자격증 필기 기출문제



소방설비산업기사(기계) 필기 기출문제(해설) 및 CBT 2007년09월02일(7746)

최강 자격증 기출문제 전자문제집 CBT : www.comcbt.com


전자문제집 CBT란?

종이 문제집이 아닌 인터넷으로 문제를 풀고 자동으로 채점하며 모의고사, 오답 노트, 해설까지 제공하는
무료 기출문제 학습 프로그램으로 실제 상설검정에서 사용하는 OMR 형식의 CBT를 제공합니다.


최신 소방설비산업기사(기계) 필기 기출문제 : [다운로드]

1과목 : 소방원론


1. 다음 중 연소의 3요소를 옳게 나열한 것은?
     1. 가연물, 산소, 점화원
     2. 가연물, 산소, 연쇄반응
     3. 고체가연물, 기체가연물, 액체가연물
     4. 전도, 대류, 복사

     정답 : []
     정답률 : 100%

2. 다음 물질 중 연소 범위가 가장 넓은 것은?
     1. 아세틸렌
     2. 메탄
     3. 프로판
     4. 에탄

     정답 : []
     정답률 : 77%

3. 다음 중 바닥부분의 내화구조 기준으로 틀린 것은?
     1. 철근 콘크리트조로서 두께가 5cm 이상인 것
     2. 철골철근 콘크리트조로서 두께가 10cm 이상인 것
     3. 철재로 보강된 콘크리트 블록조ㆍ벽돌조 또는 석조로서 철재에 덮은 콘크리트블록 등의 두께가 5cm 이상인 것
     4. 철재의 양면을 두께 5cm 이상의 철망모르타르 또는 콘크리트로 덮은 것

     정답 : []
     정답률 : 44%

4. 소화(消火)를 하기 위한 방법으로 틀린 것은?
     1. 산소의 농도를 낮추어 준다.
     2. .가연성 물질을 냉각시킨다.
     3. 가열원을 계속 공급한다.
     4. 연쇄반응을 억제한다.

     정답 : []
     정답률 : 93%
     <문제 해설>
가연물을 공급하면 화재가 커짐~
[해설작성자 : 주기사]

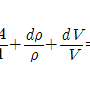
5. 증기비중을 구하는 식은 다음과 같다. 분모의 ( )속에 가장 알맞은 값은?

   

     1. 15
     2. 21
     3. 22.4
     4. 29

     정답 : []
     정답률 : 83%

6. 제4류 위험물의 제조소에서 게시판에 주의사항을 표시하려고 할 때 가장 적당한 것은?
     1. 물기주의
     2. 화기주의
     3. 화기엄금
     4. 충격주의

     정답 : []
     정답률 : 79%

7. 건축물의 내부에 설치하는 피난계단의 구조는 내화구조로 하고, 어디까지 직접 연결되도록 하는가?
     1. 피난층 또는 옥상
     2. 피난층 또는 지상
     3. 개구부 또는 옥상
     4. 개구부 또는 지하

     정답 : []
     정답률 : 80%

8. 다음 중 인화점이 가장 낮은 물질은?
     1. 등유
     2. 아세톤
     3. 경유
     4. 아세트산

     정답 : []
     정답률 : 73%

9. 다음 물질 중 금수성 물질에 해당하는 것은?
     1. 유황
     2. 탄화칼슘
     3. 황린
     4. 이황화탄소

     정답 : []
     정답률 : 71%

10. 내화구조 기준에서 외벽 중 비내력벽의 경우에는 철근 콘크리트조의 두게가 몇 cm 이상인 것인가?
     1. 5
     2. 6
     3. 7
     4. 8

     정답 : []
     정답률 : 39%

11. 물의 증발잠열은 몇 kcal/kg 인가?
     1. 439
     2. 539
     3. 639
     4. 739

     정답 : []
     정답률 : 95%

12. 다음 화재종류 중 A급 화재에 속하지 않는 것은?
     1. 목재 화재
     2. 섬유류 화재
     3. 종이류 화재
     4. 전기 화재

     정답 : []
     정답률 : 88%

13. 다음 중 제4류 위험물의 특수인화물에 해당되는 것은?
     1. 휘발유
     2. 금속칼륨
     3. 디에킬에테르
     4. 과산화수소

     정답 : []
     정답률 : 61%

14. 물의 증발잠열을 이용한 주요 소화작용에 해당하는 것은?
     1. 희석작용
     2. 염 억제작용
     3. 냉각작용
     4. 질식작용

     정답 : []
     정답률 : 73%

15. 다음 물질의 연소 중 자기연소에 해당하는 것은?
     1. 목탄
     2. 종이
     3. 유황
     4. TNT

     정답 : []
     정답률 : 69%

16. 점화원이 없이 가연물에 가열된 열에 의하여 스스로 연소가 시작되는 최저온도를 무엇이라 하는가?
     1. 발화점
     2. 인화점
     3. 임계정
     4. 승화점

     정답 : []
     정답률 : 70%

17. 자연발화를 방지하는 일반적인 방법으로 옳지 않은 것은?
     1. 통풍을 잘 시킨다.
     2. 저장실의 온도를 낮춘다.
     3. 촉매와의 접촉을 피한다.
     4. 습기를 많이 제공한다.

     정답 : []
     정답률 : 78%

18. 코크스 또는 금속분의 연소를 무슨 연소라고 하는가?
     1. 분해연소
     2. 증발연소
     3. 자기연소
     4. 표면연소

     정답 : []
     정답률 : 65%

19. 산소의 공급이 원활하지 못한 화재실에 급격히 산소가 공급이 될 경우 순간적으로 연소하여 화재가 폭풍을 동반하여 실외로 분출하는 현상은?
     1. 후래쉬 오버
     2. 보일 오버
     3. 백 드래프트
     4. 슬롭 오버

     정답 : []
     정답률 : 84%

20. 다음 피난대책의 조건 중 틀린 것은?
     1. 피난로는 간단명료할 것
     2. 피난설비는 반드시 이동식 설비일 것
     3. 막다른 복도가 없도록 계획할 것
     4. 피난설비는 Fool-Proof와 Fail Safe의 원칙을 중시 할 것

     정답 : []
     정답률 : 87%

2과목 : 소방유체역학


21. 분말 소화 액제 중 A, B, C급 화재에 모두 유효한 소화약제의 주성분은?
     1. 탄산수소나트륨
     2. 탄산수소칼륨
     3. 제1인산 암모늄
     4. 요소

     정답 : []
     정답률 : 74%

22. 수평면과 45° 경사를 갖는 지름 30mm 인 원관으로부터 상방향으로 유출하는 물 제트의 유출속도가 9.8m/s 일 때 물 제트의 최고 상승 높이는 몇 m 인가?
     1. 4.45
     2. 3.45
     3. 2.45
     4. 1.45

     정답 : []
     정답률 : 18%

23. 할론 1301 소화가, CO2 소화기의 소화약제는 소화기 내부에 어떤 상태로 보존되고 있는가?
     1. 할론 1301 - 기체, CO2 - 액체
     2. 할론 1301 - 액체, CO2 - 기체
     3. 할론 1301 - 기체, CO2 - 기체
     4. 할론 1301 - 액체, CO2 - 액체

     정답 : []
     정답률 : 49%

24. 지름 300mm인 원형관 속을 6kg/s의 질랸유량으로 공기가 흐르고 있다. 관속 공기의 압력이 250 kPa, 온도가 20℃일 때 관속을 흐르는 공기의 평균속도는 몇 m/s 인가? (단, 공기의 기체상수는 0.287 kJ/kgㆍK이다.)
     1. 22.6
     2. 24.6
     3. 26.6
     4. 28.6

     정답 : []
     정답률 : 23%

25. 동점성계수외 차원을 기본차원인 질량(M), 길이(L), 시간(T)으로 표시하면?
     1. ML-1T-1
     2. ML-2T-1
     3. MLT-2
     4. L2T-1

     정답 : []
     정답률 : 39%

26. 할론 2402의 분자식은 어느 것인가?
     1. CBrF3
     2. CBrCLF2
     3. C2Br3F3
     4. C2Br2F4

     정답 : []
     정답률 : 90%

27. 직접적인 유량 측정장치로 볼 수 없는 것은?
     1. 로타미터(rotameter)
     2. 벤튜리미터(Venturi meter)
     3. 오리피스(Orifice)
     4. 부르돈관(Bourdon tube)

     정답 : []
     정답률 : 38%

28. 펌프에서 공동 현상이 발생할 때 나타나는 현상이 아닌 것은?
     1. 소음과 진동 발생
     2. 양정곡선 저하
     3. 효율곡선 증가
     4. 펌프 깃의 침식

     정답 : []
     정답률 : 86%

29. 레이놀즈수의 물리적 의미로 가장 적합한 것은?
     1. 관성력/표면장력
     2. 관성력/중력
     3. 압력/동압
     4. 관성력/점성력

     정답 : []
     정답률 : 49%

30. 압력이 100kPa이고 온도가 27℃ 일 때 5m×10m×5m인 실내에 있는 공기의 질량은 몇 kg인가? (단, 공기는 이상기체라 가정하고, 기체상수는 287J/kgㆍK이다.)
     1. 29
     2. 270
     3. 290
     4. 3230

     정답 : []
     정답률 : 35%

31. 다음 중 열역학 제1법칙은?
     1. 절대온도 0도에서 엔트로피가 0이다.
     2. 일, 열 및 내부에너지 사이의 관계식이다.
     3. 사이클과정에서 열이 모두 일로 변화할 수 없다.
     4. 열평형상태에 있는 두 물체의 온도는 같다.

     정답 : []
     정답률 : 42%

32. 소화배관의 길이가 1500m, 배관의 구경(내경) 200mm인 관을 통하여 2m/s의 평균속도로 소화수가 흐르고 있다면 손실수두는 몇 m가 되겠는가? (단, 마찰계수는 0.03 이다.)
     1. 43.9
     2. 45.9
     3. 48.9
     4. 50.9

     정답 : []
     정답률 : 52%

33. 원관 내 흐름에 대한 설명 중 틀린 것은?
     1. 층류 흐름에서의 관마찰계수는 이다.
     2. 점성 유체가 층류로 흐를 때 평균속도는 최대 속도의 1/4배이다.
     3. 수력구배선은 임의의 위치에서의 압력수두와 위치수두의 합을 나타낸다.
     4. 에너지선은 임의의 위치에서의 속도수두, 압력수두, 위치수두의 합을 나타낸다.

     정답 : []
     정답률 : 32%

34. 공기가 게이지 압력 2.06×105Pa의 상태로 지름이 0.15m인 관속을 흐르고 있다. 이 때 대기압은 1.03×105Pa이고 공기 유속이 4m/s라면 질량유량(mass flow rate)은 약 몇 kg/s 인가? (단, 공기의 온도는 37℃이고, 기체상수는 287J/kgㆍK이다.)
     1. 0.245
     2. 2.45
     3. 0.026
     4. 25

     정답 : []
     정답률 : 34%

35. 할로겐 화합물 소화약제가 아닌 것은?
     1. C2F4Br2
     2. C6H6
     3. CF3Br
     4. CF2ClBr

     정답 : []
     정답률 : 67%

36. 다음 그림과 같은 탱크에 물이 들어 있다. A-B면(5m×3m)에 작용하는 힘은?

    

     1. 0.95 kN
     2. 10 kN
     3. 95 kN
     4. 955 kN

     정답 : []
     정답률 : 41%

37. 피토관의 두 구멍 사이에 차압계를 연결하였다. 이 피토관을 풍동실험에 사용했는데 △P가 700Pa이었다. 풍동에서의 공기 속도는 몇 m/s인가? (단, 풍동에서의 압력과 온도는 각각 98 kPa과 20℃이고 공기의 기체상수는 287 J/kgㆍK이다.)
     1. 32.53
     2. 34.67
     3. 36.85
     4. 38.94

     정답 : []
     정답률 : 52%

38. 이상기체에 대한 다음의 설명 중 틀린 것은?
     1. 엔탈피는 온도만의 함수이다.
     2. 정압비열은 온도와 압력의 함수로 볼 수 있다.
     3. 내부 에너지는 온도만의 함수이다.
     4. 엔트로피는 온도와 압력의 함수로 볼 수 있다.

     정답 : []
     정답률 : 25%

39. 무차원 유동함수(stream function) ψ가 직각좌표계(x, y)상에서 ψ=y-x2로 표현되는 정상 상태의 2차원 유동장이 있다. 유동장 내의 한 점(x=1, y=5)에서 유속의 크기는? (단, 여기서 모든 양은 무차원으로 되어 있다.)
     1. √5
     2. √13
     3. 4
     4. √26

     정답 : []
     정답률 : 15%

40. 면적이 12m2, 두께가 10mm인 유리의 열전도율이 0.8W/m℃이다. 어느 차가운 날 유리의 바깥쪽 표면온도는 -1℃ 이며 안쪽 표면온도는 3℃이다. 이 경우 유리를 통한 열전달량은 몇 W 인가?
     1. 3780
     2. 3800
     3. 3820
     4. 3840

     정답 : []
     정답률 : 30%

3과목 : 소방관계법규


41. 제4류 위험물로서 제1석유류인 수용성 액체의 지정수량은 몇 리터인가?
     1. 100
     2. 200
     3. 300
     4. 400

     정답 : []
     정답률 : 47%

42. 다음 중 소방신호의 종류별 소방신호의 방법에 해당하지 않는 것은?
     1. 타종신호
     2. 싸이렌신호
     3. 게시판
     4. 스트로보신호

     정답 : []
     정답률 : 40%

43. 소방기본법상 화재, 재난ㆍ재해 그 밖의 위급한 상황에서 발생한 응급환자를 응급처치 하거나 의료기관에 이송하기 위한 구급대의 운영, 편성권자가 아닌 것은?
     1. 소방본부장
     2. 소방서장
     3. 소방방재청장
     4. 보건복지부장관

     정답 : []
     정답률 : 88%

44. 다음 중 소방활동 등에 관한 사항으로 옳지 않은 것은?
     1. 화재현장을 발견한 사람은 그 현장의 상황을 소방서ㆍ소방본부 또는 관계행정기관에 지체 없이 알려야 한다.
     2. 소방대는 화재현장에 신속하게 충동하기 위하여 긴급한 때에는 일반적인 통행에 쓰이지 아니하는 도로ㆍ빈터 또는 물위로 통행할 수 있다.
     3. 모든 차와 사람은 소방자동차가 화재진압 및 구조ㆍ구급 활동을 위하여 출동을 하는 때에는 이를 방해하여서는 아니 된다.
     4. 화재가 발생한 때에는 그 소방대상물의 관계인은 급히 대피하여 화재의 연소상태를 살펴야 한다.

     정답 : []
     정답률 : 72%

45. 일반공사감리 대상의 경우 감리현장 연면적의 종합계가 10만m2 이하일 때 1인의 책임감리원이 담당하는 소방공사 감리현장은 몇 개 이하인가?
     1. 2개
     2. 3개
     3. 4개
     4. 5개

     정답 : []
     정답률 : 46%

46. 소방용수시설로 급수탑을 설치하고자 할 때 개폐밸브의 설치 높이는?
     1. 지상에서 1.0m 이상 1.5m 이하
     2. 지상에서 1.5m 이상 1.7m 이하
     3. 지상에서 1.5m 이상 2.0m 이하
     4. 지상에서 1.0m 이상 2.5m 이하

     정답 : []
     정답률 : 72%

47. 다음 중 시ㆍ도지사가 방염업자의 등록을 취소하거나 6월 이내의 기간을 정하여 이의 시정이나 영업정지를 명할 수 있는 것이 아닌 것은?
     1. 거짓 그 밖의 부정한 방법으로 등록을 한 때
     2. 정당한 사유 없이 계속하여 6개원간 휴업한 때
     3. 다른 자에게 등록증 또는 등록수첩을 빌려준 때
     4. 등록을 한 후 정당한 사유 없이 1년이 지나도록 영입을 개시하지 아니한 때

     정답 : []
     정답률 : 26%

48. 관계인이 예방규정을 정하여야 하는 제조소 등의 기준으로 올바른 것은?
     1. 지정수량의 20배 이상의 위험물을 취급하는 제조소
     2. 지정수량의 150배 이상의 위험물을 저장하는 옥내 저장소
     3. 지정수량의 250배 이상의 위험물을 저장하는 옥외저장소
     4. 지정수량의 350배 이상의 위험물을 저장하는 옥외탱크저장소

     정답 : []
     정답률 : 52%

49. 소방시설 설치유지 및 안전관리에 관한 법률상 특정소방대상물의 관계인이 피난시설 및 방화시설을 폐쇄한 경우 이의 필요한 조치를 명할 수 있는 자는?
     1. 행정자치부장관
     2. 건설교통부장관
     3. 관할 시ㆍ군ㆍ구청장
     4. 소방본부장 또는 소방서장

     정답 : []
     정답률 : 78%

50. 소방대상물의 관계인에 대한 설명으로 적절하지 아니한 것은?
     1. 소방대상물의 소유자
     2. 소방대상물의 점유자
     3. 소방대상물을 검사중인 소방공무원
     4. 소방대상물의 관리자

     정답 : []
     정답률 : 59%

51. 소방본부장 또는 소방서장은 소방업무를 보조하게 하기 위하여 의용소방대를 둔다. 다음 중 해당하지 않는 지역은?
     1. 광역시
     2.
     3.
     4.

     정답 : []
     정답률 : 19%

52. 특정소방대상물로서 숙박시설에 해당되지 않는 것은?
     1. 호텔
     2. 모텔
     3. 휴양콘도미니엄
     4. 오피스텔

     정답 : []
     정답률 : 75%

53. 다음 중 국고보조 대상 소방활동장비의 종류로 거리가 먼 것은?
     1. 무정전전원장치
     2. 소방자동차
     3. 소방헬리콥터
     4. 소방정

     정답 : []
     정답률 : 70%

54. 소방시설관리업의 등록기준에 미달하게 된 때 1차 행정 처분기준은?
     1. 경고(시정명령)
     2. 영업정지 3월
     3. 영업정지 6월
     4. 등록취소

     정답 : []
     정답률 : 70%

55. 위험물을 취급하는 제조소에서 피뢰침의 설치는 지정수량의 몇 배 이상의 위험물을 취급하는 경우인가?
     1. 10배
     2. 20배
     3. 25배
     4. 30배

     정답 : []
     정답률 : 74%

56. 소방검사를 관계인의 승낙 없이 해가 뜨기 전이나 해가 진 뒤에도 할 수 있는 경우로 가장 알맞은 것은?
     1. 소방방재청장이 해당 소방대상물에 소방검사를 지시할 경우
     2. 화재가 발생할 우려가 뚜렷하여 긴급하게 검사할 필요가 있는 경우
     3. 소방대상물이 비공개 된 경우
     4. 소방대상물에서 직원 등이 근무하고 있지 않는 시간에 검사하는 경우

     정답 : []
     정답률 : 83%

57. 화재경계지구의 지정대상지역으로 옳지 않은 것은?
     1. 시장지역
     2. 공장ㆍ창고가 밀집한 지역
     3. 소방출동로가 좁은 지역
     4. 목조건물이 밀집한 지역

     정답 : []
     정답률 : 82%

58. 방화관리대상물의 관계인의 방화관리자를 선임한 때에는 선임한 날부터 며칠 이내에 관한 소방본부장 또는 소방서장에게 신고하여야 하는가?
     1. 7일
     2. 14일
     3. 21일
     4. 30일

     정답 : []
     정답률 : 68%

59. 소방기본법의 목적과 가장 거리가 먼 것은?
     1. 국민의 생명ㆍ신체 및 재산 보호
     2. 소방기술 진흥
     3. 화재를 예방ㆍ경계 또는 진압
     4. 공공의 안녕질서 유지와 복리증진

     정답 : []
     정답률 : 76%

60. 다음 소방시설 붕 피난설비에 속하는 것으로 알맞은 것은?
     1. 제연설비ㆍ휴대용비상조명등
     2. 자동화재속보설비ㆍ유도등
     3. 비상방송설비ㆍ비상벨설비
     4. 비상조명등ㆍ유도등

     정답 : []
     정답률 : 46%

61. 스프링클러설비의 화재안전기준상 스프링클러 설비의 배관중 교차배관에서 분기되는 지점을 기점으로 한쪽 가지배관에 설치되는 헤드의 개수는?
     1. 5개 이하
     2. 8개 이하
     3. 10개 이하
     4. 12개 이하

     정답 : []
     정답률 : 57%

62. 지하층을 제외한 11층 이상의 소방대상물로서 폐쇄형 스프링클러 헤드의 설치개수가 30개일 때 수원의 수량 중 맞는 것은?
     1. 16m3
     2. 32m3
     3. 48m3
     4. 64m3

     정답 : []
     정답률 : 60%
     <문제 해설>
헤드 개수가
30개 이하면 헤드수×1.6m3
30개 초과면 1분당 송수량에 20분을 곱한 양 이상
30×1.6m3=48m3
[해설작성자 : .소방 합격.]

63. 연결송수관설비의 방수기구함은 방수구가 가장 많이 설치된 층을 기준하여 몇개 층마다 설치하여야 하는가?
     1. 각 층
     2. 2개 층
     3. 3개 층
     4. 10개 층

     정답 : []
     정답률 : 41%

64. 완강기에 사용하는 롶의 구조 및 성능으로 적합하지 않은 것은?
     1. 와이어로우프에 외장을 하는 경우에는 전체 길이에 걸쳐 균일하게 외장을 하여야 한다.
     2. 강하시 사용자를 심하게 선회시키는 일이 없어야 한다.
     3. 양끝은 이탈되지 아니하도록 벨트의 연결장치에 연결되어야 한다.
     4. 와이어로우프의 지름은 가는 것 일수록 좋다.

     정답 : []
     정답률 : 78%

65. 축압식 저장용기의 압력은 온도 20℃에서 할론 1301을 저장할 경우 몇 MPa이 되도록 질소가스로 축압하는가?
     1. 1.5 MPa 또는 2.2 MPa
     2. 2.5 MPa 또는 4.2 MPa
     3. 3.5 MPa 또는 5.2 MPa
     4. 4.5 MPa 또는 6.2 MPa

     정답 : []
     정답률 : 69%

66. 연결살수설비의 화재안전기준상 개방형헤드를 사용하는 연결살수설비에 있어서 하나의 송수구역에 설치하는 살수헤드의 수는 몇 대 이하이어야 하는가?
     1. 10개
     2. 20개
     3. 30개
     4. 40개

     정답 : []
     정답률 : 70%

67. 포소화설비의 화재안전기준상 포헤드를 정방형으로 배치한 경우에 포헤드 상호간 거리 산정식은? (단, r은 유효반경이다.)
     1. S=2r sin 30°
     2. S=2r cos 30°
     3. S=2r sin 45°
     4. S=2r cos 45°

     정답 : []
     정답률 : 54%

68. 특별피난계단의 계단실 및 부속실 제연설비의 화재안전기준상 계단실의 높이가 31m 이하로서 계단실만을 제연하는 경우에는 하나의 계단실에 몇 개의 급기구를 설치하여야 하는가?
     1. 1개
     2. 2개
     3. 3개
     4. 4개

     정답 : []
     정답률 : 34%
     <문제 해설>
계단실과 그 부속실을 동시에 제연하거나 또는 계단실만을 제연하는 경우 급기구는 계단실 매3개층 이하의 높이마다 설치하여야 하나 계단실 높이가 31m 이하이고 계단실만 제연하는 경우에는 하나의 계단실에 하나의 급기구만을 설치할 수 있다
[해설작성자 : .소방 합격.]

69. 이산화탄소소화설비의 화재안전기주낭 이산화탄소 소화약제의 고압식 저장용기의 내압시험 압력으로서 맞는 것은?
     1. 15 MPa 이하
     2. 15 MPa 이상
     3. 25 MPa 이하
     4. 25 MPa 이상

     정답 : []
     정답률 : 35%

70. 물분무소화설비 수원의 저수량 기준에 부적합한 것은?
     1. 콘베이어 벨트 등에 있어서는 벨트부분의 바닥면적 1m2에 대하여 10ℓ/min로 20분간 방수할 수 있는 양 이상으로 할 것
     2. 특수가연물을 저장 또는 취급하는 소방대상물 또는 그 부분에 있어서 그 바닥면적(50m2를 초과할 경우에는 50m2) 1m2에 대하여 10ℓ/min로 20분간 방수할 수 있는 양 이상으로 할 것
     3. 차고에 있어서는 그 바닥면적(50m2를 초과할 경우에는 50m2) 1m2에 대하여 20ℓ/min로 20분간 방수할 수 있는 양 이상으로 할 것
     4. 주차장에 있어서는 그 바닥면적(50m2를 초과할 경우에는 50m2) 1m2에 대하여 10ℓ/min로 20분간 방수할 수 있는 양 이상으로 할 것

     정답 : []
     정답률 : 40%
     <문제 해설>
차고 주차장은 20L/min로 20분
[해설작성자 : .소방 합격.]

71. 분말소화설비의 화재안전기준 상 분말소화약제의 가압용가스 용기를 3병 이상 설치한 경우에 있어서는 2개 이상의 용기에 부착하여야 하는 밸브는?
     1. 배기밸브
     2. 안전밸브
     3. 전자개방밸브
     4. 크리닝밸브

     정답 : []
     정답률 : 40%

72. 제연설비에 사용하는 배출풍도의 크기(풍도 단면의 긴변 또는 직경의 크기)가 1500mm 초과 2250mm 이하 일 경우 강판의 두께는 몇 mm 이상으로 하여야 하는가?
     1. 0.5
     2. 0.6
     3. 0.8
     4. 1.0

     정답 : []
     정답률 : 32%
     <문제 해설>
풍도단면의 긴변 또는 직경의 크기                    강판두께
             450mm 초과                                 0.5mm 이상
     450mm 초과 750mm 이하                     0.6mm 이상
     750mm 초과 1500mm 이하                    0.8mm 이상
     1500mm 초과 2250mm 이하                 1.0mm 이상
             2250mm 초과                                1.2mm 이상
[해설작성자 : .소방 합격.]

73. 옥내 소화전 설비의 가압 송수장치에 대한 내용 중 잘못된 것은?
     1. 내연기관의 가동은 소화전함의 위치에서 원격 조작이 가능하고, 기동을 명시하는 노란색등을 설치할 것
     2. 쉽게 접근할 수 있고 점검하기에 충분한 공간이 있는 장소로서 화재 및 침수 등의 재해로 인한 피해를 받을 우려가 없는 곳에 설치할 것
     3. 동결방지조치를 하거나 동결의 우려가 없는 장소에 설치할 것
     4. 펌프의 토출량은 옥내소화전이 가장 많이 설치된 층의 설치개수(옥내소화전이 5개 이상 설치된 경우에는 5개)에 130ℓ\/min를 곱한 양 이상이 되도록 할 것

     정답 : []
     정답률 : 52%
     <문제 해설>
내연기관의 가동은 소화전함의 위치에서 원격 조작이 가능하고 , 기동을 명시하는 적색등을 설치한다.
[해설작성자 : .소방 합격.]

74. 지하에 설치하는 소화용수 설비의 소요수량이 40m3이상 100m3미만일 경우에 채수구는 몇 개를 설치하여야 하는가?
     1. 4개
     2. 3개
     3. 2개
     4. 1개

     정답 : []
     정답률 : 48%

75. 수동식소화기는 각 층마다 설치하되 소방대상물의 각 부분으로부터 1개의 수동식소화기까지의 거리로 맞는 것은?
     1. 소형수동식소화기 - 수평거리 20m 이내
     2. 소형수동식소화기 - 보행거리 30m 이내
     3. 대형수동식소화기 - 수평거리 20m 이내
     4. 대형수동식소화기 - 보행거리 30m 이내

     정답 : []
     정답률 : 53%

76. 옥내소화전설비에서 옥내소화전 방수구는 바닥으로부터 높이가 몇 m 이하가 되도록 설치해야 하는가?
     1. 1.5
     2. 2.0
     3. 2.5
     4. 3.0

     정답 : []
     정답률 : 70%

77. 공장 건축물을 방호하기 위하여 폐쇄형 스프링클러 헤드를 설치 하였다. 헤드 설치장소의 평상시 최고 주위 온도가 110℃이고, 층고가 3.8m 일 대 이곳에 설치할 수 있는 헤드의 표시온도로 알맞은 것은?
     1. 79℃ 미만
     2. 79℃ 이상 121℃ 미만
     3. 121℃ 이상 162℃ 미만
     4. 162℃ 이상

     정답 : []
     정답률 : 43%

78. 옥내소화전설비의 화재안전기준상 옥내소화전설비의 위치를 표시하는 표시등은?
     1. 적색등
     2. 녹색등
     3. 흰색등
     4. 청색등

     정답 : []
     정답률 : 79%

79. 포소화설비의 화재안전기준상 포소화약제 혼합방식에 해당하지 않은 것은?
     1. 프레져 푸로포셔너방식
     2. 라인 프레져 푸로포셔너방식
     3. 펌프 푸로포셔너방식
     4. 프레져사이드 푸로포셔너방식

     정답 : []
     정답률 : 37%

80. 소화약제에 의한 간이 소화용구가 아닌 것은?
     1. 마른모래
     2. 팽창질석
     3. 수동펌프식
     4. 팽창진주암

     정답 : []
     정답률 : 65%


정 답 지

1

2

3

4

5

6

7

8

9

10

11

12

13

14

15

16

17

18

19

20

21

22

23

24

25

26

27

28

29

30

31

32

33

34

35

36

37

38

39

40

41

42

43

44

45

46

47

48

49

50

51

52

53

54

55

56

57

58

59

60

61

62

63

64

65

66

67

68

69

70

71

72

73

74

75

76

77

78

79

80

소방설비산업기사(기계) 필기 기출문제(해설) 및 CBT 2007년09월02일을 이용해 주셔서 감사합니다.
, 필기, 기출문제, 전자문제집, CBT, 온라인, 모의테스트, 모의고사



List of Articles
번호 제목 글쓴이 날짜 조회 수
14829 소방설비산업기사(기계) 필기 기출문제(해설) 및 CBT 2010년05월09일(7754) new 좋은아빠되기 2025.11.25 0
14828 소방설비산업기사(기계) 필기 기출문제(해설) 및 CBT 2010년03월07일(7753) new 좋은아빠되기 2025.11.25 0
14827 소방설비산업기사(기계) 필기 기출문제(해설) 및 CBT 2009년08월30일(7752) new 좋은아빠되기 2025.11.25 0
14826 소방설비산업기사(기계) 필기 기출문제(해설) 및 CBT 2009년05월10일(7751) new 좋은아빠되기 2025.11.25 0
14825 소방설비산업기사(기계) 필기 기출문제(해설) 및 CBT 2009년03월01일(7750) new 좋은아빠되기 2025.11.25 0
14824 소방설비산업기사(기계) 필기 기출문제(해설) 및 CBT 2008년09월07일(7749) new 좋은아빠되기 2025.11.25 0
14823 소방설비산업기사(기계) 필기 기출문제(해설) 및 CBT 2008년05월11일(7748) new 좋은아빠되기 2025.11.25 0
14822 소방설비산업기사(기계) 필기 기출문제(해설) 및 CBT 2008년03월02일(7747) new 좋은아빠되기 2025.11.25 0
» 소방설비산업기사(기계) 필기 기출문제(해설) 및 CBT 2007년09월02일(7746) new 좋은아빠되기 2025.11.25 0
14820 소방설비산업기사(기계) 필기 기출문제(해설) 및 CBT 2007년05월13일(7745) new 좋은아빠되기 2025.11.25 0
14819 소방설비산업기사(기계) 필기 기출문제(해설) 및 CBT 2007년03월04일(7744) new 좋은아빠되기 2025.11.25 0
14818 소방설비산업기사(기계) 필기 기출문제(해설) 및 CBT 2006년09월10일(7743) new 좋은아빠되기 2025.11.25 0
14817 소방설비산업기사(기계) 필기 기출문제(해설) 및 CBT 2006년05월14일(7742) new 좋은아빠되기 2025.11.25 0
14816 소방설비산업기사(기계) 필기 기출문제(해설) 및 CBT 2006년03월05일(7741) new 좋은아빠되기 2025.11.25 0
14815 소방설비산업기사(기계) 필기 기출문제(해설) 및 CBT 2005년09월04일(7740) new 좋은아빠되기 2025.11.25 0
14814 소방설비산업기사(기계) 필기 기출문제(해설) 및 CBT 2005년05월29일(7739) new 좋은아빠되기 2025.11.25 0
14813 소방설비산업기사(기계) 필기 기출문제(해설) 및 CBT 2005년03월06일(7738) new 좋은아빠되기 2025.11.25 0
14812 소방설비산업기사(기계) 필기 기출문제(해설) 및 CBT 2004년09월05일(7737) new 좋은아빠되기 2025.11.25 0
14811 소방설비산업기사(기계) 필기 기출문제(해설) 및 CBT 2004년05월23일(7736) new 좋은아빠되기 2025.11.25 0
14810 소방설비산업기사(기계) 필기 기출문제(해설) 및 CBT 2004년03월07일(7735) new 좋은아빠되기 2025.11.25 0
Board Pagination Prev 1 ... 89 90 91 92 93 94 95 96 97 98 ... 835 Next
/ 835