자격증 필기 기출문제



축산기사 필기 기출문제(해설) 및 CBT 2019년09월21일(10735)

최강 자격증 기출문제 전자문제집 CBT : www.comcbt.com


전자문제집 CBT란?

종이 문제집이 아닌 인터넷으로 문제를 풀고 자동으로 채점하며 모의고사, 오답 노트, 해설까지 제공하는
무료 기출문제 학습 프로그램으로 실제 상설검정에서 사용하는 OMR 형식의 CBT를 제공합니다.


최신 축산기사 필기 기출문제 : [다운로드]

1과목 : 가축육종학


1. 선발지수를 산출할 때 이용하는 통계량이 아닌 것은?
     1. 각 형질 간의 표현형 공분산
     2. 각 형질 간의 표현형 상관계수
     3. 각 형질의 상대적 경제 가치
     4. 각 형질의 추정 생산 능력

     정답 : []
     정답률 : 53%
     <문제 해설>
19-09-1
선발 지수법은 여러 형질이 개량목표에 포함되어 있을 때, 각 형질의 경제적인 가치를 계산하고 이를 각 형질에 대한 가중치로 사용하여 하나의 ‘종합 육종가(aggregate breeding value)’를 산출하고 이를 근거로 선발 하는 방법이다.

선발지수는 하나의 개체에서 측정한 서로 다른 형질에 각 형질의 경제적 가중치를 소려하여 하나의 값 (종합적 육종가) )으로 계산하는 방법
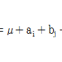
개체의 종합적 육종가(H)는 각 형질별 육종가에 각 형질별 상대적 경제가중치를 곱한 다음 이를 모두 더해서 얻는다.

H=a1g1+a2g2+a3g3+...+angn
a=i번째 형질에 대한 상대적 경제 가중치
g=i번째 형질의 육종가

표현형에 근거하여 개체의 육종가(H) 추정하는 선발지수(I)

I=b1X1+b2X2+...+bnXn
b=i번째 형질에 대한 가중치
X=i번째 형질에 대한 측정치-i번째 형질의 평균

b=p-1Ga

b=선발지수(I)에 대한 가중치 벡터
p=각 형질 간의 표현형분산(공분산) 행렬
G=각 형질간의 유전분산(공분산) 행렬
a=각 형질에 대한 상대적 경제 가중치
[해설작성자 : 뒷산클라이머]

선발지수 산출방법
1.각 형질간 표현형분산
2.각 형질간 표현형 공분산 또는 표현형 상관계수
3.각 형질간 유전공분산 또는 유전상관계수
4.각 형질의 유전력 또는 상가적 유전분산
5.상대적 경제가치(통계량)
[해설작성자 : 풀풀]

2. 요크셔(Yorkshire)종과 폴라드차이나(Poland China)종간 1대 잡종 돼지의 모색은?
     1. 흑색
     2. 적색
     3. 갈색
     4. 백색

     정답 : []
     정답률 : 85%
     <문제 해설>
백색종 요크셔
흑색에 6백색(기본은 흑색이지만 얼굴, 네다리, 꼬리 끝은 백색) 폴란드차이나
돼지는 백색이 우성
[해설작성자 : 한달전벼락치기]

3. 총산란 수를 검정 개시 시 생존한 닭의 마리 수로 나눈 것은?
     1. 성성숙
     2. 산란율
     3. 산란지수(hen housed production)
     4. 일계산란율(hen day production)

     정답 : []
     정답률 : 76%
     <문제 해설>
아래와 같은 오류 신고가 있었습니다.
여러분들의 많은 의견 부탁 드립니다.
추후 여러분들의 의견을 반영하여 정답을 수정하도록 하겠습니다.
참고로 정답 변경은 오류 신고 5회 이상일 경우 수정합니다.

[오류 신고 내용]
헨데이 아닌가요?

헨데이 = 생존 마리수로
헨하우스 = 초기 입식 마리수로
[해설작성자 : 123]

[오류신고 반론]
헨하우스산란수(Hen-housed egg production)란 일정기간 내의 총산란수를 그 기간의 최초의 입식 닭마리수로 나눈 값을 말한다

[오류신고 반론]
헨데이산란율: 일정기간의 총산란수를 기간 내 매일 생존암탉수로 나눈것
산란지수(헨 하우스): 일정기간의 총산란수를 그 기간 최초의 마릿수로 나눈것
[해설작성자 : 애몽]

[오류신고 반론]
검정개시라는 말이 나오면 헨하우스가 맞습니다. 검정개시라는 말 없고 갱신개념으로 나오면 헨데이라고 하네요
[해설작성자 : ㅇㅈㅎ]

4. 닭의 산육 능력 개량에 관계하는 형질로 가장 적절한 것은?
     1. 산란강도
     2. 동기휴산성
     3. 취소성
     4. 체형

     정답 : []
     정답률 : 49%
     <문제 해설>
산육능력: 소, 돼지, 닭 등 가축의 고기 생산 능력
[해설작성자 : 한국사랑]

산육능력 : 소, 돼지, 닭 등 가축의 고기 생산 능력
산란강도 : 연속 산란 일수의 장단을 의미
동기 휴산성 : 동기(11월~3월0에 휴산성이 없거나 1주일 이내인 닭이 다산성이다.
취소성 : 알을 품는 성질로 PRL과 연관되며포란과 육추를 하는 습성이다. 이 성질이 없는 것이 다산성
[해설작성자 : 뒷산클라이머]

5. 브로일러 생산을 위한 이상적인 종계의 교배체계는?
     1. 육용종(♀)×육용종(♂)
     2. 육용종(♀)×겸용종(♂)
     3. 겸용종(♀)×육용종(♂)
     4. 산란종(♀)×육용종(♂)

     정답 : []
     정답률 : 61%
     <문제 해설>
육계(肉鷄)란 고기를 얻기 위해 사육되는 실용계의 한 종류를 말하며 사육 목적에 따른 닭의 분류중에 육용종(肉用種)에 속한다. 영어로 broiler(브로일러)인데 그 뜻은 '구이용닭' 이다. 국내에서는 대략 30일 내외의 기간동안 사육된후 출하되며 출하시 생체중량은 평균 1.5kg 이다. 가슴살이 두툼하고 다리가 짧으며 통통한것이 특징이다.

본 문제는 우수한 브로일러 생산이 아닌
많은 브로일러 생산을 위한 교배 방법에 대해 묻고 있다.
따라서 산란율이 높고 고기생산량이 떨어지지 않는 겸용종 암닭과
고기생산량이 많은 육용종 수컷을 교배하는 3번이 정답
[해설작성자 : 뒷산 클라이머]

6. 젖소의 유지 생산량에 있어 A계통의 일반조합능력이 +10kg, B계통의 일반조합능력이 +20kg이고, 두 계통간의 교배에 의한 자손의 평균 능력이 +15kg이라면 두 계통간의 특정조합능력은?
     1. -15kg
     2. 0kg
     3. 10kg
     4. 15kg

     정답 : []
     정답률 : 52%
     <문제 해설>
a+b+(특정조합)=자손
10+20+(-15)=15
[해설작성자 : 바밤바]

평균능력-(A계통능력+B계통능력)
= 15 - (10 + 20)
= 15 - 30
= - 15
[해설작성자 : ㅇㅈㅎ]

10+5+x= 15
따라서 x=-15
[해설작성자 : 잘풀리면좋겠소]

아래와 같은 오류 신고가 있었습니다.
여러분들의 많은 의견 부탁 드립니다.
추후 여러분들의 의견을 반영하여 정답을 수정하도록 하겠습니다.
참고로 정답 변경은 오류 신고 5회 이상일 경우 수정합니다.

[오류 신고 내용]
일반조합능력으로 기대되는 자손의 능력 = (10 + 20) / 2 = 15kg
실제 자손의 능력은 15kg이므로, 특정조합능력은 0kg 입니다.
따라서 정답은 2번, 0kg 입니다.
[해설작성자 : nllab]

7. 유전력이 높은 형질 개량에 가장 효과적인 선발방법은?
     1. 후대검정
     2. 가계선발
     3. 개체선발
     4. 혈통선발

     정답 : []
     정답률 : 75%
     <문제 해설>
유전력이 높은 형질 개량에 효과적인 선발방법은 개체선발
유전력이 낮은 형질 개량에 효과적인 선발방법은 혈통선발
[해설작성자 : 쏭압쥐]

8. 한 가지 형질이 일정 기준의 개량량에 도달할 때까지 선발하고 그 다음에는 제2, 제3의 형질로 넘어가는 형태의 선발법은?
     1. 독립도태법
     2. 순차적선발법
     3. 선택지수법
     4. 혈통선발법

     정답 : []
     정답률 : 89%

9. 한 개체에 대하여 특정 형질이 반복하여 발현되고 측정될 수 있다면 동일한 개체에 대해 측정된 기록 간에 상관관계가 형성되는데, 이에 해당하는 상관계수는?
     1. 육종가
     2. 유전력
     3. 반복력
     4. 유전상관

     정답 : []
     정답률 : 77%

10. 집단 내 이형접합체의 비율을 높게 하는 교배 방법은?
     1. 계통교배
     2. 형매간교배
     3. 품종간교배
     4. 조손간교배

     정답 : []
     정답률 : 68%
     <문제 해설>
이형접합체의 비율을 높게 하는 것은 잡종교배이다
계통교배, 형매간교배, 조손간교배는 순종교배
품종간교배는 잡종교배에 해당한다
[해설작성자 : 쏭압쥐]

11. 돼지 생산에 있어 모돈의 잡종강세와 자돈의 잡종강세를 모두 이용할 수 있는 교배 방법은?
     1. 무작원 교배
     2. 순종교배
     3. 2품종 종료교배
     4. 3품종 종료교배

     정답 : []
     정답률 : 84%

12. 동일한 품종 내에서 서로 다른 2개의 근교계통간 교배에 의하여 생산된 1대 잡종은?
     1. 톱교잡종(topcross)
     2. 이품종톱교잡종(topcrossbred)
     3. 동품종근친통간교잡종(incross)
     4. 이품종근친계통간교잡종(incrossbred)

     정답 : []
     정답률 : 66%
     <문제 해설>
- 톱교잡종 : 근교 계통의 수가축과 근교되지 않은 암가축 교배로 생산된 1대 잡종
- 이품종톱교잡종 : 서로 다른 두 개의 품종의 근교계통 수가축과 근교되지 않은 암가축 교배로 생긴 1대 잡종
- 동품종근친통간교잡종 : 동일한 품종 내에서 서로 다른 2개의 근교계통간 교배에 의하여 생산된 1대 잡종
- 이품종근친계통간교잡종 : 다른 품종 내 2대의 다른 근교계통간 교뱌에 의해 생산된 1대 잡종
[해설작성자 : 바밤바]

13. 유우의 유전적 개량에서 유전 전달 경로 중 선발 강도가 가장 낮은 경로는?
     1. 암소-암소(dam to dam)
     2. 암소-수소(dam to sire)
     3. 수소-암소(sire to dam)
     4. 수소-수소(sire to sire)

     정답 : []
     정답률 : 70%
     <문제 해설>
수컷 종축의 유전자가 후세대로 많이 전달되므로, 우수한 수컷 종축이 필요합니다.
[해설작성자 : 냐암암]

14. 홀스타인종의 유량을 조사한 다음 어미소와 딸소가 함께 조사된 것들만 골라 어미소에 관한 딸소의 회귀계수(b)를 계산하였더니 0.15이었다. 이 결과로 유전력을 추정한다면 유량에 관한 유전력은?
     1. 0.15
     2. 0.25
     3. 0.30
     4. 0.45

     정답 : []
     정답률 : 75%
     <문제 해설>
유전력=회귀계수x2
0.15x2=0.30

15. 한우 집단의 3개월령 체중에 대한 집단의 평균이 50kg이고 선발군의 평균이 56kg일 때 선발차는?
     1. 6kg
     2. 56kg
     3. 62kg
     4. 106kg

     정답 : []
     정답률 : 87%

16. 돼지의 경제형질에 해당하지 않는 것은?
     1. 유량
     2. 복당 산자수
     3. 이유 시 체중
     4. 이유 후 성장률

     정답 : []
     정답률 : 87%
     <문제 해설>
돼지의 경제형질
한배새끼수(litter size) -유전력 0.05~0.5
이유시체중 -유전력 0.1~0.2
이유후성장률 -유전력 0.24~0.4
사료효율 -유전력 0.3~0.4
도체의품질 :도체장, 배최장근단면적, 도체율, 정육률, 등지방두께 등 -유전력 0.4~0.6
[해설작성자 : 한달뒤시험벼락치기]

17. 변이의 크기를 측정하는 값이 아닌 것은?
     1. 평균
     2. 분산
     3. 범위
     4. 표준편차

     정답 : []
     정답률 : 62%
     <문제 해설>
평균은 집단의 표현형가를 대표
분산,범위,표준편차는 변이측정
[해설작성자 : 축산기사합격기원]

18. 우모 발생 속도가 조우성인 닭과 만우성인 닭을 교배할 때, 우모 발생 속도의 유전 방식은?
     1. 종성유전
     2. 반성유전
     3. 융합유전
     4. 득성유전

     정답 : []
     정답률 : 68%
     <문제 해설>
만우성은 반성유전을 하며, 조우성에 대해 우성이어서 깃털 발생속도로 병아리의 성감별이 가능하다.
[해설작성자 : 문과전공자]

19. 돼지에서 나타나는 잡종강세 현상이 아닌 것은?
     1. 잡종 종빈돈의 산자능력이 우수하다.
     2. 잡종 자돈의 이유 시 체중이 순종보다 가볍다.
     3. 잡종은 순종에 비하여 이유 후 성장이 빨라 일당증체량이 높다.
     4. 잡종 자돈의 사산비율이 낮고, 출생 시 활력이 강하여 이유 시까지의 생존율이 높다.

     정답 : []
     정답률 : 85%

20. 암소를 개량하는 데 있어 개량 속도가 가장 빠를 것으로 예상되는 형질은?
     1. 산유량
     2. 유지량
     3. 유지율
     4. 수태당 종부 횟수

     정답 : []
     정답률 : 65%
     <문제 해설>
유지율은 고도의 유전력을 가지기 때문에 개체선발로 인한 빠른 시간 내의 개량이 가능하기 때문이다.
[해설작성자 : 람파]

2과목 : 가축번식생리학


21. 번식 장해를 일으키는 원인으로 옳지 않은 것은?
     1. 영양 장해
     2. 해부학적 결함
     3. 유전적 원인
     4. 젖소의 성질

     정답 : []
     정답률 : 82%

22. 소에서 프로스타글란딘(prostaglandin)의 중요한 기능으로 옳은 것은?
     1. 황체 형성
     2. 임신 유지
     3. 자궁 근육 수축
     4. 프로게스테론(progesterone) 분비 촉진

     정답 : []
     정답률 : 61%
     <문제 해설>
1.황체 형성 -황체형성 H (LH)
2.임신유지- 황체호르몬(프로게스테론)
3.자궁근육 수축- 프로스타 글란딘,옥시토신
4.프로게스테론 분비 촉진- 에스트로겐
[해설작성자 : 뒷산클라이머]

23. 수소의 성성숙과 가장 관련성이 큰 호르몬은?
     1. 프로락틴(prolactin)
     2. 테스토스테론(testosterone)
     3. 프로게스테로롤(progesterone)
     4. 임마혈청 성선자극호르몬(PMSG)

     정답 : []
     정답률 : 84%
     <문제 해설>
프로락틴: 유즙분비
프로게스테론: 임신유지
임마혈청 성선자극호르몬: 인공 수정 직전에 배란증가 유도
세가지는 암컷과 관련된 호르몬
[해설작성자 : 쏭압쥐]

24. 소의 수정란을 이식하는 기술에 관한 설명으로 옳지 않은 것은?
     1. 비외과적 방법으로 난자를 회수할 경우 배란 후 5~6일경에 채란하는 것이 좋다.
     2. 일반적으로 배반포까지 발달한 것보다 2~8세포기나 상실배를 이식하는 것이 좋다.
     3. 이식하고자 하는 수정란의 일령이 수란우의 배란 후 일수와 일치하지 않으면 임신율이 매우 저하된다.
     4. 수정란의 형태적 이상은 이식 후의 임신율을 저하시킨다.

     정답 : []
     정답률 : 79%
     <문제 해설>
2. 선지분석
배반포기가 가장 좋다
[해설작성자 : 한국사랑]

25. 수정란 이식으로 얻을 수 있는 가장 큰 장점은?
     1. 단위 가격당 가축 생산 두수 증대
     2. 단위 시간당 가축 생산 두수 증대
     3. 종모축의 유전자 이용률 증대
     4. 우수 종빈축의 유전자 이용률 증대

     정답 : []
     정답률 : 71%

26. 제1차 성숙분열이 완성되기 전에 배란이 일어나는 동물은?
     1.
     2.
     3.
     4. 돼지

     정답 : []
     정답률 : 63%

27. 수정란 이식에 대한 설명으로 옳지 않은 것은?
     1. 우수한 암가축의 자축을 많이 생산할 수 있다.
     2. 외국에서 도입 시 가축 대신 수정란을 수송하여 경비를 절감할 수 있다.
     3. 계획적인 가축 생산이 불가능하다.
     4. 세대 간격을 단축할 수 있다.

     정답 : []
     정답률 : 85%

28. 젖소의 난소에 황체낭종이 발생하여 발정이 일어나지 않을 경우에 치료제로 가장 적합한 호르몬은?
     1. 임부융모성 성선자극호르몬(hCG)
     2. 프로게스테론(progesterone)
     3. 황체형성호르몬(LH)
     4. 프로스타글란틴(prostaglandin F2a)

     정답 : []
     정답률 : 62%
     <문제 해설>
황체퇴행H인 PGF2a를 투여 황체를 퇴행시켜 새로운 황체를 유기 시킨다.
[해설작성자 : 뒷산클라이머]

29. 소의 발정 주기에서 평균적으로 배란이 일어나는 시기는?
     1. 발정 개시 후 10~11시간
     2. 발정 개시 후 22~24시간
     3. 발정 종료 후 10~11시간
     4. 발정 종료 후 22~24시간

     정답 : []
     정답률 : 68%

30. 소의 잡종교배 시, 자손의 성성숙 도달일령은 어떻게 변하는가?
     1. 순종에 비하여 늦어진다.
     2. 순종에 비하여 빨라진다.
     3. 순종과 큰 차이가 없다.
     4. 번식계절과 온도에 따라 크게 달라진다.

     정답 : []
     정답률 : 76%
     <문제 해설>
잡종을 종빈우로 사용할 시 성성숙 도달일령이 빨라진다
[해설작성자 : 쏭압쥐]

31. 정자 발생 과정에서 감수분열이 일어나는 시기는?
     1. A1형 정원세포→A2형 정원세포
     2. A2형 정원세포→중간형 정원세포
     3. B형 정원세포→제1차 정모세포
     4. 제1차 정모세포→제2차 정모세포

     정답 : []
     정답률 : 80%

32. 비유에 관한 설명으로 옳지 않은 것은?
     1. 프로락틴(prolactin)은 유선포의 분비상피 세포에 직접 작용한다.
     2. 비유 유지에 필요한 옥시토신(oxytocin)은 뇌하수체 전엽에서 분비된다.
     3. 비유동물의 부신을 제거하면 비유는 현저하게 감소된다.
     4. 갑상선 호르몬은 비유에 관여한다.

     정답 : []
     정답률 : 78%
     <문제 해설>
2.옥시토신은 뇌하수체 후엽에서 분비된다.

33. 정자에서 유전자(DNA)를 함유하고 있는 부위는?
     1. 두부(head)
     2. 경부(neck)
     3. 종부(tail)
     4. 중편부(middle piece)

     정답 : []
     정답률 : 83%

34. 수정란 채취와 채란 과정에 대한 설명으로 옳지 않은 것은?
     1. 채란된 수정란은 발육 상태와 형태적 이상 여부를 검사하여야 한다.
     2. 수정란 채취는 외과적 방법으로만 실시한다.
     3. 다배란 처리를 위해 난포자극호르몬(FSH)을 사용할 수 있다.
     4. 임마혈청 성선자극호르몬(PMSG)을 공란우의 발정 주기 8~15일 사이에 주사한다.

     정답 : []
     정답률 : 81%

35. 공란우의 수정란을 회수하는 외과적 방법으로 적합한 것은?
     1. 자궁관류법, 난관관류법
     2. 난관관류법, 전기자극법
     3. 전기자극법, 자궁관류법
     4. 난관관류법, 마사지법

     정답 : []
     정답률 : 71%

36. 번식 장해와 관련된 설명으로 옳지 않은 것은?
     1. 난자가 노화함에 따라 수정력과 생존배를 만드는 능력이 저하될 수 있다.
     2. 저수태(repeat breeders)의 가장 큰 원인은 수정란 또는 배아의 조기 사망이다.
     3. 번식 장해란 생식을 영구적으로 할 수 없는 불임증만을 의미한다.
     4. 번식 장해는 부적절한 사양 관리로 인해 발생할 수 있다.

     정답 : []
     정답률 : 85%

37. 뇌하수체 전엽에서 분비되는 호르몬은?
     1. 성장호르몬(GH)
     2. 성선자극호르몬 방출호르몬(GnRH)
     3. 프로락틴 억제인자(PRIF)
     4. 임부융모성 성선자극호르몬(hCG)

     정답 : []
     정답률 : 66%
     <문제 해설>
성장 호르몬은 전엽
성선자극호르몬 방출 호르몬과 프로락틴 억제인자는 시상하부
임부융모성 성선자극호르몬은 태반

38. 성선자극호르몬(GTH)에 관한 설명으로 옳지 않은 것은?
     1. 난포자극호르몬(FSH)은 난소에서 난포발달을 촉진한다.
     2. 황체형성호르몬(LH)은 암가축의 배란을 유발하며, 황체 형성 기능을 갖고 있다.
     3. 성선에 작용하는 스테로이드(steroid)계 호르몬이다.
     4. 황체형성호르몬(LH)은 수가축의 고환에서 테스토스테론의 합성을 촉진한다.

     정답 : []
     정답률 : 70%
     <문제 해설>
성선자극호르몬은 뇌하수체 전엽에서 분비되며 성 관련 호르몬이다
[해설작성자 : 합격시켜줘]

3, 단백질계 호르몬이다.
[해설작성자 : 찐감자]

39. 배반포 착상에 필요한 자궁 변화를 일으키며 자궁의 비대에 필요한 교원질을 공급해주는 기능을 하는 호르몬은?
     1. 프로락틴(prolactin)
     2. 소마토스타틴(somatostatin)
     3. 프로게스테론(progesterone)
     4. 성장호르몬(growth hormone)

     정답 : []
     정답률 : 67%

40. 형태학적으로 궁부성 태반의 형태를 지닌 동물은?
     1. 돼지
     2. 토끼
     3.
     4.

     정답 : []
     정답률 : 72%
     <문제 해설>
궁부성 태반은 주로 반추동물이 이러한 태반을 가지고 있다

[추가 해설]
태반 융모막의 분포에 따른 태반 :
- 산재형 태반 : 융모막 융모가 모든 곳에 산재 (말, 돼지)
- 궁부형 태반 : 자궁소구와 맞닿는 부분만 융모막 형성 (소 양 사슴)
- 대상태반 : 융모가 태낭의 적도면에 띠 모양으로 형성 ( 개 고양이)
- 반상태반 : 태포의 일부분에 융모막 융모 ( 토끼 설치류 영장류)
[해설작성자 : 뒷산클라이머]

3과목 : 가축사양학


41. 필수 아미노산인 페닐알라닌을 대체할 수 있는 것은?
     1. 타이로신(tyrosine)
     2. 시스틴(cystine)
     3. 프롤린(proline)
     4. 알라닌(alaninr)

     정답 : []
     정답률 : 57%
     <문제 해설>
페닐알라닌 - 타이로신으로 대체 가능
메티오닌 - 시스틴으로 대체 가능

42. 수용성 비타민 중 쌀겨와 밀기울 같은 곡류부산물에 많이 있으며, 결핍 시 다발성 신경염인 각약증과 맥박 수 감소 증상 등이 나타나는 물질은?
     1. 티아민
     2. 리보플라빈
     3. 니코틴산
     4. 판토텐산

     정답 : []
     정답률 : 50%
     <문제 해설>
티아민
- 쌀겨에서 얻어낸 항각기성 인자
- 생리적 기능과 결핍증: 각약증(다발성 신경염), 각기병, 신경염 발생, 소화기장애, 식욕감퇴, 성장률 감퇴
[해설작성자 : C1]

43. 일반 조성분에 포함되지 않는 것은?
     1. 조단백질
     2. 가용무질소물
     3. 조섬유
     4. 세포벽물질(CWC)

     정답 : []
     정답률 : 82%

44. 다음 자료 중 조단백질 함량이 가장 높은 것은?
     1. 채종박
     2. 대두박
     3. 아마박
     4. 이자박

     정답 : []
     정답률 : 82%
     <문제 해설>
대두박36-50%
면실박35-45%
임자박(들깨)40%
아마박30-35%
[해설작성자 : 블링]

45. 펠렛(pellet) 사료에 관한 설명으로 옳지 않은 것은?
     1. 사료 섭취량을 감소시킨다.
     2. 사료 제조 과정 중 열에 약한 병원성 세균 및 독성 물질이 파괴된다.
     3. 사료 내 비타민의 이용성을 향상한다.
     4. 사료의 취급 및 수송이 용이해진다.

     정답 : []
     정답률 : 79%
     <문제 해설>
아래와 같은 오류 신고가 있었습니다.
여러분들의 많은 의견 부탁 드립니다.
추후 여러분들의 의견을 반영하여 정답을 수정하도록 하겠습니다.
참고로 정답 변경은 오류 신고 5회 이상일 경우 수정합니다.

[오류 신고 내용]
문제가 이상한 것 같은데 펠렛사료는 고온 증기로 가열해서 비타민 이용성을 저하시키지 않나요?
[해설작성자 : comcbt.com 이용자]

[추가 오류 신고]
핵심 171페이지 비타민 파괴로 나와있습니다
섭취량 증가포함 이중답 처리해야 할 것 같아요
[해설작성자 : 빅스]

[오류신고 반론]
펠렛 사료는 조/농 가루 사료를 열과 증기로 가압하며 만든 사료 입니다. 열과 증기로 인해 열에 약한 피타민이 파괴됩니다. 그러나 가공 후 사료를 급여한 후 이용성에 대해서는 가공처리가 되어있기 때문에 가공 전보다 소화흡수율이 좋습니다. 이용성이 좋다는 말이 되겠네요. 따라서 3번은 맞는 답입니다.
[해설작성자 : Hand]

46. 강정 사양에 대한 설명으로 옳은 것은?
     1. 교배하기 전에 에너지 섭취량을 증가시켜 주는 것
     2. 교미 전에 휴식시키는 것
     3. 시장에 출하하기 직전에 비육하는 것
     4. 도살 직전에 급여 및 급수를 중단하는 것

     정답 : []
     정답률 : 75%
     <문제 해설>
강정사양: 종부 2~3주간 영양소를 많이 급여하는 사양방법
=> 일반적으로 배란수 증가, 발정 촉진, 임신율 증가 등의 효과가 있음
[해설작성자 : comcbt.com 이용자]

47. 지용성 비타민에 해당하지 않는 것은?
     1. 비타민 A
     2. 비타민 B
     3. 비타민 D
     4. 비타민 E

     정답 : []
     정답률 : 83%
     <문제 해설>
수용성 비타민은 B와 C가 있다. 나머지 비타민은 전부 지용성
[해설작성자 : 뒷산클라이머]

지용성 비타민 A. D. .E. K.
[해설작성자 : comcbt.com 이용자]

48. 수용성 비타민이 체내에서 생합성되기 때문에 사료에 비타민을 필수적으로 공급해 줄 필요가 없는 동물은?
     1.
     2.
     3.
     4. 돼지

     정답 : []
     정답률 : 78%
     <문제 해설>
반추위 동물은 체내 미생물이 수용성비타민을 합성 한다.
[해설작성자 : 뒷산클라이머]

49. 산란 전 예비사료(pre-lay diet)를 설명한 내용으로 옳은 것은?
     1. 칼슘 함량이 1%이며 모계의 산란율이 0.5%일 때부터 5%가 될 때까지 급여한다.
     2. 칼슘 함량이 1%이며, 모계의 산란율이 1%일 때부터 2%가 될 때까지 급여한다.
     3. 칼슘 함량이 2%이며, 모계의 산란율이 0.5%일 때부터 1%가 될 때까지 급여한다.
     4. 칼슘 함량이 2%이며, 모계의 산란율이 2%일 때부터 10%가 될 때까지 급여한다.

     정답 : []
     정답률 : 58%
     <문제 해설>
산란율 0.5%까지 칼슘 1%의 육성사료 급여
산란율 0.5~1%까지 칼슘 2%의 산란 전 예비사료 급여
산란율 1% 이상 칼슘 3.5~4.1% 사료 급여
[해설작성자 : C1]

50. 위에서 주로 분비되는 단백질 분해 효소는?
     1. 펩신(pepsin)
     2. 아밀라아제(amylase)
     3. 트립신(trypsin)
     4. 카르복시펩티다아제(carboxypeptidase)

     정답 : []
     정답률 : 80%
     <문제 해설>
아밀라아제 : 췌장에서 분비되는 전분분해효소
트립신 : 췌장에서 분비되는 단백질 분해효소
카르복시펩티다아제 : 췌장에서 분비되는 펩티드 분해효소
[해설작성자 : bb]

51. 소의 복부 왼쪽에 위치하고 있으며, 내부는 근대에 의하여 배낭, 복낭으로 나뉘고 2개의 후맹낭으로 이루어진 위는?
     1. 제1위
     2. 제2위
     3. 제3위
     4. 제4위

     정답 : []
     정답률 : 67%

52. 가축이 탄수화물을 소화하는 데 관여하는 요소는?
     1. 리파아제(lipase)
     2. 프로테아제(protease)
     3. 아밀라아제(amylase)
     4. 펩티다아제(pepticdase)

     정답 : []
     정답률 : 77%
     <문제 해설>
1.리파아제(lipase)-지방
2.프로테아제(protease)-단백질
3.아밀라아제(amylase)-탄수화물
4.펩티다아제(pepticdase)-단백질
[해설작성자 : 뒷산클라이머]

53. 사료의 소화율을 간접 방법으로 평가할 때 외부 지시제(external marker)로 사용되는 물질은?
     1. 리그닌
     2. 크로모겐
     3. 실리카
     4. 산화크롬

     정답 : []
     정답률 : 63%

54. 사료첨가제로 이용할 수 있는 생균제의 조건으로 적합하지 않은 것은?
     1. 장 내에 정착하여 생존하고 유해 세균과 경합하여 우점하여야 한다.
     2. 생산하고 쉽고 보존성이 길며, 품질관리가 잘 되어야 한다.
     3. 병원성이 있어야 한다.
     4. 위산이나 소화 효소에 대한 내성이 있고, 사료 가공 과정에서 파괴되지 않아야 한다.

     정답 : []
     정답률 : 85%

55. 유기 축산에 대한 설명으로 옳지 않은 것은?
     1. 유기 사료의 공급은 필수적이다.
     2. 질병 관리는 치료보다는 예방 위주로 해야 한다.
     3. 가축 복지를 고려한 사양을 해야 하며 축종에 따른 적절한 사육 조건을 만족시켜야 한다.
     4. 항생제와 합성 항균제가 첨가된 사료를 급여하여야 한다.

     정답 : []
     정답률 : 79%
     <문제 해설>
항생제, 합성항균제, 성장촉진제, 호르몬제 등을 사용하지 않아야 한다.
[해설작성자 : 재사용봉투]

56. 유지율이 3.5%인 우유 40kg을 유지율보정유(FCM)로 환산한 값은?
     1. 33kg
     2. 35kg
     3. 37kg
     4. 39kg

     정답 : []
     정답률 : 66%
     <문제 해설>
유지율보정유(FCM)는 대부분 4% 유지율보정유(FCM)를 뜻하며, 유지율보정유(FCM)을 구하는 공식은

(0.4*유생산량(kg))+(15*유지방량(kg))
=(0.4*유생산량(kg))+(15*(유생산량(kg)*유지율))
=(0.4*40)+(15*(40*0.035))
=16+(15*1.4)
=16+21
=37

따라서, 답은 3번
[해설작성자 : 안알랴줌]

57. 70%의 총 TDN(가소화 영양분)을 함유한 대두박과, 84%의 TDN을 함유한 옥수수를 배합하여 TDN 함량이 78%인 사료를 만들고자 할 때, 대두박과 옥수수를 각각 몇 %씩 섞어야 하는가?
     1. 대두박:57.14%, 옥수수:42.86%
     2. 대두박:41.98%, 옥수수:58.02%
     3. 대두박:58.02%, 옥수수:41.98%
     4. 대두박:42.86%, 옥수수:57.14%

     정답 : []
     정답률 : 56%
     <문제 해설>
대두박 x , 옥수수 y
x+y= 1 (%이므로)
70x + 84y = 78


    70x + 70y = 70
- 70x + 84y = 78
ㅡㅡㅡㅡㅡㅡㅡㅡㅡ
-14y = 8

y= 0.5714...
[해설작성자 : 뚝앤딱]

대수방정식(한가지 영양소만 맞추어줄 때)
x+y=100
        0.84x+0.84y=84
    -)0.84x+0.70y=78
-------------------------
                        0.14y= 6
     y=6/14=0.42. 42%    x=100-42=58     근사값으로 4번
[해설작성자 : comcbt.com 이용자]

58. 포유자돈을 조기 이유시키는 주원인은?
     1. 이유 후 모돈의 재발정이 빨리 오기 때문
     2. 자돈의 사료비가 절약되기 때문
     3. 자돈의 관리가 쉬워지기 때문
     4. 자돈의 설사병을 방지할 수 있기 때문

     정답 : []
     정답률 : 77%

59. 돼지의 체중 범위 중 단백질 요구량이 가장 적은 것은?
     1. 5~10kg
     2. 10~20kg
     3. 20~50kg
     4. 100~150kg

     정답 : []
     정답률 : 67%

60. 육계의 체중이 1~2kg일 때 사료 요구율이 2.2라면, 체중이 1kg인 육계 100마리가 체중이 2kg까지 자라는 데 소요되는 사료의 양은?
     1. 100kg
     2. 150kg
     3. 200kg
     4. 220kg

     정답 : []
     정답률 : 78%
     <문제 해설>
사료 요구율=사료 급여량/증체량
사료 효율= 증체량/사료 급여랑

4과목 : 사료작물학 및 초지학


61. 다년생 복초 또는 재생을 하는 1년생 사료작물의 수확 후 재생을 위해 보유하여야 하는 주요 저장 양분은?
     1. 탄수화물
     2. 지방
     3. 비타민
     4. 무기율

     정답 : []
     정답률 : 77%
     <문제 해설>
겨울을 나기 위해서 필요한 탄수화물을 관부에 저장함
[해설작성자 : comcbt.com 이용자]

62. 벼 대신 논에서 여름철 재배를 할 때 생산성 측면에서 가장 적합한 사료작물은?
     1. 율무
     2. 진주조
     3. 이탈리안 라이그라스
     4. 수수×수단 그라스 교잡종

     정답 : []
     정답률 : 70%

63. 다음 설명의 ()안에 들어갈 용어로 알맞은 것은?

    

     1. 젖산균
     2. 초산균
     3. 낙산균
     4. 효로

     정답 : []
     정답률 : 77%

64. 수단 그라스계 목초 종자를 파종한 사료작물포에 소를 방목시키려 한다. 청산 중독의 위험이 가장 큰 상황은?
     1. 비가 내린 뒤
     2. 질소비료 시비 직후
     3. 기온이 따뜻할 때
     4. 초장이 150cm 이상 자랐을 때

     정답 : []
     정답률 : 62%
     <문제 해설>
수단그라스는 초장이 1.2m 이상 될 때 이용하여야 한다. 이보다 키가 작을 때에는 호흡곤란을 일으키는 청산중독의 위험이 따른다. 청산은 심한 가뭄, 서리 내린 후, 다량의 질소질 비료시용 등에 의해 높아지므로 주의가 필요하다. 그러나 청산 함량은 햇빛(건조)에 의해 크게 감소되기 때문에 한나절 건조시키면 안심하고 급여할 수 있다.
[해설작성자 : 뒷산클라이머]

65. 우리나라 산지 토양의 특성으로 옳지 않은 것은?
     1. 산성 토양
     2. 유기물의 부족
     3. 높은 유효인산 함량
     4. 낮은 양이온 교환용량

     정답 : []
     정답률 : 74%

66. 우리나라에서 실제로 이용할 수 없는 작부체계는?
     1. 여름작물:사료용 옥수수, 겨울작물:호밀
     2. 여름작물:수수×수단 그라스, 겨울작물:이탈리안 라이그라스
     3. 여름작물:자운영, 겨울작물:사료용 옥수수
     4. 여름작물:사료용 옥수수, 겨울작물:보리

     정답 : []
     정답률 : 63%
     <문제 해설>
옥수수는 겨울에 재배 할수 없다.
[해설작성자 : 뒷산클라이머]

67. 알팔파에 대한 설명으로 옳지 않은 것은?
     1. 뿌리의 버대가 좋고 근류를 갖는다.
     2. 줄기의 목질화가 심하고 건조에 약하다.
     3. 잎이 부드럽고 기호성이 좋다.
     4. 자색과 황색의 꽃을 피운다.

     정답 : []
     정답률 : 70%
     <문제 해설>
알팔파는 건조한 기후에서도 잘 자람
[해설작성자 : 쏭압쥐]

68. 초기 조성 시 불경운초지 개량이 경운초지 개량에 비해서 유리한 점이 아닌 것은?
     1. 조성 시 파종 비용이 적게 든다.
     2. 초지의 목양력 증가가 빠르다.
     3. 토양 침식 위험이 작고 토양 유실량이 적다.
     4. 1년생 잡초의 침입을 줄여 준다.

     정답 : []
     정답률 : 49%
     <문제 해설>
불경운초지에서는 초지의 목양력 증가가 느린 편이다
[해설작성자 : 쏭압쥐]

69. 종자 생산을 위한 수정이 트랩핑(tripping)현상에 의해 이루어지는 초종은?
     1. 레드 클로버
     2. 매듭풀
     3. 라디노 클로버
     4. 알팔파

     정답 : []
     정답률 : 61%
     <문제 해설>
tripping = 벌에 의한 수분 작용
[해설작성자 : 축산과학생]

70. 다년생 화본과 및 다년생 콩과(두과) 작물로 옳게 짝지어진 것은?
     1. 톨페스큐, 매듭풀
     2. 수단 그라스, 자운영
     3. 오차드 그라스, 알팔파
     4. 이탈리안 라이그라스, 스위트 클로버(Hubam종)

     정답 : []
     정답률 : 67%
     <문제 해설>
아래와 같은 오류 신고가 있었습니다.
여러분들의 많은 의견 부탁 드립니다.
추후 여러분들의 의견을 반영하여 정답을 수정하도록 하겠습니다.
참고로 정답 변경은 오류 신고 5회 이상일 경우 수정합니다.

[오류 신고 내용]
오차드 그라스는 벼과 작물이므로 옳은 답이 아닙니다. 정답이 없습니다.
[해설작성자 : 한국사랑]

[오류신고 반론]
오차드그라스 화본과 다년생 식물 맞습니다
[해설작성자 : 콥]

[오류신고 반론]
오차드그라스는 벼과(=화본과) 작물이 맞고 다년생 식물이며, 알팔파는 콩과(=두과) 작물로 다년생 식물입니다. 답은 3번입니다.
[해설작성자 : ㅇㅈㅎ]

71. 중국에서 비래하는 해충으로 비래성충의 발생최성기는 5월 하순~6월 상순이며, 잎을 갉아 먹고 줄기만 남겨 화본과에 큰 피해를 주는 해충은?
     1. 애멸구
     2. 검정풍뎅이
     3. 멸강나방
     4. 진딧물

     정답 : []
     정답률 : 74%

72. 콩과(두과) 사료 작물들의 근류균주들이 상호 접종될 수 있는 조합은?
     1. 알팔파-헤어리 베치
     2. 화이트 클로버-청예대두
     3. 알팔파-스위트 클로버
     4. 강낭콩-루핀

     정답 : []
     정답률 : 56%

73. 십자화과로 분류되는 초종은?
     1. 수수
     2. 호밀
     3. 유채
     4. 화이트 클로버

     정답 : []
     정답률 : 77%
     <문제 해설>
1.수수-화본
2.호밀-화본
3.유채-십자화
4.화이트 클로버-두과
[해설작성자 : 뒷산클라이머]

74. 제초지 작물 중 건초용으로 적합한 사료 작물은?
     1. 티모시, 이탈리안 라이그라스
     2. 켄터키 블루그라스, 달리스 그라스
     3. 페레니얼 라이그라스, 콤먼 베치(common vetch)
     4. 화이트 클로버, 메도우 페스큐(meadow fescue)

     정답 : []
     정답률 : 69%

75. 초생재배에 대한 설명으로 가장 알맞은 것은?
     1. 다른 작물이 자랄 수 없는 곳에 녹화사업만을 위해 재배되는 것을 말한다.
     2. 과수원, 뽕나무밭 등의 공간에 목초 또는 사료 작물을 재배하는 것을 말한다.
     3. 늦가을 녹사료의 공급을 위해 파종된 초지에서 재배하는 것을 말한다.
     4. 사료 작물과 목초만을 교대로 재배하는 것을 말한다.

     정답 : []
     정답률 : 57%

76. 윤환방목에 대한 설명으로 옳지 않은 것은?
     1. 유목기간에 초세유지가 가능하다.
     2. 윤환방목지의 풀을 고르게 이용하는 것이 가능하다.
     3. 선택채식의 기회가 적어 초지의 황폐화를 초래하는 경우가 적다.
     4. 목책시설 비용과 가축관리에 필요한 노동력이 연속방목보다 적게 소요된다.

     정답 : []
     정답률 : 61%
     <문제 해설>
윤환방목(Rotational grazing)

초지를 몇 개의 목구로 구분하여 순차적으로 윤환하여 가면서 방목하는 방법으로 가장 일반적인 방법이다. 야초지를 이용하여 생산성이 낮은 지역에서는 목구를 적게 나누어 연속방목에 가까운 형태로, 목초지로서 생산량이 높고 집약적인 유지관리가 가능한 경우에는 목구를 여러 개로 나누어 집약적으로 이용한다
[해설작성자 : 뒷산클라이머]

77. 목초를 혼파 재배할 때 유리한 점이 아닌 것은?
     1. 목초 관리가 쉽고 초종간 경합이 줄어든다.
     2. 콩과(두과)와 화본과 혼파 시 균형 있는 양분의 풀을 가축에게 공급할 수 있다.
     3. 상ㆍ하번초 혼파 시 초종 간의 공간 이용에 있어서 경합을 줄일 수 있다.
     4. 토양 중의 양분을 효율적으로 이용할 수 있다.

     정답 : []
     정답률 : 72%

78. 옥수수를 수확하여 사일리지를 조제하려고 건물 함량을 측정하니 24%로 너무 낮아 곡분(건물률 90%)을 첨가하여 건물 햠랑을 30%로 만들어 사일리지를 조제하려고 한다. 건물 함량이 24%인 옥수수가 1톤이라면 건물 함량이 90%인 곡분의 첨가량은 얼마인가?
     1. 60kg
     2. 100kg
     3. 120kg
     4. 240kg

     정답 : []
     정답률 : 46%
     <문제 해설>
(30-24)/(90-30)=6/60=0.1
1000kg x 0.1 = 100kg
[해설작성자 : bb]

(목표 수분-현재 수분)/(수분조절재-목표 수분)*1,000
[해설작성자 : 유월]

79. 옥수수 사일리지 조제 방법 중 가장 좋은 조건은?
     1. 수분함량을 40%, pH를 4.5로 맞추어 밀폐한다.
     2. 수분함량을 40%, pH를 6.5로 맞추어 공기가 잘 통하게 한다.
     3. 수분함량을 70%, pH를 4.5로 맞추어 밀폐한다.
     4. 수분함량을 70%, pH를 6.5로 맞추어 공기가 잘 통하게 한다.

     정답 : []
     정답률 : 70%

80. 사료 작물 선택 시 고려하여야 할 사항이 아닌 것은?
     1. 기호성
     2. 건물수량
     3. 사료 가치
     4. 부숙도

     정답 : []
     정답률 : 70%

81. 가경력(arability)이 있는 토지에 관한 설명으로 옳지 않은 것은?
     1. 배수가 잘되는 토지
     2. 보수력이 강한 토지
     3. 암반과 자갈이 많은 토지
     4. 경토가 깊고 심토가 좋은 토지

     정답 : []
     정답률 : 80%
     <문제 해설>
-가경력: 작물 경작할 수 있는 능력
따라서, 암반과 자갈이 많은 토지는 적합하지 않습니다.
[해설작성자 : 바밤바]

82. 생산여건은 변하지 않았는데 축산물 가격이 올라가고 사료 가격은 내려가게 되면 어떻게 되는가?
     1. 총(조)수입은 줄어들고 경영비는 늘어난다.
     2. 총(조)수입은 늘어나고 경영비는 줄어든다.
     3. 총(조)수입과 경영비가 다 같이 줄어든다.
     4. 총(조)수입과 경영비가 다 같이 늘어난다.

     정답 : []
     정답률 : 82%

83. 경영계획에 대한 진단 중 이익계획에 대한 진단에 해당되는 것은?
     1. 손익분기점 산출상의 문제점
     2. 경영자본의 연도별 조달계획의 타당성
     3. 총투자액 중 시설투자의 비율과 타당성
     4. 장기계획과 단기계획 상호간 조화의 타당성

     정답 : []
     정답률 : 60%

84. 노동에 대한 대가가 농업노임이 아니라 경영성과로 얻어지는 소득의 원친이 되는 노동력은?
     1. 자가 노동력
     2. 연고 노동력
     3. 일고 노동력
     4. 청부 노동력

     정답 : []
     정답률 : 71%

85. 다음 중 고정자본재에 해당하는 것은?
     1. 사료
     2. 산란계
     3. 비육돈
     4. 브로일러

     정답 : []
     정답률 : 68%

86. 양계경영의 주요 기술지표가 아닌 것은?
     1. 산란율
     2. 사육 마리 수
     3. 육성률
     4. 난중

     정답 : []
     정답률 : 44%
     <문제 해설>
사육 마리 수는 경영규모를 나타냄.
[해설작성자 : C1]

87. 유사비에 관한 설명으로 옳은 것은?
     1. 유대에 대한 사료비의 비율
     2. 사료비에 대한 우유생산량의 비율
     3. 유내에 대한 섭취조사료량의 비율
     4. 우유생산량에 대한 사료비의 비율

     정답 : []
     정답률 : 53%
     <문제 해설>
유사비: 원유 판매가에서 사료비가 차지하는 비율
[해설작성자 : 쏭압쥐]

88. 육계에 대한 사료급여량(X)과 출하 시의 체중(Y)과의 관계가 Y=1+0.5X-0.25X2이고, 육계용 사료가격(RX)이 kg당 250원, 육계출하가격(PY)이 kg당 1000원이라면 수익이 최대가 되는 사료투입수준은?
     1. 0.5kg
     2. 1.0kg
     3. 1.5kg
     4. 2.0kg

     정답 : []
     정답률 : 38%
     <문제 해설>
적정 자원 투입수준의 결정 수식은 육계에 대한 사료 급여량과 출하 시의 체중의 관계한 공식에서 미분을 해주면 값이 나온다.
미분을 하면 0.5-0.5X=Y`이고 Y`값은 유계용 사료가격/육계출하가격이다.(250/1000=0.25) 이걸 대입하면
0.5-0.5x=0.25이기 때문에 x=0.5가 나온다.
[해설작성자 : 익명]

89. 쇠고기의 수매단계 판매에서 의무적으로 등급표시를 해야 하는 부위가 아닌 것은?
     1. 양지
     2. 우둔
     3. 갈비
     4. 채끝

     정답 : []
     정답률 : 71%
     <문제 해설>
안심, 등심, 채끝, 양지, 갈비는 의무적으로 표시를 해야한다.
[해설작성자 : 람파]

90. 축산경영 성과분석의 지표가 될 수 없는 것은?
     1. 생산비율
     2. 축산순수익
     3. 자기자본이자
     4. 가족노동보수

     정답 : []
     정답률 : 35%

91. 염지액 인젝션 과정에서 주의 사항으로 옳지 않은 것은?
     1. 염지액 온도는 원료육의 온도와 동일하게 4~8℃로 유지한다.
     2. 육속에 공기 혼입이 되지 않도록 염지액의 기포를 제거한다.
     3. 염지액 투입량은 원료육 중량의 40% 정도가 적당하다.
     4. 원하는 양의 염지액이 투입되도록 투입전과 후의 중량을 측정하여 투입한다.

     정답 : []
     정답률 : 74%
     <문제 해설>
염지 주사법에서 염지액 주사량은 원료의 10% 정도 중량이다
[해설작성자 : 뒷산클라이머]

92. 골격근에 관한 설명으로 옳지 않은 것은?
     1. 골격, 혈관벽, 소화기관이나 생식기관에 많이 함유되어 있다.
     2. 수의근이며 근육의 수축과 이완 등 동물의 운동을 수행하는 기관이다.
     3. 골격근 조직은 근섬유와 결합조직, 혈관, 신경섬유, 지방세포 및 임파절로 구성되어 있다.
     4. 골격근은 근육 내에 에너지원을 저장하고 있기 때문에 식품으로서 가치가 매우 높다.

     정답 : []
     정답률 : 53%
     <문제 해설>
골격근은 뼈나 힘줄에 붙어 골격을 움직이는 근육으로, 소화기관/생식기관/혈관벽에 많이 함유되어있진 않음
[해설작성자 : 쏭압쥐]

93. 자축의 도축 후에 나타나는 근육 내 사후 변화가 아닌 것은?
     1. pH 저하
     2. 젖산 생성
     3. ATP 생성
     4. 사후 경직

     정답 : []
     정답률 : 76%
     <문제 해설>
사후에는 사이클이 일어나지 않기 때문에 ATP가 생성될 수 없음
[해설작성자 : 삼육머머학생]

94. HACCP에서 식융가공품 가공공정 중 ‘제조공정-위해요인-방지책’의 연결이 잘못된 것은?
     1. 원료육처리-병원성 미생물-미생물 검사
     2. 염지-이물질-염지액의 오염 방지
     3. 포장과 보존-물리적 위해요인-금속탐지기 이용
     4. 세절-화학 물질-제품 보증서 확인

     정답 : []
     정답률 : 70%

95. 아이스크림의 원료가 되는 성분이 아닌 것은?
     1. 지방
     2. 무지유고형분
     3. 유화제
     4. 알부민

     정답 : []
     정답률 : 70%

96. 다음 설명에 해당하는 단백질은?

    

     1. 레티큘린(reticulin)
     2. 콜라겐(collagen)
     3. 축적지방(depot fat)
     4. 근섬유(muscle fiber)

     정답 : []
     정답률 : 70%
     <문제 해설>
여기서 레티큘린은 결합조직(콜라겐, 엘라스틴, 레티큘린) 중 일부입니다.
제3형 콜라겐입니다.
[해설작성자 : 바밤바]

97. 독소형 식중독균으로 옳은 것은?
     1. staphylococcus aureus
     2. Escherlchia coli
     3. Campylobacter
     4. Yersinia enterocolitica

     정답 : []
     정답률 : 57%
     <문제 해설>
1. 독소형 식중독균
-황색포도상구균(Staphylococcus aureus)
-클로스트리디움 보툴리눔(Clostridium botulinum), 클로스트리디움 퍼프린젠스(C. perfringens) 등
2. 감염형 식중독균
보기 중에서 2, 3, 4 -대장균, 캠필로박터, 여시니아는 여기에 속합니다.
[해설작성자 : 바밤바]

98. 근육의 연도를 증진시키는 방법으로 옳지 않은 것은?
     1. 저온 숙성
     2. 온도체 가공
     3. 고온 숙성
     4. 전기자극법

     정답 : []
     정답률 : 53%
     <문제 해설>
근육의 연도를 증진 시키는 방법 : 저온-고온 숙성, 연화제처리, 전기자극법, 도체 현수법
온도체 가공은 도체의 온도가 아직 높은 상태에서, 뼈나 과도한 지방 부분을 제외한 나머지를 가공하는 방법.
[해설작성자 : 행복농장축주]

99. 자연치즈 제조 시 단단한 커드 발생의 원인이 아닌 것은?
     1. 높은 칼슘 농도
     2. 낮은 pH
     3. 단백질 함량을 과도하게 높인 표준화
     4. 응유 과정 중 낮은 벳트 온도

     정답 : []
     정답률 : 56%
     <문제 해설>
4.응용과정 중 낮은 벳트온도
에서 벳트/vat, 바트/용기를 표현한 듯 합니다.
궁금해서 알아봤네요
[해설작성자 : comcbt.com 이용자]

100. 우유의 건강증진효과로 옳지 않은 것은?
     1. 우유를 섭취하면 장에 젖산균의 활동이 증진되어 무기질 흡수가 촉진된다.
     2. 우유 내 비타민A는 피부나 점막을 건강하게 유지시켜 준다.
     3. 식후 우유 섭취는 N-니트로소아민을 활성화시켜 암세포의 성장을 억제한다.
     4. 우유의 칼슘은 치아의 인산칼슘 형성에 도움을 주어 충지 예방에 기여한다.

     정답 : []
     정답률 : 66%
     <문제 해설>
니트로사민 화합물은 발암성
[해설작성자 : 쏭압쥐]


정 답 지

1

2

3

4

5

6

7

8

9

10

11

12

13

14

15

16

17

18

19

20

21

22

23

24

25

26

27

28

29

30

31

32

33

34

35

36

37

38

39

40

41

42

43

44

45

46

47

48

49

50

51

52

53

54

55

56

57

58

59

60

61

62

63

64

65

66

67

68

69

70

71

72

73

74

75

76

77

78

79

80

81

82

83

84

85

86

87

88

89

90

91

92

93

94

95

96

97

98

99

100

축산기사 필기 기출문제(해설) 및 CBT 2019년09월21일을 이용해 주셔서 감사합니다.
, 필기, 기출문제, 전자문제집, CBT, 온라인, 모의테스트, 모의고사



List of Articles
번호 제목 글쓴이 날짜 조회 수
» 축산기사 필기 기출문제(해설) 및 CBT 2019년09월21일(10735) 좋은아빠되기 2025.11.26 0
17534 사회조사분석사 1급 필기 기출문제(해설) 및 CBT 2019년09월21일(10734) 좋은아빠되기 2025.11.26 0
17533 9급 국가직 공무원 형법 필기 기출문제(해설) 및 CBT 2019년04월06일(10733) 좋은아빠되기 2025.11.26 1
17532 9급 국가직 공무원 형법 필기 기출문제(해설) 및 CBT 2018년04월07일(10732) 좋은아빠되기 2025.11.26 1
17531 9급 국가직 공무원 형법 필기 기출문제(해설) 및 CBT 2017년04월08일(10731) 좋은아빠되기 2025.11.26 1
17530 9급 국가직 공무원 형법 필기 기출문제(해설) 및 CBT 2016년04월09일(10730) 좋은아빠되기 2025.11.26 1
17529 9급 국가직 공무원 형법 필기 기출문제(해설) 및 CBT 2015년04월18일(10729) 좋은아빠되기 2025.11.26 1
17528 9급 국가직 공무원 형법 필기 기출문제(해설) 및 CBT 2014년04월19일(10728) 좋은아빠되기 2025.11.26 1
17527 9급 국가직 공무원 형법 필기 기출문제(해설) 및 CBT 2013년07월27일(10727) 좋은아빠되기 2025.11.26 1
17526 9급 국가직 공무원 형법 필기 기출문제(해설) 및 CBT 2012년04월07일(10726) 좋은아빠되기 2025.11.26 1
17525 9급 국가직 공무원 형법 필기 기출문제(해설) 및 CBT 2011년04월09일(10725) 좋은아빠되기 2025.11.26 1
17524 9급 국가직 공무원 행정법총론 필기 기출문제(해설) 및 CBT 2019년04월06일(10724) 좋은아빠되기 2025.11.26 1
17523 9급 국가직 공무원 행정법총론 필기 기출문제(해설) 및 CBT 2018년04월07일(10723) 좋은아빠되기 2025.11.26 1
17522 9급 국가직 공무원 행정법총론 필기 기출문제(해설) 및 CBT 2017년04월08일(10722) 좋은아빠되기 2025.11.26 1
17521 9급 국가직 공무원 행정법총론 필기 기출문제(해설) 및 CBT 2016년04월09일(10721) 좋은아빠되기 2025.11.26 1
17520 9급 국가직 공무원 행정법총론 필기 기출문제(해설) 및 CBT 2015년04월18일(10720) 좋은아빠되기 2025.11.26 1
17519 9급 국가직 공무원 행정법총론 필기 기출문제(해설) 및 CBT 2014년04월19일(10719) 좋은아빠되기 2025.11.26 1
17518 9급 국가직 공무원 행정법총론 필기 기출문제(해설) 및 CBT 2013년07월27일(10718) 좋은아빠되기 2025.11.26 0
17517 9급 국가직 공무원 행정법총론 필기 기출문제(해설) 및 CBT 2012년04월07일(10717) 좋은아빠되기 2025.11.26 0
17516 9급 국가직 공무원 행정법총론 필기 기출문제(해설) 및 CBT 2011년04월09일(10716) 좋은아빠되기 2025.11.26 0
Board Pagination Prev 1 ... 277 278 279 280 281 282 283 284 285 286 ... 1158 Next
/ 1158