자격증 필기 기출문제



정수시설운영관리사 3급 1차 필기 기출문제(해설) 및 CBT 2024년04월13일(16330)

최강 자격증 기출문제 전자문제집 CBT : www.comcbt.com


전자문제집 CBT란?

종이 문제집이 아닌 인터넷으로 문제를 풀고 자동으로 채점하며 모의고사, 오답 노트, 해설까지 제공하는
무료 기출문제 학습 프로그램으로 실제 상설검정에서 사용하는 OMR 형식의 CBT를 제공합니다.


최신 정수시설운영관리사 3급 1차 필기 기출문제 : [다운로드]

1과목 : 수처리공정


1. 플록형성지에 관한 설명으로 옳지 않은 것은?
     1. 직사각형이 표준형태이다.
     2. 교반강도는 하류로 갈수록 점차 증가시키는 것이 바람직하다.
     3. 교반설비는 수질변화에 따라 교반강도를 조절할 수 있는 구조로 한다.
     4. 플록형성시간은 계획정수량에 대하여 20∼ 40분간을 표준으로 한다.

     정답 : []
     정답률 : 알수없음

2. 침전지에 관한 설명으로 옳지 않은 것은?
     1. 제거율을 높이기 위해 침전지 중간에 경사판을 설치하는 것을 고려한다.
     2. 활성이 있는 미세플록을 기성 플록과 적극적으로 접촉시키면 제거율이 향상된다.
     3. 다층침전지는 용지점용면적의 비율보다 큰 용량의 침전지를 만들 수 있다.
     4. 침전지 중간에서 상징수를 유출시키면 제거율이 저하된다.

     정답 : []
     정답률 : 알수없음

3. 침전지 제거율이 낮아지는 경우는?
     1. 유입 유량 증가
     2. 표면부하율 감소
     3. 플록의 침강속도 증가
     4. 침전지 표면적 증가

     정답 : []
     정답률 : 알수없음

4. 표면부하율이 20 mm/min으로 설계된 횡류식 침전지에서 침강속도가 40 mm/min인 입자의 예상되는 제거율(%)은?
     1. 20
     2. 40
     3. 80
     4. 100

     정답 : []
     정답률 : 알수없음

5. 입도분포 실험에서 중량통과율 10 %, 30 %, 40 %, 60 %, 80 %에 해당하는 여과모래의 입경이 각각 0.5 mm, 0.6 mm, 0.7 mm, 0.8 mm, 0.9 mm이었다. 여과모래의 균등계수는?
     1. 1.2
     2. 1.4
     3. 1.6
     4. 1.8

     정답 : []
     정답률 : 알수없음

6. 완속여과법을 선택하여야 하는 경우로 옳은 것은?
     1. 생물반응에 의한 산화와 분해가 필요한 경우
     2. 여과속도를 130 m/d로 운전해야 하는 경우
     3. 휴믹산 등의 화합물에 의한 색도가 있는 경우
     4. 탁도가 높거나 조류가 많은 경우

     정답 : []
     정답률 : 알수없음

7. 하향류 여과 시설의 여과층에 따른 탁질억류량 분포가 다음 그림과 같은 여과층의 형식은?

   

     1. 단일 여과층
     2. 입도 분포를 상부 조립에서 하부 세립으로 점진적으로 구성한 여과층
     3. 2층 여과층
     4. 3층 여과층

     정답 : []
     정답률 : 알수없음

8. 염소소독제의 특성 및 살균력에 관한 설명으로 옳지 않은 것은?
     1. 차아염소산이온에 비해 차아염소산의 살균력이 강하다.
     2. 차아염소산나트륨과 차아염소산이온을 유리염소 또는 유리잔류염소라고 한다.
     3. pH가 낮아질수록 차아염소산의 존재 비율이 높아지므로 소독 효과가 커진다.
     4. 결합잔류염소에 비하여 유리잔류염소의 살균력이 강하다.

     정답 : []
     정답률 : 알수없음

9. 염소가스 저장시설의 제해설비 중, 흡수용 제해제와 중화제로 가장 널리 사용되는 것을 순서대로 바르게 나타낸 것은?
     1. 소석회 - 수산화나트륨
     2. 소석회 - 염화나트륨
     3. 생석회 - 수산화나트륨
     4. 생석회 - 염화나트륨

     정답 : []
     정답률 : 알수없음

10. 수도법령상 일반수도사업자가 병원성 미생물에 의하여 오염되었거나 오염될 우려가 있는 경우에 수도꼭지의 먹는물에서 유지해야 하는 결합잔류염소의 최소농도(mg/L)는?
     1. 0.2
     2. 0.4
     3. 1.0
     4. 1.8

     정답 : []
     정답률 : 알수없음

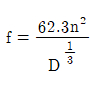
11. 여과공정만으로 수도법령상 정수처리기준에서 정한 병원성미생물의 최소제거 및 불활성화 기준을 충족하는 여과 방식으로 옳은 것을 모두 고른 것은?

    

     1. ㄱ, ㄴ
     2. ㄱ, ㄷ
     3. ㄴ, ㄹ
     4. ㄷ, ㄹ

     정답 : []
     정답률 : 알수없음

12. 소독 공정에서 요구되는 CT요구값의 산출에 필요한 항목이 아닌 것은?
     1. pH
     2. 수온
     3. 잔류 소독제 농도
     4. 소독제의 종류

     정답 : []
     정답률 : 알수없음

13. 먹는물 수질기준 중 분원성 연쇄상구균과 살모넬라 기준이 적용되지 않는 것은?
     1. 먹는샘물
     2. 수돗물
     3. 먹는염지하수
     4. 먹는해양심층수

     정답 : []
     정답률 : 알수없음

14. 슬러지 처리 시설 중 슬러지의 유량 조정이 주요 기능인 시설만으로 연결된 것은?
     1. 배출수지 - 배슬러지지
     2. 배출수지 - 농축조
     3. 배슬러지지 - 농축조
     4. 농축조 - 탈수기

     정답 : []
     정답률 : 알수없음

15. 슬러지의 탈수가 여과포의 압착력과 전단력으로 이루어지는 것은?
     1. 진공탈수기
     2. 원심분리기
     3. 필터프레스
     4. 벨트프레스

     정답 : []
     정답률 : 알수없음

16. 농축조의 슬러지 처리량이 100 kg/d이고 고형물부하율이 20 kg/(m2ㆍd)일 때, 농축조의 표면적(m2)은?
     1. 0.2
     2. 5
     3. 120
     4. 2,000

     정답 : []
     정답률 : 알수없음

17. 막여과 공정의 약품세척에서 무기물을 제거하기 위해 일반적으로 사용되는 약품이 아닌 것은?
     1. 염산
     2. 황산
     3. 차아염소산나트륨
     4. 산 세제

     정답 : []
     정답률 : 알수없음

18. 색도가 높은 원수를 처리하는데 적합한 공정은?
     1. 모래여과
     2. pH 조정
     3. 폭기
     4. 응집침전

     정답 : []
     정답률 : 알수없음

19. 모래여과지의 처리수에 오존을 주입하는 공정은?
     1. 전오존
     2. 중오존
     3. 후오존
     4. 배오존

     정답 : []
     정답률 : 알수없음

20. 자외선 소독 공정에서 조사량에 미치는 영향 인자 중 접촉시간과 관련된 것은?
     1. 경도
     2. 부유물 농도
     3. 유입 유량
     4. 자외선 램프의 사용기간

     정답 : []
     정답률 : 알수없음

2과목 : 수질분석 및 관리


21. 수질오염공정시험기준상 수질 시료 채취에 관한 설명으로 옳지 않은 것은?
     1. 시료채취와 보존은 법적인 요구 사항이므로 규정에 따라 실시한다.
     2. 수동시료채취의 경우 30분 이상 간격으로 2회 이상 채취하여 단일시료로 한다.
     3. 부득이한 사유로 6시간 이상 간격으로 채취한 시료는 각각 측정분석한 후 산술평균하여 측정분석값을 산출한다.
     4. 자동시료채취기로 채취한 경우는 6시간 이내에 1시간 이상 간격으로 2회 이상 채취하여 단일시료로 한다.

     정답 : []
     정답률 : 알수없음

22. 0.5 N NaOH 용액 400 mL와 2 M NaOH 용액 300 mL에 포함된 NaOH 질량(g)의 합은 얼마인가? (단, NaOH의 분자량은 40이다.)
     1. 20
     2. 24
     3. 28
     4. 32

     정답 : []
     정답률 : 알수없음

23. 수질오염공정시험기준상 총칙의 내용으로 옳은 것은?
     1. 시험조작 중 “즉시”란 60초 이내에 표시된 조작을 하는 것을 뜻한다.
     2. 감압은 따로 규정이 없는 한 15 mmHg 이하로 한다.
     3. “약”이라 함은 기재된 양에 대하여 ± 5 % 이상의 차가 있어서는 안된다.
     4. 기체 중의 농도는 표준상태(25℃, 1기압)로 환산 표시한다.

     정답 : []
     정답률 : 알수없음

24. 정수시설의 입상활성탄 세척빈도에 영향을 주는 인자가 아닌 것은?
     1. 미소동물의 생명주기
     2. 입상활성탄의 비중
     3. 흡착방식(고정상, 유동상)
     4. 입상활성탄 입자의 크기

     정답 : []
     정답률 : 알수없음

25. 정수처리공정에서 응집용 약품주입에 관한 설명으로 옳지 않은 것은?
     1. 원수가 저탁도이더라도 급속여과지에서 약품에 의한 응집 후 여과가 필수적이다.
     2. 약품주입률은 자-테스트(jar-test)로 결정하는 방식이 일반적이다.
     3. 자-테스트 방법은 각 정수장의 조건에 따라 달라질 수 있다.
     4. 응집제와 응집보조제 저장설비의 용량은 각각 10일분 이상으로 한다.

     정답 : []
     정답률 : 알수없음

26. 오존처리 공정에서 오존주입량 5 mg/L이고, 배출오존량 1 mg/L, 잔류오존량 0.5 mg/L일 때 오존이용률(또는 흡수율)(%)은?
     1. 70
     2. 80
     3. 87.5
     4. 90

     정답 : []
     정답률 : 알수없음

27. 정수지에서 잔류염소 농도가 0.5 mg/L이고 소독제의 접촉시간이 30분이었다. 바이러스에 대한 소독제의 불활성화비가 5일 때 이 정수지의 CT요구값은 얼마인가?
     1. 3
     2. 6
     3. 9
     4. 12

     정답 : []
     정답률 : 알수없음

28. 먹는물수질공정시험기준상 증발잔류물 측정에 관한 내용이다. ( )에 공통으로 들어갈 내용으로 옳은 것은?

    

     1. 1
     2. 2
     3. 5
     4. 10

     정답 : []
     정답률 : 알수없음

29. 먹는물수질공정시험기준상 냄새 항목 분석에 관한 설명으로 옳지 않은 것은?
     1. 시료는 온도를 40 ∼ 50℃로 높여 관능적으로 냄새를 맡아서 판단한다.
     2. 이 시험기준에 의해 판단할 때 염소 냄새는 제외한다.
     3. 냄새를 측정하는 사람과 시료를 준비하는 사람은 다른 사람이어야 한다.
     4. 고무, 콕 및 플라스틱 마개는 사용가능하다.

     정답 : []
     정답률 : 알수없음

30. 먹는물수질공정시험기준상 암모니아성 질소의 측정방법이 아닌 것은?
     1. 자외선/가시선 분광법
     2. 질산은 적정법
     3. 이온크로마토그래피
     4. 연속흐름법

     정답 : []
     정답률 : 알수없음

31. 소독에 의한 불활성화비 계산에 있어 ( )에 들어갈 숫자로 옳은 것은?

    

     1. 0.01
     2. 0.1
     3. 1.0
     4. 10

     정답 : []
     정답률 : 알수없음

32. 먹는물 수질기준 및 검사 등에 관한 규칙상 먹는물의 수질기준 중 건강상 유해영향 유기물질에 해당하는 것은?
     1. 디브로모아세토니트릴
     2. 클로로포름
     3. 페놀
     4. 스트론튬(Sr-90)

     정답 : []
     정답률 : 알수없음

33. 먹는물 수질기준 및 검사 등에 관한 규칙상 광역상수도 정수장에서 매일 1회 이상 검사해야 하는 항목이 아닌 것은?
     1. 냄새
     2. 증발잔류물
     3. 색도
     4. 탁도

     정답 : []
     정답률 : 알수없음

34. 먹는물관리법상 먹는물에 해당하는 것을 모두 고른 것은?

    

     1. ㄱ, ㄴ
     2. ㄱ, ㄷ
     3. ㄴ, ㄹ
     4. ㄷ, ㄹ

     정답 : []
     정답률 : 알수없음

35. 수도법령상 정수처리기준에 따라 정수된 물의 탁도 검사주기로 옳은 것은?
     1. 2시간 간격으로 1일 12회
     2. 3시간 간격으로 1일 8회
     3. 4시간 간격으로 1일 6회
     4. 6시간 간격으로 1일 4회

     정답 : []
     정답률 : 알수없음

36. 물환경보전법상 점오염원에 해당하는 것은?
     1. 축사
     2. 산지
     3. 농지
     4. 공사장

     정답 : []
     정답률 : 알수없음

37. 수도법령상 시설규모가 2만 m3/일 이상 5만 m3/일 미만인 경우 일반수도사업자가 배치해야 할 정수시설운영관리사 배치기준은?
     1. 1급 1명 이상, 2급 1명 이상, 3급 2명 이상
     2. 1급 1명 이상, 2급 2명 이상, 3급 3명 이상
     3. 1급 1명 이상, 2급 3명 이상, 3급 4명 이상
     4. 1급 2명 이상, 2급 3명 이상, 3급 5명 이상

     정답 : []
     정답률 : 알수없음

38. 수도법령상 지표수를 사용하는 일반수도사업자가 준수해야 할 정수처리기준 중 취수지점부터 정수장의 정수지 유출지점까지의 구간에서 바이러스의 제거 혹은 불활성화 기준은?
     1. 1십분의 9 이상
     2. 1백분의 99 이상
     3. 1천분의 999 이상
     4. 1만분의 9천999 이상

     정답 : []
     정답률 : 알수없음

39. 수도법상 일반수도가 아닌 것은?
     1. 광역상수도
     2. 지방상수도
     3. 전용상수도
     4. 마을상수도

     정답 : []
     정답률 : 알수없음

40. 지하수법상 지하수보전구역으로 지정할 수 있는 지역에 해당하지 않는 것은?
     1. 지하수의 개발ㆍ이용으로 인하여 주변 생태계에 심각한 악영향을 미치거나 미칠 우려가 있는 지역
     2. 지하수의 수량이나 수질을 보전하기 위하여 필요한 지역으로서 환경부령으로 정하는 지역
     3. 주된 용수공급원이 되는 지하수가 상당히 부존된 지층이 있는 지역
     4. 지하수개발ㆍ이용량이 기본계획 또는 지역관리계획에서 정한 지하수개발 가능량에 비하여 현저하게 높다고 판단되는 지역

     정답 : []
     정답률 : 알수없음

3과목 : 설비운영(기계·장치 또는 계측기 등)


41. 습기가 있으면 밀착, 고결되어 물에 녹지 않게 되므로 저장실을 완전한 방습구조로 하여야 하는 약품은?
     1. 황산알루미늄
     2. 수산화나트륨
     3. 소다회
     4. 황산

     정답 : []
     정답률 : 알수없음

42. 순간혼화가 어렵고 단락류가 많이 발생하며 back-mixing이 발생할 수 있는 급속 혼화방식은?
     1. 가압수확산식
     2. 인라인 고정식
     3. 수류식
     4. 기계식

     정답 : []
     정답률 : 알수없음

43. 침전지 슬러지의 배출 방식이 아닌 것은?
     1. 자연유하식
     2. 기계적 제거방식
     3. 슬러지 흡입방식
     4. 침전지를 비우고 청소하는 방식

     정답 : []
     정답률 : 알수없음

44. 필요에 따라 진동장치를 설치할 수 있는 슬러지 케이크 배출방법은?
     1. 컨베이어벨트로 직접 트럭에 적재
     2. 호퍼에 저류 후 배출
     3. 케이크 저장소(평지)에 저류 후 배출
     4. 현장에 매립

     정답 : []
     정답률 : 알수없음

45. 역세척을 위한 세척탱크에 설치하는 설비로서 중심을 저수위로부터 관경의 2배 이상 얕게 하거나 벽을 설치하는 등의 방법으로 공기 혼입을 방지해야 하는 것은?
     1. 유입관
     2. 유출관
     3. 월류관
     4. 배수관

     정답 : []
     정답률 : 알수없음

46. 염소가스 저장량 1,000 kg 이상의 저장시설에 설치하는 제해설비에 관한 설명으로 옳은 것은?
     1. 40 % 이상 농도의 수산화나트륨을 사용
     2. 처리능력은 kg/day로 표시
     3. 누출가스를 중화반응탑에 송풍하는 배풍기 설치
     4. 송액펌프의 용량은 이론치의 2배 이상

     정답 : []
     정답률 : 알수없음

47. 오존주입설비의 발생오존과 접촉하는 부위에 사용할 수 있는 수지는?
     1. PVC
     2. PTFE
     3. PVDF
     4. HDPE

     정답 : []
     정답률 : 알수없음

48. 밸브를 선정할 때 고려해야 하는 사항이 아닌 것은?
     1. 통과하는 액체나 기체의 부식성
     2. 통과하는 액체나 기체의 온도와 유량변동 범위
     3. 밸브 전후의 최대 차압치
     4. 통과하는 액체나 기체의 투명도

     정답 : []
     정답률 : 알수없음

49. 구조가 견고하고 운전과 보수가 용이하여 상수도용 펌프에 주로 사용되는 전동기는?
     1. 3상유도전동기
     2. 동기전동기
     3. 직류전동기
     4. 차동복권전동기

     정답 : []
     정답률 : 알수없음

50. 수요 제계수에 있어서 수요 설비가 동시에 사용되는 정도를 나타내는 값으로 사용되는 계수는?
     1. 부등률
     2. 부하율
     3. 수용률
     4. 설비평형률

     정답 : []
     정답률 : 알수없음

51. 전력설비 보호를 위해 단로기가 오조작에 의하여 개폐되지 않도록 설치하는 것은?
     1. 자동부하절환개폐기
     2. 자동재폐로장치
     3. 인터록장치
     4. 구분개폐기

     정답 : []
     정답률 : 알수없음

52. 한국전기설비규정상 전로에 시설하는 기계기구의 철대 및 금속제 외함에 접지공사를 하지 않아도 되는 예외규정이 아닌 것은?
     1. 사용전압이 직류 150 V 또는 교류 대지전압이 300 V 이상인 기계기구를 건조한 곳에 시설하는 경우
     2. 저압용의 기계기구를 건조한 목재의 마루 기타 이와 유사한 절연성 물건 위에서 취급하도록 시설하는 경우
     3. 외함이 없는 계기용변성기가 고무ㆍ합성수지 기타의 절연물로 피복한 것일 경우
     4. 철대 또는 외함의 주위에 절연대를 설치하는 경우

     정답 : []
     정답률 : 알수없음

53. 전력퓨즈에 관한 설명으로 옳지 않은 것은?
     1. 릴레이나 변성기가 불필요하다.
     2. 소형 경량이고 구조가 간단하다.
     3. 차단용량이 크다.
     4. 동작시간-전류특성 조절이 가능하다.

     정답 : []
     정답률 : 알수없음

54. 5 A의 전류가 저항에 흐를 때 소비전력이 10 kW일 경우, 저항(Ω)은?
     1. 200
     2. 400
     3. 1,000
     4. 2,000

     정답 : []
     정답률 : 알수없음

55. 대기에 노출되어 있는 분말재료의 저류조 계면높이 측정에 적합한 측정기는?
     1. 플로트식 측정기
     2. 차압식 측정기
     3. 정전용량식 측정기
     4. 초음파식 측정기

     정답 : []
     정답률 : 알수없음

56. 취수장에 설치하여야 하는 기본계측기는?
     1. 수온계
     2. 탁도계
     3. pH계
     4. 알칼리도계

     정답 : []
     정답률 : 알수없음

57. 뇌(雷)에 의해 전송선로에 유기된 이상전압으로부터 발신기나 수신기를 보호하기 위한 피해방지기기는?
     1. 제너배리어(zener barrier)
     2. 아이소레이터(isolator)
     3. 피뢰기(lightening arrester)
     4. 절연변환기(isolation converter)

     정답 : []
     정답률 : 알수없음

58. 와류 유량계에 관한 설명으로 옳은 것은?
     1. 초음파의 펄스가 액체의 흐름을 거슬러서 배관이나 수로의 대각선 방향으로 가로 지르는데 소요되는 시간을 기반으로 유량을 측정한다.
     2. 액체 흐름이 장애물과 충돌하여 발생하는 소용돌이의 빈도가 유속에 비례하는 원리로 유량을 측정한다.
     3. 액체 흐름속에 잠겨있는 프로펠라의 회전수가 유속에 비례하는 원리로 유량을 측정한다.
     4. 배관 주위에 감겨진 고정자기코일이 액체의 흐름과 직각 방향으로 자장을 발생시키는 원리를 이용하여 유량을 측정한다.

     정답 : []
     정답률 : 알수없음

59. 화학물질의 분류ㆍ표시 및 물질안전보건자료에 관한 기준상 물질안전보건자료 작성시 포함되어야 할 항목이 아닌 것은?
     1. 응급조치요령
     2. 노출방지 및 개인보호구
     3. 운송에 필요한 정보
     4. 유통사에 관한 정보

     정답 : []
     정답률 : 알수없음

60. 고압가스 안전관리법상 사업자등과 특정고압가스 사용신고자가 그의 시설이나 제품과 관련하여 사람이 사망한 사고가 발생한 경우 즉시 통보하여야 하는 기관은?
     1. 한국가스안전공사
     2. 가스 생산 및 판매기관
     3. 가스사고조사위원회
     4. 산업통상자원부

     정답 : []
     정답률 : 알수없음

61. 유체의 동점성계수(v), 점성계수(μ), 밀도(ρ)의 관계를 옳게 나타낸 것은?
     1.
     2.
     3.
     4.

     정답 : []
     정답률 : 알수없음

62. 유선(stream line)에 관한 설명으로 옳은 것은?
     1. 특정 입자가 이동해 간 경로를 추적하여 연결한 선이다.
     2. 일정시간 동안 흐름 내의 특정지점을 통과한 모든 유체입자들의 현재 위치를 연결한 선이다.
     3. 특정시간, 특정단면에서 일직선을 이루는 유체입자들의 시간별 위치를 연결한 선이다.
     4. 특정시간에 유체입자들의 유속벡터에 접하는 접선들을 연결한 선이다.

     정답 : []
     정답률 : 알수없음

63. 개수로에서 유량측정을 위해 직사각형 예연위어를 사용하고 있다. 월류수심의 측정에 2 %의 오차가 있다면 측정 유량에 발생하는 오차(%)는 얼마인가? (단, 위어의 유량계수는 상수이고 단면수축은 없다.)
     1. 1
     2. 2
     3. 3
     4. 5

     정답 : []
     정답률 : 알수없음

64. 상류측 관경이 400 mm, 하류측 관경이 200 mm인 관로에서 상류측 관로의 단면평균 유속이 2 m/s라면, 하류측 관로의 단면평균유속(m/s)은 얼마인가? (단, 관로의 유량은 관을 가득 채운 상태로 일정하게 흐르고 있다.)
     1. 2
     2. 4
     3. 8
     4. 10

     정답 : []
     정답률 : 알수없음

65. 관수로 내의 마찰로 인한 에너지손실을 산정할 수 있는 공식은?
     1. Francis 공식
     2. Darcy 공식
     3. Dupuit 공식
     4. Darcy-Weisbach 공식

     정답 : []
     정답률 : 알수없음

66. 물탱크에 설치된 작은 오리피스에서 단면수축계수(Ca), 유속계수(Cv), 유량계수(Cd)의 관계를 옳게 표현한 것은?
     1.
     2.
     3.
     4.

     정답 : []
     정답률 : 알수없음

67. [MLT]계로 나타낸 물리량의 차원표시로 옳지 않은 것을 모두 고른 것은?

    

     1. ㄱ, ㄴ
     2. ㄱ, ㄷ
     3. ㄴ, ㄹ
     4. ㄷ, ㄹ

     정답 : []
     정답률 : 알수없음

68. 관로길이 10 m, 관경 0.1 m인 관수로에서 평균유속 1 m/s로 물이 흐르고 있을 때 마찰손실수두(m)는 약 얼마인가? (단, 마찰손실계수는 0.01, 중력가속도는 9.8 m/s2이다.)
     1. 0.015
     2. 0.051
     3. 0.12
     4. 0.55

     정답 : []
     정답률 : 알수없음

69. 계획 정수량 1,000 m3/d인 여과지의 여과면적이 50 m2일 때, 여과속도(m/d)는 얼마인가?
     1. 2
     2. 5
     3. 10
     4. 20

     정답 : []
     정답률 : 알수없음

70. 폭 5 m, 길이 10 m, 유효수심 5 m인 장방형 침전지의 표면부하율이 50 m/d일 때, 이 침전지의 유입유량(m3/d)은 얼마인가?
     1. 500
     2. 1,500
     3. 2,500
     4. 3,500

     정답 : []
     정답률 : 알수없음

71. 직사각형 단면의 개수로에서 최적수리단면의 수심(h)과 수로폭(b)의 관계를 올바르게 나타낸 것은?
     1. h=√b
     2. h=b/2
     3. h=b
     4. h=2b

     정답 : []
     정답률 : 알수없음

72. 관수로에서 레이놀즈(Reynolds) 수에 관한 설명으로 옳지 않은 것은?
     1. 무차원 변수이다.
     2. 관성력과 점성력의 비로 나타낸다.
     3. 관성력과 중력의 비로 나타낸다.
     4. 층류, 천이류, 난류로 구분할 때 이용된다.

     정답 : []
     정답률 : 알수없음

73. 관수로 흐름에서 발생하는 미소손실에 관한 설명으로 옳지 않은 것은?
     1. 관내 마찰에 의한 손실이다.
     2. 체크밸브에 의한 손실이다.
     3. 단면의 급축소에 의한 손실이다.
     4. 단면의 급확대에 의한 손실이다.

     정답 : []
     정답률 : 알수없음

74. 개수로에서 프루드수(Froude number)에 관한 설명으로 옳지 않은 것은?
     1. 관성력과 점성력의 비로 나타낸다.
     2. 프루드수가 1이면 한계류이다.
     3. 프루드수가 1보다 크면 사류이다.
     4. 프루드수가 1보다 작으면 상류이다.

     정답 : []
     정답률 : 알수없음

75. 혼화지의 속도경사(G)에 관한 설명으로 옳지 않은 것은?
     1. 교반강도를 나타내는 수치이다.
     2. 혼화지의 부피에 영향을 받는다.
     3. 물의 수온에 영향을 받는다.
     4. 물의 점성계수에 영향을 받지 않는다.

     정답 : []
     정답률 : 알수없음

76. 수격현상을 경감시키는 방법이 아닌 것은?
     1. 역지밸브를 설치한다.
     2. Flywheel을 설치한다.
     3. 최저압력이 증기압보다 작아지도록 유지한다.
     4. 큰 관을 사용한다.

     정답 : []
     정답률 : 알수없음

77. 11.5 m의 전양정으로 0.5 m3/s의 수량을 양수하려 한다. 펌프의 효율이 80 %라면, 펌프에 필요한 동력(kW)은 약 얼마인가? (단, 중력가속도는 9.8 m/s2, 물의 단위 중량은 1,000 kgf/m3이다.)
     1. 39.2
     2. 45.1
     3. 61.3
     4. 70.4

     정답 : []
     정답률 : 알수없음

78. 펌프의 비속도(Ns)를 올바르게 나타낸 것은? (단, N 은 회전속도, Q는 토출량, H는 전양정이다.)
     1.
     2.
     3.
     4.

     정답 : []
     정답률 : 알수없음

79. 펌프에 사용되는 물리량인 동력에 관한 설명으로 옳지 않은 것은?
     1. 차원은 [MLT-1]이다.
     2. 단위로 kW를 사용한다.
     3. 단위시간에 사용하는 에너지의 양이다.
     4. 단위로 Hp(마력)을 사용한다.

     정답 : []
     정답률 : 알수없음

80. 운전중인 펌프의 토출량을 제어하기 위한 방법이 아닌 것은?
     1. 펌프의 회전속도 제어
     2. 펌프의 압력 제어
     3. 펌프의 운전대수 제어
     4. 밸브의 개도 제어

     정답 : []
     정답률 : 알수없음


정 답 지

1

2

3

4

5

6

7

8

9

10

11

12

13

14

15

16

17

18

19

20

21

22

23

24

25

26

27

28

29

30

31

32

33

34

35

36

37

38

39

40

41

42

43

44

45

46

47

48

49

50

51

52

53

54

55

56

57

58

59

60

61

62

63

64

65

66

67

68

69

70

71

72

73

74

75

76

77

78

79

80

정수시설운영관리사 3급 1차 필기 기출문제(해설) 및 CBT 2024년04월13일을 이용해 주셔서 감사합니다.
, 필기, 기출문제, 전자문제집, CBT, 온라인, 모의테스트, 모의고사



List of Articles
번호 제목 글쓴이 날짜 조회 수
22875 정수시설운영관리사 2급 1차 필기 기출문제(해설) 및 CBT 2020년02월15일(16333) new 좋은아빠되기 2025.11.26 1
22874 정수시설운영관리사 1급 1차 필기 기출문제(해설) 및 CBT 2020년06월06일(16332) new 좋은아빠되기 2025.11.26 1
22873 정수시설운영관리사 1급 1차 필기 기출문제(해설) 및 CBT 2020년02월15일(16331) new 좋은아빠되기 2025.11.26 1
» 정수시설운영관리사 3급 1차 필기 기출문제(해설) 및 CBT 2024년04월13일(16330) new 좋은아빠되기 2025.11.26 1
22871 정수시설운영관리사 2급 1차 필기 기출문제(해설) 및 CBT 2024년04월13일(16329) new 좋은아빠되기 2025.11.26 1
22870 정수시설운영관리사 1급 1차 필기 기출문제(해설) 및 CBT 2024년04월13일(16328) new 좋은아빠되기 2025.11.26 1
22869 정수시설운영관리사 2급 1차 필기 기출문제(해설) 및 CBT 2024년08월10일(16326) new 좋은아빠되기 2025.11.26 0
22868 정수시설운영관리사 1급 1차 필기 기출문제(해설) 및 CBT 2024년08월10일(16325) new 좋은아빠되기 2025.11.26 0
22867 정보통신기사(구) 필기 기출문제(해설) 및 CBT 2021년10월15일(16324) new 좋은아빠되기 2025.11.26 0
22866 경비지도사 2차(소방학) 필기 기출문제(해설) 및 CBT 2024년11월09일(16323) new 좋은아빠되기 2025.11.26 0
22865 경비지도사 2차(범죄학) 필기 기출문제(해설) 및 CBT 2024년11월09일(16322) new 좋은아빠되기 2025.11.26 0
22864 경비지도사 2차(경호학) 필기 기출문제(해설) 및 CBT 2024년11월09일(16321) new 좋은아빠되기 2025.11.26 0
22863 경비지도사 2차(기계경비기획및설계) 필기 기출문제(해설) 및 CBT 2024년11월09일(16320) new 좋은아빠되기 2025.11.26 0
22862 경비지도사 2차(기계경비개론) 필기 기출문제(해설) 및 CBT 2024년11월09일(16319) new 좋은아빠되기 2025.11.26 0
22861 경비지도사 2차(경비업법) 필기 기출문제(해설) 및 CBT 2024년11월09일(16318) new 좋은아빠되기 2025.11.26 0
22860 경비지도사 1차(법학개론,민간경비론) 필기 기출문제(해설) 및 CBT 2024년11월09일(16317) new 좋은아빠되기 2025.11.26 0
22859 정수시설운영관리사 1급 1차 필기 기출문제(해설) 및 CBT 2023년04월29일(16316) new 좋은아빠되기 2025.11.26 0
22858 정수시설운영관리사 1급 1차 필기 기출문제(해설) 및 CBT 2023년09월09일(16315) new 좋은아빠되기 2025.11.26 0
22857 공조냉동기계기사(구) 필기 기출문제(해설) 및 CBT 2008년07월27일(16313) new 좋은아빠되기 2025.11.26 0
22856 네트워크관리사 1급 필기 시험문제 및 CBT 2024년10월27일(16312) new 좋은아빠되기 2025.11.26 0
Board Pagination Prev 1 ... 10 11 12 13 14 15 16 17 18 19 ... 1158 Next
/ 1158