자격증 필기 기출문제



육상무선통신사 필기 기출문제(해설) 및 CBT 2008년03월30일(15800)

최강 자격증 기출문제 전자문제집 CBT : www.comcbt.com


전자문제집 CBT란?

종이 문제집이 아닌 인터넷으로 문제를 풀고 자동으로 채점하며 모의고사, 오답 노트, 해설까지 제공하는
무료 기출문제 학습 프로그램으로 실제 상설검정에서 사용하는 OMR 형식의 CBT를 제공합니다.


최신 육상무선통신사 필기 기출문제 : [다운로드]

1과목 : 전파법규


1. 무선국 운용정지 처분을 할 수 없는 것은?
     1. 수수료를 체납한 경우
     2. 정기검사를 거부한 경우
     3. 무선국(無線局)의 승계를 신고하지 않은 경우
     4. 전파사용료를 체납한 경우

     정답 : []
     정답률 : 68%

2. 전파의 효율적인 이용과 혼신의 신속한 제거를 위한 전파감시업무가 아닌 것은?
     1. 무선종사자의 당해 통신 숙련 여부(與否)
     2. 주파수편차 및 대역폭등 전파 품질(品質)
     3. 허가받지 아니한 무선국에서의 전파발사탐지
     4. 기타 통신 방법 등의 준수 여부

     정답 : []
     정답률 : 86%

3. 무선국은 다른 무선국의 운용을 저해할 혼신 기타 방해를 하지 않도록 운용하여야 한다. 다음 중 예외가 허용되지 않는 것은?
     1. 비상통신
     2. 긴급통신
     3. 안전통신
     4. 방송통신

     정답 : []
     정답률 : 100%

4. 무선종사자 기술자격증을 분실하였을 때 무선종사자가 취할 조치로서 옳은 것은?
     1. 1주일 이내 재교부 신청
     2. 10일 이내 재교부 신청
     3. 지체 없이 재교부 신청
     4. 30일 이내 재교부 신청

     정답 : []
     정답률 : 85%

5. 전파법 시행형에 규정된 송신설비란?
     1. 송신장치와 이에 부과되는 장치
     2. 무선통신의송신을 위한 설비와 그 부가장치
     3. 송신장치와 송신공중선계로서 구성하는 전파를 보내는 설비
     4. 송신장치에서 발생하는 고주파 에너지를 공간에 복사하는 설비

     정답 : []
     정답률 : 76%

6. 다음 중 정보통신기기 인증신청서에 첨부하여야할 서류가 아닌 것은?
     1. 정보통신기기의 개요,사양,구성,조작 방법 등이 포함된 설명서(說明書)
     2. 기기의 제작(製作) 공정도
     3. 종합 계통도(系統圖)
     4. 회로(回路)도

     정답 : []
     정답률 : 75%

7. 무선방위 측정장치의 설치장소로부터 상당한 거리에 걸쳐 매설하는 수도관, 가스관, 전력용케이블, 통신용케이블, 기타 이에 준하는 매설물건 등은 얼마의 거리이내의 경우에 방송통신위원회의 승인을얻어야 하는가?
     1. 1킬로미터
     2. 800미터
     3. 500미터
     4. 300미터

     정답 : []
     정답률 : 87%

8. 다음 무선국의 허가 및 재허가에 관한 설명 중 옳지 않은 것은?
     1. 동일 시설자의 서로 다른 통신망이 있는 경우 그 허가 유효기간이 초과하더라도 동시만료 되도록 허가한다.
     2. 의무선박국 및 의무항공기국을 제외한 무선국의 허가 유효기간은 5년을 초과하지 않는다.
     3. 재허가의 신청은 방송통신위원회에 하여야 한다.
     4. 재허가를 받은 무선국의 허가 유효기간은 재허가를 받은 날로부터 기산한다.

     정답 : []
     정답률 : 66%
     <문제 해설>
제36조(무선국 개설허가의 유효기간) ① 법 제22조제1항에 따른 무선국 개설허가의 유효기간은 다음 각 호와 같다. <개정 2008. 12. 9., 2010. 7. 26., 2010. 12. 31., 2014. 12. 3., 2016. 6. 21., 2016. 6. 30., 2017. 3. 29., 2018. 12. 18., 2022. 12. 27., 2023. 6. 7.>
1. 실험국 및 실용화시험국: 1년
2. 이동국ㆍ육상국ㆍ육상이동국ㆍ기지국ㆍ이동중계국ㆍ선박국[「선박안전법」, 「어선법」 또는 「수상레저기구의 등록 및 검사에 관한 법률」에 따라 선박에 의무적으로 개설하여야 하는 무선국(이하 “의무선박국”이라 한다)은 제외한다]ㆍ선상통신국ㆍ무선표지국ㆍ무선측위국ㆍ우주국ㆍ일반지구국ㆍ해안지구국ㆍ항공지구국ㆍ육상지구국ㆍ이동지구국ㆍ기지지구국ㆍ육상이동지구국ㆍ아마추어국ㆍ간이무선국ㆍ항공국ㆍ고정국ㆍ무선항행육상국ㆍ무선항행이동국ㆍ무선탐지육상국ㆍ무선탐지이동국ㆍ비상국ㆍ기상원조국ㆍ항공기지구국ㆍ무선조정국ㆍ무선조정이동국ㆍ무선조정중계국ㆍ전파천문국ㆍ선박지구국ㆍ항공기국[「항공안전법」에 따라 항공기 또는 경량항공기에 의무적으로 개설하여야 하는 무선국(이하 “의무항공기국”이라 한다)은 제외한다]ㆍ비상위치지시용무선표지국ㆍ비상위치지시용위성무선표지국ㆍ해안국 및 무선방향탐지국: 5년
2의2. 방송국: 5년(위성방송국과 위성방송보조국은 7년으로 한다)

제29조(무선국의 분류) ①법 제20조의2제3항에 따라 무선국은 다음 각 호와 같이 분류한다. <개정 2013. 3. 23., 2016. 6. 21., 2017. 7. 26., 2017. 12. 12.>
1. 고정국: 고정업무를 하는 무선국
2. 방송국
가. 지상파방송국: 지상파방송업무를 하는 무선국
나. 위성방송국: 위성방송업무를 하는 무선국
다. 지상파방송보조국: 지상파방송보조업무를 하는 무선국
라. 위성방송보조국: 위성방송보조업무를 하는 무선국

전파법 시행령에 따라 위성방송국과 위성방송보조국도 무선국에 해당하는 것 같은데 허가 유효기간이 7년입니다. 따라서 선지 2번에 오류가 있다고 생각합니다
[해설작성자 : 네모난원]

9. 고정국의 정기검사는 다음 중 어느 기간 내에 받아야 하는가?
     1. 정기검사 유효기간 만료일 전후 2개월 이내
     2. 정기검사 유효기간 만료일 전후 3개월 이내
     3. 정기검사 유효기간 만료일 전후 6개월 이내
     4. 정기검사 유효기간 만료일 전후 1년 이내

     정답 : []
     정답률 : 66%
     <문제 해설>
해설을 작성하는 2024년 1월 8일 기준
고정국의 정기검사는 유효기간 만료일 전후 6개월 이내로 해야하는것으로 법이 바뀌었습니다
[해설작성자 : 855통전]

10. 다음 중 무선통신의 원칙이 아닌 것은?
     1. 무선통신의 내용은 필요 최소한의 사항으로 이루어져야 한다.
     2. 무선통신을 하는 때에는 자국 호출부호 등을 붙여서 출처를 명확하게 해야한다.
     3. 무선통신에 사용하는 용어는 가능한 암호를 사용하여야 한다.
     4. 무선통신을 하는 때에는 정확하게 송신을 하여야한다.

     정답 : []
     정답률 : 88%

11. 다음 중 무선측위업무를 하지 아니하는 무선국은?
     1. 무선표지국
     2. 해안국
     3. 항공기국
     4. 고정국

     정답 : []
     정답률 : 84%

12. 다음의 비상통신에 있어서 통보의 우선순위가 가장 낮은 것은?
     1. 인명구조에 관한 통보
     2. 천재의 예보에 관한 통보
     3. 질서유지를 위하여 필요한 긴급조치에 관한 통보
     4. 교통정보에 관한 통보

     정답 : []
     정답률 : 93%
     <문제 해설>
- 비상통신 관련 송신 우선순위
1. 인명구조에 관한 통보
2. 천재의 예보에 관한 통보
3. 질서유지를 위하여 필요한 긴급조치에 관한 통보
4. 조난자 구원에 관한 통보
5. 전신전화선의 복구를 위하여 긴급을 요하는 통보
6. 철도선로의 복구, 도로의 수리, 이재자의 수송, 구호물자의 긴급수송등에 필요한 통보
7. 전력설비의 수리, 복구에 관한 통보
8. 기타 통보
[해설작성자 : 시클리드]

13. 다음 통신업무 중 가장 우선순위에 속하는 통신 업무는?
     1. 안전통신
     2. 항공기의 항행과 안전운항에 관한 통신
     3. 선박의 항해, 운항, 필수품에 관한 통신
     4. 정부의 기상업무기관으로 보내는 기상관측 통보

     정답 : []
     정답률 : 85%

14. 무선국 개설허가의 결격사유를 맞게 나열한 것은?
     1. 외국성의 배제, 반국가적 성격의 배제, 반사회적 성격의 배제
     2. 반국가적 성격의 배제, 반사회적 성격의 배제, 반경제성의 배제
     3. 반사회적 성격의 배제, 반경제성의 배제, 반문화성의 배제
     4. 반경제성의 배제, 외국성의 배제, 반문화성의 배제

     정답 : []
     정답률 : 84%

15. 준공검사를 받지 아니하고 운용할 수 있는 무선국이 아닌 것은?
     1. 형식등록을 한 아마추어국
     2. 국가안보 또는 대통령 경호를 위하여 개설하는 무선국
     3. 기간통신사업자가 비상통신을 위하여 개설한 무선국으로 상시(常時) 운용하지 않는 무선국
     4. 국내에서 운용할 목적으로 개설한 육상이동지구국

     정답 : []
     정답률 : 86%

16. 전파형식의 표시에서 필요주파수대폭의 표시는?
     1. 2개 숫자 및 2개 문자로 하여야 한다.
     2. 1개 숫자 및 3개 문자로 하여야 한다.
     3. 3개 숫자 및 1개 문자로 하여야 한다.
     4. 2개 숫자 및 3개 문자로 하여야 한다.

     정답 : []
     정답률 : 88%

17. 다음 중 전파사용료의 전부를 면제받는 무선국은?
     1. 아마추어국
     2. 기지국
     3. 간이무선국
     4. 선박국

     정답 : []
     정답률 : 60%

18. 무변조상태에서 송신장치로부터 송신공중선계의 급전선에 공급되는 전력으로서 무선주파수의 1주기 동안에 걸쳐 평균한 전력을 무엇이라 하는가?
     1. 평균전력(電力)(PY)
     2. 반송파전력(PZ)
     3. 첨두포락선전력(PX)
     4. 규격전력(PR)

     정답 : []
     정답률 : 66%

19. 주파수 분배를 위하여 RR(국제전파규칙)에서 세계를 몇 개 지역(地域)으로 구분하고 있는가?
     1. 3개 지역
     2. 2개 지역
     3. 4개 지역
     4. 5개 지역

     정답 : []
     정답률 : 82%

20. 다음 중 전파의 진흥을 위하여 방송통신위원회가 하여야 할 사항으로 적합하지 아니한 것은?
     1. 전파진흥 기본계획의 수립, 공고
     2. 전파이용기술의 표준화
     3. 전파관련 전문인력의 양성
     4. 국내전파기술보호를 위한 배타적 국제협력

     정답 : []
     정답률 : 70%

2과목 : 기초전파공학


21. 무선기기의 입력전원전압을 조정(調整)하는 장치는?
     1. 음량 조정기
     2. 감도 조정기
     3. 전압조정기
     4. 대역폭 조정기

     정답 : []
     정답률 : 68%

22. 팩시밀리 기기의 특징 중 옳지 않는 것은?
     1. 송수신의 주사(走査)?법이 같을 것
     2. 송수신의 협동계수가 같을 것
     3. 송수신의 동기(同期)가?을 것
     4. 송수신의 광전변환 방식이 같을 것

     정답 : []
     정답률 : 49%

23. 오실로스코프의 시간 축에 가장 많이 쓰이는 파형(波形)은?
     1. 정현파
     2. 직류 또는 교류
     3. 톱니파
     4. 구형파

     정답 : []
     정답률 : 42%

24. 안테나 등가회로를 바르게 나타낸 것은?
     1.
     2.
     3.
     4.

     정답 : []
     정답률 : 60%

25. 레이더의 안테나에 적설이나 결빙 등을 방지(防止)하기 위해 전기적으로 대기와 동일한 특성(特性)을 가진 덮개를 씌운 것을 무엇이라 하는가?
     1. 레이커버
     2. 레이돔
     3. 레이박스
     4. 레이웨어

     정답 : []
     정답률 : 54%

26. 가청(可聽) 주파수 전압을 측정하는데 쓰이는 계기는?
     1. 가동 코일형 전압계
     2. Potentiometer
     3. VTVM
     4. Megger

     정답 : []
     정답률 : 49%

27. 다중(多重) 회선을 구성하는데 시분할 방식을 채택하려면 어떠한 변조를 해야 하는가?
     1. FM 변조
     2. AM 변조
     3. Pulse 변조
     4. 평형 변조

     정답 : []
     정답률 : 46%

28. 하나의 반송파를 여러 이용자가 공유, 여러 개의 시간 간격으로 나누어 자신에게 할당되어 있는 시간에만 자신의 신호를 실어보내고, 수신측에서 자신의 시간간격에 있는 정보만을 골라 수집하는 접속 방식은?
     1. FDMA
     2. TDMA
     3. CDMA
     4. PCMAD

     정답 : []
     정답률 : 62%

29. FM 통신방식에서 엠파시스(emphasis) 회로를 사용하는 가장 적절한 이유는?
     1. 높은 주파수의 S/N비를 개선하기 위해
     2. 감도를 좋게 하기 위해
     3. 선택도를 개선하기 위해
     4. 명료도를 좋게 하기 위해

     정답 : []
     정답률 : 76%

30. 1[uV/m]의 전계강도가 0[dB]이다. 20[dB]의 전계강도는 얼마인가?
     1. 10[uV/m]
     2. 20[uV/m]
     3. 100[uV/m]
     4. 200[uV/m]

     정답 : []
     정답률 : 45%

31. SSB 송신기의 설명(說明) 중 틀린 것은?
     1. 평행변조기를 사용(使用)한다.
     2. 변조전력이 적다.
     3. 전력 증폭단은 B급이다.
     4. 소비전력이 많다.

     정답 : []
     정답률 : 55%

32. 동주파수제어(AFC) 장치가 FM수신기에서 필요한 이유는 무엇인가?
     1. 수신전파의 감도를 조정하기 위하여
     2. 감도를 내리기 위하여
     3. 충실도를 높이기 위하여
     4. 선택도를 좋게 하기 위하여

     정답 : []
     정답률 : 43%

33. 중파대의 전파를 반사시키며 전자밀도가 D층보다 크고 지상 약 100[KM] 상공에 존재하는 전리층은?
     1. 스포라틱 E층
     2. F1층
     3. E층
     4. F2층

     정답 : []
     정답률 : 56%

34. 소인발진기(스위프 발진기)와 병행 사용하여 회로의 주파수 특성을 알 수 있는 계기는 어느 것인가?
     1. 고주파 발진기
     2. 감쇄기
     3. 오실로스코프
     4. Q미터

     정답 : []
     정답률 : 50%

35. 다음 계기의 확도 중 등급표시에서 가장 정밀한 것은?
     1. 5.0급
     2. 2.5급
     3. 1.0급
     4. 0.5급

     정답 : []
     정답률 : 65%

36. 마이크로파의 전파에 감쇄(減殺)를 주지 않는 것은?
     1. 기온
     2.
     3. 구름
     4.

     정답 : []
     정답률 : 64%

37. I=6+j8[A]로 표시되는 전류의 크기 I는 몇 [A]인가?
     1. 12[A]
     2. 16[A]
     3. 10[A]
     4. 14[A]

     정답 : []
     정답률 : 54%

38. 다음 증폭기 중 이득이 가장 큰 증폭방법은?
     1. 베이스접지증폭기
     2. 에미터접지증폭기
     3. 콜렉터접지증폭기
     4. 트랜스결합 위상변환증폭기

     정답 : []
     정답률 : 47%

39. 3MHz에 사용할 반파장 다이폴 안테나의 길이는 약 몇 [m]인가?
     1. 40[m]
     2. 50[m]
     3. 90[m]
     4. 150[m]

     정답 : []
     정답률 : 66%

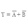
40. 논리회로의 출력식 Y는?

    

     1. A ㆍ B
     2. AB+B
     3. A+AB
     4. 0

     정답 : []
     정답률 : 67%

41. 비밀이나 중요내용이 통신에 의해 누설되는 요소에 해당되는 것은?
     1. 비밀내용의 암호화
     2. 통신문의 사전 보안성 검토
     3. 과다한 통신소통
     4. 안전성 있는 통신망 이용

     정답 : []
     정답률 : 67%

42. 다음 중 통신보안의 정의(正義)로 가장 적당한 것은?
     1. 통신정보를 얻기 위한 수단과 방법이다.
     2. 간접적으로 비(非)인가자에게 누설되는 것을 말한다.
     3. 통신수단에 의하여 비밀이 누설되는 것을 사전에 방지하는 것이다.
     4. 무선종사자 자격증 소지자가 통신보안교육을 받는 것이다.

     정답 : []
     정답률 : 66%

43. 다음 중 “통신정보”를 가장 적절히 정의한 것은?
     1. 통신수단에 의하여 비밀이 누설되는 것을 방지하는 대책을 말한다.
     2. 전기통신수단에 의하여 발신되는 통신을 수집 ㆍ 분석하여 산출하는 정보를 말한다.
     3. 외국의 정치 · 경제 · 사회 · 문화 등 각 부문에 대한정보를 말한다.
     4. 반국가 활동세력과 그 추종분자의 행위로부터 국가안전보장을 위한 정보를 말한다.

     정답 : []
     정답률 : 64%

44. 시호통신의 취약점이라고 할 수 없는 것은?
     1. 시계의 제한을 받는다.
     2. 기만 및 역이용 당할 우려가 있다.
     3. 근거리통신으로 보안유지가 가능하다.
     4. 시계 내에서는 누구에게나 탐지가 가능하다.

     정답 : []
     정답률 : 57%

45. 통신망에서 취급하는 통신운용자료를 분석하는 것은?
     1. 통신시간 분석
     2. 통신량 분석
     3. 교신 분석
     4. 통신내용 분석

     정답 : []
     정답률 : 36%

46. 유무선 전화회로 상의 통화내용을 제 3자로부터 비익할 목적으로 특수한 기술상의 처리를 가하여 전자자동방식으로 구성한 기기류는?
     1. 비화기
     2. 무선송수신기
     3. 방향탐지기
     4. 주파수측정기

     정답 : []
     정답률 : 62%

47. 무선통신망의 통신보안대책으로 적합한 것은?
     1. 무선통신망은 자격취득자만 사용하도록한다.
     2. 비밀내용은 반드시 보안자재의 사용을 생활화 하여야 한다.
     3. 통신보안은 제도상 교육기관의 교육만으로도 성취될 수 있다.
     4. 국가의 기밀은 무선통신망을 이용해야 한다.

     정답 : []
     정답률 : 70%

48. 통신망별 보안대책 중 유선전화에 맞지 않는 것은?
     1. 전파차단장치 설치
     2. 가공선로는 지하매설
     3. 주기적인 선로 순찰
     4. 주요내용은 음어화 또는 보안장비 사용

     정답 : []
     정답률 : 59%

49. 다음 사항 중 통신보안의 설명으로 맞지 않는 것은?
     1. 통신보안용 호출명칭의 제작 및 관리는 국가정보원장이 한다.
     2. 전령통신의 통신보안 상 취약점은 정보탐지자의 피습이다.
     3. 통신보안의 목적은 비밀누설 가능성의 사전 제거에 있다.
     4. 통신소의 접근 또는 출입을 제한(制限)하는 것은 자재보안을 위한 것이다.

     정답 : []
     정답률 : 52%

50. 무선통신업무 종사자가 통신보안교육을 받아야 할 주기는?
     1. 5년에 1회
     2. 5년에 2회
     3. 4년에 1회
     4. 3년에 1회

     정답 : []
     정답률 : 71%


정 답 지

1

2

3

4

5

6

7

8

9

10

11

12

13

14

15

16

17

18

19

20

21

22

23

24

25

26

27

28

29

30

31

32

33

34

35

36

37

38

39

40

41

42

43

44

45

46

47

48

49

50

육상무선통신사 필기 기출문제(해설) 및 CBT 2008년03월30일을 이용해 주셔서 감사합니다.
, 필기, 기출문제, 전자문제집, CBT, 온라인, 모의테스트, 모의고사



List of Articles
번호 제목 글쓴이 날짜 조회 수
22355 건설기계설비산업기사 필기 기출문제(해설) 및 CBT 2008년05월11일(15809) new 좋은아빠되기 2025.11.26 0
22354 육상무선통신사 필기 기출문제(해설) 및 CBT 2012년03월11일(15808) new 좋은아빠되기 2025.11.26 0
22353 PSAT 헌법 필기 기출문제(해설) 및 CBT 2023년03월04일(15807) new 좋은아빠되기 2025.11.26 0
22352 PSAT 자료해석 필기 기출문제(해설) 및 CBT 2023년03월04일(15806) new 좋은아빠되기 2025.11.26 0
22351 PSAT 언어논리 필기 기출문제(해설) 및 CBT 2023년03월04일(15805) new 좋은아빠되기 2025.11.26 0
22350 PSAT 상황판단 필기 기출문제(해설) 및 CBT 2023년03월04일(15804) new 좋은아빠되기 2025.11.26 0
22349 육상무선통신사 필기 기출문제(해설) 및 CBT 2011년09월25일(15803) new 좋은아빠되기 2025.11.26 1
22348 육상무선통신사 필기 기출문제(해설) 및 CBT 2011년03월13일(15802) new 좋은아빠되기 2025.11.26 1
22347 육상무선통신사 필기 기출문제(해설) 및 CBT 2008년10월26일(15801) new 좋은아빠되기 2025.11.26 1
» 육상무선통신사 필기 기출문제(해설) 및 CBT 2008년03월30일(15800) new 좋은아빠되기 2025.11.26 1
22345 육상무선통신사 필기 기출문제(해설) 및 CBT 2009년10월18일(15799) new 좋은아빠되기 2025.11.26 1
22344 육상무선통신사 필기 기출문제(해설) 및 CBT 2009년03월29일(15798) new 좋은아빠되기 2025.11.26 1
22343 정보보안기사 필기 기출문제(해설) 및 CBT 2023년03월11일(15797) new 좋은아빠되기 2025.11.26 1
22342 방송통신산업기사 필기 기출문제(해설) 및 CBT 2023년03월21일(15796) new 좋은아빠되기 2025.11.26 1
22341 정보보안기사 필기 기출문제(해설) 및 CBT 2022년06월25일(15795) new 좋은아빠되기 2025.11.26 1
22340 네트워크관리사 1급 필기 시험문제 및 CBT 2023년04월09일(15794) new 좋은아빠되기 2025.11.26 1
22339 PC정비사 1급 필기 기출문제(해설) 및 CBT 2023년04월09일(15793) new 좋은아빠되기 2025.11.26 1
22338 인터넷보안전문가 2급 필기 기출문제(해설) 및 CBT 2023년04월09일(15792) new 좋은아빠되기 2025.11.26 1
22337 한국사능력검정시험 기본 필기 기출문제(해설) 및 CBT 2023년04월15일(15791) new 좋은아빠되기 2025.11.26 1
22336 한국사능력검정시험 심화 필기 기출문제(해설) 및 CBT 2023년04월15일(15790) new 좋은아빠되기 2025.11.26 2
Board Pagination Prev 1 ... 36 37 38 39 40 41 42 43 44 45 ... 1158 Next
/ 1158