자격증 필기 기출문제



초음파비파괴검사기능사 필기 기출문제(해설) 및 CBT 2003년01월26일(1회)(9294)

최강 자격증 기출문제 전자문제집 CBT : www.comcbt.com


전자문제집 CBT란?

종이 문제집이 아닌 인터넷으로 문제를 풀고 자동으로 채점하며 모의고사, 오답 노트, 해설까지 제공하는
무료 기출문제 학습 프로그램으로 실제 상설검정에서 사용하는 OMR 형식의 CBT를 제공합니다.


최신 초음파비파괴검사기능사 필기 기출문제 : [다운로드]

1과목 : 초음파탐상시험법


1. 자분탐상시험시 건식법을 사용한 프로드법에서 사용되는 암페어(ampere)의 양은 다음 중 무엇에 의해 결정되는가?
     1. 검사체의 두께
     2. 프로드사이의 거리
     3. 검사체의 지름
     4. 검사체의 총 길이

     정답 : []
     정답률 : 64%

2. 다음의 비파괴검사 방법중 표면결함 측정에 가장 유리한 방법은?
     1. 중성자투과시험법
     2. 방사선투과시험법
     3. 초음파탐상시험법
     4. 침투탐상시험법

     정답 : []
     정답률 : 97%

3. 서로 다른 두 매질의 경계에서 반사되는 초음파 에너지 비(比)는?
     1. 탐촉자의 크기에 따라 다르다.
     2. 입사각에 따라 다르다.
     3. 두 매질의 음향 임피던스 비(比)에 따라 다르다.
     4. 두 매체와 초음파 에너지 비와는 관계없다.

     정답 : []
     정답률 : 25%

4. 깊이가 다른 두 결함을 초음파탐상검사로 검출할 때 분해능은 어느 방법으로 증가시킬 수 있는가?
     1. 주파수의 감소에 의해
     2. 펄스폭의 감소에 의해
     3. 초기펄스의 높이를 증가시켜서
     4. 직경이 적은 탐촉자를 이용하여

     정답 : []
     정답률 : 46%

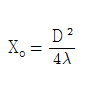
5. 어떤 재질에서 초음파의 속도가 4.0×105cm/sec이고 탐촉자의 주파수가 10MHz일 때 파장은 얼마인가?
     1. 0.08cm
     2. 0.8cm
     3. 0.04cm
     4. 0.4cm

     정답 : []
     정답률 : 75%

6. A 스캔 장비의 화면에서 저면 반사파의 강도(음압)를 나타내는 것은?
     1. 반사파의 거리
     2. 반사파의 밝기
     3. 반사파의 폭
     4. 반사파의 높이

     정답 : []
     정답률 : 71%

7. 전기적 펄스가 기계적 진동으로 변환하는 것을 무엇이라 하는가?
     1. 변환율
     2. 반사율
     3. 압전효과
     4. 역압전효과

     정답 : []
     정답률 : 82%

8. 초음파탐상시험을 위해 탐상면의 상태는 어떤 경우여야 하는가?
     1. 탐상면은 꼭 기계가공해야만 한다.
     2. 탐상면은 적용규격에서 정한 상태이면 된다.
     3. 탐상면은 매끈하지 않아야 된다.
     4. 탐상면은 거칠기와는 상관없다.

     정답 : []
     정답률 : 82%

9. 수침법에 가장 널리 사용되는 접촉매질은?
     1.
     2. 기름
     3. 알콜
     4. 글리세린

     정답 : []
     정답률 : 88%

10. 초음파탐상시험시 서로 분리된 탐촉자(하나는 송신기, 다른 하나는 수신기)를 사용할 때 다음 중 가장 좋은 재질의 조합은?
     1. 석영 송신기와 티탄산바륨 수신기
     2. 티탄산바륨 송신기와 황산리튬 수신기
     3. 황산리튬 송신기와 티탄산바륨 수신기
     4. 티탄산바륨 송신기와 석영 수신기

     정답 : []
     정답률 : 69%

11. 용접맞대기 이음부 탐상에 있어서 판두께가 50mm일 경우 탐상에 사용되는 굴절각의 크기로 제일 적당한 것은?
     1. 10°
     2. 20°
     3. 40°
     4. 60°

     정답 : []
     정답률 : 70%

12. 초음파 탐상기에서 모든 회로의 작동을 조절하는 중요 회로를 무엇이라 하는가?
     1. 표시회로
     2. 수신회로
     3. 마커회로
     4. 동기작동회로

     정답 : []
     정답률 : 60%

13. 두께가 20mm인 강판에서 탐촉자 입사점으로 부터 2스킵점까지의 거리(mm)는? (단, 탐촉자 굴절각은 45° )
     1. 80mm
     2. 60mm
     3. 40mm
     4. 20mm

     정답 : []
     정답률 : 52%

14. 초음파탐상시험시 부식도 측정에 알맞는 시험법은?
     1. 투과법
     2. 판파법
     3. 공진법
     4. 펄스 에코법

     정답 : []
     정답률 : 25%

15. 초음파탐상시험시 스크린 상에 많은 수의 작은 지시들(임상 에코)은 다음 중 무엇 때문에 주로 생기는가?
     1. 균열(crack)
     2. 수축관(shrinkage cavity)
     3. 기공(porosity)
     4. 비금속 개재물(inclusion)

     정답 : []
     정답률 : 58%

16. 초음파탐상시험시 결함을 탐지하기 위해 탐상면을 따라 수동 혹은 자동으로 탐촉자(transducer)를 이동시키는 것을 무엇이라 하는가?
     1. 주사(scanning)
     2. 감쇠(attenuating)
     3. 사각(angulating)
     4. 공진(resonating)

     정답 : []
     정답률 : 79%

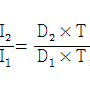
17. 220kV로 강과 동을 촬영한 방사선투과 등가인자가 각각 1.0, 1.4일 때 0.5인치 동판을 촬영하려면 강 몇 인치의 촬영 노출시간과 같아야 하는가?
     1. 0.7 인치 강
     2. 0.5 인치 강
     3. 1.4 인치 강
     4. 1.0 인치 강

     정답 : []
     정답률 : 60%

18. 다음 중 와전류탐상시험의 장점 설명으로 틀린 것은?
     1. 두꺼운 재료의 내부검사에 적합하다.
     2. 비접촉법으로 시험속도가 빠르고 자동화가 가능하다.
     3. 유지비가 저렴하고 결과의 기록보존이 가능하다.
     4. 고온, 고압의 조건에서도 탐상이 가능하다.

     정답 : []
     정답률 : 71%

19. 다음 주파수중에서 침투력이 가장 좋은 것은?
     1. 1 MHz
     2. 2.25 MHz
     3. 5 MHz
     4. 10,000 kHz

     정답 : []
     정답률 : 55%

20. 불연속에서 초음파빔이 반사될 면의 각도와 탐상표면과의 관계를 무엇이라고 하는가?
     1. 입사각
     2. 임계각
     3. 불연속의 방향
     4. 불연속의 종류

     정답 : []
     정답률 : 56%

2과목 : 초음파탐상관련규격


21. 초음파탐상시험시 접촉 매질을 사용하는 이유 중 가장 중요한 사항은?
     1. 시험재의 부식을 방지하기 위해
     2. 탐촉자의 움직임을 원활히 하기 위해
     3. 탐촉자 보호막의 마모를 방지하기 위해
     4. 탐촉자와 시험재 사이에 공기층을 없애기 위하여

     정답 : []
     정답률 : 75%

22. 초음파의 성질에 대한 설명 중 틀린 것은?
     1. 동일한 매질 내에서 속도는 일정하다.
     2. 동일한 매질에서도 시험주파수가 변하면 속도도 변한다.
     3. 경계면이나 불연속면에서 반사한다.
     4. 진행거리가 비교적 길다.

     정답 : []
     정답률 : 53%

23. 초음파가 두 매질의 경계면에 입사할 때 발생되는 음파의 거동으로 적당하지 않은 것은?
     1. 반사
     2. 굴절
     3. 공진
     4. 파형변환

     정답 : []
     정답률 : 46%

24. 초음파탐상시험의 수직탐상에 대해 기술한 것이다. 올바른 것은?
     1. 수직탐상의 목적은 결함의 발생원인을 조사하는 것이며 결함의 크기나 치수를 조사할 필요는 없다.
     2. 결함이 없으면 CRT 상에는 저면에코 만이 나타난다.
     3. 저면에 의한 다중반사 도형으로부터 시험체의 밀도를 알 수 있다.
     4. 표면결함에 의한 다중반사 도형으로부터 시험체 중의 초음파감쇠의 정도를 알 수 있다.

     정답 : []
     정답률 : 91%

25. 초음파탐상시험에 대해 기술한 것으로 올바른 것은?
     1. 부식량 계측에는 반사형 두께계는 적합하지 않다.
     2. 평면 결함의 면에 수직하게 초음파가 입사한 경우는 검출이 곤란하다.
     3. 두꺼운 강판의 탐상에는 수직탐상보다 경사각탐상이 유용하게 적용되고 있다.
     4. 기공과 같은 미세한 구형의 결함은 초음파탐상검사로 검출하기가 비교적 어렵다.

     정답 : []
     정답률 : 60%

26. KS B 0550의 용어의 뜻 설명으로 잘못된 것은?
     1. 200kHz 이상의 음파를 초음파라 한다.
     2. 초음파 펄스를 발생키 위해 탐촉자의 진동자에 인가하는 전기 펄스를 송신 펄스라 한다.
     3. 극히 짧은 시간만 지속하는 신호를 펄스라 한다.
     4. 초음파 펄스가 반사되어 수신된 것을 에코라 한다.

     정답 : []
     정답률 : 59%

27. KS B 0831에 의한 초음파탐상용 표준시험편 STB-G시리즈 시험편에는 직경 2㎜ 평저공의 시험편이 몇 개 있는가?
     1. 1개
     2. 3개
     3. 4개
     4. 5개

     정답 : []
     정답률 : 30%

28. KS B 0831에서 탐상거리 500㎜의 강단조품을 탐상하려면 반드시 준비해야 할 표준시험편은?
     1. STB-A1
     2. STB-A2
     3. STB-N1
     4. STB-G

     정답 : []
     정답률 : 56%

29. KS B 0817에서 탐상도형의 표시기호를 나타낸 것중 틀린 것은?
     1. T : 수신 펄스
     2. F : 흠집 에코
     3. B : 바닥면 에코
     4. S : 표면 에코

     정답 : []
     정답률 : 73%

30. KS B 0817의 펄스반사법에 따른 초음파탐상 시험방법의 적용범위로 맞는 것은?
     1. 비금속재료의 내부에 존재하는 불건전부를 검출하는 방법이다.
     2. 금속재료의 표면에만 존재하는 불건전부를 검출하는 방법이다.
     3. 금속재료의 불건전부를 검출하여 평가하는 방법이다.
     4. 비금속재료의 내부 및 표면밑에 존재하는 불건전부를 검출하는 방법이다.

     정답 : []
     정답률 : 49%

31. KS B 0831에 의한 STB-NI 형 감도표준시험편 검정조건인 탐촉자의 주파수는?
     1. 1 MHz
     2. 5 MHz
     3. 25 MHz
     4. 2.25 MHz

     정답 : []
     정답률 : 72%

32. KS D 0233에 따라 압력용기용 강판을 초음파탐상시험할 때 탐상 적용 가능한 최소 두께는?
     1. 2mm
     2. 6mm
     3. 10mm
     4. 13mm

     정답 : []
     정답률 : 83%

33. KS B 0896에 따른 흠의 지시길이에 대한 정의로 알맞은 것은?
     1. 탐촉자의 이동거리에 의해 추정한 흠의 겉보기 길이
     2. 탐촉자의 이동거리에 의해 추정한 흠의 실제 길이
     3. 1 스킾된 이동거리를 추정한 흠의 겉보기 길이
     4. 2 스킾된 이동거리를 추정한 흠의 실제 길이

     정답 : []
     정답률 : 70%

34. KS B 0896의 강용접부 초음파탐상 시험방법에서 탐상을 한 후의 기록사항에 해당되지 않는 것은?
     1. 탐상 부분의 상태 및 점검 일시
     2. 사용한 탐촉자, 성능 및 점검 일시
     3. 시험 기술자의 서명 및 자격
     4. 기후 조건 및 용접 모양

     정답 : []
     정답률 : 71%

35. 초음파탐상용 G형 감도 표준시험편(STB-G)의 종류 기호가 STB-G V15-5.6일 때 다음 설명중 틀린 것은?
     1. 시험편의 길이는 150mm 이다.
     2. 시험편의 길이는 180mm 이다.
     3. 구멍의 직경은 5.6mm 이다.
     4. 시험편의 폭은 50mm 이다.

     정답 : []
     정답률 : 55%

36. KS B 0831에 의한 G형 표준시험편(STB-G) 중의 V15 시리즈는 표준 구멍의 반경이 몇 배씩 변하는가?
     1. 2배
     2. 1.4배
     3. 0.71배
     4. 4배

     정답 : []
     정답률 : 61%

37. 면적·증폭용 대비시험편에서 나오는 반사지시를 이용하여 탐상기기를 교정할 경우 이것은 무엇을 결정하기 위한 것인가?
     1. 수직증폭의 범위
     2. 펄스의 범위
     3. 분해능의 범위
     4. 수평축 거리의 범위

     정답 : []
     정답률 : 32%

38. 인공 대비 반사원으로서 주로 노치를 사용하는 경우는?
     1. 횡파의 거리 진폭 교정을 하기 위해서
     2. 면적-증폭 교정을 하기 위해서
     3. 판재의 두께를 교정하기 위해서
     4. 표면 근처의 분해능을 결정하기 위해서

     정답 : []
     정답률 : 35%

39. KS B 0896에 따른 곡률반지름이 250mm이상인 길이 이음의 용접부를 초음파탐상시험할 경우의 설명이다. 이중 틀린 것은?
     1. 입사점 측정은 STB-A1 시험편을 이용한다.
     2. 에코높이 구분선 작성은 STB-A2 시험편을 이용한다.
     3. 측정범위 조정은 STB-A3 시험편을 이용한다.
     4. 탐상감도의 조정은 RB-4 시험편을 이용한다.

     정답 : []
     정답률 : 59%

40. KS B 0897에 의한 알루미늄 용접부의 초음파탐상시험에서 RB-A4AL 시험편의 25mm 두께의 1/2지점에 위치하고 있는 표준구멍 중심까지의 시험편 표면위에서의 거리(탐촉자-표준구멍위까지의 거리)가 21.6mm 였다면, 이 탐촉자의 굴절각은 얼마인가? (단, tan-1(12.5/21.6)=30° , tan-1(21.6/25)=40.8° , tan-1(25/21.6)=49.2° , tan-1(21.6/12.5)= 59.9° )
     1. 30°
     2. 40.8°
     3. 49.2°
     4. 59.9°

     정답 : []
     정답률 : 31%

41. 일반적으로 합금하면 순금속 보다 증가하는 성질은?
     1. 용융점
     2. 열전도도
     3. 강도와 경도
     4. 가단성

     정답 : []
     정답률 : 69%

42. 용융점과 비중이 약 419℃, 7.1 로써 철강재료의 피복용으로 사용되는 것은?
     1. 아연
     2. 구리
     3.
     4.

     정답 : []
     정답률 : 59%

43. 금속의 동소변태에 대한 설명으로 옳지 못한 것은?
     1. 고체에 있어서의 결정격자의 변화
     2. 원자배열의 변화
     3. 순철에서는 약 910℃ 및 1400℃에서 발생
     4. 변태가 일정한 온도범위에서 점진적이고 연속적으로 변화하여 퀴리점 생성

     정답 : []
     정답률 : 40%

44. 자성체의 자화강도가 급격히 감소되는 온도는?
     1. 퀴리점
     2. 변태점
     3. 항복점
     4. 동소점

     정답 : []
     정답률 : 70%

45. Fe-C 상태도에서 공정점의 탄소 함유량(%)은?
     1. 0.12
     2. 0.45
     3. 1.4
     4. 4.3

     정답 : []
     정답률 : 79%

46. 그림에서 후크의 법칙(Hook's Law)이 적용되는 한계(탄성한도)는?

    

     1. M 이내
     2. Y1 이내
     3. E 이내
     4. P 이내

     정답 : []
     정답률 : 40%

47. 크랭크축, 로드 등에 사용되는 기계구조용 탄소강재는?
     1. STC5
     2. SM45C
     3. STS3
     4. SKH2

     정답 : []
     정답률 : 49%

48. 고급주철이 구비하여야 할 특징 중 옳은 것은?
     1. 충격에 대한 저항이 클 것
     2. 조직이 조대 할것
     3. 항절력이 작을 것
     4. 내열, 압축력이 작을 것

     정답 : []
     정답률 : 70%

49. 보통강보다 절삭가공이 용이하고 깨끗한 가공표면을 얻을 수 있으며 볼트, 너트, 핀 등의 제조에 공급되는 탄소강의 탄소 함유량(%)으로 가장 적합한 것은?
     1. 0.001 이하
     2. 0.15 ∼ 0.25
     3. 1.0 ∼ 1.5
     4. 1.6 이상

     정답 : []
     정답률 : 60%

50. 산· 알칼리 등에 우수한 내식성을 가지고 있으며 전열기 부품, 열전쌍보호관, 진공관 필라멘트 등에 사용되는 니켈-크롬 합금은?
     1. 실루민
     2. 화이트메탈
     3. 인청동
     4. 인코넬

     정답 : []
     정답률 : 55%

51. 라우탈(lautal)의 주 성분으로 맞는 것은?
     1. Fe - Zn
     2. Al - Cu
     3. Mn - Mg
     4. Pb - Sb

     정답 : []
     정답률 : 78%

52. 불활성가스 원소가 아닌 것은?
     1. He
     2. Ar
     3. Cr
     4. Ne

     정답 : []
     정답률 : 71%

53. 다음 중 압접의 종류에 속하지 않는 것은?
     1. 저항 용접
     2. 초음파 용접
     3. 마찰 용접
     4. 스터드 용접

     정답 : []
     정답률 : 59%

54. 아크용접의 비드 끝에서 아크를 끊을 경우 오목 파진 곳을 무엇이라 하는가?
     1. 언더컷
     2. 크레이터
     3. 용입불량
     4. 융합불량

     정답 : []
     정답률 : 40%

55. 두께 6mm 강판을 AW 300인 교류 아크용접기로 지름 3.2mm 용접봉을 사용하여 용접전류 100[A]로 맞대기 용접하였을 때, 허용 사용률은 몇 % 인가? (단, AW 300인 교류 아크용접기의 정격사용률은 40% 이다.)
     1. 90%
     2. 180%
     3. 270%
     4. 360%

     정답 : []
     정답률 : 33%

56. 다음 중 월드와이드웹에서 사용하는 통신규약은?
     1. FTP
     2. HTTP
     3. NNTP
     4. SMTP

     정답 : []
     정답률 : 50%

57. 아래 설명과 가장 거리가 먼 언어는?

    

     1. C
     2. Basic
     3. COBOL
     4. Assembly

     정답 : []
     정답률 : 21%

58. 파일의 복사나 정렬 및 두 개의 파일을 하나로 만드는 일을 수행하는 것은?
     1. 자원 관리
     2. 메모리 관리
     3. 가상메모리 관리
     4. 서비스 프로그램

     정답 : []
     정답률 : 9%

59. 인터넷에 연결된 전세계의 모든 컴퓨터를 마치 자신의 컴퓨터에 바로 연결된 터미널을 쓰는 것처럼 쓸 수 있게 해주는 것은?
     1. 전자터미널
     2. Remote Login
     3. Remote FTP
     4. E-Login

     정답 : []
     정답률 : 10%

60. 다음 용어 중 구조적인 면에서 상위 개념의 용어와 하위 개념의 용어를 의미론적으로 설명한 어휘집을 뜻하는 용어는?
     1. SIC
     2. Acronym Finder
     3. THESAURUS
     4. YELLOW PAGE

     정답 : []
     정답률 : 38%


정 답 지

1

2

3

4

5

6

7

8

9

10

11

12

13

14

15

16

17

18

19

20

21

22

23

24

25

26

27

28

29

30

31

32

33

34

35

36

37

38

39

40

41

42

43

44

45

46

47

48

49

50

51

52

53

54

55

56

57

58

59

60

초음파비파괴검사기능사 필기 기출문제(해설) 및 CBT 2003년01월26일(1회)을 이용해 주셔서 감사합니다.
, 필기, 기출문제, 전자문제집, CBT, 온라인, 모의테스트, 모의고사



List of Articles
번호 제목 글쓴이 날짜 조회 수
16184 초음파비파괴검사기능사 필기 기출문제(해설) 및 CBT 2008년03월30일(2회)(9299) new 좋은아빠되기 2025.11.26 0
16183 초음파비파괴검사기능사 필기 기출문제(해설) 및 CBT 2005년01월30일(1회)(9298) new 좋은아빠되기 2025.11.26 0
16182 초음파비파괴검사기능사 필기 기출문제(해설) 및 CBT 2004년10월10일(5회)(9297) new 좋은아빠되기 2025.11.26 0
16181 초음파비파괴검사기능사 필기 기출문제(해설) 및 CBT 2004년02월01일(1회)(9296) new 좋은아빠되기 2025.11.26 0
16180 초음파비파괴검사기능사 필기 기출문제(해설) 및 CBT 2003년10월05일(5회)(9295) new 좋은아빠되기 2025.11.26 0
» 초음파비파괴검사기능사 필기 기출문제(해설) 및 CBT 2003년01월26일(1회)(9294) new 좋은아빠되기 2025.11.26 0
16178 초음파비파괴검사기능사 필기 기출문제(해설) 및 CBT 2002년10월06일(5회)(9293) new 좋은아빠되기 2025.11.26 0
16177 초음파비파괴검사기능사 필기 기출문제(해설) 및 CBT 2002년01월27일(1회)(9292) new 좋은아빠되기 2025.11.26 0
16176 보석감정사(기능사) 필기 기출문제(해설) 및 CBT 2008년07월13일(4회)(9291) new 좋은아빠되기 2025.11.26 0
16175 보석감정사(기능사) 필기 기출문제(해설) 및 CBT 2008년02월03일(1회)(9290) new 좋은아빠되기 2025.11.26 0
16174 보석감정사(기능사) 필기 기출문제(해설) 및 CBT 2007년07월15일(4회)(9289) new 좋은아빠되기 2025.11.26 0
16173 보석감정사(기능사) 필기 기출문제(해설) 및 CBT 2007년01월28일(1회)(9288) new 좋은아빠되기 2025.11.26 0
16172 보석감정사(기능사) 필기 기출문제(해설) 및 CBT 2006년07월16일(4회)(9287) new 좋은아빠되기 2025.11.26 0
16171 보석감정사(기능사) 필기 기출문제(해설) 및 CBT 2006년01월22일(1회)(9286) new 좋은아빠되기 2025.11.26 0
16170 보석감정사(기능사) 필기 기출문제(해설) 및 CBT 2005년07월17일(4회)(9285) new 좋은아빠되기 2025.11.26 0
16169 보석감정사(기능사) 필기 기출문제(해설) 및 CBT 2005년01월30일(1회)(9284) new 좋은아빠되기 2025.11.26 0
16168 보석감정사(기능사) 필기 기출문제(해설) 및 CBT 2004년07월18일(4회)(9283) new 좋은아빠되기 2025.11.26 0
16167 보석감정사(기능사) 필기 기출문제(해설) 및 CBT 2004년02월01일(1회)(9282) new 좋은아빠되기 2025.11.26 0
16166 보석감정사(기능사) 필기 기출문제(해설) 및 CBT 2003년07월20일(4회)(9281) new 좋은아빠되기 2025.11.26 0
16165 보석감정사(기능사) 필기 기출문제(해설) 및 CBT 2003년01월26일(1회)(9280) new 좋은아빠되기 2025.11.26 0
Board Pagination Prev 1 ... 86 87 88 89 90 91 92 93 94 95 ... 900 Next
/ 900