자격증 필기 기출문제



소방설비산업기사(기계) 필기 기출문제(해설) 및 CBT 2016년03월06일(7765)

최강 자격증 기출문제 전자문제집 CBT : www.comcbt.com


전자문제집 CBT란?

종이 문제집이 아닌 인터넷으로 문제를 풀고 자동으로 채점하며 모의고사, 오답 노트, 해설까지 제공하는
무료 기출문제 학습 프로그램으로 실제 상설검정에서 사용하는 OMR 형식의 CBT를 제공합니다.


최신 소방설비산업기사(기계) 필기 기출문제 : [다운로드]

1과목 : 소방원론


1. 할론 1301의 화학식으로 옳은 것은?
     1. CBr3Cl
     2. CBrCI3
     3. CF3Br
     4. CFBr3

     정답 : []
     정답률 : 84%

2. 화재 시 연소의 연쇄반응을 차단하는 소화방식은?
     1. 냉각소화
     2. 화학소화
     3. 질식소화
     4. 가스제거

     정답 : []
     정답률 : 65%

3. 분말 소화약제의 주성분 중에서 A,B,C 급 화재 모두에 적용성이 있는 것은?
     1. KHCO3
     2. NaHCO3
     3. Al2(SO4)3
     4. NH4H2PO4

     정답 : []
     정답률 : 84%

4. 공기 중에 분산된 밀가루, 알루미늄가루 등이 에너지를 받아 폭발하는 현상은?
     1. 분진폭발
     2. 분무폭발
     3. 충격폭발
     4. 단열압축폭발

     정답 : []
     정답률 : 88%

5. 건축물에 화재가 발생할 때 연소확대를 방지하기 위한 계획에 해당되지 않는 것은?
     1. 수직계획
     2. 입면계획
     3. 수평계획
     4. 용도계획

     정답 : []
     정답률 : 66%

6. 대형소화기에 충전하는 소화약제 양의 기준으로 틀린 것은?
     1. 할로겐화물소화기 : 20kg 이상
     2. 강화액소화기 : 60L 이상
     3. 분말소화기 : 20kg 이상
     4. 이산화탄소소화기 : 50kg 이상

     정답 : []
     정답률 : 62%
     <문제 해설>
1. 할로겐화물소화기: 30kg 이상
[해설작성자 : .소방 합격.]

7. 피난시설의 안전구획 중 1차 안전구획에 속하는 것은?
     1. 계단
     2. 복도
     3. 계단부속실
     4. 피난층에서 외부와 직면한 현관

     정답 : []
     정답률 : 66%
     <문제 해설>
1차 복도
2차 계단 부속실
3차 현관 로비 피난계단
[해설작성자 : .소방 합격.]

8. 기체연료의 연소형태로서 연료와 공기를 인접한 2개의 분출구에서 각각 분출시켜 계면에서 연소를 일으키게 하는 것은?
     1. 증발연소
     2. 자기연소
     3. 확산연소
     4. 분해연소

     정답 : []
     정답률 : 76%

9. 산화열에 의해 자연발화 될 수 있는 물질이 아닌 것은?
     1. 석탄
     2. 건성유
     3. 고무 분말
     4. 퇴비

     정답 : []
     정답률 : 61%

10. 질소(N2)의 증기비중은 약 얼마인가?
     1. 0.8
     2. 0.97
     3. 1.5
     4. 1.8

     정답 : []
     정답률 : 81%
     <문제 해설>
N2=14*2=28    증기=29        28/29=0.97
[해설작성자 : 스노우맨69 ]

11. 건축물 화재의 가혹도에 영향을 주는 주요소로 적합하지 않은 것은?
     1. 공기의 공급량
     2. 가연물질의 연소열
     3. 가연물질의 비표면적
     4. 화재시의 기상

     정답 : []
     정답률 : 70%

12. 수소 4kg이 완전연소 할 때 생성되는 수증기는 몇 kmol 인가?
     1. 1
     2. 2
     3. 4
     4. 8

     정답 : []
     정답률 : 60%

13. 전기화재의 원인으로 볼 수 없는 것은?
     1. 승압에 의한 발화
     2. 과전류에 의한 발화
     3. 누전에 의한 발화
     4. 단락에 의한 발화

     정답 : []
     정답률 : 78%

14. 소화약제로 널리 사용되는 물의 물리적 성질로 틀린 것은?
     1. 대기압 하에서 용융열은 약 80cal/g이다.
     2. 대기압 하에서 증발 잠열은 약 539cal/g이다.
     3. 대기압 하에서 액체상의 비열은 1cal/g℃이다.
     4. 대기압 하에서 액체에서 수증기로 상변화가 일어나면 체적은 500배 증가한다.

     정답 : []
     정답률 : 75%

15. 가연물의 종류 및 성상에 따른 화재의 분류 중 A급 화재에 해당하는 것은?
     1. 통전중인 전기설비 및 전기기기의 화재
     2. 마그네슘, 칼륨 등의 화재
     3. 목재, 섬유 화재
     4. 도시가스 화재

     정답 : []
     정답률 : 88%

16. 동일 장소에서 취급이 가능한 위험물들끼리 옳게 짝지어진 것은?
     1. 과염소산칼륨과 톨루엔
     2. 과염소산과 황린
     3. 마그네슘과 유기과산화물
     4. 가솔린과 과산화수소

     정답 : []
     정답률 : 67%

17. 열에너지원 중 화학열의 종류별 설명으로 옳지 않은 것은?
     1. 자연발열이라 함은 어떤 물질이 외부로부터 열의 공급을 받지 아니하고 온도가 상승하는 현상이다.
     2. 분해열이나 함은 화합물이 분해할 때 발생하는 열을 말한다.
     3. 용해열이라 함은 어떤 물질이 분해될 때 발생하는 열을 말한다.
     4. 연소열은 어떤 물질이 완전히 산화되는 과정에서 발생하는 열을 말한다.

     정답 : []
     정답률 : 75%
     <문제 해설>
용해열이란 어떤 고체 물질이 용해될 때 발생하는 열을 말한다
[해설작성자 : .소방 합격.]

18. 폭발에 대한 설명으로 틀린 것은?
     1. 보일러 폭발은 화학적 폭발이라 할 수 없다.
     2. 분무폭발은 기상폭발에 속하지 않는다.
     3. 수증기 폭발은 기상 폭발에 속하지 않는다.
     4. 화약류 폭발은 화학적 폭발이라 할 수 있다.

     정답 : []
     정답률 : 69%
     <문제 해설>
기상폭발
1. 가스 폭발
2. 분무 폭발
3. 분진 폭발
[해설작성자 : 호롱구이]

19. 물질의 연소범위에 대한 설명 중 옳은 것은?
     1. 연소범위의 상한이 높을수록 발화위험이 낮다.
     2. 연소범위의 상한과 하한사이의 폭은 발화위험과 무관하다.
     3. 연소범위의 하한이 낮은 물질은 취급 시 주의를 요한다.
     4. 연소범위의 하한이 낮은 물질은 발열량이 크다.

     정답 : []
     정답률 : 70%

20. 포소화약제 중 유류화재의 소화 시 성능이 가장 우수한 것은?
     1. 단백포
     2. 수성막포
     3. 합성계면 활성제포
     4. 내알콜포

     정답 : []
     정답률 : 80%

2과목 : 소방유체역학


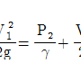
21. 베르누이(Bernoulli)방정식으로 맞는 것은?
     1.
     2.
     3.
     4.

     정답 : []
     정답률 : 67%

22. 공기 중에서 무게가 900N인 돌이 물속에서의 무게가 400N 일 때 이 돌의 비중은?
     1. 1.4
     2. 1.6
     3. 1.8
     4. 2.25

     정답 : []
     정답률 : 48%
     <문제 해설>
돌의비중=900N/(900-400)N=1.8
[해설작성자 : 김도깡]

23. 가로(80cm)×세로(50cm)이고 300℃로 가열된 평판에 수직한 방향으로 25℃의 공기를 불어주고 있다. 대류 열전달계수가 25W/m2 ℃일 때 공기를 불어넣는 면에서의 열전달률은 약 몇 kW인가?
     1. 2.0
     2. 2.75
     3. 5.1
     4. 7.3

     정답 : []
     정답률 : 63%
     <문제 해설>
대류열 q : Ah(T2-T1)

(0.8X0.5) X 25 X (300-25) = 2750KW
[해설작성자 : KIMH]

24. 밀도가 788.6kg/m3 이고, 표면장력계수가 0.022N/m 인 유체 속에 지름 1.5×10-3m의 유리관을 연직으로 세웠다. 유리와 액체의 접촉각이 45°라고 할 때 유리관 내 액체의 상승높이는? (단, 중력가속도 g=9.806 m/s2)
     1. 5.36×10-3m
     2. 5.28×10-3m
     3. 1.86×10-5m
     4. 1.84×10-5m

     정답 : []
     정답률 : 45%
     <문제 해설>
상승높이(h)=4·표면장력·cos x / 비중량·d
여기서 비중량=밀도788.6·9.8(N/m3)
해서 4·0.022(N/m)·cos 45 / 788.6·9.8(N/m3)·1.5·10-3
=5.36·10-3m
[해설작성자 : 김도깡]

25. 펌프의 흡입 및 토출관의 직경이 동일한 소화전 펌프에서 흡입 측의 진공계는 24.5kPa를 가리키고 진공계보다 수직으로 1.0m 높은 위치에 있는 토출 측 압력계의 지침은 382kPa이라면 펌프의 전양정(m)은?
     1. 42.5
     2. 38.6
     3. 18.9
     4. 1.004

     정답 : []
     정답률 : 42%

26. 600K의 고온열원과 300K의 저온열원 사이에서 작동하는 카르노 사이클에 공급하는 열량이 사이클 당 200kJ이라 할 때 1 사이클 당 외부에 하는 일은?
     1. 100kJ
     2. 200kJ
     3. 300kJ
     4. 400kJ

     정답 : []
     정답률 : 50%

27. 용기 속의 유체를 회전날개를 이용하여 젓고 있다. 용기 외부로 방출된 열은 2000kJ이고 회전날개를 통해 용기 내로 입력되는 일은 5000kJ 일 때 용기 내 유체의 내부에너지 증가량은?
     1. 2000kJ
     2. 3000kJ
     3. 5000kJ
     4. 7000kJ

     정답 : []
     정답률 : 70%

28. 시차 압력계에서 압력차(PA-PB) 는 몇 kPa 인가? (단, H1=250mm, H2=200mm, H3=700mm 이고 수온의 비중은 13.6이다.)

    

     1. 3.107
     2. 22.25
     3. 31.07
     4. 222.5

     정답 : []
     정답률 : 53%

29. 옥내소화전에서 전체의 양정이 28m, 펌프의 효율이 80%, 펌프의 토출량이 1m3/min 이라면 전동기의 용량은 약 몇 kW 인가? (단, 전달계수 1.1이다.)
     1. 4.35
     2. 5.48
     3. 6.01
     4. 6.28

     정답 : []
     정답률 : 54%
     <문제 해설>
P(Kw) = (0.163 x 28m x 1 m^3/min) x 1.1 / 0.8 = 6.2755 Kw

30. 안지름 50cm의 수평 원관 속을 물이 흐르고 있다. 입구 구역이 아닌 50m 길이에서 80kPa의 압력강하가 생겼다. 관벽에서의 전단응력은 몇 Pa인가?
     1. 0.002
     2. 200
     3. 8000
     4. 0

     정답 : []
     정답률 : 52%

31. 그림은 원유, 물, 공기에 대하여 전단응력과 속도기울기의 관계를 나타낼 것이다. 물에 해당하는 선은?

    

     1. 1
     2. 2
     3. 3
     4. 주어진 정보로는 알 수 없다.

     정답 : []
     정답률 : 73%

32. A점에서 힌지로 연결되어 있는 수문을 열기 위한 수문에 수직인 최소한의 힘이 7355 N이라면 수문의 폭 b는 몇 m인가? (단, 수문의 무게는 무시함)

    

     1. 0.75
     2. 0.5
     3. 0.4
     4. 0.3

     정답 : []
     정답률 : 49%

33. 안지름 20cm인 원관이 안지름 40cm인 원관에 급확대 연결된 관로에 0.2m3/s의 유체가 흐를 때 급확대부에서 발생하는 손실수두는 약 몇 m인가?

    

     1. 1.16
     2. 1.45
     3. 1.62
     4. 1.83

     정답 : []
     정답률 : 47%

34. NPSH(유효흡입양정)에 관한 설명으로 틀린 것은?
     1. NPSHav(이용 가능한 유효흡입양정)가 작을수록 같은 조건에서 공동현상이 일어날 가능성이 커진다.
     2. 필요한 유효흡입양정은 NPSHav보다 커야 공동현상이 발생되지 않는다.
     3. NPSHav는 포화 증기압이 커지면 점차 작아진다.
     4. 물의 온도가 올라가면 NPSHav가 작아져서 공동현상의 발생가능성이 커진다.

     정답 : []
     정답률 : 52%

35. 그림과 같이 수평으로 분사된 유량 Q의 분류가 경사진 고정 평판에 충돌한 후 양쪽으로 분리되어 흐르고 있다. 윗 방향의 유량이 Q1=0.7Q 일 때 수평선과 관이 이루는 각 θ는 몇 도인가? (단, 이상유체의 흐름이고 중력과 압력은 무시한다.)

    

     1. 76.4
     2. 66.4
     3. 56.4
     4. 46.4

     정답 : []
     정답률 : 45%

36. 운동량의 단위로 맞는 것은?
     1. N
     2. J/s
     3. N·s2/m
     4. N·s

     정답 : []
     정답률 : 60%

37. 안지름 65mm의 관내를 유량 0.24 m3/min로 물이 흘러간다면 평균 유속은 몇 m/s인가?
     1. 1.2
     2. 2.4
     3. 3.6
     4. 4.8

     정답 : []
     정답률 : 61%
     <문제 해설>
V = Q/A = 4x(0.24/60) / 3.14x0.065^2 = 1.206 m/sec

38. 이상기체의 기체상수 R을 압력 P, 비체적 v, 절대 온도 T의 관계로 나타낸 것은?
     1.
     2.
     3.
     4.

     정답 : []
     정답률 : 64%
     <문제 해설>
pv=nrt
[해설작성자 : 승돌이]

39. 배관내 유체의 유량 또는 유속 측정법이 아닌 것은?
     1. 삼각위어에 의한 방법
     2. 오리피스에 의한 방법
     3. 벤츄리관에 의한 방법
     4. 피토관에 의한 방법

     정답 : []
     정답률 : 70%

40. 20℃에서 물이 지름 75mm인 관속을 1.9×10-3m3/s로 흐르고 있다. 이 때 레이놀즈 수는 얼마 정도인가? (단, 20℃일 때 물의 동점성계수는 1.006×10-6m2/s이다.)
     1. 1.13×104
     2. 1.99×104
     3. 2.83×104
     4. 3.21×104

     정답 : []
     정답률 : 47%

3과목 : 소방관계법규


41. 위험물안전관리법령상 제4류 위험물 인화성 액체의 품명 및 지정수량으로 옳은 것은?
     1. 제1석유류(수용성액체) : 100리터
     2. 제2석유류(수용성액체) : 500리터
     3. 제3석유류(수용성액체) : 1000리터
     4. 제4석유류 : 6000리터

     정답 : []
     정답률 : 63%
     <문제 해설>
특수인화물:50l
1석유류 비수용200l(휘발유 벤젠 톨루엔)/수용성:400l(아세톤_
알코올류 400l
2석유류 비수용 1000l(등,경유)/수용성 2000l (아세트산)
3석유류 비수용 2000l(중유 클레오스트류)/수용성 4000l(글리세린,에틸렌 글리콜)
4석유류 6000l(기어유 실린더유 4석유는 구분 없음)
동식물류 10000l
[해설작성자 : 모진핑핑이]

42. 제조소에서 저장 또는 취급하는 위험물별 주의사항을 표시한 게시판으로 옳지 않은 것은?
     1. 제4류 위험물 : 화기주의
     2. 제5류 위험물 : 화기엄금
     3. 제2류 위험물(인화성고체 제외) : 화기주의
     4. 제3류 위험물 중 자연발화성물질 : 화기엄금

     정답 : []
     정답률 : 71%
     <문제 해설>
위험물 취급사항
1류:화기 충격주의 가연물 접촉주의 물기엄금(알칼리금속에만 물기엄금 포함)
2류:철분(500kg),금속(500kg),마그네슘(500kg),-화기주의,물기엄금/인화성고체;화기엄금/나머지:화기주의
3류:황린:화기엄금 나머지:물기엄금,화기주의
4류:화기엄금
5류:화기엄금 충격주의
6류:가연물 접촉주의
[해설작성자 : roachinese]

43. 소방대상물의 건축허가 등의 동의요구를 할 때 제출해야 할 서류로 틀린 것은?
     1. 소방시설 설치계획표
     2. 소방시설공사업등록증
     3. 임시소방시설 설치계획서
     4. 소방시설의 층별 평면도 및 층별 계통도

     정답 : []
     정답률 : 65%
     <문제 해설>
소방대상물의 건축허가 동의 요구시 제출서류
1.소방시설 설치계획표
2.임시소방시설 설치계획서(설치 시기 위치 종류방법등 임시소방시설 설치에 관한
사항 포함)
3.평면도,계통도,창호도,단면도,주 단면 상세도
4.건축허가신청서 및 건축허가서 또는 건축 대수선 용도 변경 신고서등
을 확인할수 있는 서류 사본
5.소방시설설계업 등록증과 소방시설을 설계한 기술인력자의 기술자격증 사본
6.소방시설 설계 계약서 사본 1부
[해설작성자 : 폐우렴한]

44. 제 1종 판매취급소에서 저장 또는 취급할 수 있는 위험물의 수량 기준으로 옳은 것은?
     1. 지정수량의 20배 이하
     2. 지정수량의 20배 이상
     3. 지정수량의 40배 이하
     4. 지정수량의 40배 이상

     정답 : []
     정답률 : 48%

45. 감리업자가 소방공사의 감리를 완료할 때 그 감리 결과를 통보해야하는 대상자가 아닌 것은?
     1. 시·도지사
     2. 소방시설공사의 도급인
     3. 특정소방대상물의 관계인
     4. 특정소방대상물의 공사를 감리한 건축사

     정답 : []
     정답률 : 48%

46. 화재예방을 위하여 불을 사용하는 설비의 관리기준 중 용접 또는 용단 작업자로부터 반경 몇 m 이내에 소화기를 갖추어야 하는가? (단, 산업안전보건법 제23조의 적용을 받는 사업장의 경우는 제외한다.)
     1. 1
     2. 3
     3. 5
     4. 7

     정답 : []
     정답률 : 59%

47. 방염성능기준 이상의 실내장식물 등을 설치하여야 하는 특정소방대상물이 아닌 것은?
     1. 다중이용업의 영업장
     2. 의료시설 중 정신의료기관
     3. 방송통신시설 중 방송국 및 촬영소
     4. 건축물 옥내에 있는 운동시설 중 수영장

     정답 : []
     정답률 : 72%
     <문제 해설>
방염성능이상의 실내장식물 설치하여야하는 특정소방대상물
(우선제외:수영장,아파트)
1.근린생활 시설중 의원 체력단련장 공연장 및 종교집회장
2.(문집 종교 운동)시설     (운동시설중 수영장제외)
3.의료시설
4.교육연구시설중 합숙소
5.노유자시설
6.숙박이 가능한 수련시설
7.숙박시설
8.방송통신시설중 방송국 및 촬영소
9.다중이용업소
10.11층이상인 것 (아파트제외)
[해설작성자 : Wkdznlqjffp]

48. 화재조사를 하는 관계 공부원이 화재조사를 수행하면서 알게 된 비밀을 다른 사람에게 누설 시 벌칙기준으로 옳은 것은?
     1. 100만원 이하의 벌금
     2. 200만원 이하의 벌금
     3. 300만원 이하의 벌금
     4. 400만원 이하의 벌금

     정답 : []
     정답률 : 70%
     <문제 해설>
관계인 정당업무 방해,비밀누설
화재조사
300이하 벌금
소방특별조사/시설관리사/시설관리업
1년이하 징역 또는 1천이하 벌금
소방시설업법
300이하벌금
[해설작성자 : cdc현상]

49. 특정소방대상물 중 업무시설에 해당되지 않는 것은?
     1. 방송국
     2. 마을회관
     3. 주민자치센터
     4. 변전소

     정답 : []
     정답률 : 55%

50. 화재예방강화지구로 지정할 수 있는 대상이 아닌 것은?
     1. 시장지역
     2. 소방출동로가 없는 지역
     3. 공장·창고가 밀집한 지역
     4. 콘크리트 건물이 밀집한 지역

     정답 : []
     정답률 : 74%
     <문제 해설>
4.콘크리트가 아니라 목조건축물밀집,석유화학제품 생산하는 공장이 있는지역
[해설작성자 : cdc현상]

화재경계지구 명칭은 법령 개정으로 화재예방강화지구로 변경되었습니다.
소방특별조사 또한 화재안전조사로 명칭이 변경되었습니다.

화재의 예방 및 안전관리에 관한 법률
[시행 2022. 12. 1.] [법률 제18523호, 2021. 11. 30., 제정]
제정ㆍ개정이유 안의 내용입니다.

"화재경계지구"를 화재예방의 중요성을 명확하게 나타내기 위하여 "화재예방강화지구"로 명칭을 변경하고, 시ㆍ도지사로 하여금 조례로 정하는 바에 따라 화재예방강화지구 안의 소방설비 등의 설치에 필요한 비용을 지원할 수 있도록 함
"소방특별조사"를 조사의 목적이 분명히 드러날 수 있도록 "화재안전조사"로 명칭을 변경하고, 화재안전조사의 투명성 확보를 위하여 사전에 조사대상, 조사기간 및 조사사유 등을 관계인에게 통지하도록 하며, 화재안전조사를 실시한 경우 그 결과를 인터넷 홈페이지나 전산시스템 등에 공개할 수 있도록 함

51. 하자보수 보증기간이 2년인 소방시설은?
     1. 옥내소화전설비
     2. 무선통신보조설비
     3. 자동화재탐지설비
     4. 물분무등소화설비

     정답 : []
     정답률 : 77%
     <문제 해설>
무통,비상경보 비상방송 피난기구 유도등 요도표지 비상조명등:2년
자탐,소화기쪽:3년
[해설작성자 : 빅쯔아왕dog]

52. 원활한 소방활동을 위하여 실시하는 소방용수시설에 대한 조사결과는 몇 년간 보관하는가?
     1. 2년
     2. 3년
     3. 4년
     4. 영구

     정답 : []
     정답률 : 75%

53. 형식승인을 받지 아니한 소방용품을 소방시설 공사에 사용한 자에 대한 벌칙기준으로 옳은 것은?
     1. 7년 이하의 징역 또는 5000만원 이하의 벌금
     2. 5년 이하의 징역 또는 3000만원 이하의 벌금
     3. 3년 이하의 징역 또는 3000만원 이하의 벌금
     4. 1년 이하의 징역 또는 1000만원 이하의 벌금

     정답 : []
     정답률 : 71%
     <문제 해설>
[규정 개정]
3번이 3년이하 징역 또는 3000만원이 맞습니다.
[해설작성자 : comcbt.com 이용자]

54. 화재예방강화지구 안의 소방대상물에 대한 화재안전조사를 거부한 자에 대한 벌칙기준으로 옳은 것은?
     1. 100만원 이하의 벌금
     2. 200만원 이하의 벌금
     3. 300만원 이하의 벌금
     4. 400만원 이하의 벌금

     정답 : []
     정답률 : 48%
     <문제 해설>
화재경계지구 명칭은 법령 개정으로 화재예방강화지구로 변경되었습니다.
소방특별조사 또한 화재안전조사로 명칭이 변경되었습니다.

화재의 예방 및 안전관리에 관한 법률
[시행 2022. 12. 1.] [법률 제18523호, 2021. 11. 30., 제정]
제정ㆍ개정이유 안의 내용입니다.

"화재경계지구"를 화재예방의 중요성을 명확하게 나타내기 위하여 "화재예방강화지구"로 명칭을 변경하고, 시ㆍ도지사로 하여금 조례로 정하는 바에 따라 화재예방강화지구 안의 소방설비 등의 설치에 필요한 비용을 지원할 수 있도록 함
"소방특별조사"를 조사의 목적이 분명히 드러날 수 있도록 "화재안전조사"로 명칭을 변경하고, 화재안전조사의 투명성 확보를 위하여 사전에 조사대상, 조사기간 및 조사사유 등을 관계인에게 통지하도록 하며, 화재안전조사를 실시한 경우 그 결과를 인터넷 홈페이지나 전산시스템 등에 공개할 수 있도록 함

화재의 예방 및 안전관리에 관한 법률 ( 약칭: 화재예방법 )
[시행 2022. 12. 1.] [법률 제18523호, 2021. 11. 30., 제정]
제50조(벌칙)
③ 다음 각 호의 어느 하나에 해당하는 자는 300만원 이하의 벌금에 처한다.
1. 제7조제1항에 따른 화재안전조사를 정당한 사유 없이 거부ㆍ방해 또는 기피한 자

제7조(화재안전조사) ① 소방관서장은 다음 각 호의 어느 하나에 해당하는 경우 화재안전조사를 실시할 수 있다. 다만, 개인의 주거(실제 주거용도로 사용되는 경우에 한정한다)에 대한 화재안전조사는 관계인의 승낙이 있거나 화재발생의 우려가 뚜렷하여 긴급한 필요가 있는 때에 한정한다.
1. 「소방시설 설치 및 관리에 관한 법률」 제22조에 따른 자체점검이 불성실하거나 불완전하다고 인정되는 경우
2. 화재예방강화지구 등 법령에서 화재안전조사를 하도록 규정되어 있는 경우
3. 화재예방안전진단이 불성실하거나 불완전하다고 인정되는 경우
4. 국가적 행사 등 주요 행사가 개최되는 장소 및 그 주변의 관계 지역에 대하여 소방안전관리 실태를 조사할 필요가 있는 경우
5. 화재가 자주 발생하였거나 발생할 우려가 뚜렷한 곳에 대한 조사가 필요한 경우
6. 재난예측정보, 기상예보 등을 분석한 결과 소방대상물에 화재의 발생 위험이 크다고 판단되는 경우
7. 제1호부터 제6호까지에서 규정한 경우 외에 화재, 그 밖의 긴급한 상황이 발생할 경우 인명 또는 재산 피해의 우려가 현저하다고 판단되는 경우

화재예방법 제7조 제1항에 따라 화재예방강화지구 안의 소방대상물은 화재안전조사를 해야합니다.
같은 법령 제50조에 따라 화재안전조사를 거부ㆍ방해 또는 기피한 자는 300만원 이하의 벌금에 해당하는 것을 확인 할 수 있습니다.
[해설작성자 : 몽몽]

55. 펄프공장의 작업장, 음료수 공장의 충전을 하는 작업장 등과 같이 화재안전기준을 적용하기 어려운 특정소방대상물에 설치하지 아니할 수 있는 소방시설이 아닌 것은?
     1. 연결송수관설비
     2. 스프링클러설비
     3. 상수도소화용수설비
     4. 연결살수설비

     정답 : []
     정답률 : 44%

56. 간이스프링클러설비를 설치하여야 할 특정소방대상물의 기준으로 옳은 것은?
     1. 근린생활시설로 사용하는 부분의 바닥면적 합계가 1000m2이상인 것은 모든 층
     2. 교육연구시설 내에 합숙소로서 연면적 500m2이상인 것
     3. 정신병원과 의료재활시설은 제외한 요양병원으로 사용되는 바닥면적의 합계가 300m2이상 600m2미만인 시설
     4. 정신의료기관 또는 의료재활시설로 사용되는 바닥면적의 합계가 600m2미만인 시설

     정답 : []
     정답률 : 45%
     <문제 해설>
• 교육연구시설 내에 합숙소로서 연면적 100m2 이상인 것
• 정신의료기관 또는 의료재활시설로 사용되는 바닥면적의 합계가 300m2 이상 600m2 미만인 시설
• 종합병원, 병원, 치과병원, 한방병원 및 요양병원(의료재활시설은 제외)으로 사용되는 바닥면적의 합계가 600m2 미만인 시설
[해설작성자 : .소방 합격.]

57. 전문 소방시설공사업의 등록기준 중 보조기술인력은 최소 몇 인 이상 있어야 하는가?
     1. 1
     2. 2
     3. 3
     4. 4

     정답 : []
     정답률 : 72%

58. 소방시설 중 소화기구 및 단독경보형감지기를 설치하여야 하는 대상으로 옳은 것은?
     1. 아파트
     2. 기숙사
     3. 오피스텔
     4. 단독주택

     정답 : []
     정답률 : 65%

59. 지정수량 미만인 위험물의 저장 또는 취급기준은 무엇으로 정하는가?
     1. 시·도의 조례
     2. 총리령
     3. 행정자치부령
     4. 대통령령

     정답 : []
     정답률 : 71%

60. 소방기본법에 규정된 내용에 관한 설명으로 옳은 것은?
     1. 소방대상물에는 항해 중인 선박도 포함된다.
     2. 관계인이란 소방대상물의 관리자와 점유자를 제외한 실제 소유자를 말한다.
     3. 소방대의 임무는 구조와 구급활동을 제외한 화재현장에서의 화재진압활동이다.
     4. 의용소방대원과 의무소방원도 소방대의 구성원이다.

     정답 : []
     정답률 : 73%

61. 이산화탄소 소화설비 이산화탄소 소화약제의 저압식 저장용기 설치기준으로 옳은 것은?
     1. 충전비는 1.5이상 1.9이하로 설치
     2. 압력경보장치는 2.3MPa 이상 1.9MPa이하에서 작동
     3. 안전밸브는 내압시험 압력의 0.8배~1.0배에서 작동
     4. 자동냉동장치는 용기내부의 온도가 영하 18℃이상에서 2.1MPa 의 압력을 유지하도록 설치

     정답 : []
     정답률 : 47%
     <문제 해설>
고압식
충전압:5.3Mpa(15도)
충전비:1.5이상 1.9이하

저압식
충전압력:2.1MPa(-18도)
충전비:1.1이상 1.4이하
[해설작성자 : 중국무술=실전성0]

62. 연결살수설비 전용헤드를 사용하는 배관의 설치에서 하나의 배관에 부착하는 살수헤드가 4개일 때 배관의 구경은 몇 mm 이상으로 하는가?
     1. 40
     2. 50
     3. 65
     4. 80

     정답 : []
     정답률 : 65%

63. 포소화설비 수동식 기동장치의 설치기준으로 틀린 것은?
     1. 2 이상의 방사구역은 방사구역을 선택할 수 있는 구조로 한다.
     2. 바닥으로부터 0.8m 이상 1.5m 이하의 위치에 설치한다.
     3. 주차장에 설치하는 포소화설비의 기동장치는 방사구역마다 1개 이상 설치한다.
     4. 항공기격납고에 설치하는 포소화설비의 기동장치는 방사구역마다 1개 설치한다.

     정답 : []
     정답률 : 59%
     <문제 해설>
4. 항공기 격납고에 설치하는 포소화설비의 수동식 기동장치는 각 방사구역마다 2개 이상을 설치하되, 그 중 1개는 각 방사구역으로부터 가장 가까운 곳 또는 조작이 편리한 장소에 설치하고, 1개는 화재감지수신기를 설치한 감시실 등에 설치할 것
[해설작성자 : .소방 합격.]

64. 급기가압 제연방식의 문제점에 대한 설명으로 틀린 것은?
     1. 가압식 외부로 누설된 공기가 화재실로 이어지면 화재를 강화시킬 수 있다.
     2. 피난 시 가압실의 문을 열어두면 급기 가압용 공기를 공급하여도 효과가 없다.
     3. 문을 괴어놓거나 하여 자동폐쇄장치를 무효화하기 쉽다.
     4. 상시 급기가압을 하므로 송풍기의 설치비용등이 과대하다.

     정답 : []
     정답률 : 59%

65. 옥외소화전설비 노즐선단에서의 방수 압력은 몇 MPa 이상이어야 하는가?
     1. 0.2
     2. 0.25
     3. 0.3
     4. 0.4

     정답 : []
     정답률 : 76%

66. 숙박시설·노유자시설 및 의료시설로 사용되는 층에 있어서는 그 층의 바닥면적 몇 m2 마다 1개 이상의 피난기구를 설치해야 하는가?
     1. 500
     2. 600
     3. 800
     4. 1000

     정답 : []
     정답률 : 67%

67. 부속용도로 사용되는 부분 중 음식점의 주방에 추가해야 할 소화기의 능력단위는? (단, 지하가의 음식점을 포함한다.)
     1. 1단위 이상/해당 용도의 바닥면적 10m2
     2. 1단위 이상/해당 용도의 바닥면적 15m2
     3. 1단위 이상/해당 용도의 바닥면적 20m2
     4. 1단위 이상/해당 용도의 바닥면적 25m2

     정답 : []
     정답률 : 52%

68. 분말소화약제 가압식 저장용기는 최고사용 압력의 몇 배 이하의 압력에서 작동하는 안전밸브를 설치해야 하는가?
     1. 0.8배
     2. 1.2배
     3. 1.8배
     4. 2.0배

     정답 : []
     정답률 : 64%

69. 근린생활시설 중 입원실이 있는 의원 3층에 적응성이 있는 피난기구는?
     1. 피난사다리
     2. 완강기
     3. 공기안전매트
     4. 구조대

     정답 : []
     정답률 : 51%

70. 측압식 분말소화기의 지시압력계에 표시된 정상 사용압력 범위는?
     1. 0.6~0.9MPa
     2. 0.7~0.9MPa
     3. 0.6~0.98MPa
     4. 0.7~0.98MPa

     정답 : []
     정답률 : 59%

71. 특별피난계단의 계단실 및 부속실 제연설비에서 사용하는 유입공기의 배출방식으로 적합하지 않는 것은?
     1. 배출구에 따른 배출
     2. 제연설비에 따른 배출
     3. 수직풍도에 따른 배출
     4. 수평풍도에 따른 배출

     정답 : []
     정답률 : 63%

72. 이산화탄소 소화설비에서 기동용기의 개방에 따라 CO2저장용기가 개방되는 시스템 방식은?
     1. 전기식
     2. 가스압력식
     3. 기계식
     4. 유압식

     정답 : []
     정답률 : 72%

73. 연결송수관설비의 방수용기구함은 피난층과 가장 가까운 층을 기준으로 3개층 마다 설치하되, 그 층의 방수구마다 몇 m의 보행거리 이내에 설치해야 하는가?
     1. 2
     2. 3
     3. 4
     4. 5

     정답 : []
     정답률 : 63%

74. 고압의 전기기가 있는 장소의 전기기기와 물분무헤드의 이격거리 기준으로 틀린 것은?
     1. 110kV 초과 154kV 이하 : 150cm 이상
     2. 154kV 초과 181kV 이하 : 180cm 이상
     3. 181kV 초과 220kV 이하 : 200cm 이상
     4. 220kV 초과 275kV 이하 : 260cm 이상

     정답 : []
     정답률 : 66%
     <문제 해설>
66kv 이하 - 70cm 이상
66 초과 77 이하 - 80cm 이상
77 초과 110 이하 - 110cm 이상
110 초과 154 이하 - 150cm 이상
154 초과 181 이하 - 180cm 이상
181 초과 220 이하 - 210cm 이상
220kv 초과 275kv 이하 - 260cm 이상
[해설작성자 : .소방 합격.]

75. 알람체크밸브(Alarm Check Valve)가 동작하여 작동 중인 경우, 폐쇄상태에 있는 것은?
     1. 시험밸브
     2. 경보용 볼밸브
     3. 1차 측 게이트밸브
     4. 압력게이지 밸브

     정답 : []
     정답률 : 61%

76. 스프링클러설비의 배관에 대한 설명으로 틀린 것은?
     1. 성능시험배관은 펌프의 토출측에 설치된 체크밸브 이전에서 분기한다.
     2. 습식스프링클러설비 또는 부압식 스프링 클러설비 외의 설비에는 헤드를 향하여 상향으로 수평주행배관의 기울기는 1/500이상으로 한다.
     3. 급수배관에 설치되는 탬퍼스위치는 감시제어반 또는 수신기에서 동작의 유무 확인을 할 수 있어야 한다.
     4. 주차장의 스프링클러설비는 습식 이외의 방식으로 한다.

     정답 : []
     정답률 : 54%
     <문제 해설>
1. 성능시험배관은 펌프의 토출측에 설치된 개폐밸브 이전에서 분기한다.
[해설작성자 : .소방 합격.]

77. 분말소화설비의 구성품이 아닌 것은?(오류 신고가 접수된 문제입니다. 반드시 정답과 해설을 확인하시기 바랍니다.)
     1. 정압작동장치
     2. 압력 조정기
     3. 가압용 가스용기
     4. 기화기

     정답 : []
     정답률 : 74%
     <문제 해설>
아래와 같은 오류 신고가 있었습니다.
여러분들의 많은 의견 부탁 드립니다.
추후 여러분들의 의견을 반영하여 정답을 수정하도록 하겠습니다.
참고로 정답 변경은 오류 신고 5회 이상일 경우 수정합니다.

[오류 신고 내용]
보기 4번 구조대 로 되어있습니다 [시대고시 책 참고]

[오류신고 반론]
시대고시 책이 문제 오기된 것입니다. 구조대는 68번 문제의 보기 4번이 반복 체크 된 것이랍니다.
대다수 문제집이 기화기로 출제되어 있으며 이산화탄소소화설비의 구성품과 착각하게 유도하는 문제입니다.
동일 문제가 2019년 2회차에 반복 출제되기도 했습니다.
[해설작성자 : 안알랴줌]

78. 랙크식 창고에 설치하는 스프링클러 헤드는 천장 또는 각 부분으로부터 하나의 스프링클러헤드까지의 수평거리가 몇 m 이하이어야 하는가?(관련 규정 개정전 문제로 여기서는 기존 정답인 2번을 누르면 정답 처리됩니다. 자세한 내용은 해설을 참고하세요.)
     1. 3.2
     2. 2.5
     3. 2.1
     4. 1.5

     정답 : []
     정답률 : 60%
     <문제 해설>
해당 문제 24년 1월 법령 변경으로 인해 랙크식 창고 기준이 사라졌습니다.

스프링클러설비의 화재안전기술기준(NFTC 103)
2.7 헤드.
2.7.3.1 무대부· 「화재의 예방 및 안전관리에 관한 법률 시행령」 별표 2의 특수가연물을 저장 또는 취급하는 장소에 있어서는 1.7 m 이하
2.7.3.2 <삭제 2024.1.1.>
2.7.3.3 <삭제 2024.1.1.>
2.7.3.4     2.7.3.1부터 2.7.3.3까지 규정 외의 특정소방대상물에 있어서는 2.1 m 이하(내화구조로 된 경우에는 2.3 m 이하)
[해설작성자 : P2KKA]

79. 플로팅루프(floating roof)방식의 위험물 탱크에 적합한 포방출구는?
     1. Ⅰ형 방출구
     2. Ⅱ형 방출구
     3. 특형 방출구
     4. 표면하주입식 방출구

     정답 : []
     정답률 : 66%

80. 특수가연물을 저장 또는 취급하는 특정소방 대상물에 있어서 물분무소화설비 수원의 최소 저수량은? (단, 최대 방수구역의 바닥면적을 기준으로 한다.)
     1. 바닥면적(m2)×10(L/min)×20(min)
     2. 바닥면적(m2)×20(L/min)×20(min)
     3. 바닥면적(m2)×20(L/min)×10(min)
     4. 바닥면적(m2)×10(L/min)×10(min)

     정답 : []
     정답률 : 53%


정 답 지

1

2

3

4

5

6

7

8

9

10

11

12

13

14

15

16

17

18

19

20

21

22

23

24

25

26

27

28

29

30

31

32

33

34

35

36

37

38

39

40

41

42

43

44

45

46

47

48

49

50

51

52

53

54

55

56

57

58

59

60

61

62

63

64

65

66

67

68

69

70

71

72

73

74

75

76

77

78

79

80

소방설비산업기사(기계) 필기 기출문제(해설) 및 CBT 2016년03월06일을 이용해 주셔서 감사합니다.
, 필기, 기출문제, 전자문제집, CBT, 온라인, 모의테스트, 모의고사



List of Articles
번호 제목 글쓴이 날짜 조회 수
14849 지게차유사(롤러,기중기등) 필기 기출문제(해설) 및 CBT 2012년04월08일(7774) new 좋은아빠되기 2025.11.25 0
14848 지게차유사(롤러,기중기등) 필기 기출문제(해설) 및 CBT 2012년01월12일(7773) new 좋은아빠되기 2025.11.25 1
14847 소방설비산업기사(기계) 필기 기출문제(해설) 및 CBT 2018년09월15일(7772) new 좋은아빠되기 2025.11.25 1
14846 소방설비산업기사(기계) 필기 기출문제(해설) 및 CBT 2018년04월28일(7771) new 좋은아빠되기 2025.11.25 1
14845 소방설비산업기사(기계) 필기 기출문제(해설) 및 CBT 2017년09월23일(7770) new 좋은아빠되기 2025.11.25 1
14844 소방설비산업기사(기계) 필기 기출문제(해설) 및 CBT 2017년05월07일(7769) new 좋은아빠되기 2025.11.25 1
14843 소방설비산업기사(기계) 필기 기출문제(해설) 및 CBT 2017년03월05일(7768) new 좋은아빠되기 2025.11.25 1
14842 소방설비산업기사(기계) 필기 기출문제(해설) 및 CBT 2016년10월01일(7767) new 좋은아빠되기 2025.11.25 1
14841 소방설비산업기사(기계) 필기 기출문제(해설) 및 CBT 2016년05월08일(7766) new 좋은아빠되기 2025.11.25 1
» 소방설비산업기사(기계) 필기 기출문제(해설) 및 CBT 2016년03월06일(7765) new 좋은아빠되기 2025.11.25 1
14839 소방설비산업기사(기계) 필기 기출문제(해설) 및 CBT 2015년09월19일(7764) new 좋은아빠되기 2025.11.25 1
14838 소방설비산업기사(기계) 필기 기출문제(해설) 및 CBT 2015년03월08일(7763) new 좋은아빠되기 2025.11.25 1
14837 소방설비산업기사(기계) 필기 기출문제(해설) 및 CBT 2014년09월20일(7762) new 좋은아빠되기 2025.11.25 1
14836 소방설비산업기사(기계) 필기 기출문제(해설) 및 CBT 2014년05월25일(7761) new 좋은아빠되기 2025.11.25 1
14835 소방설비산업기사(기계) 필기 기출문제(해설) 및 CBT 2013년03월10일(7760) new 좋은아빠되기 2025.11.25 1
14834 소방설비산업기사(기계) 필기 기출문제(해설) 및 CBT 2012년09월15일(7759) new 좋은아빠되기 2025.11.25 1
14833 소방설비산업기사(기계) 필기 기출문제(해설) 및 CBT 2012년03월04일(7758) new 좋은아빠되기 2025.11.25 0
14832 소방설비산업기사(기계) 필기 기출문제(해설) 및 CBT 2011년10월02일(7757) new 좋은아빠되기 2025.11.25 0
14831 소방설비산업기사(기계) 필기 기출문제(해설) 및 CBT 2011년06월12일(7756) new 좋은아빠되기 2025.11.25 0
14830 소방설비산업기사(기계) 필기 기출문제(해설) 및 CBT 2010년09월05일(7755) new 좋은아빠되기 2025.11.25 0
Board Pagination Prev 1 ... 88 89 90 91 92 93 94 95 96 97 ... 835 Next
/ 835