자격증 필기 기출문제



전자기능사 필기 기출문제(해설) 및 CBT 2016년01월24일(1회)(6864)

최강 자격증 기출문제 전자문제집 CBT : www.comcbt.com


전자문제집 CBT란?

종이 문제집이 아닌 인터넷으로 문제를 풀고 자동으로 채점하며 모의고사, 오답 노트, 해설까지 제공하는
무료 기출문제 학습 프로그램으로 실제 상설검정에서 사용하는 OMR 형식의 CBT를 제공합니다.


최신 전자기능사 필기 기출문제 : [다운로드]

1과목 : 전기전자공학


1. 금속표면에 108V/m 정도의 아주 강한 전기장을 가하면 상온에서도 금속의 표면에서 전자가 방출되는데 이 현상을 무엇이라고 하는가? (단, 진공 상태에서 금속에 열을 가하지 않는다.)
     1. 전계 방출
     2. 열전자 방출
     3. 광전자 방출
     4. 2차 전자 방출

     정답 : []
     정답률 : 63%
     <문제 해설>
-열전자 방출 : 금속을 고온으로 가열하면 전도 전자의 운동 에너지가 커지면, 그 중에는 이탈준위를 넘어서 금속체 밖으로 뛰어나가는 전자현상
-광전자 방출 : 금속에 빛을 비추면 그 부분에서 전자가 공간으로 방출되는 현상
-2차 전자 방출 : 금속면에 가속된 전자를 충돌시키면 충돌 전자와 가까이 있던 전자가 그 운동 에너지를 받아 일함수를 뛰어 넘을 때 공간으로 전자가 방출되는 현상
[해설작성자 : 한준희]

2. 그림과 같은 비안정 멀티바이브레이터의 반복주기 T는 몇 ms 인가? (단, C1=C2=0.02㎌, RB1=RB2=30㏀이다.)

   

     1. 0.632
     2. 0.828
     3. 1.204
     4. 2.484

     정답 : []
     정답률 : 65%
     <문제 해설>
앞에 해설 잘못 적음 ㅈㅅ
T= 0.69*(RB1*C2 + RB2*C1)
[해설작성자 : ㅌㅣㄹㅏ노]

윗분거 보충: C1=0.02uF C2=0.02uF PB1=30k옴 PB2=30k옴 일때
T=0.69X(PB1 X C2 + PB2 X C1) 이므로 0.69X(30k옴 X 0.02uF + 30k옴 X 0.02uF)
가 된다

3. 어떤 사람의 음성 주파수 폭이 100㎐에서 18㎑인 음성을 진폭 변조하면 점유 주파수 대역폭은 얼마나 필요한가?
     1. 9 ㎑
     2. 18 ㎑
     3. 27 ㎑
     4. 36 ㎑

     정답 : []
     정답률 : 68%
     <문제 해설>
측파대가 +18kHz, -18kHz 까지 생기므로 점유 주파수 대역폭은 18 X 2 = 36kHz 만큼 필요하다.
[해설작성자 : 정석고컴퓨터공학동아리]

4. 그림과 같은 논리회로에 입력되는 값 A, B, C에 따른 출력 Y의 값으로 옳은 것은?

   

     1.
     2.
     3.
     4.

     정답 : []
     정답률 : 77%
     <문제 해설>
A와B에 각각 1,0을 넣으면 AND게이틀르 거쳐 0이출력되고 C에 0을넣으면    이미B는 0이미로NOR게이트는 1이 출력된다 최종적으로 0과1을 OR게이트에 넣으면 1이 출력됨
[해설작성자 : 공마고]

5. 다음 중 변압기 결합 증폭회로에 대한 설명으로 적합하지 않은 것은?
     1. 다음 단파의 임피던스 정합을 용이하게 시킬 수 있다.
     2. 직류 바이어스 회로를 교류 신호 회로와 무관하게 설계할 수 있다.
     3. 주파수 특성이 RC 결합 증폭 회로보다 더 좋다.
     4. 부피가 크고 값이 비싸다.

     정답 : []
     정답률 : 52%
     <문제 해설>
RC회로는 주파수 특성이 가장 좋은 회로입니다.
[해설작성자 : 정석고컴퓨터공학동아리]

6. 구형파의 입력을 가하여 폭이 좁은 트리거 펄스를 얻는데 사용되는 회로는?
     1. 미분회로
     2. 적분회로
     3. 발진회로
     4. 클리핑회로

     정답 : []
     정답률 : 58%
     <문제 해설>
미분회로는 트리거 펄스를 얻는데 사용되고 적분회로는 톱니파를 얻는데 사용된다.
[해설작성자 : 정석고컴퓨터공학동아리]

7. J-K 플립플롭을 이용하여 D 플립플롭을 만들 때 필요한 논리 게이트(gate)는?
     1. AND
     2. NOT
     3. NAND
     4. NOR

     정답 : []
     정답률 : 72%
     <문제 해설>
D-FF는 RS-FF에서 2개의 입력 R,S 가 동시에 1인 경우에도 불확정한 출력상태가 되지 않도록 하기위해서 인버터 하나를 입력양단에 부가한것이다. 그래서 JK-FF 에선 NOT을 이용하여야 한다
[해설작성자 : 의료고 민띵이가]

8. 다음 중 정류기의 평활회로 구성으로 가장 적합한 것은?
     1. 저역 통과 여파기
     2. 고역 통과 여파기
     3. 대역 통과 여파기
     4. 고역 소거 여파기

     정답 : []
     정답률 : 77%
     <문제 해설>
평활회로는 정류기 출력 전압의 맥동을 감쇠시키는 회로로 저역 통과 여파기를 사용한다.

9. 발진기는 부하의 변동으로 인하여 주파수가 변화되는데 이것을 방지하기 위하여 발진기와 부하 사이에 넣는 회로는?
     1. 동조 증폭기
     2. 직류 증폭기
     3. 결합 증폭기
     4. 완충 증폭기

     정답 : []
     정답률 : 68%
     <문제 해설>
발진기에서 부하의 변동으로 주파수가 변화되는 것을 막기 위해 부하 사이에 넣는 회로는 완충 증폭기이다

부하의 변동이 충격을 주는 것을 막기 위해 충격을 줄여주는 완충 증폭기를 사용한다 라고 외우면 편하다
[해설작성자 : 느금피P]

10. 주파수 변조 방식의 특징이 아닌 것은?
     1. 주파수 변별기를 이용하여 복조한다.
     2. 점유 주파수 대역폭이 좁다.
     3. S/N이 개선된다.
     4. 페이딩 영향이 적고 신호 방해가 적다.

     정답 : []
     정답률 : 65%
     <문제 해설>
점유 주파수 대여폭은 좁지않고 넓습니다.
[해설작성자 : 대구전자공고]

11. 다음 중 R-S 플립플롭(flip-flop)에서 진리표가 R = 1, S = 1 일 때, 출력은? (단, 클럭 펄스는 1 이다.)
     1. 0
     2. 1
     3. 불변
     4. 불능

     정답 : []
     정답률 : 66%
     <문제 해설>
R    S |Q
-----|--
0    0 |불변(유지)
0    1 |1
1    0 |0
1    1 |불능(금지)


[해설작성자 : 내눈을바라봐]

12. 다음 회로는 수정 발진기의 가장 기본적인 회로이다. 발진 회로에 A에 들어갈 부품은?

    

     1. 저항
     2. 코일
     3. TR
     4. 커패시터

     정답 : []
     정답률 : 69%
     <문제 해설>
발진주파수가 비교적 높고 안정적인 발진을 하기 위한 수정진동자 양 단자에 부하용량인 커패시터를 달아서 사용한다
[해설작성자 : 공마고 클라쓰]

13. 증폭기의 가장 이상적인 잡음 지수는? (단, 증폭기 내에서 잡음발생이 없음을 의미한다.)
     1. 0
     2. 1
     3. 100
     4. ∞(무한대)

     정답 : []
     정답률 : 73%
     <문제 해설>
무잡음 상태의 잡음지수는 F=1
[해설작성자 : 공주마이스터고등학교 전기전자과 학생]

14. 그림의 회로에서 출력전압의 Vo의 크기는? (단, V는 실효값이다.)

    

     1. 2V
     2. √2V
     3. 2√2V
     4. V2

     정답 : []
     정답률 : 69%
     <문제 해설>
전파에서 Vo = 2Vm = 2√2Vm
[해설작성자 : 원인재]

15. 발진 회로 중에서 각 특성을 비교하였을 때 바르게 연결한 것은?
     1. RC 발진 회로는 가격이 저가이다.
     2. LC 발진 회로는 안정성이 양호하다.
     3. 수정 발진 회로는 Q값이 작다.
     4. 세라믹 발진 회로는 저주파 측정용 발진기 용도로 쓰인다.

     정답 : []
     정답률 : 49%
     <문제 해설>
LC발진기는 주파수특성이 나쁘다
수정발진기는 선택도 Q가 매우 높고 안정도가 매우 좋다
RC발진기는 저주파 바린기로 사용된다
[해설작성자 : 공마고 클라쓰]

LC 발진 회로는 안정성이 양호한 것은 아니다.
수정 발진 회로는 Q값이 높다.
세라믹 발진 회로는 저주파가 아니라 고주파 측정용 발진기 용도로 쓴다.
[해설작성자 : comcbt.com 이용자]

2과목 : 전자계산기일반


16. 이상적인 펄스 파형에서 최대 진폭 Amax의 90% 되는 부분에서 10%가 되는 부분까지 내려가는데 소요되는 시간은?
     1. 지연시간
     2. 상승시간
     3. 하강시간
     4. 오버슈트 시간

     정답 : []
     정답률 : 86%
     <문제 해설>
최대진폭에서 내려올 경우 하강시간, 그 반대일 경우 상승시간이라고 생각하시면 됩니다.
[해설작성자 : 경남항공고 2주의 기적]

17. Von Neumann형 컴퓨터 연산자의 기능이 아닌 것은?
     1. 제어 기능
     2. 기억 기능
     3. 전달 기능
     4. 함수 연산 기능

     정답 : []
     정답률 : 48%
     <문제 해설>
연산자들이 가져야 하는 기능 4가지는 제어, 전달, 함수연산, 입출력 기능이다.
[해설작성자 : 대구고 빛나는 대머리 독수리의 제자]

18. 주 기억 장치에 대한 설명이 아닌 것은?
     1. 최종 결과 기억
     2. 데이터 연산
     3. 중간 결과 기억
     4. 프로그램 기억

     정답 : []
     정답률 : 68%
     <문제 해설>
연산은    : ALU
연산 결과 일시 저장 : ACC(누산기)
[해설작성자 : 밀양금성컴퓨터학원 ☎055-354-3344]

19. 반가산기의 합과 자리올림에 대한 논리식으로 옳은 것은? (단, 입력은 A와 B이고, 합은 S, 자리올림은 C이다.)
     1.
     2.
     3.
     4.

     정답 : []
     정답률 : 61%
     <문제 해설>
반가산기: 2개의 2진수 A와 B를 더한 합(sum) S와 자리올림(carry) C를 얻는 회로이다.
반가산기 회로를 외우면 된다. S= A 엑스오아 B 이고 C= AB 이다.
[해설작성자 : 의료고 민띵이가]

20. 마이크로프로세서에서 누산기의 용도는?
     1. 명령의 해독
     2. 명령의 저장
     3. 연산 결과의 일시 저장
     4. 다음 명령의 주소 저장

     정답 : []
     정답률 : 82%

21. 다음 프로그래밍 언어 중 가장 단순하게 구성되어 처리 속도가 가장 빠른 것은?
     1. 기계어
     2. 베이직
     3. 포트란
     4. C

     정답 : []
     정답률 : 76%
     <문제 해설>
기계어는 번역할 필요가 없으니까 처리속도가 빠르겠죠?
[해설작성자 : 중소만 피하자]

22. 다음 중 가상기억장치를 가장 올바르게 설명한 것은?
     1. 직접 하드웨어를 확장시켜 기억용량을 증가시킨다.
     2. 자기테이프 장치를 사용하여 주소공간을 확대한다.
     3. 보조기억장치를 사용하여 주소공간을 확대한다.
     4. 컴퓨터의 보안성을 확보하기 위한 차폐 시스템이다.

     정답 : []
     정답률 : 69%
     <문제 해설>
가상 기억장치 : 주기억장치의 대용량화를 위한 매크로 레벨 구조의 기술로서 소프트웨어의 의해 이루어지며16비트 이상의 마이크로프로세서에서 사용하고 있다.
[해설작성자 : 의료고 민띵이가]

23. 연산될 데이터의 값을 직접 오퍼랜드에 나타내는 주소 지정 방식은?
     1. 직접 주소 지정 방식
     2. 상대 주소 지정 방식
     3. 간접 주소 지정 방식
     4. 레지스터 방식

     정답 : []
     정답률 : 78%
     <문제 해설>
직접 주소 지정 방식:명령의 주소 부분이 그대로 유효 명령의 주소 필드로 지정되는 주소 지정 방식. (→간접^어드레싱^모드, 간접^주소^지정^방식)
[해설작성자 : 전자과꼴찌피하자]

24. 다음은 중앙처리장치에 있는 레지스터를 설명한 것이다. 명칭에 맞게 기능을 바르게 설명한 것은?
     1. 명령 레지스터(PC) - 주기억 장치의 번지를 기억한다.
     2. 기억 레지스터(MAR) - 중앙 처리 장치에서 현재 수행중인 명령어의 내용을 기억한다.
     3. 번지 레지스터(MBR) - 주기억 장치에서 연산에 필요한 자료를 호출하여 저장한다.
     4. 상태 레지스터 – CPU의 각종 상태를 표시하며 각 비트별로 할당하여 플래그 상태를 나타낸다.

     정답 : []
     정답률 : 62%
     <문제 해설>
명령 레지스터 - 현재 실행중에 있는 명령 코드를 보존하는 레지스터로 명령부와 어드레스부로 구성된다.
기억 레지스터 - 명령 레지스터나 명령 계수기가 지정하는 주기억장치의 내용을 임시로 보관하는 역할.
번지 레지스터 - 기억장치 내에 있는 데이터의 어드레스나 기억된 데이터를 읽을때, 읽고자하자 하는 자료의 어드레스를 임시로 기억한다.
[해설작성자 : 의료고 민띵이가]

25. 다음 그림과 같은 형식은 어떤 주소 지정 형식인가?

    

     1. 직접데이터 형식
     2. 상대주소 형식
     3. 간접주소 형식
     4. 직접주소 형식

     정답 : []
     정답률 : 58%

26. 다음 중 스택(stack)을 필요로 하는 명령 형식은?
     1. 0-주소
     2. 1-주소
     3. 2-주소
     4. 3-주소

     정답 : []
     정답률 : 62%
     <문제 해설>
0-주소
기억장치 스택을 사용하며 주소 필드는 사용하지 않음
명령어의 길이가 짧아 기억 공간을 적게 차지하나 많은 야으이 정보가 스택과 주기억장치를 이동하므로 비효율적
[해설작성자 : 수도공고 전자과O_<]

27. 다음 중 주 기억 장치는?
     1. RAM
     2. FDD
     3. SSD
     4. HDD

     정답 : []
     정답률 : 78%
     <문제 해설>
나머지는 보조기억 장치
[해설작성자 : 학공]

28. 다음의 프로그램 언어 중 인간중심의 고급언어로서 컴파일러 언어만으로 짝지어진 것은?
     1. 코볼, 베이직
     2. 포트란, 코볼
     3. 베이직, 어셈블리 언어
     4. 기계어, 어셈블리 언어

     정답 : []
     정답률 : 67%
     <문제 해설>
저급언어 : 기계어, 어셈블리어, 베이직 등
고급언어 : 코볼, C언어, 포트란, 자바, 파이선 등
[해설작성자 : 박준용]

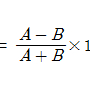
29. 안테나의 급전선 임피던스(Zr)가 75Ω이고, 여기에 특성 임피던스(Zo)가 50Ω인 필터를 연결한다면 반사 계수는?
     1. 0.1
     2. 0.2
     3. 0.4
     4. 0.75

     정답 : []
     정답률 : 54%
     <문제 해설>
반사계수= (Zr-Zo)/(Zr+Zo)
[해설작성자 : 경북과기고]

30. 금속성의 도전성 피가열 재료에 코일을 감고 교류 전류를 흘리면 코일 주변에 전자기유도에 의해 유도된 2차 전류가 피가열 재료를 흐르는 경우에 발생하는 줄열(Joule’s heat)을 이용하는 방식은?
     1. 유도 가열
     2. 유전 가열
     3. 초음파 가열
     4. 적외선 가열

     정답 : []
     정답률 : 72%

3과목 : 전자측정


31. 실제 이득을 측정하기 위해서 회로를 구성할 시에 LPT 앞단에 필요한 것은?

    

     1. A/D 변환기
     2. 저주파 발진기
     3. 고역 통과 필터
     4. 비교 검출기

     정답 : []
     정답률 : 55%
     <문제 해설>
증폭기의 이득을 측정하려면 저주파가 필요합니다.
[해설작성자 : 정석고컴퓨터공학동아리]

32. 다음과 같은 특징을 가지는 측정 계기는?

    

     1. 동축 주파수계
     2. 공동 주파수계
     3. 계수형 주파수계
     4. 흡수형 주파수계

     정답 : []
     정답률 : 62%
     <문제 해설>
흡수형 주파수계- R,L,C의 공진 회로 밑 검출 지시부로 구성된 공진형 주파수계
구조가 간단하며 전원이 불필요, 감도가 나쁘고 확도도 낮음, 100mhz이하의 대략 주파수 측정에 이용
[해설작성자 : 평택마이스터고대황제전기과]

33. 오실로스코프로 직접 측정할 수 없는 것은?
     1. 주파수
     2. 위상
     3. 회전수
     4. 파형

     정답 : []
     정답률 : 78%
     <문제 해설>
(분당)회전수를 측정하려면 RPM측정기가 필요해요.
[해설작성자 : 정석고컴퓨터공학동아리]

34. 수신기의 내부 잡음 측정에서 잡음이 없는 경우 잡음 지수 F는 얼마인가?
     1. F = 1
     2. F > 1
     3. F < 1
     4. F = 2

     정답 : []
     정답률 : 80%

35. 가동 코일형 계기로 교류 전압을 측정하고자 한다. 어떤 장치를 필요로 하는가?
     1. 증폭기
     2. 혼합기
     3. 정류기
     4. 발진기

     정답 : []
     정답률 : 57%
     <문제 해설>
가동 코일형 계기 : 정류기
[해설작성자 : 이다은사랑해]

36. 인덕턴스의 측정에 사용되는 브리지의 종류가 아닌 것은?
     1. 맥스웰 브리지
     2. 윈 브리지
     3. 헤이 브리지
     4. 헤비사이드 브리지

     정답 : []
     정답률 : 52%
     <문제 해설>
윈브리지는 가청주파수 측정에 사용된다.
[해설작성자 : 공마고 클라쓰]

37. 주파수 측정 계기로 측정하였을 때 1분 동안에 반복 회수가 72000회이었다면 주파수는 몇 Hz 인가?
     1. 300
     2. 600
     3. 900
     4. 1200

     정답 : []
     정답률 : 81%
     <문제 해설>
1분은 60초
72000/60 = 1200
[해설작성자 : 수도공고 전자과]

38. LED의 극성을 측정하기 위하여 LED의 양 리드 단자에 회로시험기의 테스트 봉을 교대로 접속했을 때의 설명으로 옳은 것은?
     1. 한쪽에서는 LED가 점등되고, 다른 방향에서는 소등되면 정상적인 LED이다.
     2. 한쪽에서는 LED가 점등되고, 다른 방향에서도 점등되면 정상적인 LED이다.
     3. 한쪽에서는 LED가 소등되고, 다른 방향에서도 소등되면 정상적인 LED이다.
     4. 회로시험기로는 LED의 극성을 판별할 수 없다.

     정답 : []
     정답률 : 76%
     <문제 해설>
LED도 다이오드의 일종이므로 전류가 한쪽으로만 흐르게 되있습니다. 따라서 한쪽에서 점등되면 다른쪽은 소등됩니다.
[해설작성자 : 수원공고만만세!]

39. 정현파와 구형파 발진기에서 정현파가 만들어진 상태에서 구형파를 출력하기 위하여 사용되는 회로는?
     1. 적분 회로
     2. 미분 회로
     3. 필터(Filter) 회로
     4. 시미트 트리거(Schmitt trigger) 회로

     정답 : []
     정답률 : 66%
     <문제 해설>
슈미트 트리거 회로 (Schmitt Trigger)
    ㅇ 히스테리시스를 갖는 비교기의 일종
         - 통상, 비교기에 정귀환을 걸어, 이력 특성을 갖도록 만든, 쌍안정 멀티바이브레이터
    ㅇ 2개의 안정된 출력 상태를 갖는 쌍안정 멀티바이브레이터의 일종
         - 구형파 발생기(비안정 멀티바이브레이터), 펄스 발생기(단안정 멀티바이브레이터) 등에
[해설작성자 : 전자과꼴찌피하자]

40. 전류계와 전압계를 연결하여 직류 전력을 측정하고자 할 때 측정 계기의 지시 값이 12V, 2A이고 전압계 내부 저항 rv = 48Ω일 때, 저항 R의 소비 전력은 몇 W 인가?

    

     1. 12
     2. 18
     3. 21
     4. 24

     정답 : []
     정답률 : 44%
     <문제 해설>
P=VI-(V^2/rv)
여기서 rv는 내부저항입니다
[해설작성자 : 전자공고 재학생]

R에 흐르는 전류는 전류계에 흐르는전류에서 전압계에 흐르는 전류를 빼는 거 아님??그래서 2-12÷48=1.75,1.75×12=21
[해설작성자 : 좆자 학생]

아래와 같은 오류 신고가 있었습니다.
여러분들의 많은 의견 부탁 드립니다.
추후 여러분들의 의견을 반영하여 정답을 수정하도록 하겠습니다.
참고로 정답 변경은 오류 신고 5회 이상일 경우 수정합니다.

[오류 신고 내용]
VI-(V^2/r)
[해설작성자 : 공주마고 리민다이니]

[오류신고 반론]
입력 측에 직렬로 전류계를 연결하고 전압계는 부하와 병렬로 연결하여 측정하는 대전류 소전압 측정 방식입니다.
P=VI-V^2/rv가 맞습니다.
전자기기능사 필기(책과상상출판사) P164 하단

41. 태양전지에서 음극(-) 단자와 연결된 부분의 물질은?
     1. P형 실리콘판
     2. 셀렌
     3. N형 실리콘판
     4. 붕소

     정답 : []
     정답률 : 78%
     <문제 해설>
엔마(N,-)는 피플(P,+)이다 라고 외우시면 편해요
[해설작성자 : 달달 오리]

42. 다이오드를 사용한 정류회로에서 과다한 부하 전류에 의하여 다이오드가 파손될 우려가 있을 경우, 이를 방지하기 위한 조치로 옳은 것은?
     1. 다이오드를 병렬로 추가한다.
     2. 다이오드를 직렬로 추가한다.
     3. 다이오드 양단에 적당한 값의 저항을 추가한다.
     4. 다이오드 양단에 적당한 값의 콘덴서를 추가한다.

     정답 : []
     정답률 : 68%
     <문제 해설>
위 문제는 과한 전류이기에 즉 과전류 보호를 해야한다. 전류는 병렬로 연결이 될 때 나누어져서 다이오드를 병렬로 추가하여 크기를 줄인다고 생각하시면 되고 과전압을 보호할 때 전압은 직렬일 때 나누어지기 때문에 직렬로 다이오드를 추가하여 줄인다고 생각하시면 쉽게 외우실 것 같습니다 ^-^
[해설작성자 : 전자기기 붙어야지이]

43. 오디오 시스템의 주 증폭기에 사용되는 회로로 2개의 트랜지스터가 부하에 대하여 직렬로 동작하고, 직류 전원에 대해서는 병렬로 접속되는 회로는?
     1. DEPP 회로
     2. SEPP 회로
     3. OTL회로
     4. Equalizer 회로

     정답 : []
     정답률 : 64%
     <문제 해설>
직류전원에 대해서 병렬 : Deep
직류전원에 대해서 직렬 : Seep
[해설작성자 : Serone]

44. 캐비테이션에 관한 설명 중 틀린 것은?
     1. 강력한 초음파를 기체에 방사했을 때 생긴다.
     2. 진동자의 진동면 부근에 안개 모양의 기포가 생긴다.
     3. 공동작용이라고도 하며 독특한 소음을 낸다.
     4. 초음파가 더욱 강해지면 분사현상이 공기 중에 분출된다.

     정답 : []
     정답률 : 47%
     <문제 해설>
캐비테이션은 강력한 초음파를 '액체'속에 방사했을 때 생깁니다!
[해설작성자 : 월혼]

아래와 같은 오류 신고가 있었습니다.
여러분들의 많은 의견 부탁 드립니다.
추후 여러분들의 의견을 반영하여 정답을 수정하도록 하겠습니다.
참고로 정답 변경은 오류 신고 5회 이상일 경우 수정합니다.

[오류 신고 내용]
캐비테이션은 액체 속에 방사했을 때 나타나는 거라고 되어 있는데 확인 부탁드립니다.
[해설작성자 : comcbt.com 이용자]

45. 다음 그림의 회로에서 C = 1㎌, R = 1 ㏁일 때 전달함수 G(s)는?

    

     1.
     2.
     3. s
     4.

     정답 : []
     정답률 : 67%
     <문제 해설>
RC적분회로의 전달함수 G(s)=1/1+s
[해설작성자 : 구전공 재학생]

46. 주국과 종국의 전파도래 시간차를 측정하는 방식은?
     1. 로란(Loran)방식
     2. 데카(decca)방식
     3. p-θ식
     4. 방사상 방식

     정답 : []
     정답률 : 60%
     <문제 해설>
로란(Loran):펄스전파를 이용하는 쌍곡선 항법
무선원거리 항행 원조시설 또는 그 방식을 말한다. 송신국(무선표지)에서 매우 먼 거리, 특히 대양을 항행하는 선박이나 항공기에 항법상의 데이터를 준다.
[해설작성자 : 전자과꼴찌피하자]

47. 소리의 3요소에 포함되지 않는 것은?
     1. 소리의 세기
     2. 소리의 고저
     3. 소리의 음색
     4. 소리의 가락

     정답 : []
     정답률 : 69%
     <문제 해설>
소리의 3요소
1.소리의 세기
종소리의 크기가 서로 다를 때 이와 관련 있는 파동의 특징은 음파 진폭의 제곱 크기이다. 진폭이 크면 클수록 더 큰 소리가 나게 된다. 소리의 세기는 음파를 특징지어주는 세 요소 중 첫 번째 요소이다.

2.소리의 높낮이(소리의 진동수,고저)
진동수가 클수록 여성의 목소리처럼 고음의 소리가 나게 되며 진동수가 낮을수록 남성의 목소리처럼 저음의 소리가 나게 된다. 소리의 높낮이는 음파를 특징지어주는 세 요소 중 두 번째 요소이다.

3.소리의 맵시(음파의 가락,모양)
파형의 세부적인 모양의 차이가 결과적으로 같은 음을 내는 악기의 소리가 전혀 다른 느낌으로 다가오게끔 하는 것이다. 파형의 세부 모양을 의미하는 소리의 맵시는 음파를 특징지어주는 세 요소 중 마지막 요소이다. 소리의 맵시는 음색이라고도 한다.
[해설작성자 : 전자과꼴찌피하자]

48. Full-HD 해상도를 나타내는 1080p에서 p의 의미는?
     1. 프로토타입(prototype)
     2. 프로그램(program)
     3. 프로테크닉(protechnic)
     4. 프로그레시브(progressive)

     정답 : []
     정답률 : 68%

49. 서보 기구에 사용되지 않는 것은?
     1. 싱크로
     2. 리졸버
     3. 단상전동기
     4. 차동 변압기

     정답 : []
     정답률 : 56%

50. 다이나믹 스피커에 들어 있지 않은 부품은?
     1. 영구자석
     2. 댐퍼(damper)
     3. 가동전극
     4. 가동 코일

     정답 : []
     정답률 : 49%
     <문제 해설>
다이나믹 스피커 : 가청 주파수로 변동하는 자계중에 진동판에 부속한 코일을 넣어 가청 주파 전류를 음파로 바꾸는 장치이다
[해설작성자 : 구전공 서강준]

51. 원래 사운드의 잔향 효과를 나타내기 위해 사용하는 사운드 이펙터(Effector)는?
     1. 디스토션(distortion)
     2. 리버브(reverb)
     3. 오버드라이브(overdrive)
     4. 컴프레셔(compressor)

     정답 : []
     정답률 : 63%
     <문제 해설>
Reverb가 에코라는 뜻입니당
[해설작성자 : 치즈돈까스 먹고싶어]

52. 자동차 내비게이션 등에 일반적으로 사용되는 위치 인식 장치 명칭은?
     1. GIS
     2. GNS
     3. GAS
     4. GPS

     정답 : []
     정답률 : 85%
     <문제 해설>
위치라는 용어가 나오면 대부분 GPS(global positioning system,위성항법장치)입니다.
[해설작성자 : 전자과꼴찌피하자]

53. IPTV를 이용하기 위한 장치 중 반드시 필요한 장치가 아닌 것은?
     1. TV 수상기
     2. 컴퓨터
     3. 인터넷 회신
     4. 셋톱박스

     정답 : []
     정답률 : 74%
     <문제 해설>
TV인데 컴퓨터는 필요 없습니다
[해설작성자 : 수도공고 전자과]

54. 다음 회로의 시정수는 몇 s 인가?

    

     1. 0.2
     2. 0.6
     3. 2
     4. 6

     정답 : []
     정답률 : 71%
     <문제 해설>
(0.6X10^-6승) X (1X10^6승) = 0.6    

마이크로 = 10^-6승
메가 = 10^6승
[해설작성자 : 경남항공고등학교 전교 1등 전자과 ]

55. 디지털 비디오에 대한 설명으로 틀린 것은?
     1. 고해상도 구현이 가능하다.
     2. 별도의 디코더 없이 재생 가능하다.
     3. 복제, 배포가 용이하다.
     4. 영상의 추출 편집이 용이하다.

     정답 : []
     정답률 : 73%
     <문제 해설>
디지털 비디오는 별도의 디코더로 재생이 가능하다. (별도의 디코더가 필요하다.)
[해설작성자 : 부공]

56. 초음파 집진기는 초음파의 어떤 작용을 이용한 것인가?
     1. 응집작용
     2. 분산작용
     3. 확산작용
     4. 에멀션화작용

     정답 : []
     정답률 : 68%
     <문제 해설>
한자 모을 집 자를 써서 집진기는 응집 작용을 이용한 것이다
[해설작성자 : 부공]

57. 영상 편집을 위해 캠코더와 컴퓨터를 연결하기 위한 인터페이스는?
     1. RS-232C
     2. RS-485C
     3. IEEE1394
     4. IEEE1284

     정답 : []
     정답률 : 64%
     <문제 해설>
IEEE1394는 캠코더에 쓰인 인터페이스로서 기업 별로 다양한 이름(Firewire, i.Link, Lynx)으로 불리며 사용되었습니다.
값싼 USB가 더 발전하면서 소비자 시장에서 도태되었습니다.
[해설작성자 : CBT로 이해할 수 있으면 좋지]

58. 자기 테이프의 녹음 바이어스(recording bias)에 대한 설명으로 옳은 것은?
     1. 초단 증폭기의 동작점을 결정하는 바이어스
     2. 녹음헤드에 전류를 가하여 테이프에 가지 특성점을 결정하는 바이어스
     3. 재생헤드에 전압을 가하여 출력 주파수 특성점을 결정하는 바이어스
     4. 녹음 입력회로의 특성을 결정하는 바이어스

     정답 : []
     정답률 : 55%
     <문제 해설>
녹음 바이어스는 자기 테이프에 데이터를 기록할 때, 녹음헤드에 인가되는 고주파 신호를 말합니다. 이 신호는 테이프의 자기 입자들을 더욱 쉽게 자화시킬 수 있도록 도와줍니다.
[해설작성자 : 권경애]

59. 전자현미경의 배율을 크게 하려면?
     1. 전자총의 길이를 길게 한다.
     2. 전자렌즈의 크기를 줄인다.
     3. 전자렌즈의 자기장을 강하게 한다.
     4. 전자렌즈가 오목렌즈의 역할을 하도록 한다.

     정답 : []
     정답률 : 70%

60. 주파수 변조를 진폭 변조와 비교 설명한 것으로 틀린 것은?
     1. 점유 주파수 대역폭이 넓다.
     2. 초단파 내의 통신에 적합하다.
     3. S/N비가 좋아진다.
     4. 잡음을 제거하기가 어렵다.

     정답 : []
     정답률 : 56%


정 답 지

1

2

3

4

5

6

7

8

9

10

11

12

13

14

15

16

17

18

19

20

21

22

23

24

25

26

27

28

29

30

31

32

33

34

35

36

37

38

39

40

41

42

43

44

45

46

47

48

49

50

51

52

53

54

55

56

57

58

59

60

전자기능사 필기 기출문제(해설) 및 CBT 2016년01월24일(1회)을 이용해 주셔서 감사합니다.
전자기기능사, 전자기기, 전자, 기기, 기능사, 필기, 기출문제, 전자문제집, CBT, 온라인, 모의테스트, 모의고사



List of Articles
번호 제목 글쓴이 날짜 조회 수
13989 전자캐드기능사 필기 기출문제(해설) 및 CBT 2011년07월31일(4회)(6884) new 좋은아빠되기 2025.11.25 0
13988 전자캐드기능사 필기 기출문제(해설) 및 CBT 2011년04월17일(2회)(6883) new 좋은아빠되기 2025.11.25 0
13987 전자캐드기능사 필기 기출문제(해설) 및 CBT 2010년10월03일(5회)(6882) new 좋은아빠되기 2025.11.25 0
13986 전자캐드기능사 필기 기출문제(해설) 및 CBT 2010년07월11일(4회)(6881) new 좋은아빠되기 2025.11.25 0
13985 전자캐드기능사 필기 기출문제(해설) 및 CBT 2010년03월28일(2회)(6880) new 좋은아빠되기 2025.11.25 0
13984 전자캐드기능사 필기 기출문제(해설) 및 CBT 2009년09월27일(5회)(6878) new 좋은아빠되기 2025.11.25 0
13983 전자캐드기능사 필기 기출문제(해설) 및 CBT 2009년07월12일(4회)(6877) new 좋은아빠되기 2025.11.25 0
13982 전자캐드기능사 필기 기출문제(해설) 및 CBT 2009년03월29일(2회)(6876) new 좋은아빠되기 2025.11.25 0
13981 전자캐드기능사 필기 기출문제(해설) 및 CBT 2008년07월13일(4회)(6875) new 좋은아빠되기 2025.11.25 0
13980 전자캐드기능사 필기 기출문제(해설) 및 CBT 2008년03월30일(2회)(6874) new 좋은아빠되기 2025.11.25 0
13979 전자캐드기능사 필기 기출문제(해설) 및 CBT 2007년09월16일(5회)(6873) new 좋은아빠되기 2025.11.25 0
13978 전자캐드기능사 필기 기출문제(해설) 및 CBT 2006년10월01일(5회)(6872) new 좋은아빠되기 2025.11.25 0
13977 전자캐드기능사 필기 기출문제(해설) 및 CBT 2006년04월02일(2회)(6871) new 좋은아빠되기 2025.11.25 0
13976 전자캐드기능사 필기 기출문제(해설) 및 CBT 2005년07월17일(4회)(6870) new 좋은아빠되기 2025.11.25 0
13975 전자캐드기능사 필기 기출문제(해설) 및 CBT 2004년07월18일(4회)(6869) new 좋은아빠되기 2025.11.25 0
13974 전자캐드기능사 필기 기출문제(해설) 및 CBT 2003년07월20일(4회)(6868) new 좋은아빠되기 2025.11.25 0
13973 전자캐드기능사 필기 기출문제(해설) 및 CBT 2002년12월08일(5회)(6867) new 좋은아빠되기 2025.11.25 0
13972 전자기능사 필기 기출문제(해설) 및 CBT 2016년07월10일(4회)(6866) new 좋은아빠되기 2025.11.25 0
13971 전자기능사 필기 기출문제(해설) 및 CBT 2016년04월02일(2회)(6865) new 좋은아빠되기 2025.11.25 0
» 전자기능사 필기 기출문제(해설) 및 CBT 2016년01월24일(1회)(6864) new 좋은아빠되기 2025.11.25 0
Board Pagination Prev 1 ... 131 132 133 134 135 136 137 138 139 140 ... 835 Next
/ 835