자격증 필기 기출문제



일반기계기사 필기 기출문제(해설) 및 CBT 2004년09월05일(7799)

최강 자격증 기출문제 전자문제집 CBT : www.comcbt.com


전자문제집 CBT란?

종이 문제집이 아닌 인터넷으로 문제를 풀고 자동으로 채점하며 모의고사, 오답 노트, 해설까지 제공하는
무료 기출문제 학습 프로그램으로 실제 상설검정에서 사용하는 OMR 형식의 CBT를 제공합니다.


최신 일반기계기사 필기 기출문제 : [다운로드]

1과목 : 재료역학


1. 지름 9㎝인 원형단면을 직사각형 단면 b×h로 잘라내어 최대강도를 갖도록 할 때 단면치수 b와 h는 몇 ㎝인가?

   

     1. b=√36 , h=√64
     2. b=√27 , h=√54
     3. b=√42 , h=√42
     4. b=√25 , h=√60

     정답 : []
     정답률 : 49%

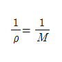
2. 비틀림 모멘트 T, 극관성 모멘트를 IP, 축의 길이를 L, 전단탄성계수를 G 라 할 때, 단위 길이당 비틀림각은?
     1. TG/IP
     2. T/GIP
     3. L2/IP
     4. T/IP

     정답 : []
     정답률 : 59%

3. 최대 굽힘모멘트 8 kN∙m 를 받는 원형단면의 굽힘응력을 60 MPa로 하려면 지름을 약 몇 cm로 해야 하는가?
     1. 1.11
     2. 11.1
     3. 3.01
     4. 30.1

     정답 : []
     정답률 : 49%

4. 다음 그림의 등분포 하중의 단순지지보에서 A의 보가 B의 보 보다 최대처짐이 몇 배나 되는가?

   

     1. 4
     2. 8
     3. 12
     4. 16

     정답 : []
     정답률 : 38%

5. 내부 반지름 Ri, 외부 반지름 Ro의 속이 빈 원형 단면의 극(polar)관성 모멘트로 맞는 것은?
     1.
     2.
     3.
     4.

     정답 : []
     정답률 : 35%

6. 그림과 같은 축지름 50㎜의 축에 고정된 풀리에 1750rpm, 7.35 kW의 모터를 벨트로 연결하여 전동하려고 한다. 키에 발생하는 전단응력(τ)과 압축응력(σ)은 몇 MPa인가? (단, 키의 치수는(8x4x60)㎜ 이다.)

   

     1. τ= 3.34, σ= 6.68
     2. τ= 3.34, σ= 13.37
     3. τ= 4.34, σ= 13.37
     4. τ= 4.34, σ= 23.37

     정답 : []
     정답률 : 25%

7. 다음 중 피로한도와 가장 관계가 깊은 하중은?
     1. 충격하중
     2. 정하중
     3. 반복하중
     4. 수직하중

     정답 : []
     정답률 : 64%

8. 균일 단면을 가지는 수직 강봉 하단에 하중 P가 작용하고 있다. 이 때 봉의 전신장량은 얼마인가? (단, 강봉의 단면적은 A, 길이는 L, 비중량은 , 그리고 탄성계수는 E이다.)
     1.
     2.
     3.
     4.

     정답 : []
     정답률 : 31%

9. 길이 1.5m 단면적 10cm2의 강재봉을 50 kN의 힘으로 인장 했을때 0.36㎜ 늘어났다. 이 강재의 탄성계수 E는 몇 GPa 인가?
     1. 31
     2. 81
     3. 105
     4. 208

     정답 : []
     정답률 : 50%

10. 두께가 t인 원통형 탱크를 만들어 내압 P가 가해졌을 때 탱크에서 발생한 평면응력 상태에서의 최대 전단 변형률 이 이라 하면 이 탱크의 지름은 얼마인가? (단, 탱크 재료의 탄성계수는 E이고 포아송 비는 ν이다)
     1.
     2.
     3.
     4.

     정답 : []
     정답률 : 13%

11. 단순지지보에서 길이는 5m, 중앙에서 집중하중 P가 작용 할때 최대처짐은 몇 cm 인가? (단, 보의 단면(bxh)은 5cmx12cm, 탄성계수 E= 210 GPa, P = 25 kN으로 한다.)

    

     1. 8.3
     2. 4.3
     3. 2.8
     4. 6.5

     정답 : []
     정답률 : 47%

12. 그림과 같이 정3각형 형태의 트러스가 길이 ℓ 인 두개의 봉으로 조립되어 절점 A에서 수직하중 P를 받고 있다. 이 두봉의 탄성계수는 E, 단면적은 A로 일정하다면 A점 의 수직변위 δ 는?

    

     1.
     2.
     3.
     4.

     정답 : []
     정답률 : 9%

13. 그림과 같이 노치가 있는 둥근봉이 인장력 P=10 kN을 받고 있다. 노치의 응력 집중계수가 α=2.5 라면, 노치부의 최대응력은 몇 MPa 인가?

    

     1. 3180
     2. 51
     3. 221
     4. 318

     정답 : []
     정답률 : 41%

14. 인장강도 400 MPa의 연강봉에, 축방향으로 30 kN의 인장 하중을 줄때 안전율을 5라하면 지름은 약 몇 cm 로 해야하는가?
     1. 0.22
     2. 2.99
     3. 2.19
     4. 4.37

     정답 : []
     정답률 : 45%

15. 그림과 같은 보의 중앙점에서 굽힘모멘트의 크기는?

    

     1. 30 N · m
     2. 60 N · m
     3. 90 N · m
     4. 120 N · m

     정답 : []
     정답률 : 39%

16. 탄성계수 E=200 GPa, 포아송 비 ν =0.3 일 때 전단 탄성계수 G 값은 몇 GPa 인가?
     1. 66
     2. 77
     3. 88
     4. 99

     정답 : []
     정답률 : 56%
     <문제 해설>
* E, G, m 관계식
mE = 2G(m+1) => G = mE/2(m+1)
(m = v^-1)
[해설작성자 : 1696066송지현]

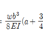
17. 그림의 보에서 θA 가 옳게된 것은? (단, EI는 일정하다.)

    

     1.
     2.
     3.
     4.

     정답 : []
     정답률 : 32%
     <문제 해설>
중첩법 이용해서 풀기
세타a=(ML/3EI)+(2.5ML/6EI)=(3ML/4EI)
세타b=(ML/6EI)+(2.5ML/3EI)=(ML/EI)

18. 그림에서 클램프(clamp)의 압축력이 P=5 kN 일 때 m-n으로 잘려진 면의 최소두께 h를 구하면 몇 cm 인가? (단, 직사각형 단면의 폭 b=10mm, 편심거리 e=50mm, 재료의 허용응력 σW=150 MPa이다.)

    

     1. 1.33 P
     2. 2.33
     3. 3.33
     4. 4.33

     정답 : []
     정답률 : 24%

19. 다음 그림과 같이 평면응력 상태에 있는 재료 내부에 생기는 최대 주응력을 σ1, 최소 주응력을 σ2, 전단응력을 τxy 라고 할 때, 성립하는 관계식으로 옳은 것은?

    

     1. σ1 - σ2 = σx - σy
     2. σ1 + σ2 = σx + σy
     3. σ1 + σ2 = 2τxy
     4. σ1 - σ2 = τxy

     정답 : []
     정답률 : 45%

20. 8cmx12cm인 직사각형 단면의 기둥 길이를 L1, 지름 20cm인 원형 단면의 기둥 길이를 L2 라하고 세장비가 같다면, 두 기둥의 길이의 비 L2/L1은 얼마인가?
     1. 1.44
     2. 2.16
     3. 2.5
     4. 3.2

     정답 : []
     정답률 : 17%

2과목 : 기계열역학


21. 해수면 아래 20 m에 있는 수중다이버에게 작용하는 절대 압력은? (단, 대기압은 101 kPa 이고, 해수의 비중은 1.03 이다.)
     1. 202.9 kPa
     2. 302.9 kPa
     3. 101.3 kPa
     4. 503.4 kPa

     정답 : []
     정답률 : 57%

22. 이상기체를 동작물질로 하는 카르노사이클의 p-v 선도는 다음 그림과 같다. 이 그림에서 열을 공급받는 과정은?

    

     1. 1 - 2
     2. 2 - 3
     3. 3 - 4
     4. 4 - 1

     정답 : []
     정답률 : 41%

23. 정압과정에서의 전달 열량은?
     1. 내부에너지 변화량과 같다.
     2. 이루어진 일량과 같다.
     3. 체적의 변화량과 같다.
     4. 엔탈피 변화량과 같다.

     정답 : []
     정답률 : 56%

24. 질량이 m1㎏ 이고 온도가 t1℃ 인 금속을 질량이 m2㎏ 이고 온도가 t2℃인 물속에 넣었더니 전체가 균일한 온도t′ ℃로 되었다면, 이 금속의 비열은 얼마인가? (단, 외부와의 열전달은 없고 t1 > t2 이다.)
     1.
     2.
     3.
     4.

     정답 : []
     정답률 : 34%

25. 단열된 용기 안에 두 개의 구리 블럭이 있다. 블록 A는 10 kg, 온도 300 K이고 블록 B는 10 kg, 900 K이다. 구리의 비열은 0.4 kJ/kg℃ 이다. 두 블록을 접촉시켜 열교환이 가능하게 하고 장시간 놓아두어 최종 상태에서 두 구리 블록의 온도가 같아졌다. 이 과정 동안 시스템의 엔트로피 증가량은?
     1. 1.15 kJ/K
     2. 2.04 kJ/K
     3. 2.77 kJ/K
     4. 4.82 kJ/K

     정답 : []
     정답률 : 35%

26. 보일러 입구의 압력이 9800 kN/m2이고, 복수기의 압력이 4900 N/m2일때 펌프일은? (단, 물의 비체적은 0.001 m3/㎏ 이다.)
     1. -9.795 kJ/㎏
     2. -15.173 kJ/㎏
     3. -87.25 kJ/㎏
     4. -180.52 kJ/㎏

     정답 : []
     정답률 : 45%

27. 10℃에서 160℃까지의 공기의 평균 정적비열은 0.7315kJ/ kgㆍ℃이다. 이 온도변화 에서 공기 1 ㎏의 내부에너지 변화는?
     1. 109.7 kJ
     2. 120.6 kJ
     3. 107.1 kJ
     4. 121.7 kJ

     정답 : []
     정답률 : 59%

28. 다음과 같은 이상적인 랭킨 사이클의 열효율은? (단, 온도 - 엔트로피(T - S)선도의 각 상태의 엔탈피 h는 다음과 같다. h1 = 40 ㎉/㎏, h2 = 42 ㎉/㎏, h3 = 334 ㎉/㎏, h4 = 825 ㎉/㎏, h5 = 500 ㎉/㎏ 이다.)

    

     1. 약 34 %
     2. 약 47 %
     3. 약 39 %
     4. 약 41 %

     정답 : []
     정답률 : 52%

29. 27 kPa의 압력은 수은 주로 어느 정도 높이가 되겠는가?
     1. 약 157.7mm
     2. 약 202.6mm
     3. 약 264.4mm
     4. 약 557.4mm

     정답 : []
     정답률 : 54%

30. 온도가 350 K이고, 비열비 1.4이며 이상기체 상수가 0.287 kJ/kg∙K 인 공기에서 음속은?
     1. 300m/s
     2. 325m/s
     3. 350m/s
     4. 375m/s

     정답 : []
     정답률 : 27%

31. 압력이 일정할 때 공기 5 kg을 0℃에서 100℃까지 가열하는데 필요한 열량(kJ)은? (단, 공기 비열 Cp (kJ/kg℃) = 1.01 + 0.000079t(℃)이다.)
     1. 102
     2. 476
     3. 500
     4. 507

     정답 : []
     정답률 : 43%

32. 2 ㎏의 어느 기체가 절대압력 1 ㎏f/cm2, 온도 25℃에서 체적이 0.5 m3였다면 이 기체의 기체상수 R은 약 얼마 인가?
     1. 82 J/㎏∙K
     2. 8.4 J/㎏∙K
     3. 820J/㎏∙K
     4. 84 J/㎏∙K

     정답 : []
     정답률 : 18%

33. 가역열기관이 1000℃의 열원과 300 K의 대기 사이에 작동한다. 이 열기관이 사이클 당 100 kJ의 일을 할 경우 사이클 당 1000℃의 열원으로부터 받은 열량은?
     1. 70.0 kJ
     2. 76.4 kJ
     3. 130.8 kJ
     4. 142.9 kJ

     정답 : []
     정답률 : 33%

34. 열역학 제 2법칙을 설명한 다음 사항 중 틀린 것은?
     1. 효율이 100%인 열기관은 얻을 수 없다.
     2. 제 2종의 영구 기관은 작동 물질의 종류에 따라 가능하다.
     3. 열은 스스로 저온의 물질에서 고온의 물질로 이동하지 않는다.
     4. 열기관에서 작동 물질이 일을 하게 하려면 그보다 더 저온인 물질이 필요하다.

     정답 : []
     정답률 : 42%

35. 자동차에서 에어컨을 가동할 때 차량 밑으로 물이 떨어졌다. 이 물은 주로 어디서 발생했는가?
     1. 응축기
     2. 증발기
     3. 팽창밸브
     4. 압축기

     정답 : []
     정답률 : 17%

36. 제1종 영구기관을 설명하는 것이 아닌 것은?
     1. 에너지 소비없이 계속 일을 하는 원동기
     2. 주위로 일을 계속할 수 있는 원동기
     3. 열에너지를 모두 계속 일 에너지로만 변환하는 기관
     4. 외부에서 에너지를 가하지 않은 채 영구히 에너지를 내는 기관

     정답 : []
     정답률 : 33%
     <문제 해설>
제 1종 영구기관 : 열효율이 100%이상인 기관
제 2종 영구기관 : 열효율이 100%인 기관
1. 입력<출력
2. 입력<출력
3. 입력=출력
4. 입력<출력
[해설작성자 : 기사붙고싶다]

37. 한여름 낮 주차된 차량의 내부 온도는 외부보다 높은 경우가 많다. 어떤 이유인가?
     1. 태양으로부터의 복사열로 인해서
     2. 대류 열전달이 활발히 일어나기 때문에
     3. 복사에너지가 존재하지 않으므로
     4. 차량 내부에 자연대류가 생성되어서

     정답 : []
     정답률 : 48%

38. 가역사이클에 대한 클라우지우스(Clausius)의 적분은 어느 것이 옳은가? (단, Q = 열량, T = 절대온도이다.)
     1.
     2.
     3.
     4.

     정답 : []
     정답률 : 37%

39. 다음 그림은 물의 압력-온도선도이다. 맞게 표현한 것은?

    

     1. K는 임계점이고, TA는 융해곡선이다.
     2. T는 임계점이고, OT는 증발곡선이다.
     3. K는 임계점이고, TK는 승화곡선이다.
     4. T는 임계점이고, OT는 승화곡선이다.

     정답 : []
     정답률 : 18%

40. 고온 400℃, 저온 50℃의 온도 범위에서 작동하는 Carnot 사이클의 열효율을 구하면 몇 %인가?
     1. 22
     2. 32
     3. 42
     4. 52

     정답 : []
     정답률 : 44%
     <문제 해설>
1-(Ql+273/Qh+273)
[해설작성자 : honey]

3과목 : 기계유체역학


41. 일정한 직경의 파이프로 100 m 높이에 있는 저수지 물을 지상으로 공급하고자 한다. 지상으로 내려오면서 파이프 내의 유속 변화에 대한 설명 중 맞는 것은? (단, 물은 비압축성 유체로 생각한다.)
     1. 속도가 증가한다.
     2. 속도가 일정하다.
     3. 속도가 감소한다.
     4. 속도가 증가하다가 일정속도에 도달한다.

     정답 : []
     정답률 : 28%

42. 바람에 수직하게 놓인 지름 40 cm의 원판(disk)이 받는 항력이 0.4 N이었다. 공기 밀도가 1.2 kg/m3이고 항력계 수가 1.1이라면 풍속은 몇 m/s인가?
     1. 0.8
     2. 1.1
     3. 1.6
     4. 2.2

     정답 : []
     정답률 : 42%

43. 다음 중 유선(streamline)을 가장 잘 설명한 것은?
     1. 에너지가 같은 점을 이은 선이다.
     2. 유체 입자가 시간에 따라 움직인 궤적이다.
     3. 유체 입자의 속도벡터와 접선이 되는 가상 곡선이다.
     4. 정상유동 때의 유동을 나타내는 곡선이다.

     정답 : []
     정답률 : 55%

44. 위가 열린 큰 탱크(tank) 속에 비중량이 인 액체가 들어있다. 이 액체의 자유 표면에서 h되는 위치에 있는 단면적 A인 노즐(nozzle)을 통하여 액체가 대기중으로 분출될 때 탱크가 받는 추력(thrust)은? (단, 유량계수는 1 이다.)
     1.
     2.
     3.
     4.

     정답 : []
     정답률 : 23%

45. 속도포텐셜 φ = x2-y2 인 2차원 정상 유동에 대하여 점(3,4) 에서 유체의 속력(speed)은?
     1. 5
     2. 7
     3. 7.07
     4. 10

     정답 : []
     정답률 : 36%

46. 물이 직경(D) 1.5 cm의 거친 관을 평균속도 0.125 m/s로 흐른다. 원관의 조도 e는 0.01 mm이며, 물의 동점성계수는 1.5x10-6m2/s이다. 다음 중 관마찰계수 f의 함수표현으로 맞는 것은?
     1. f= f(Re)
     2. f= f(Re, e/D)
     3. f= f(e/D)
     4. f= f(△P, e/D)

     정답 : []
     정답률 : 27%

47. 20 m 높이로 올릴 수 있는 분수를 만들고자 한다. 지름이 50 mm인 노즐로 수직으로 분사할 때 공급해야할 유량은 몇 m3/s 인가? (단, 각종 손실은 무시하며, 물의 밀도는 1000 kg/m3, 중력가속도는 9.81 m/s2이다.)
     1. 0.025
     2. 0.030
     3. 0.039
     4. 0.045

     정답 : []
     정답률 : 46%

48. 부차적 손실계수 값이 5인 밸브를 Darcy의 관마찰계수가 0.025이고 지름이 2 cm인 관으로 환산한다면 관의 등가 길이는 몇 m인가?
     1. 4
     2. 0.4
     3. 2.5
     4. 0.25

     정답 : []
     정답률 : 46%

49. 체적이 0.1m3인 타이어 속의 공기는 온도가 30℃이고 계기압력은 175 kPa이다. 타이어속에 있는 공기의 질량은 몇 kg인가? (단, 대기압은 표준대기압이고, 공기의 기체상수는 287J/kg · K이다.)
     1. 0.32
     2. 3.1
     3. 0.63
     4. 6.2

     정답 : []
     정답률 : 45%

50. 그림과 같은 관에 유리관 A,B를 세우고 물을 흐르게 했을때 유리관 B의 상승높이 h2는 약 몇 cm인가?

    

     1. 34.4
     2. 10
     3. 15.56
     4. 12.5

     정답 : []
     정답률 : 24%

51. 구형 물체 주위의 비압축성 점성유체의 흐름에서 유속이 대단히 느릴 때(레이놀즈수가 1보다 적을 경우) 구형 물체에 작용하는 항력 Dr은? (단, 구의 지름은 d, 유체의 점성계수를 μ, 유체의 평균 속도를 V라 한다.)
     1. Dr=3πμ d V
     2. Dr=6πμ d V
     3.
     4.

     정답 : []
     정답률 : 36%

52. 그림에서 압력차(Px-Py)는 몇 kPa 인가?

    

     1. 25.67
     2. 0.262
     3. 0.2567
     4. 2620

     정답 : []
     정답률 : 44%

53. 동점성계수가 0.1x10-5m2/s인 유체가 안지름 10 cm인 원관내에 1 m/s로 흐르고 있다. 관마찰계수가 f=0.022이며 등가길이가 200 m 일 때의 손실수두는 몇 m 인가? (단, 비중량은 =9800 N/m3이다.)
     1. 2.24
     2. 22.0
     3. 11.0
     4. 6.58

     정답 : []
     정답률 : 17%

54. 그림과 같이 유체속에 수직으로 잠겨진 직사각형 판에서 힘의 작용점의 위치는 판의 중심(C)보다 수직으로 몇 m아래에 있는가?

    

     1. 0.32 m
     2. 0.257 m
     3. 1.2 m
     4. 0.463 m

     정답 : []
     정답률 : 41%

55. 뉴턴유체 유동의 한 점에서 전단응력이 300 N/m2이고, 속도구배가 6000(m/s)/m이다. 만일 액체의 비중이 0.95라면 동점성계수는 몇 스토크스(stokes)인가?
     1. 5.26x10-1
     2. 5.26x10-2
     3. 5.26x10-5
     4. 5.26x10-10

     정답 : []
     정답률 : 20%

56. 높이 1.5 m의 자동차가 108 km/hr의 속도로 주행할 때의 공기흐름 상태를 높이 1 m의 모형을 사용해서 풍동 실험 할때, 상사법칙을 만족시키기 위한 풍동의 공기 속도는 몇 m/s인가?
     1. 20
     2. 30
     3. 45
     4. 67

     정답 : []
     정답률 : 35%

57. 안지름이 100 mm인 관속을 동점성계수가 1x10-4m2/s인 기름이 평균유속 1.5 m/s로 흐르고 있다. 이때의 관마찰계수는?
     1. 0.022
     2. 0.043
     3. 45.45
     4. 24.44

     정답 : []
     정답률 : 56%

58. 만약 액체가 강체처럼 수직축 둘레를 일정한 각속도로 회전하면 바닥면에서의 압력은?
     1. 반지름방향 거리의 제곱에 따라 감소한다.
     2. 반지름방향 거리에 따라 직선적으로 증가한다.
     3. 반지름방향 거리에 따라 직선적으로 감소한다.
     4. 반지름방향 거리의 제곱에 따라 증가한다.

     정답 : []
     정답률 : 30%

59. 실제 잠수함 크기의 1/25 인 모형 잠수함을 해수에서 실험하고자 한다. 만일 실형 잠수함을 5 m/s로 운전하고자 할 때 모형 잠수함의 속도는 몇 m/s로 실험해야 하는가?
     1. 3.3
     2. 54
     3. 100
     4. 125

     정답 : []
     정답률 : 48%

60. 안지름 D인 베어링에 지름 d인 축을 끼우고 그 틈을 점도 μ인 기름으로 윤활하고 있다. 이 축을 각속도 ω로 회전시킬 때 축의 단위 길이에 대한 소비 동력은?
     1.
     2.
     3.
     4.

     정답 : []
     정답률 : 11%

4과목 : 기계재료 및 유압기기


61. 주철(Fe-C계)에 규소(Si)가 첨가되면 어떠한 영향을 미치는가?
     1. 흑연화촉진, 흑연,오스테나이트 공정 평형온도저하
     2. 시멘타이트화 촉진, 공정온도 저하, 공정탄소량 증가
     3. 흑연화촉진, 흑연,오스테나이트 공정 평형온도 상승, 공정탄소량 감소
     4. 시멘타이트화 촉진, 흑연, 오스테나이트 공정 평형온도 상승, 공정탄소량 증가

     정답 : []
     정답률 : 39%

62. 일정한 유량의 기름이 흐르는 관의 직경이 배로 늘었다면 기름의 속도는 몇배로 되는가?
     1. 1/4배
     2. 1/2배
     3. 2배
     4. 4배

     정답 : []
     정답률 : 60%
     <문제 해설>
연속 법칙, Q=AV 에서 지름이 2배가 되면 면적은 4배가 됩니다. 이때, 속도는 반비례하기 때문에 1/4배가 됩니다.
[해설작성자 : Engineers Help]

63. 다음 중 채터링 현상에 대한 설명으로 가장 적합한 것은?
     1. 유량제어밸브의 개폐가 연속적으로 반복되어 심한 진동에 의한 밸브 포트에서의 누설 현상
     2. 유동하고 있는 액체의 압력이 국부적으로 저하되어 증기나 함유 기체를 포함하는 기체가 발생하는 현상
     3. 감압밸브, 체크밸브, 릴리프밸브 등에서 밸브시트를 두드려 비교적 높은 소음을 내는 자려 진동 현상
     4. 슬라이드 밸브 등에서 밸브가 중립점에서 조금 변위하여 포트가 열릴 때, 발생하는 압력증가 현상

     정답 : []
     정답률 : 65%

64. 하부 Bainite 조직과 유사한 침상조직은?
     1. Ferrite
     2. Osmondite
     3. Sorbite
     4. Martensite

     정답 : []
     정답률 : 55%

65. 탄소강의 분류와 용도에서 기어, 캠등에 사용되는 가장 적당한 것은?
     1. 극연강
     2. 탄소공구강
     3. 반연강
     4. 표면경화용강

     정답 : []
     정답률 : 20%

66. 철의 조직 중에서 인장강도와 내마모성이 동시에 우수한 특성을 나타내는 조직으로 가장적합 한 것은?
     1. 펄라이트(Pearlite)
     2. 페라이트(Ferrite)
     3. 시멘타이트(Cementite)
     4. 오스테나이트(Austenite)

     정답 : []
     정답률 : 43%

67. 보기와 같은 유압 기호가 나타내는 명칭은?

    

     1. 리밋 스위치
     2. 전자 변환기
     3. 압력 스위치
     4. 아날로그 변환기

     정답 : []
     정답률 : 48%

68. 보기와 같은 회로의 명칭으로 다음 중 가장 적합한 것은?

    

     1. 체크 밸브에 의한 로크 회로
     2. 일정 토크 구동 회로
     3. 일정 마력 구동 회로
     4. 완전 로크 회로

     정답 : []
     정답률 : 44%

69. 유압회로 내 이물질을 제거하는 것과 작동유 교환시 오래된 오일과 슬러지를 용해하여 오염물의 전량을 회로 밖으로 배출시켜서 회로를 깨끗하게 하는 것은?
     1. 플래싱(flushing)
     2. 드레인(drain)
     3. 패킹(packing)
     4. 매니폴드(manifold)

     정답 : []
     정답률 : 56%

70. 탄소강을 담금질할 때 재료의 내부와 외부에 담금질 효과가 서로 다르게 나타나는 현상을 무엇이라고 하는가?
     1. 노치효과
     2. 담금질효과
     3. 질량효과
     4. 비중효과

     정답 : []
     정답률 : 53%

71. 유압 작동유에 공기가 많이 흡입된 경우의 초래되는 현상으로 틀린 것은 ?
     1. 압축성이 증대되어 유압기기의 작동이 불규칙하다.
     2. 유압펌프에서 캐비테이션 발생의 원인이 된다.
     3. 산화촉진을 막아 준다.
     4. 윤활작용이 저하된다.

     정답 : []
     정답률 : 72%
     <문제 해설>
작동유에 공기가 혼입될 때의 영향
- 실린더의 작동불량 및 숨돌리기 현상 발생
- 공동현상(Cavitation) 발생
- 작동유의 열화 촉진
- 압축성이 증대되어 유압기기 작동의 불규칙
- 윤활작용이 저하

-> 산화촉진은 못막음
[해설작성자 : 테오]

72. 다음 중 비용적형 펌프에 해당되는 것은?
     1. 원심 펌프
     2. 기어 펌프
     3. 나사 펌프
     4. 베인 펌프

     정답 : []
     정답률 : 60%

73. 탄소강에서 인(P)의 영향으로 맞는 것은?
     1. 냉간가공시 균열이 생기기 쉽다.
     2. 연신율, 충격치를 증가시킨다.
     3. 적열취성을 일으킨다.
     4. 강도, 경도를 감소시킨다.

     정답 : []
     정답률 : 42%

74. 베인모터의 장점 설명으로 틀린 것은?
     1. 베어링 하중이 작다.
     2. 정, 역회전이 가능하다.
     3. 토크 변동이 비교적 작다.
     4. 기동시나 저속 운전시의 효율이 높다.

     정답 : []
     정답률 : 49%

75. 흑연이 미세하고 균일하게 분포되어 있으며, 내마멸성이 요구되는 공작기계의 안내면과 강도를 요하는 기관의 실린더등에 쓰이는 고급 주철은?
     1. 칠드주철
     2. 고합금주철
     3. 미해나이트 주철
     4. 구상흑연주철

     정답 : []
     정답률 : 36%

76. 산화알루미나(Al2O3)를 주성분으로 하며 철과 친화력이 없고, 열을 흡수하지 않으므로 공구를 과열시키지 않아 고속 정밀가공에 적합한 공구의 재질은?
     1. 세라믹
     2. 인코넬
     3. WC계 초경합금
     4. TiC계 초경합금

     정답 : []
     정답률 : 72%

77. 특수강은 대개 탄소강에 비하여 가공하기 힘든 결점이 있다. 그 원인이 아닌 것은?
     1. 특수원소가 만드는 탄화물 때문에 고온에서도 단단하다.
     2. 복잡한 조직으로 인해 전위의 이동이 용이하지 않다.
     3. 열전도율이 높으므로 가열시 온도가 균일하게 된다.
     4. 표면 산화막이 잘 떨어지지 않는다.

     정답 : []
     정답률 : 69%

78. 가단주철이란 어떠한 것인가?
     1. Ce, Mg의 접종에 의해 흑연을 구상화 시킨 것
     2. 기지 조직을 펄라이트로 하고 용해에 의해 흑연을 미세화 한 것
     3. Fe-Si, Ca-Si의 접종에 의해 흑연을 균일 미세화시킨 것
     4. 고탄소 주철로써 열처리에 의해 강인화하여 단조가능한 것

     정답 : []
     정답률 : 36%

79. 다음 중 방향제어밸브에 속하는 것은?
     1. 릴리프 밸브(Relief valve)
     2. 시퀀스 밸브(Sequence valve)
     3. 체크 밸브(Check valve)
     4. 교축 밸브(Restricting valve)

     정답 : []
     정답률 : 56%

80. 유압시스템에서 작동유의 과열 원인이 아닌 것은?
     1. 작동유의 점성이 낮은 경우
     2. 작동유의 점성이 높은 경우
     3. 작동 압력이 높은 경우
     4. 유량이 많은 경우

     정답 : []
     정답률 : 37%

81. 힘을 받지 않은 상태의 길이가 1.2 m 인 스프링이 1.2m에서 1.6 m 로 늘리는데 스프링에 가해준 일의 양은? (단, 스프링 상수는 400 N/m 이다. )
     1. 32 J
     2. 126 J
     3. 288 J
     4. 512 J

     정답 : []
     정답률 : 36%

82. 연삭숫돌의 3요소에 해당되지 않는 것은?
     1. 연삭입자
     2. 결합제
     3. 기공
     4. 조직

     정답 : []
     정답률 : 29%

83. 판재굽힘가공에서 굽힘각(도) α , 굽힘반지름 R, 재료두께 T, T에 대한 굽힘내면에서 중립축까지의 거리와의 비(상수)를 k라면 굽힘량(중립축 위의 원호길이) A를 구하는 식으로 옳은 것은?
     1. A = (2π∙α /180) (R+kT)
     2. A = (2π∙α /360) (R+kT)
     3. A = (360/2π∙α ) (R+kT)
     4. A = (180/2π∙α ) (R+kT)

     정답 : []
     정답률 : 20%

84. 산소 아세틸렌가스 용접에서 프랑스식 팁 100번의 1시간당 아세틸렌 소비량은 몇 리터 인가?
     1. 50
     2. 100
     3. 150
     4. 200

     정답 : []
     정답률 : 63%

85. 직립식 밀링머신(vertical milling machine)에는 어떤 공구가 사용되는가?
     1. 플레인 커터 (plain cutter)
     2. 메탈 소 (metal saw)
     3. 총형 커터 (formed cutter)
     4. 엔드 밀 (end mill)

     정답 : []
     정답률 : 53%

86. 높은 용융점의 금속에 가장 부적당한 주조방법은?
     1. 인베스트먼트 주조법
     2. 사형 주조법
     3. 다이캐스팅법
     4. 원심 주조법

     정답 : []
     정답률 : 23%

87. 영구주형(비소비성주형)과 비영구주형(소비성주형)을 다같이 사용하는 주조법은?
     1. 원심주조법
     2. 셸모울딩법
     3. 인베스트먼트법
     4. 다이캐스팅법

     정답 : []
     정답률 : 15%

88. 72 km/h의 속력으로 경사면을 올라가던 자동차가 위치 1에서 브레이크를 밟아 제동하였으며 이때 바퀴 4개는 모두 회전하지 않고 미끄러진다. 정지거리 x는 몇 m 인가? (단, 타이어와 노면의 동마찰계수는 0.6 이다.)

    

     1. 20
     2. 23
     3. 25
     4. 27

     정답 : []
     정답률 : 25%

89. 감쇠 비율이 0.0681인 감쇠자유진동의 서로 이웃하고 있는 2개 사이클의 진폭비는?
     1. 0.429
     2. 1.54
     3. 4.29
     4. 15.4

     정답 : []
     정답률 : 21%

90. 그림과 같이 질량 M인 기계시스템 안에 질량 m인 부품이 각속도 ω로 회전하고 있다. 이 시스템의 진동응답에 대한 설명 중 맞는 것은?

    

     1. 회전 각속도 ω가 보다 크면 기계의 진동진폭이 커진다.
     2. 회전 각속도 ω가 와 같아지면 기계의 진동진폭이 커진다.
     3. 회전 각속도 ω가 보다 작아지면 기계의 진동 진폭이 커진다.
     4. 회전 각속도는 기계의 진동 진폭과 상관이 없다.

     정답 : []
     정답률 : 14%

91. U형 시험관(U-tube)내에 들어있는 유체의 운동은 조화 운동으로 나타낼수 있다. 시험관내에 유체가 차지하는 길이를 L이라 하면 운동의 주기는?
     1.
     2.
     3.
     4.

     정답 : []
     정답률 : 30%

92. 공이 수직 상방향으로 9.81 m/s의 속도로 던져졌을 때 최대 도달 높이는 몇 m 인가?
     1. 4.91
     2. 9.81
     3. 14.72
     4. 19.62

     정답 : []
     정답률 : 43%

93. 5sinωt N의 가진력이 변위 에 작용할 때 1사이클당 일은 몇 N-mm 인가?
     1. 11.8
     2. 23.6
     3. 35.4
     4. 47.2

     정답 : []
     정답률 : 11%

94. 압출가공(extrusion)에 관한 설명으로 틀린 것은?
     1. 압출가공과정의 근본적인 방식으로는 직접(전방)압출 과 간접(후방)압출이 있다.
     2. 직접압출보다 간접압출에서 마찰력이 적다.
     3. 직접압출보다 간접압출에서 소요동력이 적게 든다.
     4. 직접압출보다 간접압출에서 압출종료시 콘테이너에 남는 소재량이 많게 된다.

     정답 : []
     정답률 : 47%

95. 두 질점의 완전소성충돌에 대한 설명 중 틀린 것은?
     1. 반발계수가 영이다.
     2. 두 질점의 전체에너지가 보존된다.
     3. 두 질점의 전체운동량이 보존된다.
     4. 충돌 후, 두 질점의 속도는 서로 같다.

     정답 : []
     정답률 : 43%

96. 그림과 같이 삼침을 이용하여 미터나사의 유효지름(d2)를구하고자 한다. 올바른 식은? (단, P : 나사의 피치, d : 삼침의 지름, M : 삼침을 넣고 마이크로미터로 측정한 치수)

    

     1. d2=M+d+0.86603P
     2. d2=M-d+0.86603P
     3. d2=M-2d+0.86603P
     4. d2=M-3d+0.86603P

     정답 : []
     정답률 : 46%

97. 선형적인 특성을 갖는 점성감쇠기의 한 끝점 A를 고정시키고 다른 끝점 B에 여러가지 작용을 주었다. 옳은 설명은?
     1. 감쇠기에는 B점의 이동거리에 비례하는 저항력이 발생한다.
     2. 감쇠기에는 B점의 속력의 제곱에 비례하는 저항력이 발생한다.
     3. 감쇠기에는 B점의 가속도의 크기에 비례하는 저항력이 발생한다.
     4. B점에 정적인 힘을 가하면 감쇠기에는 저항력이 발생하지 않는다.

     정답 : []
     정답률 : 7%

98. 무게 W인 망치를 사용해서 못을 수직으로 박고 있다. 망치가 못을 때리는 순간의 속도는 V이다. 못이 박힌 거리를 S라 할 때 평균저항력은 얼마인가? (단, 못이 박히는 동안 망치와 못은 서로 접촉상태를 유지한다고 가정한다)
     1.
     2.
     3.
     4.

     정답 : []
     정답률 : 22%

99. 절삭제의 사용에 대한 설명 중 틀린 것은?
     1. 공구와 공작물의 온도를 냉각시키기 위해
     2. 공구와 공작물간의 마찰력을 줄이기 위해
     3. 칩의 처리를 위하여
     4. 저속절삭에서는 낮은 점도의 것을, 고속절삭에서는 높은 점도의 것을 사용하기 위하여

     정답 : []
     정답률 : 52%

100. 자동차 크랭크축, 스핀들, 펌프축, 기어 등의 표면경화법으로 가장 좋은 것은?
     1. 침탄법
     2. 질화법
     3. 전기경화법
     4. 고주파경화법

     정답 : []
     정답률 : 20%


정 답 지

1

2

3

4

5

6

7

8

9

10

11

12

13

14

15

16

17

18

19

20

21

22

23

24

25

26

27

28

29

30

31

32

33

34

35

36

37

38

39

40

41

42

43

44

45

46

47

48

49

50

51

52

53

54

55

56

57

58

59

60

61

62

63

64

65

66

67

68

69

70

71

72

73

74

75

76

77

78

79

80

81

82

83

84

85

86

87

88

89

90

91

92

93

94

95

96

97

98

99

100

일반기계기사 필기 기출문제(해설) 및 CBT 2004년09월05일을 이용해 주셔서 감사합니다.
, 필기, 기출문제, 전자문제집, CBT, 온라인, 모의테스트, 모의고사



List of Articles
번호 제목 글쓴이 날짜 조회 수
14889 일반기계기사 필기 기출문제(해설) 및 CBT 2016년10월01일(7814) new 좋은아빠되기 2025.11.25 0
14888 일반기계기사 필기 기출문제(해설) 및 CBT 2016년05월08일(7813) new 좋은아빠되기 2025.11.25 0
14887 일반기계기사 필기 기출문제(해설) 및 CBT 2016년03월06일(7812) new 좋은아빠되기 2025.11.25 0
14886 일반기계기사 필기 기출문제(해설) 및 CBT 2015년09월19일(7811) new 좋은아빠되기 2025.11.25 0
14885 일반기계기사 필기 기출문제(해설) 및 CBT 2015년05월31일(7810) new 좋은아빠되기 2025.11.25 0
14884 일반기계기사 필기 기출문제(해설) 및 CBT 2015년03월08일(7809) new 좋은아빠되기 2025.11.25 0
14883 일반기계기사 필기 기출문제(해설) 및 CBT 2014년05월25일(7808) new 좋은아빠되기 2025.11.25 0
14882 일반기계기사 필기 기출문제(해설) 및 CBT 2014년03월02일(7807) new 좋은아빠되기 2025.11.25 0
14881 일반기계기사 필기 기출문제(해설) 및 CBT 2013년06월02일(7806) new 좋은아빠되기 2025.11.25 0
14880 일반기계기사 필기 기출문제(해설) 및 CBT 2013년03월10일(7805) new 좋은아빠되기 2025.11.25 0
14879 일반기계기사 필기 기출문제(해설) 및 CBT 2012년05월20일(7804) new 좋은아빠되기 2025.11.25 0
14878 일반기계기사 필기 기출문제(해설) 및 CBT 2012년03월04일(7803) new 좋은아빠되기 2025.11.25 0
14877 일반기계기사 필기 기출문제(해설) 및 CBT 2011년10월02일(7802) new 좋은아빠되기 2025.11.25 0
14876 일반기계기사 필기 기출문제(해설) 및 CBT 2007년03월04일(7801) new 좋은아빠되기 2025.11.25 0
14875 일반기계기사 필기 기출문제(해설) 및 CBT 2005년05월29일(7800) new 좋은아빠되기 2025.11.25 0
» 일반기계기사 필기 기출문제(해설) 및 CBT 2004년09월05일(7799) new 좋은아빠되기 2025.11.25 0
14873 일반기계기사 필기 기출문제(해설) 및 CBT 2004년05월23일(7798) new 좋은아빠되기 2025.11.25 0
14872 일반기계기사 필기 기출문제(해설) 및 CBT 2004년03월07일(7797) new 좋은아빠되기 2025.11.25 0
14871 일반기계기사 필기 기출문제(해설) 및 CBT 2003년08월31일(7796) new 좋은아빠되기 2025.11.25 0
14870 일반기계기사 필기 기출문제(해설) 및 CBT 2003년05월25일(7795) new 좋은아빠되기 2025.11.25 0
Board Pagination Prev 1 ... 86 87 88 89 90 91 92 93 94 95 ... 835 Next
/ 835