자격증 필기 기출문제



응용지질기사 필기 기출문제(해설) 및 CBT 2010년07월25일(10095)

최강 자격증 기출문제 전자문제집 CBT : www.comcbt.com


전자문제집 CBT란?

종이 문제집이 아닌 인터넷으로 문제를 풀고 자동으로 채점하며 모의고사, 오답 노트, 해설까지 제공하는
무료 기출문제 학습 프로그램으로 실제 상설검정에서 사용하는 OMR 형식의 CBT를 제공합니다.


최신 응용지질기사 필기 기출문제 : [다운로드]

1과목 : 암석학 및 광물학


1. 다음 중 안산암에 대한 설명으로 옳지 않은 것은?
     1. 화학성분으로 보아 SiO2의 함량이 52~63%인 중성암에 해당된다.
     2. 주 구성광물은 정장석, 석영, 각섬석, 휘석 등이다
     3. 담회색, 회색 갈색등의 색깔을 띤다.
     4. 반상조직을 갖는 화산암이다.

     정답 : []
     정답률 : 56%

2. 변성암에서 엽리구조가 발달하는 주 원인은 무엇인가?
     1. 암석에 미치는 온도
     2. 암석에 미치는 횡압력
     3. 암석에 미치는 인장력
     4. 암석에 미치는 화학성분

     정답 : []
     정답률 : 81%

3. 변성정도가 아주 높은 변성암에서 일반적으로 관찰되지않는 광물은?
     1. 녹니석
     2. 석류석
     3. 규선석
     4. 석영

     정답 : []
     정답률 : 58%

4. 셰일(shale)이 이암(mudstone)과 다른 점은?
     1. 셰일은 이암보다 장석의 함량이 많다.
     2. 셰일은 이암보다 입자의 크기가 크다.
     3. 셰일은 이암보다 탄질물을 많이 포함한다.
     4. 셰일은 이암보다 잘 쪼개지는 성질이 있다.

     정답 : []
     정답률 : 81%

5. 퇴적암에서 관찰되는 구조 중 퇴적 당시 유수의 방향을 지시하는 것은?
     1. 정이층리
     2. 사층리
     3. 건열
     4. 퇴적소극

     정답 : []
     정답률 : 66%
     <문제 해설>
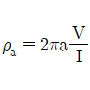
사층리는 지층의 층리가 주된 층리면과 비스듬하게 만나는 상태이다. 주로 연흔이나 모래 물결 등과 같은 퇴적층 형태나 사주의 이동에 의해서 형성된다.
[해설작성자 : 토익치매노인]

6. 다음 중 편암에 대한 설명으로 옳지 않은 것은?
     1. 엽상 구조는 편마암보다 더 뚜렷하다.
     2. 육안으로는 결정이 구분되지 않는다.
     3. 편리에 따라 비교적 잘 쪼개진다.
     4. 쪼개진 면이 평탄치 못하고 파상을 이루기도 한다.

     정답 : []
     정답률 : 69%

7. 다음 중 가장 높은 온도에서 생성되는 변성상은?
     1. 그래뉼라이트상
     2. 에클로자이트상
     3. 각섬석상
     4. 녹색편암상

     정답 : []
     정답률 : 61%

8. 다음 중 현무암질 마그마와 안산암질 마그마를 비교설명한 것으로 옳지 않은 것은?
     1. 현무암질 마그마는 안산암질 마그마보다 SiO2 함량이 적다.
     2. 현무암질 마그마는 안산암질 마그마보다 점성이 작다.
     3. 현무암질 마그마는 안산암질 마그마보다 유동성이 크다.
     4. 화산분출시 마그마의 20% 정도가 현무암질 마그마이며, 안산암질 마그마는 40% 내외이다,

     정답 : []
     정답률 : 80%

9. 스트렉카이젠(Streckeisen)에 의해 제안되어 국제지질과학연합(IUGS)에서 수용된 화성암 분류의 기준이 되는 성분을 바르게 나타낸 것은?
     1. 석영, 장석, 운모
     2. 석영, 장석, 휘석
     3. 석영, 알칼리장석, 사장석
     4. 석영, Ca 사장석, Na 사장석

     정답 : []
     정답률 : 58%

10. 마그마가 분화작용을 받아 여러 가지 암석이 만들어질 때 설명으로 옳은 것은?
     1. 산성암일수록 높은 온도에서 만들어지며 K2O, SiO2, Na2O 성분이 많다.
     2. 산성암일수록 석영, 감람석, 휘석, 정장석 성분이 많다.
     3. 염기성일수록 흑운모, 각섬석, 석영, 사장석 성분이 많다.
     4. 염기성일수록 높은 온도에서 만들어지며 CaO, MgO, FeO+Fe2O3 성분이 많다.

     정답 : []
     정답률 : 72%

11. 황철석, 방연석 등의 표면에서 빛이 반사되어 나타나는 광택은?
     1. 금속광택
     2. 금강광택
     3. 유리광택
     4. 지방광택

     정답 : []
     정답률 : 64%

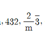
12. 표축비(a:b:c)가 2:4:∞인 결정면의 밀러지수는?
     1. (2 4 1)
     2. (1 2 0)
     3. (2 1 0)
     4. (2 4 0)

     정답 : []
     정답률 : 62%

13. 다음 중 먼저 존재하던 결정면 상에 다른 광물이 일정한 방위 관계를 유지하면서 성장하는 현상을 무엇이라 하는가?
     1. 교대작용
     2. 인터그로스
     3. 에피탁시
     4. 텍스춰

     정답 : []
     정답률 : 46%

14. 다음과 같은 성질을 갖는 광물은 어느 것인가?

    

     1. 황동석
     2. 황철석
     3. 휘동석
     4. 반동석

     정답 : []
     정답률 : 37%

15. 다음 중 결손 고용체에 해당하는 광물은?
     1. 섬아연석
     2. 자황철석
     3. 감람석
     4. 황동석

     정답 : []
     정답률 : 46%

16. 육면체상의 벽개를 보이는 대표적인 광물은?
     1. 금홍석
     2. 방해석
     3. 방연석
     4. 형석

     정답 : []
     정답률 : 54%

17. 결정면의 성장에 대한 이론 중 나선상 성장이론에 대한 설명으로 맞는 것은?
     1. 이온결정에만 적용된다.
     2. 용액의 과포화도가 낮은 상태에서만 결정이 성장된다.
     3. 성장속도가 느린 환경에서 잘 적용된다.
     4. 변위를 수반하지 않는 결정성장이다.

     정답 : []
     정답률 : 62%

18. 다음 중 평행연정(parallel growth)을 관찰할 수 있는 광물은?
     1. 첨정석
     2. 돌로마이트
     3. 황철석
     4. 석고

     정답 : []
     정답률 : 56%

19. 서로 같은 유형의 결정구조를 가진 광물들에 있어서 경도에 대한 일반적인 설명으로 옳지 않은 것은?
     1. 이온 간의 거리가 짧을수록 경도는 크다.
     2. 이온의 원자가가 커질수록 경도는 크다.
     3. 구성 원자나 이온들의 크기가 클수록 경도는 크다.
     4. 구성 원자들의 비중이 클수록 경도는 크다.

     정답 : []
     정답률 : 62%

20. 다음 중 두 가지 이상의 원소로 구성된 이온은?
     1. 양이온
     2. 착이온
     3. 복수이온
     4. 합이온

     정답 : []
     정답률 : 81%

2과목 : 구조지질학


21. 다음 중 신생대 고제3기에 해당하지 않는 것은?
     1. 올리고세
     2. 에오세
     3. 마이오세
     4. 팔레오세

     정답 : []
     정답률 : 47%

22. 다음 중 지표나 지표 근처의 천부에서 주로 생성되는 절리는?
     1. 전단절리(shear joint)
     2. 층상절리(sheeting joint)
     3. 공액절리(conjugate joint)
     4. 직교절리(orthogonal joint)

     정답 : []
     정답률 : 63%

23. 다음 그림을 설명하는 용어로 맞는 것은? (단, TR. J. K는 각각 지질시대를 나타내는 약자며, 순서대로 Triassic, Jurassic, Cretaceous를 의미한다.)

    

     1. 배사(anticline)
     2. 향사형 배사(synformal anticline)
     3. 향사(syncline)
     4. 배사형 향사(antiformal syncline)

     정답 : []
     정답률 : 62%

24. 3개의 우수향 주향이동 단층이 발달하는 지역에서 압축운동이 가장 활발히 일어나는 지역과 인장운동이 가장 활발히 일어나는 지역을 바르게 짝지은 것은?

    

     1. 압축운동 - F, 인장운동 - D
     2. 압축운동 - G, 인장운동 - A
     3. 압축운동 - B, 인장운동 - H
     4. 압축운동 - C, 인장운동 - D

     정답 : []
     정답률 : 75%

25. 밀도가 2500kg/m3, 인장강도 3MPa인 지층에서 정수유체 -압력비(λ)가 0.4라면 절리 형성의 최대깊이는 얼마인가? (단, 중력가속도는 9.8m/s2이다.)
     1. 약 0.1km
     2. 약 0.5km
     3. 약 1km
     4. 약 5km

     정답 : []
     정답률 : 50%

26. 다음 중 평행 수계에 대한 설명으로 옳지 않은 것은?
     1. 암석의 성분이 같고, 균일한 경사를 가진 곳에서 많이 발달한다.
     2. 주류는 일반적으로 단층이나 주요 단열구조를 나타낸다.
     3. 주류와 지류는 거의 같은 각을 이루면서 만난다.
     4. 주로 고립되어 있는 산 또는 돔 지형에서 나타난다.

     정답 : []
     정답률 : 70%

27. 풍화작용에 영향을 미치는 요인이 아닌 것은?
     1. 암석의 종류와 지질구조
     2. 시간
     3. 기후
     4. 암석의 연령

     정답 : []
     정답률 : 72%

28. 해양저 확장설(saa-floor spreading)의 가장 중요한 증거가 된 것은 해양지각의 자기이상대 무늬의 발견과 해석에서 비롯되었다고 한다. 해양저 확장의 가장 직접적인 증가가 된 것은 이러한 자기이상대의 어떠한 특성 때문인가?
     1. 특이한 무늬모양
     2. 정-부의 반복적인 자기이상
     3. 해양지각 암석의 자화
     4. 자기이상대의 대칭성

     정답 : []
     정답률 : 72%

29. 다음 중 우곡이 무수히 패여서 형성된 거친 지형을 무엇이라 하는가?
     1. 토주(earth pillar)
     2. 약자(bad land)
     3. 애추(talus)
     4. 와지(blowout)

     정답 : []
     정답률 : 73%

30. 다음 중 중생대 백악기 퇴적 분지가 아닌 것은?
     1. 경상 분지
     2. 공주 분지
     3. 음성 분지
     4. 평남 분지

     정답 : []
     정답률 : 46%

31. 다음 중 연성변형의 산물로만 짝지은 것은?

    

     1. a.e.f
     2. a.b.e
     3. a.d.f
     4. c.e.f

     정답 : []
     정답률 : 75%

32. 대규모 지진의 발생시 함께 발생할 수 있는 지표현상이 아닌 것은?
     1. 사태(Landsliding)
     2. 슬럼핑(slumping)
     3. 토석류(earth flow)
     4. 포행(creep)

     정답 : []
     정답률 : 76%

33. 다음 중 대륙충돌에 의해서 만들어진 산맥이 아닌 것은?
     1. 캐스케이드 산맥
     2. 우랄 산맥
     3. 애팔래치아 산맥
     4. 히말라야 산맥

     정답 : []
     정답률 : 45%

34. 하천의 근원지에서부터 하구까지 여행을 하게 되면 하도를 따라 다음과 같은 변화를 관찰할 수 있다. 다음 중 옳지 않은 것은?
     1. 유량이 증가한다.
     2. 하도의 단면적이 증가한다.
     3. 유속이 감소한다.
     4. 구배가 감소한다.

     정답 : []
     정답률 : 39%

35. 연약권(asthenosphere)에 대한 설명으로 옳지 않은 것은?
     1. 연약권의 상부는 저속도층(low-velocity zone)으로 이루어져 있다.
     2. 암석권에 비해 쉽게 변형되는 물질로 구성되어 있다.
     3. 지각 및 맨틀상부로 구성되어 있다.
     4. 대개 지하 100-350km까지 분포하며 지역에 따라 지하 700km까지도 연장된다.

     정답 : []
     정답률 : 62%
     <문제 해설>
지각 및 맨틀 상부 → 암석권
연약권 : 암석권 바로 아래의 맨틀 상부 (맨틀대류가 일어남)
[해설작성자 : 밥먹고싶다,,,]

36. 수평 습곡측을 가지는 두 습곡에 의해 돔과 분지형태(dome and basin pattern)의 중첩습곡구조가 발생할 수 있는 경우는?
     1. 중첩된 두 습곡의 습곡축이 평행하고, 두 습곡측면이 모두 수직이다.
     2. 중첩된 두 습곡의 습곡축이 직각을 이루며, 두 습곡축면이 모두 수직이다.
     3. 중첩된 두 습곡의 습곡축이 평행하고, 선행 습곡축면은 수평, 후기 습곡축면은 수직이다.
     4. 중첩된 두 습곡의 습곡축이 직각을 이루며, 선행 습곡축면은 수평, 후기 습곡축면은 수직이다.

     정답 : []
     정답률 : 78%

37. 주향과 경사가 각각 N30° E, 60° NW인 절리면이 있다. 이 절리면의 방향성을 경사방향/경사로 바르게 표시한 것은?
     1. 030/60
     2. 120/60
     3. 210/60
     4. 300/60

     정답 : []
     정답률 : 40%

38. 다음 중 석회암 지대에서 형성되는 지형이 아닌 것은?
     1. 카르스트
     2. 우발라
     3. 사주
     4. 돌리네

     정답 : []
     정답률 : 58%
     <문제 해설>
한자 중 모래 사 를 생각하면 쉽게 해결 가능
[해설작성자 : 고민남]

39. 2004년 12월에 발생하여 쓰나미 등 큰 재난을 야기하였던 인도네시아 지진 발생 지역과 가장 유사한 지체구조적 특성을 갖는 곳은?
     1. 일본
     2. 히말라야 산맥
     3. 산안드레아스 단층
     4. 중앙대서양 산맥

     정답 : []
     정답률 : 80%

40. 다음 중 드러스트 단층에 대한 설명으로 옳지 않은 것은?
     1. 드러스트 단층은 저각도 정단층으로 조산운동 시 흔히 만들어 진다.
     2. 드러스트 단층은 고기의 지층을 신기의 지층 위로 올려 놓는다.
     3. 드러스트 단층면의 경사가 바뀌는 곳, 특히 경사면 부근에서 습곡구조가 형성되기 한다.
     4. 드러스트 단층은 조구조 운동방향(tectonic transport direction)으로 지질단면을 절단한다.

     정답 : []
     정답률 : 70%

3과목 : 탐사공학


41. 반사법 탄성파 자료의 전산처리 과정 중에서 트레이스상에 직접파, 굴절파, 유도파 등의 잡음이 나타나는 부분이나 동보정 후에 파형의 신장이 심하게 나타나는 부분을 제거하는 작업은?
     1. 편집(editing)
     2. 이득회수(grain recovery)
     3. 뮤팅(muting)
     4. 공심점 취합(common midpoint gather)

     정답 : []
     정답률 : 67%

42. 반사법 탄성파탐사에 의해 획득한 48개의 트레이스를 갖는 하나의 CDP 자료가 있다. NMO 보정 후 중합하면 총 몇 개의 트레이스가 생성되는가?
     1. 1개
     2. 24개
     3. 48개
     4. 96개

     정답 : []
     정답률 : 63%

43. 굴절법 탄성파탐사에서 임계굴절파가 직접파와 도달시간이 일치하는 거리를 무엇이라고 하는가?
     1. 교차거리(crossover distance)
     2. 임계거리(critical distance)
     3. 표피거리(skin distance)
     4. 감쇠거리(attenuation distance)

     정답 : []
     정답률 : 69%

44. 어느 매질의 유전상수는 4이고, 전기전도도는 1mS/m일 때 이 매질에서의 전자파 전달속도는 얼마인가? (단, 진공에서의 전자파 속도=0.3m/ns)
     1. 0.1m/ns
     2. 0.3m/ns
     3. 0.15m/ns
     4. 1.2m/ns

     정답 : []
     정답률 : 45%

45. 매질의 음향 임피던스(acoustic impedance)와 관련이 있는 두 가지 매질의 성질은?
     1. 탄성파 속도, 밀도
     2. 대자율, 유전율
     3. 탄성파 속도, 유전율
     4. 전기전도도, 밀도

     정답 : []
     정답률 : 57%

46. 다음 중 핵자력계에 대한 설명으로 옳지 않은 것은?
     1. 자기공영현상을 이용하여 총자기를 측정하는 자력계이다.
     2. 측정방향에 관계없이 사용이 가능하다.
     3. 1초 이하의 간격으로 정밀 측정에 주로 사용된다.
     4. 센서가 다소 흔들려도 영향을 받지 않아 항공탐사에 사용된다.

     정답 : []
     정답률 : 55%

47. 다음 중 평균 대자율의 크기가 가장 큰 암석은?
     1. 퇴적암
     2. 염기성 화성암
     3. 변성암
     4. 산성 화성암

     정답 : []
     정답률 : 52%

48. 지구화학적으로 원소를 분류할 때 다음 중 친기 원소에 해당하지 않는 것은?
     1. 헬륨(He)
     2. 라돈(Rn)
     3. 질소(N)
     4. 리튬(Li)

     정답 : []
     정답률 : 69%

49. 자력탐사결과를 2차 미분하여 해석할 경우 어떤 이익이 있는가?
     1. 자력원인체의 세부화
     2. 자력변화율의 감소화
     3. 자력측정치의 광역화
     4. 자력성분의 벡타분석

     정답 : []
     정답률 : 61%

50. 지하투과 레이다 탐사의 적용분야가 아닌 것은?
     1. 지하매설물 및 터널조사
     2. 구조물의 비파괴 검사
     3. 고고학 유적탐사
     4. 심부 지각구조 탐사

     정답 : []
     정답률 : 59%

51. 항공기나 배와 같이 움직이는 상태에서 중력을 측정했을 때만 적용되는 중력보정은?
     1. 에트뵈스 보정
     2. 부게 보정
     3. 대기 보정
     4. 조석 보정

     정답 : []
     정답률 : 74%

52. 다음의 육상 전자 탐사법 중 측정하는 대상이 다른 것은 무엇인가?
     1. 보상계법
     2. 튜람법
     3. 수평 루프법
     4. 평행선법

     정답 : []
     정답률 : 40%

53. 중력탐사는 암석의 밀도변화에 민감하다. 암석의 밀도에 영향을 미치는 지질학적 요인에 대한 설명으로 옳지 않은 것은?
     1. 일반적으로 화성암은 퇴적암보다 밀도가 크다.
     2. 변성암은 산성도가 감소할수록, 변성정도가 증가할수록 밀도가 증가한다.
     3. 퇴적암의 밀도에 영향을 주는 인자는 조성, 교결, 연령, 깊이, 공극률, 공극유체 등이다.
     4. 화성암은 실리카 함량이 증가하면 밀도가 증가하므로 염기성 화성암은 산성 화성암보다 밀도가 작다.

     정답 : []
     정답률 : 49%

54. 탄성파탐사는 크게 굴절법탐사와 반사법탐사로 나누어진다. 굴절법탐사에서 주로 사용하는 파는 다음 중 어느 것인가?
     1. 선두파(Head wave)
     2. 레일리파(Rayleigh wave)
     3. 러브파(Love wave)
     4. 다중반사파(Multiple reflections)

     정답 : []
     정답률 : 66%

55. 탄성파 전파속도가 1000m/s이고 두께가 10m인 지표층 하부에 탄성파 전파속도가 2000m/s인 기반암이 놓여 있는 수평 2층 구조에서 굴절법 탄성파 탐사를 실시하였다. 발파점에서 50m 떨어진 수진점에서의 굴절파의 초동(first arrival)이 걸린 시간은 얼마인가?
     1. 50.11ms
     2. 42.33ms
     3. 35.81ms
     4. 26.55ms

     정답 : []
     정답률 : 44%

56. 원소들의 분산이 일어나는 지구화학적 환경 중 2차 환경에 대한 설명으로 옳지 않은 것은?
     1. 일반적으로 지하수면 상부의 지표 부근의 환경을 말한다.
     2. 온도와 압력이 낮고, 산소와 이산화탄소의 함량이 적다.
     3. 유체의 이동이 비교적 활발한 환경이다.
     4. 풍화작용이나 토양의 형성작용 등은 2차 환경에서 발생한다.

     정답 : []
     정답률 : 53%

57. 탄성파 탐사 자료를 처리할 때 사용되는 나이퀴스트 주파수(Nyquist frequency : )에서 △t는 무엇을 의미하는가?
     1. 초동 주시
     2. 평면파 주행시간
     3. 반사파 지연시간
     4. 샘플링 간격

     정답 : []
     정답률 : 49%

58. 다음 중 수층이나 천부 지층에서 다중반사파와 관련된 울림현상을 크게 감쇠시키는 반사법 탄성파탐사의 자료처리과정은?
     1. 백새화(whitening)
     2. 디멀티플렉싱(demultiplexing)
     3. 디링잉(deringing)
     4. 디고스팅(deghosting)

     정답 : []
     정답률 : 45%

59. 다음 ()안에 알맞은 것은?

    

     1. 두께(depth)
     2. 반사각(reflection angle)
     3. 음향 임피던스(acoustic impedance)
     4. 임계거리(critical distance)

     정답 : []
     정답률 : 70%

60. 다음 중 지층의 공극 또는 모세관을 통하여 전해질이 이동하면서 나타나는 자연전위는?
     1. 확산전위
     2. 유동전위
     3. 셰일전위
     4. 광화전위

     정답 : []
     정답률 : 60%

4과목 : 지질공학


61. 사질토 지반에서 분사현상이 발생하기 위한 조건이 아닌 것은?
     1. 물의 유동 방향이 하향이어야 한다.
     2. 동수경사가 한계동수경사에 도달하여야 한다.
     3. 유효응력이 0이 되어야 한다.
     4. 전단강도가 0이 되어야 한다.

     정답 : []
     정답률 : 49%

62. 흙의 다짐시험에서 관찰되는 특징으로 옳지 않은 것은?
     1. 다짐에너지가 커질수록 흙의 최대건조단위중량은 증가한다.
     2. 다짐에너지가 커질수록 흙의 최적함수비는 감소한다.
     3. 다짐에너지가 같을 경우 조립토가 세립토보다 다짐이 잘된다.
     4. 다짐에너지가 같을 경우 세립토에서는 소성이 클수록 다짐이 잘된다.

     정답 : []
     정답률 : 54%

63. 불규칙적인 불연속면에 다수 분포하는 암반사이에서 발생하는 사면파괴의 유형은?
     1. 원호파괴
     2. 쐐기파괴
     3. 평면파괴
     4. 전도파괴

     정답 : []
     정답률 : 58%

64. 모래의 투수계수를 측정한 바, 공극비가 0.8일 때 8×10-2cm/sec를 얻었다. 오래의 공극비가 0.4일 때의 투수계수를 구하면 얼마인가?
     1. 1.6×10-1cm/sec
     2. 2.0×10-1cm/sec
     3. 3.2×10-1cm/sec
     4. 4.0×10-1cm/sec

     정답 : []
     정답률 : 43%

65. 다음 중 일반적으로 허용지지력이 가장 큰 것은?
     1. 굳은 점토
     2. 조밀한 자갈
     3. 조밀한 모래
     4. 느슨한 모래질 자갈

     정답 : []
     정답률 : 49%

66. 흙의 기본물성에 대한 다음의 설명 중 맞는 것은?
     1. 포화도는 100%보다 클 수 있다.
     2. 공극비는 1보다 클 수 없다.
     3. 함수비는 100%보다 클 수 없다.
     4. 공극률은 100%보다 클 수 없다.

     정답 : []
     정답률 : 60%

67. 지반의 특성을 파악하고 실내시험용 시료를 얻기 위하여 사용하는 샘플러 중 비교한 시료의 채취에 사용되지 않는 것은?
     1. 분리형 원통 샘플러(split spoon sampler)
     2. 포일 샘플러(foil sampler)
     3. 고정 피스톤 샘플러(stationary poston sampler)
     4. 더블 튜브 코어 바렐(double tube core barrel)

     정답 : []
     정답률 : 60%

68. 점참력이 없는 화강 풍화토로 구성도니 무한 사면을 조사한 결과 사면의 경사는 30°이고, 내부마찰각이 45°일 경우 이 사면의 안전율은 얼마인가? (단, 사면 내부에 지하수는 존재하지 않는다.)
     1. 1.23
     2. 1.52
     3. 1.73
     4. 1.85

     정답 : []
     정답률 : 32%

69. 다음 중 터널의 일상적인 시공관리상 반드시 실시해야 하는 일상계측항목에 해당하지 않는 것은?
     1. 갱내관찰조사
     2. 내공변위측정
     3. 천단침하측정
     4. 지표침하측정

     정답 : []
     정답률 : 33%

70. 스캔라인(Scan-line) 조사기법에 대한 설명으로 옳은 것은?
     1. 일정한 면적부분에 나타난 불연속면을 조사한다.
     2. 조사선을 따라 교차되는 불연속면을 조사한다.
     3. 전체 불연속면을 측정하는 방법으로 시간이 많이 걸리나 가장 정확하다.
     4. 분석시 항공사진이 필요하다.

     정답 : []
     정답률 : 72%

71. 다음 중 지반침하를 형태에 따라 분류할 때 골형 침하(trough subsidence)에 대한 설명으로 옳지 않은 것은?
     1. 수평층 또는 완만한 경사층에서 발생하는 경향이 있다.
     2. 넓은 지역에 걸쳐 발생한다.
     3. 침하량이 크고 침하 형상이 불연속이다.
     4. 심도에 크게 영향을 받지 않는다.

     정답 : []
     정답률 : 62%

72. 단위 수두 변화에 따라 단위 표면적당 투수성 층이 흡수하거나 배출하는 물의 체적을 의미하는 것은?
     1. 유동계수
     2. 체적계수
     3. 비유출율
     4. 저류계수

     정답 : []
     정답률 : 44%

73. 암반 내의 인장균열(tension fracture)에 대한 설명으로 옳지 않은 것은?
     1. 균열면을 따라 상대적인 이동이 거의 없다.
     2. 최대주응력 방향과 대략 30° 내외의 각을 이룬다.
     3. 최소주응력에 수직한 방향으로 형성된다.
     4. 절리(joint)는 인장균열에 해당된다.

     정답 : []
     정답률 : 54%

74. 함수비가 20%인 흙 시료의 전체단위중량이 19.5kN/m3이고, 흙 입자의 비중은 2.72이다. 이 시료의 건조단위중량을 구하면 얼마인가? (단, 물의 단위중량은 9.81kN/m3으로 가정한다.)
     1. 16.25kN/m3
     2. 17.07kN/m3
     3. 18.45kN/m3
     4. 19.67kN/m3

     정답 : []
     정답률 : 34%

75. 투수량계수(T)와 수리전도도(K) 및 포화된 대수층 두께(b)의 관계식으로 옳은 것은?
     1. T=(K+1)/b
     2. T=Kb2
     3. T=Kb
     4. T=K/b

     정답 : []
     정답률 : 73%

76. 다음 중 풍화에 따른 암석의 물리적ㆍ역학적 변화에 대한 설명으로 옳지 않은 것은?
     1. 풍화작용을 받은 암석의 탄성파 속도는 줄어든다.
     2. 풍화가 심할수록 영율(young's modulus)은 낮아진다.
     3. 풍화가 진행되면 인장강도는 줄어든다.
     4. 풍화가 진행되면 투수율이 낮아진다.

     정답 : []
     정답률 : 72%

77. 어떤 흙시료에 대한 일축압축시험결과 파괴면이 수평면과 이루는 각도는 55°이었다. 이 흙의 내부마찰각은?
     1. 20°
     2. 22.5°
     3. 30°
     4. 72.5°

     정답 : []
     정답률 : 40%

78. 다음 지반개량공법 중 넓은 지역에 걸쳐 지표면에 미리 흙을 성토하여 실질적으로 구조물의 축조 후 침하를 없앨 수 있는 공법은?
     1. 선재하공법
     2. 동다짐공법
     3. 진동부유공법
     4. 약액주입공법

     정답 : []
     정답률 : 66%

79. 터널 굴진에 있어서 불연속면의 주향과 경사가 안정성에 미치는 영향 중 가장 불리한 경우는?
     1. 경사가 50°인 불연속면의 주향이 터널 방향과 수직이며 경사 방향으로 굴진하는 경우
     2. 경사가 60°인 불연속면의 주향이 터널 방향과 수직이며 역경사 방향으로 굴진하는 경우
     3. 경사가 30°인 불연속면의 주향이 터널 방향과 수직이며 경사 방향으로 굴진하는 경우
     4. 경사가 70°인 불연속면의 주향과 평행하게 터널을 굴진하는 경우

     정답 : []
     정답률 : 54%

80. 암반 분류법인 RMR 분류법에서 기초 RMR값을 산정하는데 필요한 요소가 아닌 것은?
     1. 불연속면의 방향성
     2. 불연속면의 간격
     3. 불연속면의 상태
     4. 지하수 상태

     정답 : []
     정답률 : 47%
     <문제 해설>
불연속면의 방향성은 RMR값을 보정하는데 필요한 요소
[해설작성자 : comcbt.com 이용자]

81. 다음 중 산출광물과 주요 광상의 연결로 옳지 않은 것은?
     1. 철(Fe)-울산 광상
     2. 중석(W)-대화 광상
     3. 동(Cu)-일광 광상
     4. 금(Au)-동남 광상

     정답 : []
     정답률 : 30%

82. 평안계의 사동통 지층에 관한 설명으로 옳지 않은 것은?
     1. 우리나라의 중요한 함탄층이다.
     2. 선캠브리아기에 퇴적된 지층이다.
     3. 하부에는 해성층, 상부에는 육성층이 분포한다.
     4. 남한에서는 강원도에 가장 넓게 분포한다.

     정답 : []
     정답률 : 58%

83. 화학적 풍화작용은 용해도가 큰 광물질을 제거하고 용해도가 낮은 광물질을 농집시키는 결과를 초래한다. 이러한 과정에 의하여 생성된 광상의 유형은?
     1. 2차 부화광상
     2. 사광상
     3. 잔류광상
     4. 증발광상

     정답 : []
     정답률 : 67%

84. 후생광상(Epigenetic deposits)이 생성되기 전에 광화용액이 침투하기 쉽고, 침전하기 좋은 여건을 마련해주는 전위적인 작용을 무엇이라 하는가?
     1. 속성작용
     2. 광화준비작용
     3. 모암변질작용
     4. 스카른화작용

     정답 : []
     정답률 : 78%

85. 열수광상(hydrothermal ore deposits) 중에서 온도는 고온에서 저온까지 겹치고, 저압상태의 얕은 깊이(천부:Shallow depth)에서 형성된 광상은?
     1. 실염수 광상
     2. 중열수 광상
     3. 제노서얼 광상
     4. 천열수 광상

     정답 : []
     정답률 : 55%

86. 다음 중 화산성 괴상 황화물광상에서 산출되는 전형적인 금속은?
     1. 주석, 텅스텐
     2. 구리, 아연, 납
     3. 금, 은
     4. 철, 몰리브덴, 리튬

     정답 : []
     정답률 : 65%

87. 우리나라 비금속 광상의 주된 광화 시기는?
     1. 석탄기
     2. 트라이아스기
     3. 쥐라기
     4. 백악기

     정답 : []
     정답률 : 32%

88. 고기의 변성암류의 엽리 등 층상구조에 거의 조화적으로 층상~렌즈상으로 배태된 소위 층상 함동유화철광상으로 유럽의 바리스칸, 칼레도니아 등 세계의 조산대내에 발달되는 주요 동 및 유화철광상의 주요 형태는?
     1. 스카른광상
     2. 벳시형 동광상
     3. 반암동광상
     4. 열수광상

     정답 : []
     정답률 : 49%

89. 다음 중 우리나라의 금ㆍ은 광상의 형성과 가장 밀접한 관계가 있는 것은?
     1. 신생대 제3기 화산암류
     2. 조선누층군 석회암
     3. 쥐라기 대보화강암
     4. 시생대 화강편마암

     정답 : []
     정답률 : 73%

90. 다음 중 기성광상에서의 모암의 변질작용은?
     1. 녹니석화 작용
     2. 건운모화 작용
     3. 규화 작용
     4. 주석화 작용

     정답 : []
     정답률 : 52%

91. 국내에서는 모암이 돌로마이트나 돌로마이트질 석회암인 것과 사문암인 것으로 대별되는데, 양질의 광석은 돌로마이트를 모암으로 하는 광상에서 산출되나, 광량면에서는 사문암을 모암으로 하는 광상이 전체의 90% 이상을 차지하는 광종은?
     1. 활석
     2. 석면
     3. 흑연
     4. 우라늄

     정답 : []
     정답률 : 71%

92. 다음 중 기성광상에서는 어느 원소를 포함하는 광물이 생기는 것이 특징인가?
     1. Ca, Fe, Al
     2. K, Mg, Fe
     3. Ca, Mg, S
     4. Cl, B, F

     정답 : []
     정답률 : 64%

93. 우리나라에서 형석광상의 주요 분포지역이 아닌 곳은?
     1. 춘전-화전 지역
     2. 금산 지역
     3. 충주-단양 지역
     4. 경산 지역

     정답 : []
     정답률 : 38%

94. 다음 중 지질 온도계(geothermometer)로 활용되지 않는 것은?
     1. 유체포유물의 가열실험
     2. 광물의 용융점 측정
     3. 광물의 전기전도도 측정
     4. 광물의 소성한계 측정

     정답 : []
     정답률 : 45%

95. 광체보다 넓게 분포하여 광상탐사의 수단이며, 광상 생성에 대한 중요한 정보를 제공하는 것은?
     1. 관계화성암체
     2. 지표 풍화대
     3. 변질대
     4. 모암의 구조대

     정답 : []
     정답률 : 57%

96. 다음 중 충진(filling)작용의 증거가 아닌 것은?
     1. 정동과 공동
     2. 대칭적 호상구조
     3. 교질상 구조
     4. 모광물속으로 난 요곡면

     정답 : []
     정답률 : 63%

97. 열수유체로부터 광석광물의 침전에 대한 주요 원인이 아닌 것은?
     1. 온도변화
     2. 압력변화
     3. 모암과 유체의 반응에 의한 화학적 변화
     4. 마그마 혼합에 의한 조성의 변화

     정답 : []
     정답률 : 58%

98. 황철석 등 황화광물이 풍부한 광상의 노두로서 황철석에서 유래된 갈철석 때문에 갈색이나 암갈색을 띠며 마치 불에 구운 것 같은 외관을 보이는 것은?
     1. 곳산
     2. 보난자
     3. 복성액
     4. 맥석

     정답 : []
     정답률 : 71%

99. 우리나라에 분포하는 연-아연 광상에 대한 설명으로 옳지 않은 것은?
     1. 연-아연 광상을 성인에 따라 분류하면 접촉교대광상, 열수교대광상, 열극충진 맥상광상으로 구분된다.
     2. 우리나라의 연-아연 광상은 연화광상을 중심으로 한 태백산 광화대에 밀집 분포한다.
     3. 연-아연 광상은 주로 석회암을 모암으로 괴상, 렌즈상 또는 파이프상으로 산출된다.
     4. 접촉교대형 광상의 대표적인 것은 연화광상이며, 열수교대형 광상의 대표적인 것은 울진광상이다.

     정답 : []
     정답률 : 36%

100. 국내 우라늄광상의 유형에 해당하지 않는 것은?
     1. 선캠브리아기 함우라늄 페그마타이트광상
     2. 선캠브리아기 변성우라늄광상
     3. 고생대 퇴적광상
     4. 정마그마 분별 우라늄광상

     정답 : []
     정답률 : 38%


정 답 지

1

2

3

4

5

6

7

8

9

10

11

12

13

14

15

16

17

18

19

20

21

22

23

24

25

26

27

28

29

30

31

32

33

34

35

36

37

38

39

40

41

42

43

44

45

46

47

48

49

50

51

52

53

54

55

56

57

58

59

60

61

62

63

64

65

66

67

68

69

70

71

72

73

74

75

76

77

78

79

80

81

82

83

84

85

86

87

88

89

90

91

92

93

94

95

96

97

98

99

100

응용지질기사 필기 기출문제(해설) 및 CBT 2010년07월25일을 이용해 주셔서 감사합니다.
, 필기, 기출문제, 전자문제집, CBT, 온라인, 모의테스트, 모의고사



List of Articles
번호 제목 글쓴이 날짜 조회 수
16935 종자산업기사 필기 기출문제(해설) 및 CBT 2010년03월07일(10111) 좋은아빠되기 2025.11.26 0
16934 종자산업기사 필기 기출문제(해설) 및 CBT 2008년07월27일(10110) 좋은아빠되기 2025.11.26 0
16933 패션머천다이징산업기사 필기 기출문제(해설) 및 CBT 2013년03월10일(10109) 좋은아빠되기 2025.11.26 0
16932 패션머천다이징산업기사 필기 기출문제(해설) 및 CBT 2013년08월18일(10108) 좋은아빠되기 2025.11.26 0
16931 패션머천다이징산업기사 필기 기출문제(해설) 및 CBT 2014년03월02일(10107) 좋은아빠되기 2025.11.26 0
16930 리눅스마스터 2급 필기 기출문제(해설) 및 CBT 2019년06월15일(10106) 좋은아빠되기 2025.11.26 0
16929 패션머천다이징산업기사 필기 기출문제(해설) 및 CBT 2014년08월17일(10105) 좋은아빠되기 2025.11.26 0
16928 패션머천다이징산업기사 필기 기출문제(해설) 및 CBT 2012년03월04일(10104) 좋은아빠되기 2025.11.26 0
16927 인터넷정보관리사 2급 필기 기출문제(해설) 및 CBT 2019년06월15일(10103) 좋은아빠되기 2025.11.26 0
16926 실내건축산업기사 필기 기출문제(해설) 및 CBT 2019년04월27일(10102) 좋은아빠되기 2025.11.26 0
16925 패션머천다이징산업기사 필기 기출문제(해설) 및 CBT 2012년08월26일(10101) 좋은아빠되기 2025.11.26 0
16924 패션머천다이징산업기사 필기 기출문제(해설) 및 CBT 2011년08월21일(10100) 좋은아빠되기 2025.11.26 0
16923 패션머천다이징산업기사 필기 기출문제(해설) 및 CBT 2011년03월20일(10099) 좋은아빠되기 2025.11.26 0
16922 응용지질기사 필기 기출문제(해설) 및 CBT 2015년05월31일(10098) 좋은아빠되기 2025.11.26 0
16921 응용지질기사 필기 기출문제(해설) 및 CBT 2007년03월04일(10097) 좋은아빠되기 2025.11.26 0
16920 응용지질기사 필기 기출문제(해설) 및 CBT 2008년03월02일(10096) 좋은아빠되기 2025.11.26 0
» 응용지질기사 필기 기출문제(해설) 및 CBT 2010년07월25일(10095) 좋은아빠되기 2025.11.26 0
16918 응용지질기사 필기 기출문제(해설) 및 CBT 2012년08월26일(10094) 좋은아빠되기 2025.11.26 0
16917 응용지질기사 필기 기출문제(해설) 및 CBT 2015년08월16일(10092) 좋은아빠되기 2025.11.26 0
16916 응용지질기사 필기 기출문제(해설) 및 CBT 2012년05월20일(10091) 좋은아빠되기 2025.11.26 0
Board Pagination Prev 1 ... 307 308 309 310 311 312 313 314 315 316 ... 1158 Next
/ 1158