자격증 필기 기출문제



에너지관리산업기사 필기 기출문제(해설) 및 CBT 2014년05월25일(10514)

최강 자격증 기출문제 전자문제집 CBT : www.comcbt.com


전자문제집 CBT란?

종이 문제집이 아닌 인터넷으로 문제를 풀고 자동으로 채점하며 모의고사, 오답 노트, 해설까지 제공하는
무료 기출문제 학습 프로그램으로 실제 상설검정에서 사용하는 OMR 형식의 CBT를 제공합니다.


최신 에너지관리산업기사 필기 기출문제 : [다운로드]

1과목 : 열역학 및 연소관리


1. 열 펌프의 성능계수를 나타낸 식은? (단, Q1은 고열원의 열량, Q2는 저열원의 열량이다.)
     1.
     2.
     3.
     4.

     정답 : []
     정답률 : 69%
     <문제 해설>
열펌프 = Q1/Q1-Q2
열효율 = Q1-Q2/Q1
[해설작성자 : 아산폴리텍 산설과]

2. -10℃의 얼음 1kg에 일정한 비율로 열을 가할 때 시간과 온도의 관계를 바르게 나타낸 그림은? (단, 압력은 일정하다.)
     1.
     2.
     3.
     4.

     정답 : []
     정답률 : 92%
     <문제 해설>
얼음에 열을 가하게 되면 물이 되었다가 증발하게 되는데요,
이때 현열과 잠열 상태를 나타내는 3번 그래프가 정답입니다.
[해설작성자 : 관이도]

3. 열역학 제1법칙을 가장 잘 설명한 것은?
     1. 열 에너지가 기계적 에너지 보다. 고급의 에너지 형태이다.
     2. 열은 일과 같이 에너지의 이동 형태의 하나로 일과 열은 서로 변환될 수 있다.
     3. 제1종의 영구기관은 에너지의 공급 없이 영구히 일할 수 있는 기관으로 실현 가능하다.
     4. 시스템과 주위의 총 엔트로피는 계속 증가한다.

     정답 : []
     정답률 : 94%

4. 기체가 가역 단열 팽창할 때와 가역 등 온팽창할 때 내부에너지의 감소량은?
     1. 같다.(변화가 없다.)
     2. 알 수 없다.
     3. 등온팽창 때가 크다.
     4. 단열팽창 때가 크다.

     정답 : []
     정답률 : 65%
     <문제 해설>
가역 등온과정 상태량
가. 내부에너지 변화량:내부에너지 변화량이 없다
나. 엔탈피 변화량:엔탈피 변호량이 없다
다. 엔트로피 변화량 :s>0
[해설작성자 : 현주루]

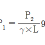
5. 몰리에선도로부터 파악하기 어려운 것은?
     1. 포화수의 엔탈피
     2. 과열증기의 과열도
     3. 포화증기의 엔탈피
     4. 과열증기의 단열팽창 후 상대습도

     정답 : []
     정답률 : 84%

6. 1kg의 공기가 일정 온도 200℃에서 팽창하여 처음 체적의 6배가 되었다. 전달된 열량은 약 몇 kJ인가? (단, 공기의 기체상수는 0.287kJ/kg·K이다.)
     1. 243
     2. 321
     3. 413
     4. 582

     정답 : []
     정답률 : 59%
     <문제 해설>
1*0.287*473*Ln(6/1)=243KJ/Kg

7. 증기 동력사이클에서 열효율을 높이기 위하여 사용하는 방식으로 가장 적합한 것은?
     1. 재열 – 팽창사이클
     2. 재생 – 흡열사이클
     3. 재생 – 재열사이클
     4. 재열 – 방열사이클

     정답 : []
     정답률 : 87%

8. 15℃인 공기 4kg이 일정한 체적을 유지하며 400kJ의 열을 받는 경우 엔트로피 증가량은 약 몇 kJ/K인가? (단, 공기의 정적 비열은 0.71kJ/kg·K이다.)
     1. 1.13
     2. 26.7
     3. 100
     4. 400

     정답 : []
     정답률 : 51%

9. 다음 중 Mollier 선도를 이용하여 증기의 상태를 해석할 경우 가장 편리한 계산은?
     1. 터빈효율 계산
     2. 엔탈피 변화 계산
     3. 사이클에서 압축비 계산
     4. 증발시의 체적 증가량 계산

     정답 : []
     정답률 : 87%

10. 절대온도 τ, 압력 P로 표시되는 가역 단열 과정에 대한 식으로 올바른 것은? (단, 비열비 k = Cp / Cv 이다.)
     1. TPk-1 = C
     2. TPk = C
     3.
     4.

     정답 : []
     정답률 : 73%

11. 증기를 터빈 내부에서 팽창하는 도중에 몇 단으로 나누어 그중 일부를 빼내어 급수의 가열에 사용하는 증기 사이클은?
     1. 랭킨 사이클(Rankine Cycle)
     2. 재열사이클(Reheating Cycle)
     3. 재생사이클(Regenerative Cycle)
     4. 추가사이클(Supplement Cycle)

     정답 : []
     정답률 : 68%

12. “어떤 물체의 온도를 1℃ 높이는 데 필요한 열량”으로 정의되는 것은?
     1. 열관류량
     2. 열전도율
     3. 열전달률
     4. 열용량

     정답 : []
     정답률 : 84%

13. 화력발전소에서 저위발열량 27,500kJ/kg인 유연탄을 시간당 170ton을 사용하여 500,000kW의 전기를 생산하고 있다. 이 화력발전소의 효율(%)은 얼마인가?
     1. 34
     2. 38
     3. 42
     4. 46

     정답 : []
     정답률 : 63%
     <문제 해설>
n=실제 사용 동력/공급열량 *100
=500000*3600/170*1000*27500 *100 =38.5%
[해설작성자 : 전남폴리텍 발전설비과]

14. 압력 0.4MPa, 체적 0.8m3인 용기에 습증기 2kg이 들어 있다. 액체의 질량은 약 몇 kg 인가? (단, 0.4MPa에서 비제적은 포화액이 0.001m3/kg, 건포화증기가 0.46mg/kg이다.)
     1. 0.131
     2. 0.262
     3. 0.869
     4. 1.738

     정답 : []
     정답률 : 53%

15. 2개의 물체가 또 다른 물체와 서로 열평형을 이루고 있으면 그를 상호 간에도 서로 열평형 상태에 있다."라는 것은 열역학 몇 법칙인가?
     1. 열역학 제0법칙
     2. 열역학 제1법칙
     3. 열역학 제2법칙
     4. 열역학 제3법칙

     정답 : []
     정답률 : 80%

16. 여과 집진장치를 설명한 것으로 틀린 것은?
     1. 건식 집진 장치의 한 종류이다.
     2. 외형상의 여과속도가 느릴수록 미세한 입자를 포집할 수 있다.
     3. 100℃ 이상의 고온가스, 습가스의 처리에 적합하다.
     4. 집진효율이 좋고, 설비비용이 적게 든다.

     정답 : []
     정답률 : 70%
     <문제 해설>
집진효율이 양호 하지만, 고온가스,습가스 처리에는 부적합하다.
[해설작성자 : 창원]

17. 1kg의 메탄을 20kg의 공기와 연소시킬 때 과잉 공기율은 약 몇 %인가?
     1. 5%
     2. 14%
     3. 17%
     4. 21%

     정답 : []
     정답률 : 63%
     <문제 해설>
메탄의 완전연소식= CH4 + 2O2 + CO2 + 2H20
kg/kg 이므로

1) 이론공기량(kg)
CH4=16kg
O2 =32kgx2

=32x2/16x0.232 = 17.2kg
tip : 여기서 0.232를 곱해주지 않으면 이론산소량,곱해주게되면 이론공기량

2) 과잉공기율(%)
=20-17.2/17.2 x100 = 16.279%

tip : 이론공기량 구할 시
kg/kg이면 0.232로
Nm3/kg이면 0.21로 계산해야합니다.
[해설작성자 : 아산폴리텍 산설과]

18. 다음 연료의 이론공기량(Smism)의 개략치가 가장 큰 것은?
     1. 오일 가스
     2. 석탄가스
     3. 천연가스
     4. 액화석유가스

     정답 : []
     정답률 : 71%

19. 500℃ 와 0℃ 사이에서 운전되는 카르노 기관의 열효율은?
     1. 49.9%
     2. 64.7%
     3. 85.6%
     4. 100%

     정답 : []
     정답률 : 77%
     <문제 해설>
1-(0+273/500+273)=0.64
1-(273/773)=0.64

20. 메탄 1Sm3의 연소에 소요되는 이론공기량(Sm3)은?
     1. 8.9
     2. 9.5
     3. 11.1
     4. 13.2

     정답 : []
     정답률 : 65%
     <문제 해설>
Ch4(메탄) > 2CO2
2/0.21=0.95

2과목 : 계측 및 에너지진단


21. 시료가스를 채취할 때의 주의 사항으로 틀린 것은?
     1. 채취구로부터 공기 침입이 없어야 한다.
     2. 시료가스의 배관은 가급적 짧게 한다.
     3. 드레인 배출장치 설치 여부와는 무관하다.
     4. 가스성분과 화학성분을 발생시키는 부품을 사용하지 않아야 한다.

     정답 : []
     정답률 : 79%

22. 검출기에서 검출한 신호를 증폭하거나 다른 신호로 변환시켜 전달시키는 제어기기를 무 엇이라 하는가?
     1. 조작부
     2. 조절기
     3. 증폭기
     4. 전송기

     정답 : []
     정답률 : 69%

23. 열전대의 접점온도가 T1, T3 일 때 열기전력은 접점온도가 T1, T2 일 때와 T2 T3 일 때의 열기전력을 합한 것과 같다. 이는 다음 어느 열전대 원리에 해당하는가?
     1. 제벡(Seebeck)효과
     2. 톰슨(Thomson)효과
     3. 중간금속의 법칙
     4. 중간온도의 법칙

     정답 : []
     정답률 : 69%
     <문제 해설>
중간 금속의 법칙(영어: Law of intermediate metals)은
열전대를 구성하는 두 금속의 한쪽 접점은 서로 접해있고,
반대편 접점은 제 3의 금속과 연결되어 있을 때,
두 접점이 같은 온도라면 기전력이 발생하지 않는다는 법칙이다.
제 3 금속의 법칙이라고도 한다.
[해설작성자 : 합중]

24. 압력계 선택 시 유의하여야 할 사항으로 틀린 것은?
     1. 진동이나 충격 등을 고려하여 필요한 부속품을 준비하여야 한다.
     2. 사용목적에 따라 크기, 등급, 정도를 결정한다.
     3. 사용압력에 따라 압력계의 범위를 결정한다.
     4. 사용 용도는 고려하지 않아도 된다.

     정답 : []
     정답률 : 93%

25. 수소(H2)가 연소되면 증기를 발생시킨다. 이 증기를 복수시키면 증발열이 발생한다. 만약 수소 1kg 을 연소시켜 증기를 완전 복수시키면 얼마의 증발열을 얻을 수 있는가?
     1. 600kcal
     2. 1,800kcal
     3. 5,400kcal
     4. 10,800kcal

     정답 : []
     정답률 : 76%

26. 보일러 열 정산에서 출열 항목인 것은?
     1. 사용 시 연료의 발열량
     2. 연료의 현열
     3. 공기의 현열
     4. 배기가스의 보유열

     정답 : []
     정답률 : 78%

27. 무게를 기준으로 한 단위로 힘(F), 길이(L), 시간(T)을 기준으로 하는 단위계는?
     1. 절대단위
     2. 중력단위
     3. 국제단위
     4. 실용단위

     정답 : []
     정답률 : 72%
     <문제 해설>
중력단위 : 힘, 길이, 시간
절대단위 : 질량, 길이, 시간
[해설작성자 : comcbt]

28. 증기보일러의 용량 표시 방법으로 일반적으로 가장 많이 사용되는 것으로 일명 정격용량 이라고도 하는 것은?
     1. 상당증발량
     2. 최고사용압력
     3. 상당방열면적
     4. 시간당 발열량

     정답 : []
     정답률 : 86%

29. 다음 압력값 중 그 크기가 다른 것은?(문제 오류로 실제 시험에서는 1,2번이 정답처리 되었습니다. 여기서는 1번을 누르면 정답 처리 됩니다.)
     1. 760mmHg
     2. 1kg/cm2
     3. 1atm
     4. 14.7psi

     정답 : []
     정답률 : 79%
     <문제 해설>
문제 오류로 실제 시험에서는 1,2번이 정답처리 되었습니다. 여기서는 1번을 누르면 정답 처리 됩니다.

30. 매시간 1,600kg의 연료를 연소시켜서 11.200kg/h의 증기를 발생시키는 보일러의 효율 은? (단, 석탄의 저위발열량은 6,040kcal/kg, 발생증기의 엔탈피는 742kcal/kg, 급수온도는 23℃ 이다.)
     1. 73.3%
     2. 83.3%
     3. 93.3%
     4. 98.6%

     정답 : []
     정답률 : 66%
     <문제 해설>
11.200 -> 11,200 마침표가 아니라 쉼표
11200*(742-23) / (1600*6040)*100 = 83.3
[해설작성자 : 롤리폴리 정수 산설]

31. 다음 중 액면 촉정 방법이 아닌 것은?
     1. 퍼지식
     2. 부자식
     3. 정전 용량식
     4. 박막식

     정답 : []
     정답률 : 70%
     <문제 해설>
액면계에는 직접법과 간접법으로 나누어지는데 박막식은 없다.
[해설작성자 : comcbt.com 이용자]

32. 다음 중 보일러 배기가스 중의 O2 농도 제어를 통해 연소 공기량을 미세하게 제어하는 시스템은?
     1. O2 트리밍
     2. O2 분석기
     3. O2 컨트롤러
     4. O2 센서

     정답 : []
     정답률 : 84%
     <문제 해설>
O2 트리밍 제어방식:배기가스 중의 산소농도를 연속적으로 분석하여 어떤 원인에 의해서 적정공기비가 유지되지 못할 경우도 이를 판단하여 적정공기비가 유지되도록 연소용 공기량을 자동 조절하는 방식
[해설작성자 : 제트산소]

33. 다음 중 물리적 가스 분석계에 해당하는 것은?
     1. 오르자트 가스분석계
     2. 연소식 O2
     3. 미연소가스계
     4. 열전도율형 CO2

     정답 : []
     정답률 : 58%
     <문제 해설>
전기적(열전도율형)CO2계
[해설작성자 : 21전남 발설과 불사조]

34. 실제 증발량 1,300kg/h, 급수온도 35℃, 전열면적 50m2인 노통연관식 보일러의 전열면 열부하는 약 몇 kcal/m2·h인가? (단, 발생 증기 엔탈피는 660kcal/kg이다.)
     1. 13,580
     2. 16,250
     3. 18,675
     4. 20,458

     정답 : []
     정답률 : 59%
     <문제 해설>
1300*(660-35)/50
[해설작성자 : 양신]

35. 보일러 열정산 시의 측정 사항이 아닌 것은?
     1. 배기가스 온도
     2. 급수 압력
     3. 연료사용량 및 발열량
     4. 외기온도 및 기압

     정답 : []
     정답률 : 69%
     <문제 해설>
급수 압력이 아닌 급수량과 급수온도를 측정해야한다
[해설작성자 : comcbt.com 이용자]

36. 방사된 열에너지의 성질과 양을 이용하여 온도를 측정하는 계기가 아닌 것은?
     1. 압력식 온도계
     2. 광고 온도계
     3. 광전관식 온도계
     4. 방사 온도계

     정답 : []
     정답률 : 73%

37. 고온 촉정용으로 가장 적합한 온도계는?
     1. 금속저항온도계
     2. 유리온도계
     3. 열전대온도계
     4. 압력온도계

     정답 : []
     정답률 : 92%

38. 여러 가지 주파수의 정현파(sin파)를 입력신호로 하여 출력의 진폭과 위상각의 지연으로부터 계의 동특성을 규명하는 방법은?
     1. 시정수
     2. 프로그램제어
     3. 주파수응답
     4. 비례제어

     정답 : []
     정답률 : 88%

39. 노 내의 온도 측정이나 벽돌의 내화도 측정용으로 사용되는 온도계는?
     1. 제겔콘
     2. 바이메탈온도계
     3. 색온도계
     4. 서미스터 온도계

     정답 : []
     정답률 : 83%
     <문제 해설>
제겔콘 온도계: 점토, 규석질 등 내연성의 금속산화물로 만든 것으로 벽돌의 내화도 측정 등에 사용한다.
[해설작성자 : 벽돌콘]

40. 보일러 냉각기의 진공도가 730mmHg일 때 절대압력으로 표시하면 약 몇 kg/cm2인가?
     1. 0.02
     2. 0.04
     3. 0.12
     4. 0.18

     정답 : []
     정답률 : 66%
     <문제 해설>
760/730=0.96
1-0.96=0.04

3과목 : 열설비구조 및 시공


41. 보일러의 계속사용 안전검사 유효기간은?
     1. 1년
     2. 2년
     3. 3년
     4. 4년

     정답 : []
     정답률 : 88%

42. 에너지이용합리화법 시행규칙상 인정검사대상기기 조종자의 교육을 이수한 자의 조정 범위가 아닌 것은?
     1. 용량이 10t/h 이하인 보일러
     2. 압력 용기
     3. 증기보일러로서 최고사용압력이 1MPa 이하이고, 전열면적이 10m2 이하인 것
     4. 열매체를 가열하는 보일러로서 용량이 581.5kW 이하인 것

     정답 : []
     정답률 : 77%
     <문제 해설>
1번은 에너지기능사(국가기술자격증보유자)부터 가능한겁니다
[해설작성자 : comcbt.com 이용자]

43. 입형 보일러의 특징에 대한 설명으로 틀린 것은?
     1. 설치면적이 작다.
     2. 설치가 간편하다.
     3. 전열면적이 작다.
     4. 열효율이 좋고 부하능력이 크다.

     정답 : []
     정답률 : 75%

44. 복사열에 대한 반사 특성을 이용하여 보온효과를 얻는 보온재 중 가장 효과가 큰 것은?
     1. 실리카 화이버
     2. 염화비닐 장판
     3. 마스틱(Mastic)
     4. 알루미늄 판

     정답 : []
     정답률 : 74%

45. 여러 용도에 쓰이는 물질과 그 물질을 구분하는 기준온도에 대한 설명으로 틀린 것은?
     1. 내화물이란 SK26 이상 물질을 말한다
     2. 단열재는 800~1,200℃ 및 단열효과가 있는 재료를 말한다.
     3. 무기질 보온재는 500~800℃에 견디어 보온하는 재료를 말한다.
     4. 내화단열재는 SK20 이상 및 단열효과가 있는 재료를 말한다.

     정답 : []
     정답률 : 73%
     <문제 해설>
4. SK26이상
[해설작성자 : 전남 발전설비과 도순이]

내화 단열재는 sk10으로 온도는1300도 이상에견디는것.
[해설작성자 : comcbt.com 이용자]

46. 검사대상 증기보일러의 안전밸브로 사용하는 것은?
     1. 스프링식 안전밸브
     2. 지렛대식 안전밸브
     3. 중추식 안전밸브
     4. 복합식 안전밸브

     정답 : []
     정답률 : 91%

47. 연료전지 중 작동온도가 높고 고효율이며 유연성이 좋으나 전지부품의 고온부식이 일어나는 단점이 있는 것은?
     1. 용융탄산염 연료전지
     2. 재생형 연료전지
     3. 고분자전해질 연료전지
     4. 인산형 연료전지

     정답 : []
     정답률 : 74%
     <문제 해설>
용융탄산염 연료전지 : 전해질로 용융 탄산염을 쓰는 연료전지이다.
600℃가 넘는 고온에서 작동하는데, 양질의 폐열을 얻을 수 있어 열병합발전으로 시스템 효율을 증대시킨다.
복잡한 공정 제어, 높은 공정 온도, 부적절한 시간 행태, 부식 문제와 낮은 효율 등으로 인해 자동차기술에는 적용할 수 없다.
[해설작성자 : 유연용융]

48. 가마를 사용하는 데 있어 내용수명(耐用壽命)과의 관계가 가장 먼 것은?
     1. 열처리 온도
     2. 가마 내의 부착물(휘발분 및 연료의 재)
     3. 온도의 급변
     4. 피열물의 열용량

     정답 : []
     정답률 : 81%

49. 열사용 기자재 관리규칙상 검사대상기기의 설치자가 그 사용 중인 검사대상기기를 폐기한 때에는 그 폐기한 날로부터 며칠 이내에 신고하여야 하는가?
     1. 15일
     2. 20일
     3. 30일
     4. 60일

     정답 : []
     정답률 : 81%

50. 관의 안지름을 D(cm), 평균유속을 V(m/s)라 하면 평균 유량 Qm3/s 를 구하는 식은?
     1. Q = DV
     2. Q = πD2V
     3.
     4.

     정답 : []
     정답률 : 88%

51. 파이프 바이스의 크기 표시는?
     1. 레버의 크기
     2. 고정 가능한 관경의 치수
     3. 죠를 최대로 벌려 놓은 전체 길이
     4. 프레임(Frame)의 가로 및 세로 길이

     정답 : []
     정답률 : 80%

52. 에너지이용합리화법 시행규칙에서 정한 특정 열사용 기자재 및 그 설치 시공범위의 구 분에서 품목명에 포함되지 않는 것은?
     1. 용선로
     2. 태양열 집광기
     3. 1종압력용기
     4. 구멍탄용 온수보일러

     정답 : []
     정답률 : 74%
     <문제 해설>
태양열 '집열기'
[해설작성자 : 동미대19학번]

53. 증기보일러의 전열면에서 벽의 두께는 22mm, 열전도율은 50kcal/m·h·℃이고 열전달률 은 열가스 측이 18kcal/m2·h·℃, 물 측이 5,200kcal/m2·h·℃이다. 물 측에 평균두께 3mm의 물때(열전도율 1.8kcal/m·h·℃)와 가스 측에 평균두께 1mm의 그을음(열전도율 0.1kcal/m·h·℃)이 부착되어 있는 경우 열관류율은 약 몇 kcal/m2·h·℃ 인가? (단, 전열면은 평면이다.)
     1. 11.7
     2. 14.7
     3. 25.3
     4. 28.7

     정답 : []
     정답률 : 56%

54. 에너지이용 합리화법 시행규칙에 따라 가스를 사용하는 소형 온수보일러 중 검사대상기 기에 해당되는 것은 가스사용량이 몇 kg/h를 초과하는 경우인가?
     1. 10kg/h
     2. 13kg/h
     3. 17kg/h
     4. 15kg/h

     정답 : []
     정답률 : 80%

55. 보온재 선정 시 고려하여야 할 조건 중 틀린 것은?
     1. 부피비중이 적어야 한다.
     2. 열전도율이 가능한 높아야 한다.
     3. 흡수성이 적고, 가공이 용이하여야 한다.
     4. 불연성이고 화재 시 유독가스를 발생하지 않아야 한다.

     정답 : []
     정답률 : 87%

56. 2개의 증기드럼 하부에 하나의 물드럼을 배치하고 삼각형 순환도를 형성하는 급경사 곡관형 보일러는?
     1. 가르베 보일러
     2. 야로 보일러
     3. 스털링 보일러
     4. 타쿠마 보일러

     정답 : []
     정답률 : 76%

57. 다음 중 관류보일러로 맞는 것은?
     1. 술저(Sulzer) 보일러
     2. 라몬트(Lamont) 보일러
     3. 벨럭스(Velox) 보일러
     4. 타쿠마(Takuma) 보일러

     정답 : []
     정답률 : 89%

58. 피열물을 부압의 가마 내에서 가열 시 피열물이 받는 영향은?
     1. 환원되기 쉽다.
     2. 내부 열이 유출된다.
     3. 산화되기 쉽다.
     4. 중성이 유지된다.

     정답 : []
     정답률 : 74%

59. 다음 중 노재가 갖추어야 할 조건이 아닌 것은?
     1. 사용 온도에서 연화 및 변형이 되지 않을 것
     2. 팽창 및 수축이 잘될 것
     3. 혼도 급변에 의한 파손이 적을 것
     4. 사용목적에 따른 열전도율을 가질 것

     정답 : []
     정답률 : 87%

60. 증기 엔탈피가 2,800kJ/kg이고, 급수 엔탈피가 125kJ/kg일 때 증발계수는 약 얼마인가? (단, 100℃, 포화수가 증발하여 100℃의 건포화증기로 되는데 필요한 열량은 2,256.9kJ/kg이다.)
     1. 1.0
     2. 1.2
     3. 1.4
     4. 1.6

     정답 : []
     정답률 : 66%

61. 보일러 외부 청소법 중 수관 보일러에 대한 가장 적합한 기구는?
     1. 슈트 블로어
     2. 워터 쇼킹
     3. 스크랩퍼
     4. 샌드 블라스트

     정답 : []
     정답률 : 70%
     <문제 해설>
슈트블로어 : 증기나 공기를 분사하여 그을름을 제거하는 장치
[해설작성자 : 공부가 싫었어요.]

62. 보일러의 급수처리 방법에 해당되지 않는 것은?
     1. 이온교환법
     2. 증류법
     3. 희석법
     4. 여과법

     정답 : []
     정답률 : 62%

63. 보일러의 고온부식 방지대책으로 틀린 것은?
     1. 회분 개질제를 첨가하여 바나듐의 융점을 낮춘다.
     2. 연료 중의 바나듐 성분을 제거한다.
     3. 고온가스가 접촉되는 부분에 보호피막을 한다.
     4. 연소가스 온도를 바나듐의 융점온도 이하로 유지한다.

     정답 : []
     정답률 : 75%
     <문제 해설>
융점을 낮춘다 -> 높인다
[해설작성자 : .]

64. 다음 중 저온부식의 원인이 되는 성분은?
     1. 휘발성분
     2. 회분
     3. 탄소분
     4. 황분

     정답 : []
     정답률 : 87%
     <문제 해설>
고온-바나듐 저온-황
고바 저황..
[해설작성자 : 21전남 발전설비 마이]

65. 에너지 다소비 사업자는 연료·열 및 전력의 연간 사용량의 합계가 몇 티오이 이상인 자를 말하는가?
     1. 500
     2. 1,000
     3. 1,500
     4. 2,000

     정답 : []
     정답률 : 87%

66. 다음 반응 중 경질 스케일 반응식으로 옳은 것은?
     1. Ca(HCO3)+열 → CaCO3 +H2O + CO2
     2. 3CasO4 + 2Na3PO4 → Ca3(PO4)3 + 3Na2SO4
     3. MgSO4+CaCO3 + H2O → CaSO4+Mg(OH)2 + CO2
     4. MgCO3+H2O → Mg(OH)2 + CO2

     정답 : []
     정답률 : 86%

67. 보일러에서 습증기의 발생으로 증기수송관의 방열 손실로 이어지는 원인이 아닌 것은?
     1. 저수위 운전
     2. 피크(Peak) 부하 발생
     3. 보일러의 저압운전
     4. 보일러수 내에 고형물 과다

     정답 : []
     정답률 : 68%
     <문제 해설>
습증기 발생의 경우 고수위 운전입니다
[해설작성자 : comcbt.com 이용자]

68. 환수관이 고장을 일으켰을 때 보일러의 물이 유출하는 것을 막기 위하여 하는 배관방법은?
     1. 리프트 이음 배관법
     2. 하아트 포드 연결법
     3. 이경관 접속법
     4. 증기 주관 관말 트랩 배관법

     정답 : []
     정답률 : 82%
     <문제 해설>
하아트 포드 연결법 → 하드 포드 연결법
[해설작성자 : 전남폴리텍 발전설비과]

하드 포드 연결법:저압증기 난방에서 환수관을 보일러에 직접 연결할 경우 보일러 수의 역류현상을 방지하기 위하여 사용하는 방식
[해설작성자 : 하트유출]

69. 에너지이용합리화 기본계획을 수립하는 기관의 장은?
     1. 안전행정부장관
     2. 국토교통부장관
     3. 산업통상자원부장관
     4. 고용노동부장관

     정답 : []
     정답률 : 91%

70. 에너지 사용량의 신고 대상인 자가 매년 1월 31일 까지 신고해야 할 사항이 아닌 것은?
     1. 전년도의 수지계산서
     2. 전년도의 에너지이용 합리화 실적
     3. 해당 연도의 에너지 사용 예정량
     4. 에너지 사용기자재의 현황

     정답 : []
     정답률 : 80%

71. 보일러가 급수 부족으로 과열되었을 때의 조치로 가장 적합한 것은?
     1. 급속히 급수하여 냉각시킨다.
     2. 연도 댐퍼를 닫고, 증기를 취출한다.
     3. 연소를 중지하고, 서서히 냉각시킨다.
     4. 소량의 연료 및 연소용 공기를 계속 공급한다.

     정답 : []
     정답률 : 77%

72. 보일러실 내의 유류화재 시 소화설비로 가장 적합한 것은?
     1. 스프링클러 설비
     2. 분말소화 설비
     3. 연결살수 설비
     4. 옥내소화전 설비

     정답 : []
     정답률 : 86%

73. 에너지사용계획을 수립하여 산업통상자원부장관에게 제출하여야 하는 사업주관자에 해 당되지 않는 사업은?
     1. 에너지 개발사업
     2. 관광단지 개발사업
     3. 철도 건설사업
     4. 주택 개발사업

     정답 : []
     정답률 : 84%

74. 다음 ( )안에 각각 들어갈 말은?

    

     1. ㉠ 최대소비효율기준, ㉡최저 사용량기준
     2. ㉠ 적정소비 효율기준, ㉡적정 사용량기준
     3. ㉠ 최저소비효율기준, ㉡최대사용량기준
     4. ㉠ 최대사용량기준, ㉡저소비효율기준

     정답 : []
     정답률 : 90%

75. 보일러 안전밸브에서 증기의 누설 원인으로 틀린 것은?
     1. 밸브와 밸브 시트 사이에 이물질이 존재한다.
     2. 밸브 입구의 직경이 증기 압력에 비해서 너무 작다.
     3. 밸브 시트가 오염되어 있다.
     4. 밸브가 밸브 시트를 균일하게 누르지 못한다.

     정답 : []
     정답률 : 81%

76. 보일러의 만수보존을 실시하고자 할 때 사용되는 약제가 아닌 것은?
     1. 가성소다
     2. 생석회
     3. 히드라진
     4. 아황산소다

     정답 : []
     정답률 : 61%
     <문제 해설>
만수보존을 실시하고자 사용하는 약제는 '가성소다', '히드라진', '아황산소다'가 있다. 생석회는 만수 보존 실시에 쓰이지 않는다.

77. 증기난방의 응축수 환수방법 중 증기의 순환 속도가 가장 빠른 환수방식은?
     1. 진공 환수식
     2. 기계 환수식
     3. 중력 환수식
     4. 강제 환수식

     정답 : []
     정답률 : 89%

78. 어떤 보일러수의 불순물 허용농도가 500ppm이고, 급수량이 1일 50톤이며, 급수 중의 고형물 농도가 20ppm 일 때 분출률은 약 얼마인가?
     1. 2.4%
     2. 3.2%
     3. 4.2%
     4. 5.4%

     정답 : []
     정답률 : 42%
     <문제 해설>
d/r-d*100
20/500-20*100=4.2%

79. 보일러 내처리제 중 가성취화 방지에 사용되는 약제는?
     1. 히드라진
     2. 염산
     3. 암모니아
     4. 인산나트륨

     정답 : []
     정답률 : 54%
     <문제 해설>
가성취화 억제제

1.질산나트륨, 2.인산나트륨, 3.탄닌, 4.리그린

80. 다음 중 2년 이하의 징역 또는 2,000만원 이하의 벌금에 처하는 경우는?
     1. 에너지 저장의 무를 이행하지 아니한 경우
     2. 검사대상기기 조종자를 선임하지 아니한 경우
     3. 검사대상기기의 사용정지 명령에 위반한 경우
     4. 검사대상기기 를 설치하고 검사를 받지 아니하고 사용한 경우

     정답 : []
     정답률 : 74%
     <문제 해설>
2년이하 징역또는 2000만원 이하 벌금 - 간단하게?
1. 저장의무 이행 거부하거나 이행하지 않은 자
2. 수급안정 조치 명령 위반 한 자
3. 비밀을 누설한 자
[해설작성자 : 21전남폴 무적 발전설비과]


정 답 지

1

2

3

4

5

6

7

8

9

10

11

12

13

14

15

16

17

18

19

20

21

22

23

24

25

26

27

28

29

30

31

32

33

34

35

36

37

38

39

40

41

42

43

44

45

46

47

48

49

50

51

52

53

54

55

56

57

58

59

60

61

62

63

64

65

66

67

68

69

70

71

72

73

74

75

76

77

78

79

80

에너지관리산업기사 필기 기출문제(해설) 및 CBT 2014년05월25일을 이용해 주셔서 감사합니다.
, 필기, 기출문제, 전자문제집, CBT, 온라인, 모의테스트, 모의고사



List of Articles
번호 제목 글쓴이 날짜 조회 수
17335 9급 국가직 공무원 응용역학개론 필기 기출문제(해설) 및 CBT 2010년04월10일(10524) 좋은아빠되기 2025.11.26 0
17334 9급 국가직 공무원 응용역학개론 필기 기출문제(해설) 및 CBT 2009년04월11일(10523) 좋은아빠되기 2025.11.26 0
17333 9급 국가직 공무원 응용역학개론 필기 기출문제(해설) 및 CBT 2008년04월12일(10522) 좋은아빠되기 2025.11.26 0
17332 9급 국가직 공무원 사회복지학개론 필기 기출문제(해설) 및 CBT 2019년04월06일(10521) 좋은아빠되기 2025.11.26 0
17331 9급 국가직 공무원 사회복지학개론 필기 기출문제(해설) 및 CBT 2018년04월07일(10520) 좋은아빠되기 2025.11.26 0
17330 9급 국가직 공무원 사회복지학개론 필기 기출문제(해설) 및 CBT 2017년04월08일(10519) 좋은아빠되기 2025.11.26 0
17329 9급 국가직 공무원 사회복지학개론 필기 기출문제(해설) 및 CBT 2016년04월09일(10518) 좋은아빠되기 2025.11.26 0
17328 9급 국가직 공무원 사회복지학개론 필기 기출문제(해설) 및 CBT 2015년04월18일(10517) 좋은아빠되기 2025.11.26 0
17327 9급 국가직 공무원 사회복지학개론 필기 기출문제(해설) 및 CBT 2014년04월19일(10516) 좋은아빠되기 2025.11.26 0
17326 에너지관리산업기사 필기 기출문제(해설) 및 CBT 2018년09월15일(10515) 좋은아빠되기 2025.11.26 0
» 에너지관리산업기사 필기 기출문제(해설) 및 CBT 2014년05월25일(10514) 좋은아빠되기 2025.11.26 0
17324 9급 국가직 공무원 무선공학개론 필기 기출문제(해설) 및 CBT 2012년04월07일(10513) 좋은아빠되기 2025.11.26 0
17323 9급 국가직 공무원 무선공학개론 필기 기출문제(해설) 및 CBT 2011년04월09일(10512) 좋은아빠되기 2025.11.26 0
17322 9급 국가직 공무원 무선공학개론 필기 기출문제(해설) 및 CBT 2010년04월10일(10511) 좋은아빠되기 2025.11.26 0
17321 9급 국가직 공무원 무선공학개론 필기 기출문제(해설) 및 CBT 2009년04월11일(10510) 좋은아빠되기 2025.11.26 0
17320 9급 국가직 공무원 무선공학개론 필기 기출문제(해설) 및 CBT 2008년04월12일(10509) 좋은아빠되기 2025.11.26 0
17319 9급 국가직 공무원 무선공학개론 필기 기출문제(해설) 및 CBT 2007년04월14일(10508) 좋은아빠되기 2025.11.26 0
17318 실내건축산업기사 필기 기출문제(해설) 및 CBT 2019년08월04일(10507) 좋은아빠되기 2025.11.26 0
17317 9급 국가직 공무원 재배학개론 필기 기출문제(해설) 및 CBT 2019년04월06일(10506) 좋은아빠되기 2025.11.26 0
17316 9급 국가직 공무원 재배학개론 필기 기출문제(해설) 및 CBT 2018년04월07일(10505) 좋은아빠되기 2025.11.26 0
Board Pagination Prev 1 ... 287 288 289 290 291 292 293 294 295 296 ... 1158 Next
/ 1158