. 컬렉터 접지회로
     3. 이미터 접지회로
     4. 캐소드 접지회로

     정답 : []
     정답률 : 43%
     <문제 해설>
출력임피던스는
컬렉터접지회로<이미터접지회로<베이스접지회로
[해설작성자 : 수도공고 정근호]

2과목 : 전자계산기일반


16. 펄스폭 ???가 1초, 반복주기 Tr 이 5초이면 반복 주파수는 몇 Hz 인가?
     1. 0.2
     2. 0.25
     3. 1
     4. 1.5

     정답 : []
     정답률 : 60%
     <문제 해설>
1/T = 1/5 = 2/10= 0.2[HZ]
[해설작성자 : 청주공고도제반20191005]

17. 리플레시(refresh)가 필요한 메모리는?
     1. DRAM
     2. SRAM
     3. CCD
     4. PROM

     정답 : []
     정답률 : 73%
     <문제 해설>
DRAM(Dynamic RAM) : 주기적인 리프레시가 없으면 기억 내용이 소멸된다.
[해설작성자 : 청주공고도제반20191005]

18. 다음 마이크로프로세서 중 연산 속도가 가장 빠른 것은?
     1. 4bit 마이크로프로세서
     2. 8bit 마이크로프로세서
     3. 16bit 마이크로프로세서
     4. 32bit 마이크로프로세서

     정답 : []
     정답률 : 77%
     <문제 해설>
마이크로프로세서의 처리속도가 빠르려면 비트값이 커야한다 그러므로 32[BIT] 마이크로프로세서연산속도가 가장 빠름
[해설작성자 : 청주공고도제반20191005]

19. 중앙처리장치를 구성하는 요소를 올바르게 묶은 것은?
     1. 연산장치, 기억장치
     2. 기억장치, 입력장치
     3. 입력장치, 제어장치
     4. 제어장치, 연산장치

     정답 : []
     정답률 : 74%

20. 서브루틴 호출 시 데이터나 주소의 임시 저장이 가능한 것은?
     1. 스택
     2. 번지 해독기
     3. 프로그램 카운터
     4. 메모리 주소 레지스터

     정답 : []
     정답률 : 63%

21. 다음 회로도의 이름으로 옮은 것은?

    

     1. 승산기
     2. 반가산기
     3. 전가산기
     4. 뺄셈기

     정답 : []
     정답률 : 72%
     <문제 해설>
전가산기는 반가산기 2개와 OR게이트로 구성되어 있으며 입력3개 출력2개로 이루어집니다.
[해설작성자 : 청주공고도제반20191005]

22. 제어장치의 구성 요소 중에서 다음에 실행 할 명령어가 기억되어 있는 주기억장치의 주소를 갖고 있는 것은?
     1. Program Counter
     2. Instruction Register
     3. Memory Buffer Register
     4. Memory Address Register

     정답 : []
     정답률 : 59%
     <문제 해설>
프로그램 카운터는 중앙처리장치 내에서 컴퓨터에 의해 수행될 다음의 프로그램 명령어가 들어 있는 기억장치주소를 가리킴
[해설작성자 : 청주공고도제반20191005]

23. 그림과 같은 흐름도( FLOW CHART)에서 각 번호에 해당하는 기호의 의미는?

    

     1. ①시작 ②데이터의 입력 ③조건판단
     2. ①데이터의 입력 ②조건판단 ③처리
     3. ①데이터의 입.출력 ②처리 ③조건판단
     4. ①조건판단 ②처리 ③데이터의 입.출력

     정답 : []
     정답률 : 64%

24. 7421 코드 표현에 의한 10진수 9의 값은?
     1. 0111
     2. 0101
     3. 1010
     4. 1110

     정답 : []
     정답률 : 64%
     <문제 해설>
하나의 비트가 갖는 값이 7421이므로, 10진수 9는 7421 즉 1010이 됩니다.
[해설작성자 : 청주공고도제반20191005ㅂㅎㅅ]

25. 누산기, 가산기, 데이터 레지스터 등과 관계있는 장치는?
     1. 입력 장치
     2. 제어 장치
     3. 연산 장치
     4. 기억 장치

     정답 : []
     정답률 : 68%

26. 다음 그림의 연산 결과를 올바르게 나타낸 것은?

    

     1. 1100
     2. 1101
     3. 1110
     4. 1111

     정답 : []
     정답률 : 77%
     <문제 해설>
A=1101
B=1110
ANN연산시=1000

27. 다음 중 C언어에서 사용되는 산술 연산자가 아닌 것은?
     1. +
     2. =
     3. -
     4. %

     정답 : []
     정답률 : 64%
     <문제 해설>
=는 대입연산자입니다
[해설작성자 : 청주공고도제반20191005]

28. 마이크로프로세서에서 사용되는 주소 지정 방식이 아닌 것은?
     1. 직접주소 지정방식
     2. 간접주소 지정방식
     3. 상대주소 지정방식
     4. 소수주소 지정방식

     정답 : []
     정답률 : 80%
     <문제 해설>
주소 지정 방식에는 즉시, 직접, 간접, 레지스터, 상대, 인덱스 등이 있으며, 소수 주소 지정 방식은 없다는 걸 알아두세요!

29. 스위프 신호발진기 내부회로 구성에 포함되지 않는 것은?
     1. 진폭 제한기
     2. 저주파 발진기
     3. 톱니파 발진기
     4. 리액턴스 관

     정답 : []
     정답률 : 42%
     <문제 해설>
고주파 발진기, 진폭 제한기, 출력 감쇠기, 톱니파 발진기, 리액턴스 관
[해설작성자 : 솔로몬]

저주파발진기가아니라 고주파 발진기
[해설작성자 : 청주공고도제반20191005]

30. 1차 코일의 인덕턴스 6mH, 2차 코일의 인덕턴스 10mH를 직렬로 연결했을 때 합성 인덕턴스는 20mH였다. 이 때 이들 사이의 상호 인덕턴스는 얼마인가?
     1. 2mH
     2. 4mH
     3. 6mH
     4. 8mH

     정답 : []
     정답률 : 50%
     <문제 해설>
합성인덕턴스=1차인덕턴스+2차인덕턴스+2M 공십입니다 상호인덕턴스 문제는 자주나오니 꼭꼭꼭 알아두세요
20=6+10+2M
20=16+2M ,16을 반대편으로 보내면
20-16=2M
4=2M
M=4/2
따라서 닶은 2입니다.
[해설작성자 : 청주공고도제반20191005]

3과목 : 전자측정


31. 피측정 주파수를 계수형 주파수계로 측정하였더니 1분동안에 반복 회수가 72000회 였다면 피측정 주파수는 몇 Hz인가?
     1. 300
     2. 600
     3. 900
     4. 1200

     정답 : []
     정답률 : 84%
     <문제 해설>
72000회/60초=1200

32. 전압이득이 100일 때 이것을 dB로 나타내면?
     1. 2dB
     2. 20dB
     3. 40dB
     4. 100dB

     정답 : []
     정답률 : 59%
     <문제 해설>
20log10 이니 100은 10의2제곱이니
20×2=40[dB]
[해설작성자 : Kms]

33. 가동 철편형 계기의 회전각 와 전류 I의 관계는?(문제 오류로 복원 내용이 정확하지 않습니다. 여기서는 2번을 누르면 정답 처리 됩니다. 정확한 내용을 아시는분께서는 오류신고를 통하여 보기 내용 입력 부탁 드립니다.)
     1. θ ∝ I
     2. θ ∝ I2
     3. θ ∝
     4. θ ∝

     정답 : []
     정답률 : 68%

34. 다음 중 오실로스코프의 음극선관의 주요 부분을 나타낸 것은?
     1. 전자총, 편향판, 형광판
     2. 전자총, 편향판, 발진기
     3. 형광판, 발진기, 전자총
     4. 형광판, 발진기, 편향판

     정답 : []
     정답률 : 46%
     <문제 해설>
오실로스코프의 구조 중 음극선관은 전자총 , 수평 편향판 , 수직 편향판 , 형광막으로 나누어진다.
[해설작성자 : 수도공고 정근호]

35. 피측정 주파수 fx와 가변주파수 발진기의 출력 f0를 비교하여 두 주파수의 차인 △f로 fx를 구하는 고주파 측정계기를 무엇이라 하는가?
     1. 흡수형 주파수계
     2. 헤테로다인 주파수계
     3. 동축 주파수계
     4. 공동 주파수계

     정답 : []
     정답률 : 49%

36. 전류력계형 계기의 특징에 속하지 않는 것은?
     1. 주로 전력계로 사용된다.
     2. 직류 전용의 정밀급 계기이다.
     3. 외부 자기장의 영향 때문에 자기차폐를 해야 한다.
     4. 자기 가열의 영향이 비교적 크므로 주의가 필요하다.

     정답 : []
     정답률 : 48%

37. 다음 중 동축케이블로 전달되는 초단파대의 전력 측정에 사용되는 전력계는?
     1. 의사 부하법
     2. C-C형 전력계
     3. C-M형 전력계
     4. 볼로미터 전력계

     정답 : []
     정답률 : 51%

38. 측정기 자체의 결함이나 온도와 같은 환경의 영향에 의해서 발생하는 오차는?
     1. 과실 오차
     2. 우연 오차
     3. 계통 오차
     4. 허용 오차

     정답 : []
     정답률 : 53%

39. 지시계기는 고정 부분과 가동 부분으로 구성되어 있는데 기능상 지시계기의 3대 요소에 속하지 않는 것은?
     1. 구동장치
     2. 가동장치
     3. 제어장치
     4. 제동장치

     정답 : []
     정답률 : 75%
     <문제 해설>
지시계기의 3대 요소에는 구동장치, 제어장치, 제동장치가 있습니다.
[해설작성자 : 기계공고 전교1등]

40. 다음 중 디지털계측의 원리와 관련 없는 것은?
     1. “0”과 “1”로 나타내는 신호를 쓴다.
     2. 측정량을 도표상에 연속적인 선으로 나타낸다.
     3. 이산사상(discrete event)의 계수에 의한 측정이다.
     4. 눈으로 값을 확인하기 위해 LED표시기를 많이 쓴다.

     정답 : []
     정답률 : 44%

41. 다음 중 유전가열이 이용되지 않은 것은?
     1. 목재의 건조
     2. 고주파치료기
     3. 고주파납땜
     4. 비닐제품 접착

     정답 : []
     정답률 : 58%

42. 그림과 같이 복합 유전체를 선택 가열하는 경우 온도가 높은 순서로 맞는 것은? (단, 그림은 3개의 비커를 축이 일치하도록 하여 전극판 사이에 놓고 유전 가열하는 경우로서 주파수는 20㎒로 하며, 식염수는 0.1% NaCl 이다.)

    

     1. 식염수 > 지방 >물
     2. 물 > 식염수 > 지방
     3. 지방 > 식염수 > 물
     4. 식염수 > 물 > 지방

     정답 : []
     정답률 : 75%

43. 60㎐ 4극 3상 유도전동기의 동기속도는 ?
     1. 1200rpm
     2. 1800rpm
     3. 2400rpm
     4. 3600rpm

     정답 : []
     정답률 : 62%
     <문제 해설>
120*f             120 *60
------    =     --------    = 1800
    p                        4
[해설작성자 : 빨간 피엔나]

44. 초음파측심기로 수심을 측정하고자 초음파를 발사 하였다. 이때 물의 길(h)를 계산하는 식은 어떻게 되는가? (단, 물속에서의 초음파속도는 v[m/s], 초음파가 발사된 후 다시 돌아올 때까지의 시간은 t[sec]이다.)(문제 복원 오류로 정답은 1번입니다. 정확한 보기 내용을 아시는 분들께서는 오류 신고를 통하여 보기 내용 작성 부탁 드립니다.)
     1. h = [m]
     2. vt[m]
     3. 2vt[m]
     4. [m]

     정답 : []
     정답률 : 68%
     <문제 해설>
1. vt/2 [m]
2. vt [m]
3. 2vt [m]
4. 2/vt [m]

45. 다음 중 서보기구의 구성에 포함 되지 않는 것은?
     1. 단상전동기
     2. 리졸버
     3. 차동변압기
     4. 싱크로

     정답 : []
     정답률 : 60%

46. 공정제어에서 제어량으로 종류에 속하지 않는 것은?
     1. 온도
     2. 장력
     3. 유량
     4. 압력

     정답 : []
     정답률 : 63%
     <문제 해설>
장력은 자동제어

47. 직류전동기의 속도제어 방법이 아닌 것은?
     1. 전압제어법
     2. 주파수제어법
     3. 계자제어법
     4. 저항제어법

     정답 : []
     정답률 : 56%

48. 프로세스 제어에서 조절계의 제어동작과 관계없는 것은?
     1. 온.오프동작
     2. 비례위치 동작
     3. 비례적분미분동작
     4. 변환동작

     정답 : []
     정답률 : 45%

49. 항공기가 강하할 때 수직면 내에 올바른 코스를 지시하는 것으로 90㎐ 및 150㎐로 변조된 두 전파에 의해 표시되는 착륙 보조 장치는?
     1. PAR
     2. 팬마커
     3. 글라이드패드
     4. 지상제어 진입장치

     정답 : []
     정답률 : 71%

50. 다음 중 바리스터(varister)가 이용되지 않은 것은?
     1. 온도 보상장치
     2. 낙뢰로부터 통신기기의 보호
     3. 회로의 전압조정
     4. 스파크를 제거함으로써 접점 보호

     정답 : []
     정답률 : 50%
     <문제 해설>
배리스터는 갑작스러운 전압 증가로 회로가 망가지는걸 보호해준다.
온도보상은 못한다
[해설작성자 : ㅂ.ㅈ.ㅎ]

51. FM번조에서 변조지수가 6이고 신호주파수가 3㎑일때, 최대 주파수 편이는 몇㎑인가?
     1. 6
     2. 9
     3. 18
     4. 36

     정답 : []
     정답률 : 66%

52. 스트레이트수신기와 비교하여 수퍼헤테로다인 수신기의 장점이 아닌 것은?
     1. 중간 주파수에서 증폭하므로 증폭도가 높아 감도가 좋다.
     2. 신호대 잡음비 개선을 위해 진폭제한기를 사용한다.
     3. 광대역에 걸쳐 선택도의 충실도가 좋다
     4. 중간주파수로 변화하므로 선택도가 향상된다.

     정답 : []
     정답률 : 46%

53. FM수신기에 필요한 요소가 아닌 것은?
     1. 저주파증폭회로
     2. 주파수판별회로
     3. 변조회로
     4. 주파수혼합회로

     정답 : []
     정답률 : 59%

54. 부궤환(NFB)증폭기의 특징에 대해 올바르게 설명한 것은?
     1. 증폭도는 저주파나 고주파 영역에서 주파수 대역폭이 좁아져 주파수특성이 개선된다.
     2. 트랜지스터 상수나 전원 전압 등의 변화에 영향을 많이 받는다.
     3. 내부 잡음을 증가시킬 수 있다.
     4. 일그러짐(진폭일그러짐, 위상일그러짐)를 감소시킬 수 있다.

     정답 : []
     정답률 : 53%

55. 콘트라스트(contrast)에 대한 설명으로 옳은 것은?
     1. 잡음지수를 말한다.
     2. 화면의 가장 밝은 부분과 가장 어두운 부분에 대한 밝기의 비를 말한다.
     3. 음성신호의 이득을 말한다.
     4. 국부발진기의 주파수 조정정도를 나타낸다.

     정답 : []
     정답률 : 76%

56. 비디오신호를 기록 재생하기 위한 조건으로 가장 거리가 먼 것은?
     1. 비디오 헤드의 모양을 보기 좋게 한다.
     2. 비디오 헤드의 갭을 좁게 한다.
     3. 비디오 헤드와 자기테이프의 상대속을 크게 한다.
     4. 비디오 신호를 변조해서 기록한다.

     정답 : []
     정답률 : 65%

57. 다음 중 제너다이오드(zener diode)를 이용한 회로로 가장 적합한 것은?
     1. 검파회로
     2. 저주파 증폭회로
     3. 고주파발진회로
     4. 정전압회로

     정답 : []
     정답률 : 66%

58. 자동음량조절(AVC)회로의 사용목적과 관련이 없는 것은?
     1. 페이딩(fading)방지를 위하여
     2. 큰 출력을 얻기 위하여
     3. 과대한 출력이 나오지 않게 하기 위하여
     4. 음량을 일정하게 하기 위하여

     정답 : []
     정답률 : 56%

59. 자기 녹음기 (tape recorder)에서 고음부의 음량과 명료도가 저하한 증세가 나타났을 경우, 주로 어떤 부분의 조정이 필요한가?
     1. 헤드높이
     2. 데이프스피드(모터)
     3. 헤드 애지머스
     4. 녹음 바이어스

     정답 : []
     정답률 : 60%

60. 전자 빔이 시료를 투과할 때 속도가 다른 여러 전자가 생겨서 상이 흐려지는 현상은?
     1. 색수차
     2. 구면수차
     3. 라디오존데
     4. 축 비대칭수차

     정답 : []
     정답률 : 75%


정 답 지

1

2

3

4

5

6

7

8

9

10

11

12

13

14

15

16

17

18

19

20

21

22

23

24

25

26

27

28

29

30

31

32

33

34

35

36

37

38

39

40

41

42

43

44

45

46

47

48

49

50

51

52

53

54

55

56

57

58

59

60

전자기능사 필기 기출문제(해설) 및 CBT 2007년01월28일(1회)을 이용해 주셔서 감사합니다.
전자기기능사, 전자기기, 전자, 기기, 기능사, 필기, 기출문제, 전자문제집, CBT, 온라인, 모의테스트, 모의고사



List of Articles
번호 제목 글쓴이 날짜 조회 수
13944 전자기능사 필기 기출문제(해설) 및 CBT 2009년07월12일(4회)(6838) 좋은아빠되기 2025.11.25 0
13943 전자기능사 필기 기출문제(해설) 및 CBT 2009년03월29일(2회)(6837) 좋은아빠되기 2025.11.25 1
13942 전자기능사 필기 기출문제(해설) 및 CBT 2009년01월18일(1회)(6836) 좋은아빠되기 2025.11.25 0
13941 전자기능사 필기 기출문제(해설) 및 CBT 2008년10월05일(5회)(6835) 좋은아빠되기 2025.11.25 0
13940 전자기능사 필기 기출문제(해설) 및 CBT 2008년07월13일(4회)(6834) 좋은아빠되기 2025.11.25 0
13939 전자기능사 필기 기출문제(해설) 및 CBT 2008년03월30일(2회)(6833) 좋은아빠되기 2025.11.25 0
13938 전자기능사 필기 기출문제(해설) 및 CBT 2008년02월03일(1회)(6832) 좋은아빠되기 2025.11.25 0
13937 전자기능사 필기 기출문제(해설) 및 CBT 2007년09월16일(5회)(6831) 좋은아빠되기 2025.11.25 0
13936 전자기능사 필기 기출문제(해설) 및 CBT 2007년07월15일(4회)(6830) 좋은아빠되기 2025.11.25 0
13935 전자기능사 필기 기출문제(해설) 및 CBT 2007년04월01일(2회)(6829) 좋은아빠되기 2025.11.25 0
» 전자기능사 필기 기출문제(해설) 및 CBT 2007년01월28일(1회)(6828) 좋은아빠되기 2025.11.25 1
13933 전자기능사 필기 기출문제(해설) 및 CBT 2006년10월01일(5회)(6827) 좋은아빠되기 2025.11.25 0
13932 전자기능사 필기 기출문제(해설) 및 CBT 2006년07월16일(4회)(6826) 좋은아빠되기 2025.11.25 0
13931 전자기능사 필기 기출문제(해설) 및 CBT 2006년04월02일(2회)(6825) 좋은아빠되기 2025.11.25 0
13930 전자기능사 필기 기출문제(해설) 및 CBT 2006년01월22일(1회)(6824) 좋은아빠되기 2025.11.25 0
13929 전자기능사 필기 기출문제(해설) 및 CBT 2005년10월02일(5회)(6823) 좋은아빠되기 2025.11.25 0
13928 전자기능사 필기 기출문제(해설) 및 CBT 2005년07월17일(4회)(6822) 좋은아빠되기 2025.11.25 0
13927 전자기능사 필기 기출문제(해설) 및 CBT 2005년04월03일(2회)(6821) 좋은아빠되기 2025.11.25 0
13926 전자기능사 필기 기출문제(해설) 및 CBT 2005년01월30일(1회)(6820) 좋은아빠되기 2025.11.25 0
13925 전자기능사 필기 기출문제(해설) 및 CBT 2004년10월10일(5회)(6819) 좋은아빠되기 2025.11.25 0
Board Pagination Prev 1 ... 246 247 248 249 250 251 252 253 254 255 ... 948 Next
/ 948