자격증 필기 기출문제



9급 국가직 공무원 전기이론 필기 기출문제(해설) 및 CBT 모의고사(2025년 12월 08일)(4858468)

최강 자격증 기출문제 전자문제집 CBT : www.comcbt.com


전자문제집 CBT란?
종이 문제집이 아닌 인터넷으로 문제를 풀고 자동으로 채점하며 모의고사, 오답 노트, 해설까지 제공하는
무료 기출문제 학습 프로그램으로 실제 상설검정에서 사용하는 OMR 형식의 CBT를 제공합니다.

최신 9급 국가직 공무원 전기이론 필기 기출문제 : [다운로드]


1. 전류원과 전압원의 특징에 대한 설명으로 옳은 것만을 모두 고르면?(2021년 04월)

   

     1. ㄱ, ㄴ
     2. ㄱ, ㄷ
     3. ㄴ, ㄹ
     4. ㄷ, ㄹ

     정답 : []
     정답률 : 72%
     <문제 해설>
회로 이론/ 회로망 해석 기법
이상적인 전압원: 내부저항이 0인경우를 말한다
이상적인 전류원: 내부저항이 무한대 인 경우를 말한다
실질적인 전압원: 내부저항이 전압원에 직렬로 존재
실질적인 전류원: 내부저항이 전류원에 병렬로 존재
[해설작성자 : 공린이]

2. 다음 그림과 같은 RC직렬회로에 정현파 교류전원을 인가하였을 때, 저항 양단 전압과 콘덴서 양단 전압의 실효치가 같았다. 인가된 전압과 전류의 위상차[°]는?(2008년 04월)

   

     1. 30
     2. 45
     3. 60
     4. 90

     정답 : []
     정답률 : 88%
     <문제 해설>
실효값이 같으므로 R = Xc
따라서 각도는 1:1:루트2 나오는 45도(R:X:Z)
[해설작성자 : 마산광견]

3. 그림의 회로에서 R1과 R2 저항값의 차[Ω]는? (단, R1+R2=10[Ω]이다)(2025년 04월)

   

     1. 2
     2. 4
     3. 6
     4. 8

     정답 : []
     정답률 : 알수없음

4. 임의의 닫힌 공간에서 외부로 나가는 전기선속과 공간 내부의 총전하량의 관계를 나타내는 것은?(2023년 04월)
     1. 옴의 법칙
     2. 쿨롱의 법칙
     3. 가우스 법칙
     4. 패러데이 법칙

     정답 : []
     정답률 : 83%

5. 100 [mH]의 자기인덕턴스가 있다. 여기에 10 [A]의 전류가 흐를 때 자기인덕턴스에 축적되는 에너지의 크기[J]는?(2007년 04월)
     1. 0.5
     2. 1
     3. 5
     4. 10

     정답 : []
     정답률 : 87%

6. 어떤 직류회로 양단에 10 [Ω]의 부하저항을 연결하니 100 [mA]의 전류가 흘렀고, 10 [Ω]의 부하저항 대신 25 [Ω]의 부하저항을 연결하니 50 [mA]로 전류가 감소하였다. 이 회로의 테브난 등가 전압과 등가저항은? (순서대로 등가전압[V], 등가저항[Ω])(2013년 07월)
     1. 1, 2
     2. 1, 5
     3. 1.5, 2
     4. 1.5, 5

     정답 : []
     정답률 : 81%

7. 다음 회로에서 단자 a와 b 사이의 테브냉(Thevenin) 등가저항 RTH[kΩ]와 개방 회로 전압 Voc[V]는? (순서대로 RTH[kΩ], Voc[V])(2014년 04월)

   

     1. 10/3, 10
     2. 10/3, 14
     3. 5, 10
     4. 5, 14

     정답 : []
     정답률 : 49%

8. 다음 그림과 같은 R-L-C 직렬 회로에서 회로의 역률 및 기전력 Vs[V]는?(2011년 04월)

   

     1. 0.6, 360
     2. 0.8, 200
     3. 0.6, 200
     4. 0.8, 360

     정답 : []
     정답률 : 74%

9. 그림의 회로에서 스위치 S가 충분히 긴 시간 동안 닫혀있다가 t=0에서 개방된 직후의 커패시터 전압 VC(0+)[V]는?(2022년 04월)

   

     1. 10
     2. 15
     3. 20
     4. 25

     정답 : []
     정답률 : 56%

10. 그림과 같이 4개의 전하가 정사각형의 형태로 배치되어 있다. 꼭짓점 C에서의 전계강도가 0[V/m]일 때, 전하량 Q[C]는?(2022년 04월)

    

     1. -2√2
     2. -2
     3. 2
     4. 2√2

     정답 : []
     정답률 : 51%

11. 단상 교류전력에 대한 설명으로 옳지 않은 것은?(2025년 04월)
     1. 순시전력은 복소전력의 크기이다.
     2. 유효전력은 저항에서 실제로 소비되는 전력이다.
     3. 피상전력은 전압 실횻값과 전류 실횻값의 곱이다.
     4. 무효전력은 리액턴스에서 전원과 교환되는 전력이다.

     정답 : []
     정답률 : 알수없음

12. 전압이 10 [V], 내부저항이 1 [Ω]인 전지(E)를 두 단자에 n개 직렬접속하여 R과 2R이 병렬접속된 부하에 연결하였을 때, 전지에 흐르는 전류 I가 2 [A]라면 저항 R [Ω]은?(2018년 04월)
     1. 3n
     2. 4n
     3. 5n
     4. 6n

     정답 : []
     정답률 : 74%

13. 기전력이 1.5 [V], 내부 저항이 3 [Ω]인 전지 3개를 같은 극끼리 병렬로 연결하고, 어떤 부하저항을 연결하였더니 부하에 0.5 [A]의 전류가 흘렀다. 부하저항의 값을 두 배로 높였을 때, 부하에 흐르는 전류[A]는?(2013년 07월)
     1. 0.30
     2. 0.35
     3. 0.40
     4. 0.45

     정답 : []
     정답률 : 82%

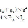
14. R-L-C 병렬회로에서 저항 10Ω, 인덕턴스 100 H, 정전용량 104㎌일 때 공진 현상이 발생하였다. 이 때 공진 주파수[Hz]는?(2014년 04월)
     1.
     2. 1/2π
     3. 1/π
     4. 10/π

     정답 : []
     정답률 : 79%

15. 다음 회로에서 저항 2 Ω에 소비되는 전력[W]은?(2014년 04월)

    

     1. 30
     2. 40
     3. 50
     4. 60

     정답 : []
     정답률 : 47%

16. 그림의 회로에서 전류 I1과 I2에 대한 방정식이 다음과 같을 때, a1+a2의 값은?(2023년 04월)

    

     1. 40
     2. 50
     3. 60
     4. 70

     정답 : []
     정답률 : 67%

17. 그림의 3상 교류 시스템에서 부하에 소비되는 전력을 2-전력계법으로 측정한 값이 P1은 50[W]이고 P2는 100[W]일 때, 전체 피상전력[VA]은?(2023년 04월)

    

     1. 50
     2. 50√3
     3. 100√3
     4. 150√3

     정답 : []
     정답률 : 65%

18. 부하 양단 전압이 v(t)=60cos(ωt-10°)[V]이고 부하에 흐르는 전류가 i(t)=1.5cos(ωt+50°)[A]일 때 복소전력 S[VA]와 부하 임피던스 Z[Ω]는? (순서대로 S[VA], Z[Ω])(2017년 04월)
     1. 45∠40°, 40∠60°
     2. 45∠40°, 40∠-60°
     3. 45∠-60°, 40∠60°
     4. 45∠-60°, 40∠-60°

     정답 : []
     정답률 : 66%

19. 다음 회로에서 최대 평균전력을 전달하기 위한 부하 임피던스 ZL[Ω]은?(2013년 07월)

    

     1. 0.6-j2.6
     2. 0.6+j2.6
     3. 1-j
     4. 1+j

     정답 : []
     정답률 : 72%

20. 다음 교류회로가 정상상태일 때, 전류 i(t)[A]는?(2018년 04월)

    

     1. 2sin1000t
     2. 2cos1000t
     3. 10cos(1000t-60°)
     4. 10sin(1000t-60°)

     정답 : []
     정답률 : 74%
     <문제 해설>
정상상태 -> 즉, L은 단락 C는 개방하여 회도로를 다시 그리고 풀이할 것(따라서 저항 성분만 남게 된다)
[해설작성자 : 전기직 공무원]

아래와 같은 오류 신고가 있었습니다.
여러분들의 많은 의견 부탁 드립니다.
추후 여러분들의 의견을 반영하여 정답을 수정하도록 하겠습니다.
참고로 정답 변경은 오류 신고 5회 이상일 경우 수정합니다.

[오류 신고 내용]
전원이 직류가 아니고 교류입니다. 전원에서 w = 1000 으로 명시되어있고 이를 이용해 인덕터와 캐패시터의 리액턴스를 구해서 풀어야 합니다. 인덕터와 캐패시터를 단락 개방에서 풀었을 시 답은 같게 나오나 풀이는 틀린 것으로 보입니다.
[해설작성자 : 전원이 직류가 아니고 교류임.]


정 답 지

9급 국가직 공무원 전기이론 필기 기출문제(해설) 및 CBT 모의고사(2025년 12월 08일)(4858468)

최강 자격증 기출문제 전자문제집 CBT : www.comcbt.com


전자문제집 CBT란?
종이 문제집이 아닌 인터넷으로 문제를 풀고 자동으로 채점하며 모의고사, 오답 노트, 해설까지 제공하는
무료 기출문제 학습 프로그램으로 실제 상설검정에서 사용하는 OMR 형식의 CBT를 제공합니다.

최신 9급 국가직 공무원 전기이론 필기 기출문제 : [다운로드]


1. 전류원과 전압원의 특징에 대한 설명으로 옳은 것만을 모두 고르면?(2021년 04월)

   

     1. ㄱ, ㄴ
     2. ㄱ, ㄷ
     3. ㄴ, ㄹ
     4. ㄷ, ㄹ

     정답 : []
     정답률 : 72%
     <문제 해설>
회로 이론/ 회로망 해석 기법
이상적인 전압원: 내부저항이 0인경우를 말한다
이상적인 전류원: 내부저항이 무한대 인 경우를 말한다
실질적인 전압원: 내부저항이 전압원에 직렬로 존재
실질적인 전류원: 내부저항이 전류원에 병렬로 존재
[해설작성자 : 공린이]

2. 다음 그림과 같은 RC직렬회로에 정현파 교류전원을 인가하였을 때, 저항 양단 전압과 콘덴서 양단 전압의 실효치가 같았다. 인가된 전압과 전류의 위상차[°]는?(2008년 04월)

   

     1. 30
     2. 45
     3. 60
     4. 90

     정답 : []
     정답률 : 88%
     <문제 해설>
실효값이 같으므로 R = Xc
따라서 각도는 1:1:루트2 나오는 45도(R:X:Z)
[해설작성자 : 마산광견]

3. 그림의 회로에서 R1과 R2 저항값의 차[Ω]는? (단, R1+R2=10[Ω]이다)(2025년 04월)

   

     1. 2
     2. 4
     3. 6
     4. 8

     정답 : []
     정답률 : 알수없음

4. 임의의 닫힌 공간에서 외부로 나가는 전기선속과 공간 내부의 총전하량의 관계를 나타내는 것은?(2023년 04월)
     1. 옴의 법칙
     2. 쿨롱의 법칙
     3. 가우스 법칙
     4. 패러데이 법칙

     정답 : []
     정답률 : 83%

5. 100 [mH]의 자기인덕턴스가 있다. 여기에 10 [A]의 전류가 흐를 때 자기인덕턴스에 축적되는 에너지의 크기[J]는?(2007년 04월)
     1. 0.5
     2. 1
     3. 5
     4. 10

     정답 : []
     정답률 : 87%

6. 어떤 직류회로 양단에 10 [Ω]의 부하저항을 연결하니 100 [mA]의 전류가 흘렀고, 10 [Ω]의 부하저항 대신 25 [Ω]의 부하저항을 연결하니 50 [mA]로 전류가 감소하였다. 이 회로의 테브난 등가 전압과 등가저항은? (순서대로 등가전압[V], 등가저항[Ω])(2013년 07월)
     1. 1, 2
     2. 1, 5
     3. 1.5, 2
     4. 1.5, 5

     정답 : []
     정답률 : 81%

7. 다음 회로에서 단자 a와 b 사이의 테브냉(Thevenin) 등가저항 RTH[kΩ]와 개방 회로 전압 Voc[V]는? (순서대로 RTH[kΩ], Voc[V])(2014년 04월)

   

     1. 10/3, 10
     2. 10/3, 14
     3. 5, 10
     4. 5, 14

     정답 : []
     정답률 : 49%

8. 다음 그림과 같은 R-L-C 직렬 회로에서 회로의 역률 및 기전력 Vs[V]는?(2011년 04월)

   

     1. 0.6, 360
     2. 0.8, 200
     3. 0.6, 200
     4. 0.8, 360

     정답 : []
     정답률 : 74%

9. 그림의 회로에서 스위치 S가 충분히 긴 시간 동안 닫혀있다가 t=0에서 개방된 직후의 커패시터 전압 VC(0+)[V]는?(2022년 04월)

   

     1. 10
     2. 15
     3. 20
     4. 25

     정답 : []
     정답률 : 56%

10. 그림과 같이 4개의 전하가 정사각형의 형태로 배치되어 있다. 꼭짓점 C에서의 전계강도가 0[V/m]일 때, 전하량 Q[C]는?(2022년 04월)

    

     1. -2√2
     2. -2
     3. 2
     4. 2√2

     정답 : []
     정답률 : 51%

11. 단상 교류전력에 대한 설명으로 옳지 않은 것은?(2025년 04월)
     1. 순시전력은 복소전력의 크기이다.
     2. 유효전력은 저항에서 실제로 소비되는 전력이다.
     3. 피상전력은 전압 실횻값과 전류 실횻값의 곱이다.
     4. 무효전력은 리액턴스에서 전원과 교환되는 전력이다.

     정답 : []
     정답률 : 알수없음

12. 전압이 10 [V], 내부저항이 1 [Ω]인 전지(E)를 두 단자에 n개 직렬접속하여 R과 2R이 병렬접속된 부하에 연결하였을 때, 전지에 흐르는 전류 I가 2 [A]라면 저항 R [Ω]은?(2018년 04월)
     1. 3n
     2. 4n
     3. 5n
     4. 6n

     정답 : []
     정답률 : 74%

13. 기전력이 1.5 [V], 내부 저항이 3 [Ω]인 전지 3개를 같은 극끼리 병렬로 연결하고, 어떤 부하저항을 연결하였더니 부하에 0.5 [A]의 전류가 흘렀다. 부하저항의 값을 두 배로 높였을 때, 부하에 흐르는 전류[A]는?(2013년 07월)
     1. 0.30
     2. 0.35
     3. 0.40
     4. 0.45

     정답 : []
     정답률 : 82%

14. R-L-C 병렬회로에서 저항 10Ω, 인덕턴스 100 H, 정전용량 104㎌일 때 공진 현상이 발생하였다. 이 때 공진 주파수[Hz]는?(2014년 04월)
     1.
     2. 1/2π
     3. 1/π
     4. 10/π

     정답 : []
     정답률 : 79%

15. 다음 회로에서 저항 2 Ω에 소비되는 전력[W]은?(2014년 04월)

    

     1. 30
     2. 40
     3. 50
     4. 60

     정답 : []
     정답률 : 47%

16. 그림의 회로에서 전류 I1과 I2에 대한 방정식이 다음과 같을 때, a1+a2의 값은?(2023년 04월)

    

     1. 40
     2. 50
     3. 60
     4. 70

     정답 : []
     정답률 : 67%

17. 그림의 3상 교류 시스템에서 부하에 소비되는 전력을 2-전력계법으로 측정한 값이 P1은 50[W]이고 P2는 100[W]일 때, 전체 피상전력[VA]은?(2023년 04월)

    

     1. 50
     2. 50√3
     3. 100√3
     4. 150√3

     정답 : []
     정답률 : 65%

18. 부하 양단 전압이 v(t)=60cos(ωt-10°)[V]이고 부하에 흐르는 전류가 i(t)=1.5cos(ωt+50°)[A]일 때 복소전력 S[VA]와 부하 임피던스 Z[Ω]는? (순서대로 S[VA], Z[Ω])(2017년 04월)
     1. 45∠40°, 40∠60°
     2. 45∠40°, 40∠-60°
     3. 45∠-60°, 40∠60°
     4. 45∠-60°, 40∠-60°

     정답 : []
     정답률 : 66%

19. 다음 회로에서 최대 평균전력을 전달하기 위한 부하 임피던스 ZL[Ω]은?(2013년 07월)

    

     1. 0.6-j2.6
     2. 0.6+j2.6
     3. 1-j
     4. 1+j

     정답 : []
     정답률 : 72%

20. 다음 교류회로가 정상상태일 때, 전류 i(t)[A]는?(2018년 04월)

    

     1. 2sin1000t
     2. 2cos1000t
     3. 10cos(1000t-60°)
     4. 10sin(1000t-60°)

     정답 : []
     정답률 : 74%
     <문제 해설>
정상상태 -> 즉, L은 단락 C는 개방하여 회도로를 다시 그리고 풀이할 것(따라서 저항 성분만 남게 된다)
[해설작성자 : 전기직 공무원]

아래와 같은 오류 신고가 있었습니다.
여러분들의 많은 의견 부탁 드립니다.
추후 여러분들의 의견을 반영하여 정답을 수정하도록 하겠습니다.
참고로 정답 변경은 오류 신고 5회 이상일 경우 수정합니다.

[오류 신고 내용]
전원이 직류가 아니고 교류입니다. 전원에서 w = 1000 으로 명시되어있고 이를 이용해 인덕터와 캐패시터의 리액턴스를 구해서 풀어야 합니다. 인덕터와 캐패시터를 단락 개방에서 풀었을 시 답은 같게 나오나 풀이는 틀린 것으로 보입니다.
[해설작성자 : 전원이 직류가 아니고 교류임.]


정 답 지

1

2

3

4

5

6

7

8

9

10

11

12

13

14

15

16

17

18

19

20

9급 국가직 공무원 전기이론 필기 기출문제(해설) 및 CBT 모의고사(2025년 12월 08일)(4858468)을 이용해 주셔서 감사합니다.
, 필기, 기출문제, 전자문제집, CBT, 온라인, 모의테스트, 모의고사



List of Articles
번호 제목 글쓴이 날짜 조회 수
27472 실내건축기사(구) 필기 기출문제(해설) 및 CBT 2012년03월04일 new 좋은아빠되기 2025.12.08 1
27471 항공기체정비기능사 필기 기출문제(해설) 및 CBT 2010년10월03일(5회) new 좋은아빠되기 2025.12.08 4
27470 수능(세계지리) 필기 기출문제(해설) 및 CBT 2011년07월13일 new 좋은아빠되기 2025.12.08 1
27469 사출(프레스)금형설계기사 필기 기출문제(해설) 및 CBT 2005년05월29일 new 좋은아빠되기 2025.12.08 3
27468 9급 지방직 공무원 서울시 의료관계법규 필기 기출문제(해설) 및 CBT 2023년06월10일 new 좋은아빠되기 2025.12.08 1
27467 전기철도기사 필기 기출문제(해설) 및 CBT 2013년06월02일 new 좋은아빠되기 2025.12.08 3
» 9급 국가직 공무원 전기이론 필기 기출문제(해설) 및 CBT 모의고사(2025년 12월 08일)(4858468) new 좋은아빠되기 2025.12.08 1
27465 한복기능사 필기 기출문제(해설) 및 CBT 2004년04월04일(2회) new 좋은아빠되기 2025.12.08 5
27464 제과기능사 필기 기출문제(해설) 및 CBT 2002년04월07일(2회) new 좋은아빠되기 2025.12.08 2
27463 텔레마케팅관리사 필기 기출문제(해설) 및 CBT 2002년12월08일 new 좋은아빠되기 2025.12.08 3
27462 한국사능력검정시험 심화 필기 기출문제(해설) 및 CBT 2015년01월24일 new 좋은아빠되기 2025.12.08 1
27461 9급 국가직 공무원 통계학개론 필기 기출문제(해설) 및 CBT 2021년04월17일 new 좋은아빠되기 2025.12.08 3
27460 자연생태복원기사(구) 필기 기출문제(해설) 및 CBT 2019년03월03일 new 좋은아빠되기 2025.12.08 1
27459 9급 지방직 공무원 행정학개론 필기 기출문제(해설) 및 CBT 2017년12월16일 new 좋은아빠되기 2025.12.08 3
27458 생물분류기사(동물) 필기 기출문제(해설) 및 CBT 모의고사(2025년 12월 08일)(8293273) new 좋은아빠되기 2025.12.08 1
27457 TAT 2급(구) 필기 기출문제(해설) 및 CBT 2013년06월15일 new 좋은아빠되기 2025.12.08 3
27456 9급 국가직 공무원 정보보호론 필기 기출문제(해설) 및 CBT 2018년04월07일 new 좋은아빠되기 2025.12.08 2
27455 9급 국가직 공무원 형사소송법 필기 기출문제(해설) 및 CBT 2025년04월05일 new 좋은아빠되기 2025.12.08 3
27454 9급 지방직 공무원 서울시 영어 필기 기출문제(해설) 및 CBT 2019년06월15일 new 좋은아빠되기 2025.12.08 1
27453 수산양식기사 필기 기출문제(해설) 및 CBT 2006년08월06일 new 좋은아빠되기 2025.12.08 3
Board Pagination Prev 1 2 3 4 5 6 7 8 9 10 ... 1377 Next
/ 1377