자격증 필기 기출문제



통신선로산업기사 필기 기출문제(해설) 및 CBT 2002년09월08일(15353)

최강 자격증 기출문제 전자문제집 CBT : www.comcbt.com


전자문제집 CBT란?

종이 문제집이 아닌 인터넷으로 문제를 풀고 자동으로 채점하며 모의고사, 오답 노트, 해설까지 제공하는
무료 기출문제 학습 프로그램으로 실제 상설검정에서 사용하는 OMR 형식의 CBT를 제공합니다.


최신 통신선로산업기사 필기 기출문제 : [다운로드]

1과목 : 디지털전자회로


1. 트랜지스터의 활성영역에서 베이스 접지시 전류증폭율 α가 0.98, 역포화 전류 Ico가 100[㎂], 베이스 전류가 IB = 10[㎃]일 때, 콜렉터 전류 Ic는?
     1. 495[㎃]
     2. 49.5[㎃]
     3. 4.9[㎂]
     4. 0.5[㎂]

     정답 : []
     정답률 : 43%

2. 플립플롭을 구성하는데 주로 이용되는 회로는?
     1. 쌍안정 멀티바이브레이터
     2. 단안정 멀티바이브레이터
     3. 비안정 멀티바이브레이터
     4. 무안정 멀티바이브레이터

     정답 : []
     정답률 : 100%

3. 다음중 그 값이 작을수록 좋은 것은?
     1. 증폭기 바이어스 회로의 안정계수
     2. 차동 증폭기의 동상신호 제거비(CMRR)
     3. 증폭기의 신호대 잡음비
     4. 정류기의 정류효율

     정답 : []
     정답률 : 10%

4. 정논리회로에서의 다음 트랜지스터 회로의 기능은?

   

     1. OR회로
     2. AND회로
     3. NAND회로
     4. EOR회로

     정답 : []
     정답률 : 50%

5. 전가산기(full adder)의 입출력 구조는?
     1. 입력 2개, 출력 2개
     2. 입력 3개, 출력 2개
     3. 출력 3개, 입력 2개
     4. 출력 3개, 입력 3개

     정답 : []
     정답률 : 알수없음

6. 전원회로에서 무부하시 600[V], 부하시 500[V] 였다면 전압변동률은 얼마인가?
     1. 20%
     2. 30%
     3. 35%
     4. 45%

     정답 : []
     정답률 : 64%

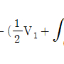
7. 다음 연산 증폭기에서 출력 전압의 크기는?

   

     1. Vo = 100(V2 - V1)
     2. Vo = V2 + V1
     3. Vo = 99(V1 - V2)
     4. Vo = V2 - V1

     정답 : []
     정답률 : 64%

8. 다음 그림의 회로는 무슨 회로인가?

   

     1. 미분기
     2. 적분기
     3. 가산기
     4. 증폭기

     정답 : []
     정답률 : 알수없음

9. 수정발진회로가 갖는 가장 큰 특징은?
     1. 잡음의 경감
     2. 출력의 증대
     3. 효율의 증대
     4. 발진주파수의 안정

     정답 : []
     정답률 : 알수없음

10. 다음은 수정편의 리액턴스 특성이다. 발진에 이용될 주파수 범위는?

    

     1. ωS < ω < ωP
     2. ωP < ω
     3. ωS < ω
     4. ωS > ω > ωP

     정답 : []
     정답률 : 알수없음

11. 변조도가 100[%]인 AM파의 출력 전력이 6[KW]라면 반송파 성분의 전력은 얼마인가?
     1. 2[KW]
     2. 4[KW]
     3. 8[KW]
     4. 12[KW]

     정답 : []
     정답률 : 67%

12. 주파수 3[㎑]로 3[㎒]의 반송파를 주파수 변조하였을때 최대 주파수 편이가 ± 75[㎑]라면 소요 대역폭은?
     1. 225[㎑]
     2. 156[㎑]
     3. 150[㎑]
     4. 112.5[㎑]

     정답 : []
     정답률 : 58%

13. 두개의 입력이 동시에 1 이 되었을 때에도 불확실한 출력상태가 되지 않도록 두개의 Flip-Flop을 사용한 회로는?
     1. RS F-F
     2. D F-F
     3. Master slave F-F
     4. T F-F

     정답 : []
     정답률 : 알수없음

14. R-S Flip-Flop을 J-K Flip-Flop으로 만들고자 할 때 필요한 게이트(gate)는?
     1. OR gate 2개
     2. AND gate 2개
     3. NOR gate 2개
     4. NAND gate 2개

     정답 : []
     정답률 : 알수없음

15. 다음 중 연산 증폭기의 특성과 관련 없는 것은?
     1. 높은 이득
     2. 낮은 CMRR
     3. 높은 입력 임피던스
     4. 낮은 출력 임피던스

     정답 : []
     정답률 : 40%

16. 다음 부울대수식과 등가인 것은?

    

     1. A·B·(A+C)
     2. (A+B)·(A+C)
     3. (A+B)·A·C
     4.

     정답 : []
     정답률 : 40%

17. 발진이 생성될 수 있는 기본조건은?
     1. 회로의 증폭률이 최소 5 이상 필요하다.
     2. 증폭기에 부궤환회로를 부가한다.
     3. 공진결합회로가 필요하다.
     4. 증폭기에 정궤환회로를 부가한다.

     정답 : []
     정답률 : 55%

18. PLL의 구성에 불필요한 것은?
     1. 위상검출기(PD)
     2. 전압제어 발진기(VCO)
     3. 저역통과필터(LPF)
     4. 자동주파수 제어(AFC)

     정답 : []
     정답률 : 40%

19. 다음 논리 회로 중 팬 아웃(fan out)의 수가 많은 회로는?
     1. DTL 게이트
     2. TTL 게이트
     3. RTL 게이트
     4. DL 게이트

     정답 : []
     정답률 : 62%

20. 다음 중 레지스터의 기능은?
     1. 펄스 발생기이다.
     2. 카운터의 대용으로 쓰인다.
     3. 회로를 동기시킨다.
     4. 데이터를 일시 저장한다.

     정답 : []
     정답률 : 알수없음

2과목 : 유선통신기기


21. PCM-24 방식에 있어서 1통화로의 부호와 비트(bits) 수는 어떻게 구성되어 있는가?
     1. 신호 7비트와 음성 1비트로 구성되어 있다.
     2. 신호 1비트와 음성 7비트로 구성되어 있다.
     3. 신호 2비트와 음성 6비트로 구성되어 있다.
     4. 신호 4비트와 음성 4비트로 구성되어 있다.

     정답 : []
     정답률 : 70%

22. 증폭기의 출력파형을 측정한 결과 기본파진폭 100[V], 제 2고조파진폭 4[V], 제 3고조파진폭 3[V]를 얻었다. 왜율은 계산하면?
     1. 3 [%]
     2. 5 [%]
     3. 7 [%]
     4. 10 [%]

     정답 : []
     정답률 : 알수없음

23. 다음은 CATV의 구성품이다. 이들 중 중계전송망을 구성하는 구성품은 어느 것인가?
     1. 헤드엔드(Head-End)
     2. 스튜디오 설비
     3. 가입자 관리설비
     4. 분기증폭기

     정답 : []
     정답률 : 알수없음

24. 호의 회선 점유가 균등하다고 할 때 한 회선에 30분 동안 발생한 호량을 HCS로 나타내면 얼마인가?
     1. 72[HCS]
     2. 36[HCS]
     3. 18[HCS]
     4. 9[HCS]

     정답 : []
     정답률 : 40%

25. 보통 사람의 음성주파수 범위를 옳게 표현한 것은?
     1. 16 - 2400㎐
     2. 300 - 3400㎐
     3. 800 - 5600㎐
     4. 1000 - 7200㎐

     정답 : []
     정답률 : 91%

26. 전화기 다이얼의 임펄스 단속비 측정 방법에서 메이크율을 이용하였다. 평상시에 흐르는 전류를 Io, 임펄스 송출시에 흐르는 전류를 I라 하면 메이크율은 다음 중 어느 것인가?
     1.
     2.
     3. M = (Io - I)× 100[%]
     4. M = (I - Io)× 100[%]

     정답 : []
     정답률 : 알수없음

27. 전전자교환기의 통화로망에서 시분할스위치의 타임슬롯을 할당하기 위한 통화 메모리와 제어 메모리의 내용이 그림과 같을 때, 내부 타임슬롯의 #3에 기입될 데이터는 어느 것인가?

    

     1. 00001011
     2. 00110101
     3. 10001000
     4. 10101100

     정답 : []
     정답률 : 알수없음

28. 전화망에서 통신이 이루어지기 위해서는 신호의 기능이 매우 중요하다. 다음중 중요한 신호의 기능이 아닌것은?
     1. 감시기능
     2. 선택기능
     3. 운용기능
     4. 음성 통화기능

     정답 : []
     정답률 : 알수없음

29. 전자교환기의 기본 구성 내역이 아닌 것은?
     1. 통화로 장치
     2. 제어계 장치
     3. 중계선 정합장치
     4. 무선 송수신 장치

     정답 : []
     정답률 : 70%

30. 다음중에서 교환기의 통화로계 분류에 포함되지 않는 것은?
     1. 위상 분할방식
     2. 주파수 분할방식
     3. 공간 분할방식
     4. 시 분할방식

     정답 : []
     정답률 : 73%

31. TDX-10 교환기의 space-switch(s-sw)의 용량은?
     1. 32 × 32
     2. 48 × 48
     3. 64 × 64
     4. 16 × 16

     정답 : []
     정답률 : 알수없음

32. 일반 통화로의 트래픽 밀도가 15[Erl], 평균 보류시간이 200초 일 때 가해진 호수는 얼마인가?
     1. 150 개
     2. 200 개
     3. 270 개
     4. 320 개

     정답 : []
     정답률 : 39%

33. 전송회로에서 절대 레벨에 대한 설명으로 알맞지 않은 것은?
     1. 전원의 유기전압이 0.775[V]인 전압 레벨
     2. 부하양단에 걸리는 전압이 0.775[V]인 전압 레벨
     3. 회로에 흐르는 전류는 1.291[mA]이다
     4. 전원의 유기전압은 0.775[V]×2=1.55[V]이다.

     정답 : []
     정답률 : 알수없음

34. PCM 전송에서 아나로그에서 디지털 펄스화 하는 과정을 나열하였다. 빈칸을 채우시오.

    

     1. 압축, 신장
     2. 표본화, 동기화
     3. 표본화, 양자화
     4. 양자화, 동기화

     정답 : []
     정답률 : 알수없음

35. No.4ESS 교환기와 같은 프로세서를 쓰는 교환기는?
     1. M-10CN
     2. No 5ESS
     3. No 1AESS
     4. No 2ESS

     정답 : []
     정답률 : 알수없음

36. 전화기 종류중 자석식과 공전식의 특징을 설명한 것중 맞지 않는 것은?
     1. 유도 선륜의 공통점은 평형 결선 망과 같이 측음방지 회로에 구성 되어 있다.
     2. 공전식 전화기는 송화기의 저항 변화에 의하여 단자전압이 변한다.
     3. 유도 선륜은 자석식에서는 1,2 차를 분리하여 사용한다.
     4. 공전식에서는 송화기를 선로에서 분리하여 코일의 권선비를 크게 한다.

     정답 : []
     정답률 : 알수없음

37. 교환국의 수를 N이라 하고 망상망(그물형 네트워크 :Mesh Network)의 경로의 수를 Rs 라고 하면 Rs의 식은?
     1. Rs = N - 1
     2. Rs = N(N - 1)
     3. Rs = N + 1
     4. Rs = N(N-1)/2

     정답 : []
     정답률 : 70%

38. 유럽식(CEPT)디지털 계위 (PDH- Plesiochoronous Digital Hierarchy)와 전송속도가 서로 맞지 않는 것은?
     1. E0 - 64 Kbps
     2. E1 - 2.048 Mbps
     3. E2 - 8.448 Mbps
     4. E3 - 44.736 Mbps

     정답 : []
     정답률 : 알수없음
     <문제 해설>
E3: 34.368 Mbps        E4: 139.264 Mbps
[해설작성자 : 궁]

39. 탄소형 송화기의 탄소저항은 사용 년수가 길어짐에 따라 어떻게 변하는가?
     1. 증가한다.
     2. 감소한다.
     3. 일정하다.
     4. 불규칙하다.

     정답 : []
     정답률 : 73%

40. 다음 그림은 수화기의 어떤 특성곡선을 나타낸 것인가?

    

     1. 고정임피던스곡선
     2. 동임피던스곡선
     3. 자유임피던스곡선
     4. 주파수특성곡선

     정답 : []
     정답률 : 46%

3과목 : 전송선로개론


41. 공기 주입기의 건조공기 생산과정의 순서는?
     1. 팽창 → 건조 → 압축
     2. 팽창 → 압축 → 냉동
     3. 압축 → 팽창 → 냉동
     4. 압축 → 냉동 → 팽창

     정답 : []
     정답률 : 50%

42. 분포 정수회로에서 직렬 임피이던스를 課,병렬 어드미턴스를 耆라 할때 선로의 전파정수는 어느 것인가? (문제 오류로 정확한 내용을 아시는 분께서는 오류신고를 통하여 내옹 작성 부탁 드립니다. 정답은 1번입니다.)
     1.
     2.
     3.
     4.

     정답 : []
     정답률 : 알수없음

43. 다음중 PCM 통신방식의 특징이 아닌 것은?
     1. 파형왜곡 잡음에 대하여 강하다.
     2. 협대역 전송선로로 사용함이 적합하다.
     3. 통신의 비밀이 유지된다.
     4. 단국장치에 고급 필터가 불필요하다.

     정답 : []
     정답률 : 64%

44. 광섬유에서 빛이 통과하는 주통로는?
     1. 코아(core)
     2. 크래드(clad)
     3. 코아(core)와 크래드(clad)
     4. 코아(core)와 크래드(clade) 경계면

     정답 : []
     정답률 : 알수없음

45. 동축케이블 선로의 저항에 대한 감쇠량 α 는 사용주파수 f와 어떠한 관계가 있는가?
     1. α 는 f에 정비례한다.
     2. α 는 f의 평방근에 비례한다.
     3. α 는 f의 제곱에 반비례한다.
     4. α 는 f에 관계없이 항상 일정하다.

     정답 : []
     정답률 : 알수없음

46. 전송단위인 [㏈m]과 관계없는 것은?
     1. 1[㎽]
     2. 0.775[V]
     3. 1.72[Ω ]
     4. 1.29[㎃]

     정답 : []
     정답률 : 알수없음

47. 통신선로의 전력유도 방지책으로서 부적절한 것은?
     1. 양선로의 상호 거리를 최대한 멀리한다.
     2. 양선로를 가능한한 평행을 유지하도록 한다.
     3. 금속 차폐된 선로를 사용한다.
     4. 대지 평형도를 개선한다.

     정답 : []
     정답률 : 58%

48. 잡음전압측정기의 전압레인지를 20에 두었을 때 잡음전압계의 지시가 0.8[mV]이면 실제의 잡음전압값은?
     1. 26[mV]
     2. 16[mV]
     3. 2.6[mV]
     4. 1.6[mV]

     정답 : []
     정답률 : 37%

49. 폼스킨케이블의 특성이 아닌 것은?
     1. 비음성 신호의 전송에만 적합하도록 개발되었다.
     2. 심선절연을 위해 발포폴리에치렌을 피복하였다.
     3. 심선피복에 색상을 입혀 심선대조가 용이하다.
     4. 젤리충진형과 젤리비충진형이 있다.

     정답 : []
     정답률 : 50%

50. 전송선로의 위상속도 Vp는? (단, ω : 각주파수 β : 위상정수 R, L,C : 단위 길이당 저항, 인덕턴스, 커패시턴스)
     1. Vp = ω β
     2. Vp = ω β /(R+L+C)
     3. Vp =1/RC
     4. Vp =1/√LC

     정답 : []
     정답률 : 알수없음

51. 국간 중계 케이블에 있어서 사용 주파수가 높고 특성 임피이던스가 낮을 때에는 어떤 누화가 발생되는가?
     1. 정전결합에 의한 누화
     2. 전자결합에 의한 누화
     3. 간접누화
     4. 복소누화

     정답 : []
     정답률 : 34%

52. 전화 케이블의 내부에 삽입되어 있는 테이프의 기능에 대한 설명들로 적합하지 않은 것은?
     1. 종이 테이프는 케이블 코어를 압권(壓卷)해서 흩어지는 것을 방지한다.
     2. 고무 테이프는 케이블의 외피를 압출(押出) 피복시키는 공정에서 받는 열을 차단한다.
     3. 강(鋼) 테이프는 습기 침투방지 및 외력에 의한 기계적인 보호와 전자차폐등의 역할을 한다.
     4. 알루미늄 테이프는 산화방지 및 심선 상호간의 누화현상을 방지한다.

     정답 : []
     정답률 : 43%

53. 전송선로의 특성 임피이던스가 50[Ω ]이고 부하저항이 200[Ω]일때 이 전송계의 전압 정재파비는 얼마인가?
     1. 1
     2. 2
     3. 3
     4. 4

     정답 : []
     정답률 : 알수없음

54. 광통신에 사용되는 광선의 성질에 대해서 기술한 내용 중 맞지 않는 것은?
     1. 광선은 직진한다.
     2. 광선의 진행은 가역적이다.
     3. 광선은 다른 광선의 존재와 유관하다.
     4. 광선의 입사각도와 반사각도는 같고, 동일한 평면내에 있다.

     정답 : []
     정답률 : 54%

55. 지하선로시설의 관로방식에서 표준 지하관로는?
     1. 콘크리트관
     2. 흄관
     3. 합성수지관
     4. 강철관

     정답 : []
     정답률 : 55%

56. 광케이블의 절단면에서 보면 가운데에 중심 지지선이 있는데 이의 사용 목적으로 알맞은 것은?
     1. 광심선의 케이블내 움직임을 방지하기 위하여
     2. 광심선의 심층 구분을 위하여
     3. 광심선의 기계적 강도를 보강하기 위하여
     4. 광심선의 접속을 용이하게 하기 위하여

     정답 : []
     정답률 : 70%

57. 광섬유에 대한 다음 설명중 잘못된 것은 어느 것인가?
     1. 다중 모드 광섬유의 코어 직경은 125[㎛]정도이다.
     2. 단일 모드와 다중 모드로 크게 구분할 수 있다.
     3. 1.3[㎛]파장대에서 분산 특성이 가장 양호이다.
     4. 코어를 크래드가 둘러싸고 있는 단면 구조를 갖는다.

     정답 : []
     정답률 : 50%

58. 디지틀 신호방식에 가장 적합한 케이블은?
     1. 스탈페스(ST)케이블
     2. 웰만델(WT)케이블
     3. 스크린(SC)케이블
     4. 피브씨절연(PVC)케이블

     정답 : []
     정답률 : 알수없음
     <문제 해설>
스크린(SC) 케이블 특징 : 스크린 차폐 동선 -> 잡음에 강함, 아날로그/저속,중속 전송용
웰만델(WT) 케이블 특징 : 디지털 전송용 동선, 고속 전송에 적합
즉, 3번이 아닌 2번이 맞음
[해설작성자 : 이재준]

59. 케이블 반송중계기의 간격을 결정하는데 중요하지 않은 것은?
     1. 중계기의 출력레벨
     2. 중계증폭기의 잡음지수
     3. 전송선로의 손실
     4. 선로의 군지연 의곡

     정답 : []
     정답률 : 알수없음

60. 다중 모드 광섬유 케이블의 접속손실과 가장 큰 관련이 있는 광섬유 특성은?
     1. 내부손실
     2. 대역폭
     3. 클래딩 직경
     4. 코아 직경

     정답 : []
     정답률 : 55%

61. 기간통신사업자가 전기통신업무에 제공되는 선로 등을 설치하기 위하여 타인의 토지 등의 사용에 관하여 틀리게 기술된 것은?
     1. 사유의 토지를 사용하는 경우에는 소유자 또는 점유자와 사전 협의하여야 한다.
     2. 토지 등의 사용, 출입시 발생하는 손실은 보상하여야한다.
     3. 사유의 토지 등을 사용하는 경우에는 그에 대한 보상을 하지 않는다.
     4. 토지 등의 사용에 대한 협의가 성립되지 않는 경우에는 토지수용법이 정하는바에 의하여 사용할 수 있다.

     정답 : []
     정답률 : 77%

62. 마이크로프로세서의 주소지정방식중 옳지 않은 것은?
     1. 즉치주소방식(immediate addressing)
     2. 간접주소방식(indirect addressing)
     3. 참조주소방식(reference addressing)
     4. 인덱스주소방식(indexing addressing)

     정답 : []
     정답률 : 알수없음

63. 관로 및 케이블을 철도· 고속도로의 횡단구간등 특수한 구간에 매설하는 경우 지면에서 관로상단까지의 거리는 얼마 이상 유지함이 적합한가?
     1. 20[cm] 이상
     2. 60[cm] 이상
     3. 100[cm] 이상
     4. 150[cm] 이상

     정답 : []
     정답률 : 28%

64. 컴퓨터 시스템 성능 평가 요인들 중 해당되지 않는 것은?
     1. program size
     2. reliability
     3. throughput
     4. turnaround time

     정답 : []
     정답률 : 80%

65. 전기통신 기본법의 제정 목적과 관계가 깊은 것은?
     1. 조세수입 증대
     2. 공공복리 증진
     3. 사업의 적정기도
     4. 경영의 효율적 관리

     정답 : []
     정답률 : 알수없음

66. 다음 중 통신위원회의 기능이 아닌 것은?
     1. 전기통신사업자간 공정한 경쟁환경의 조성
     2. 통신역무 이용자의 권익보호에 관한 사항의 심의
     3. 중요통신정책의 수립· 시행에 관한 사항의 의결
     4. 전기통신사업자간 분쟁의 알선

     정답 : []
     정답률 : 10%

67. ASCII 코드에서 존(ZONE) 비트로 사용되는 비트의 수는?
     1. 1
     2. 2
     3. 3
     4. 4

     정답 : []
     정답률 : 39%

68. 정보통신공사업을 영위하고자 하는 자는 어떤 절차를 거쳐야 하는가?
     1. 정보통신부장관의 허가를 받아야 한다.
     2. 정보통신부장관에게 등록하여야 한다.
     3. 한국정보통신공사협회장에게 신고하여야 한다.
     4. 통신위원회의 승인을 얻어야 한다.

     정답 : []
     정답률 : 19%

69. 컴퓨터 시스템에서 명령형식을 보통 1-주소방식, 2-주소방식, 3-주소방식으로 분류하는 기준이 되는 것은?
     1. 기억 장치의 용량
     2. 명령어의 수
     3. 오퍼랜드의 수
     4. 레지스터의 수

     정답 : []
     정답률 : 알수없음

70. 발주자로부터 공사를 도급받은 공사업자를 무엇이라고 하는가?
     1. 도급
     2. 하도급
     3. 수급인
     4. 하수급인

     정답 : []
     정답률 : 알수없음

71. 서브루틴에 대한 설명으로 틀린 것은?
     1. 자주 사용되는 일련의 프로그램은 서브루틴으로 구성한다.
     2. 인터럽트 발생시의 처리프로그램은 서브루틴으로 구성한다.
     3. 일반적으로 I/O 프로그램은 서브루틴으로 구성한다.
     4. 부프로그램은 주프로그램과 동시에 수행되도록 서브루틴으로 구성한다.

     정답 : []
     정답률 : 알수없음

72. 전화망의 음량손실의 객관적 척도는?
     1. 통화당량
     2. 음량정격
     3. 라우드네스
     4. 통화품질

     정답 : []
     정답률 : 34%

73. 다음 중에서 일반적으로 프로그램을 수행하는데 필요하지 않는 장치는 어느 것인가?
     1. 보조기억장치
     2. 연산장치
     3. 제어장치
     4. 기억장치

     정답 : []
     정답률 : 92%

74. 정보통신부장관이 전기통신기술 진흥을 위하여 수립 시행하는 시행계획에 포함되지 않는 것은?
     1. 전기통신 기술의 연구, 개발에 관한 사항
     2. 새로운 전기통신기술 및 전기통신방식의 채택에 관한 사항
     3. 전기통신기술의 국제 협력에 관한 사항
     4. 정보제공의 규정에 의한 기준의 승인에 관한 사항

     정답 : []
     정답률 : 알수없음

75. 입출력장치와 마이크로프로세서 사이의 접속장치(Interface)에서 악수하기 (Handshaking)라는 뜻은?
     1. CPU의 병렬데이터를 I/O장치에 맞추어 직렬 데이터로 변환하기
     2. CPU와 I/O 장치 사이의 제어신호 교환하기
     3. I/O장치의 전압높이를 CPU에 맞추기
     4. CPU가 사용하지 않는 버스를 I/O 장치에서 제어하기

     정답 : []
     정답률 : 알수없음

76. 정보통신부장관은 전기통신역무의 전부 또는 일부의 제한 또는 정지를 명하였을 때 그 제한 또는 정지의 범위 및 정도에 따라 제일 먼저 통화 시킬 수 있는 역무는?
     1. 군사 및 치안 업무
     2. 외국 공관 업무
     3. 의료 기관 업무
     4. 재해 구호 업무

     정답 : []
     정답률 : 알수없음

77. 2진수 0111을 그레이 코드(Gray code)로 바꾸면 무엇인가?
     1. 1010
     2. 0100
     3. 0000
     4. 1111

     정답 : []
     정답률 : 75%

78. 전자계산기에서 계산속도가 빠른 단위 순서대로 나열된 것은?
     1. ps-ns-μs-ms
     2. μs-ps-ns-ms
     3. ms-μs-ns-ps
     4. ms-ns-μs-ps

     정답 : []
     정답률 : 60%

79. 선로설비의 회선 상호간 절연저항은 얼마이어야 하는가?
     1. 500[V] 절연저항계로 측정하여 10[MΩ ] 이상일 것
     2. 50[V] 절연저항계로 측정하여 100[MΩ ] 이상일 것
     3. 5000[V] 절연저항계로 측정하여 1[MΩ ] 이상일 것
     4. 100[V] 절연저항계로 측정하여 10[MΩ ] 이상일 것

     정답 : []
     정답률 : 67%

80. 선형 리스트중 마지막으로 입력한 자료가 제일 먼저 출력되는 LiFO(Last in first out)구조는?
     1. 트리
     2. 스택
     3.
     4. 섹터

     정답 : []
     정답률 : 55%


정 답 지

1

2

3

4

5

6

7

8

9

10

11

12

13

14

15

16

17

18

19

20

21

22

23

24

25

26

27

28

29

30

31

32

33

34

35

36

37

38

39

40

41

42

43

44

45

46

47

48

49

50

51

52

53

54

55

56

57

58

59

60

61

62

63

64

65

66

67

68

69

70

71

72

73

74

75

76

77

78

79

80

통신선로산업기사 필기 기출문제(해설) 및 CBT 2002년09월08일을 이용해 주셔서 감사합니다.
, 필기, 기출문제, 전자문제집, CBT, 온라인, 모의테스트, 모의고사



List of Articles
번호 제목 글쓴이 날짜 조회 수
21915 리눅스마스터 1급 필기 기출문제(해설) 및 CBT 2022년03월12일(15357) new 좋은아빠되기 2025.11.26 0
21914 통신선로산업기사 필기 기출문제(해설) 및 CBT 2003년05월25일(15356) new 좋은아빠되기 2025.11.26 0
21913 통신선로산업기사 필기 기출문제(해설) 및 CBT 2003년03월16일(15355) new 좋은아빠되기 2025.11.26 0
» 통신선로산업기사 필기 기출문제(해설) 및 CBT 2002년09월08일(15353) new 좋은아빠되기 2025.11.26 0
21911 통신선로산업기사 필기 기출문제(해설) 및 CBT 2002년05월26일(15352) new 좋은아빠되기 2025.11.26 0
21910 통신선로산업기사 필기 기출문제(해설) 및 CBT 2002년03월10일(15351) new 좋은아빠되기 2025.11.26 0
21909 설비보전기사 필기 기출문제(해설) 및 CBT 2022년03월05일(15349) new 좋은아빠되기 2025.11.26 0
21908 건설안전기사 필기 기출문제(해설) 및 CBT 2022년03월05일(15348) new 좋은아빠되기 2025.11.26 0
21907 공조냉동기계기사 필기 기출문제(해설) 및 CBT 2022년03월05일(15346) new 좋은아빠되기 2025.11.26 0
21906 인간공학기사 필기 기출문제(해설) 및 CBT 2022년03월05일(15345) new 좋은아빠되기 2025.11.26 0
21905 산업위생관리기사 필기 기출문제(해설) 및 CBT 2022년03월05일(15344) new 좋은아빠되기 2025.11.26 0
21904 대기환경기사 필기 기출문제(해설) 및 CBT 2022년03월05일(15343) new 좋은아빠되기 2025.11.26 0
21903 건축설비기사 필기 기출문제(해설) 및 CBT 2022년03월05일(15342) new 좋은아빠되기 2025.11.26 0
21902 에너지관리기사 필기 기출문제(해설) 및 CBT 2022년03월05일(15341) new 좋은아빠되기 2025.11.26 0
21901 식품산업기사(구) 필기 기출문제(해설) 및 CBT 2008년07월27일(15340) new 좋은아빠되기 2025.11.26 0
21900 가스기사 필기 기출문제(해설) 및 CBT 2022년03월05일(15339) new 좋은아빠되기 2025.11.26 0
21899 유기농업기사 필기 기출문제(해설) 및 CBT 2022년03월05일(15338) new 좋은아빠되기 2025.11.26 0
21898 정보처리기사 필기 기출문제(해설) 및 CBT 2022년03월05일(15337) new 좋은아빠되기 2025.11.26 1
21897 산림기사 필기 기출문제(해설) 및 CBT 2022년03월05일(15335) new 좋은아빠되기 2025.11.26 0
21896 전기공사기사 필기 기출문제(해설) 및 CBT 2022년03월05일(15334) new 좋은아빠되기 2025.11.26 0
Board Pagination Prev 1 ... 58 59 60 61 62 63 64 65 66 67 ... 1158 Next
/ 1158