자격증 필기 기출문제



품질경영기사 필기 기출문제(해설) 및 CBT 2015년05월31일(964)

최강 자격증 기출문제 전자문제집 CBT : www.comcbt.com


전자문제집 CBT란?

종이 문제집이 아닌 인터넷으로 문제를 풀고 자동으로 채점하며 모의고사, 오답 노트, 해설까지 제공하는
무료 기출문제 학습 프로그램으로 실제 상설검정에서 사용하는 OMR 형식의 CBT를 제공합니다.


최신 품질경영기사 필기 기출문제 : [다운로드]

아래 화면과 같은 방식의 웹 버전 링크 복사 기능 : [바로가기]

1과목 : 실험계획법


1. 다음은 변량인자 A와 B로 이루어진 지분실험법의 분산분석표이다. 여기서 σ2B(A)의 추정값은?

   

     1. 0.5
     2. 1.0
     3. 1.5
     4. 2.5

     정답 : []
     정답률 : 68%

2. 분할법에서 2차 인자와 3차 인자의 교호작용은 몇 차 단위의 요인이 되는가?
     1. 1차 단위
     2. 2차 단위
     3. 3차 단위
     4. 4차 단위

     정답 : []
     정답률 : 80%
     <문제 해설>
저차 단위와 고차 단위의 교호작용은 고차 단위에 배치된다.
[해설작성자 : 얼룩토끼]

3. 다음과 같은 일원배치법에서 오차항의 자유도는?

   

     1. 9
     2. 10
     3. 11
     4. 12

     정답 : []
     정답률 : 74%
     <문제 해설>
반복이 일정하지 않은 1요인실험에서의 자유도
A     l-1
e     l(r-1)
T     lr-1
[해설작성자 : 힘내라힘]

4. 형 실험계획에서 반복이 없는 실험을 하여 아래 표와 같은 데이터를 얻었다. 인자 A의 주효과는?

   

     1. 8
     2. 16
     3. 18
     4. 30

     정답 : []
     정답률 : 75%
     <문제 해설>
1/4(T1..-T0..) = 16
[해설작성자 : comcbt.com 이용자]

5. 4X4 라틴 방격법에서 오차의 자유도는?
     1. 4
     2. 6
     3. 8
     4. 10

     정답 : []
     정답률 : 76%

6. 화학공정에서 수율을 향상시킬 목적으로 온도를 3수준, 실험일을 3일 선택하여 실험을 실시하려고 한다. 인자의 종류에 따라 분류할 때 실험계획에서 사용되는 모형은?
     1. 모수모형
     2. 변량모형
     3. 혼합모형
     4. 블록모형

     정답 : []
     정답률 : 63%

7. 25형의 1/4실시 실험에서 이중교락을 시켜 블록과 ABCDE, ABC, DE를 교락시켰다. AD 와 별명관계 중 틀린 것은?
     1. AB
     2. AE
     3. BCE
     4. BCD

     정답 : []
     정답률 : 81%

8. 다음은 모수인자 반복없는 삼원배치 분산분석 결과를 풀링하여 다시 정리한 것이다. 다음 설명 중 틀린 것은?

   

     1. 풀링 전 오차의 자유도는 8 이었다.
     2. 교호작용 BxC 는 오차항에 풀링되었다.
     3. 최적해의 추정치는 이다.
     4. 현재의 자유도로 보아 결측치가 하나 있는 것으로 나타났다.

     정답 : []
     정답률 : 75%

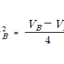
9. 모수모형 이원배치법의 분산분석을 실시한 결과 교호작용이 무시되었다. 오차항에 풀링한 후 요인 B의 분산비를 구하면 약 얼마인가?

   

     1. 2.75
     2. 3.67
     3. 5.50
     4. 9.17

     정답 : []
     정답률 : 75%
     <문제 해설>
풀링 후 오차 Ve= 84/28=3.0
FB= VB/Ve(풀링) = 11.0/3.0= 3.667
[해설작성자 : comcbt.com 이용자]

10. 일원배치법에서 인자 A를 3수준으로 반복 5회 측정의 실험을 하였을 경우 SA의 기댓값은?
     1. E(SA) = 2σ2e + 10σ2A
     2. E(SA) = σ2e + 3σ2A
     3. E(SA) = 2σ2e + 6σ2A
     4. E(SA) = σ2e + 5σ2A

     정답 : []
     정답률 : 51%
     <문제 해설>
아래와 같은 오류 신고가 있었습니다.
여러분들의 많은 의견 부탁 드립니다.
추후 여러분들의 의견을 반영하여 정답을 수정하도록 하겠습니다.
참고로 정답 변경은 오류 신고 5회 이상일 경우 수정합니다.

[오류 신고 내용]

답이 4번이 맞습니다
공식에 의하면 시그마이제곱 +m시그마A제곱으로 , 적용했을시 4번이 되는게 맞지 않나요?

[오류신고 반론]
1번 맞습니다

[오류신고 반론]
1번 맞습니다.
4번은 Va 고 문제는 Sa 로 전체에 A의 자유도를 곱해주어야 됩니다.
[해설작성자 : HAM]

[추가 오류 신고]
4번이 답입니다 책에 그럼
[해설작성자 : ㅎㅈ]

[관리자 입니다.
다른 문제집 확인 가능한분 계시면 확인 부탁 드립니다.
신고시 출판사명까지 기제 부탁 드립니다.]

[오류신고 반론]
1번 맞아요

[오류신고 반론]
1번이 맞습니다. E(S)는 E(MS)에서 DF값을 곱해야합니다.
[해설작성자 : comcbt.com 이용자]

[오류신고 반론]
E(Sa)=E(Va X A자유도) , A 자유도 = (l-1) = 2 이므로 4번답에 X2를 취한 1번이 정답.
출판사 - 성안당
[해설작성자 : 안녕하세욤]

11. 인자의 수준과 수준수를 택하는 방법으로 가장 거리가 먼 것은?
     1. 현재 사용되고 있는 인자의 수준은 포함시키는 것이 바람직하다.
     2. 실험자가 생각하고 있는 각 인자의 흥미영역에서만 수준을 잡아준다.
     3. 특성치가 명확히 나쁘게 되리라고 예상되는 인자의 수준은 흥미영역에 포함된다.
     4. 수준수는 보통 2~5수준이 적절하며 많아도 6수준이 넘지 않도록 하여야 한다.

     정답 : []
     정답률 : 73%

12. 선형식(L)이 다음과 같을 때 이 선형식의 단위수는?

    

     1. 1/4
     2. 3/4
     3. 5/12
     4. 7/12

     정답 : []
     정답률 : 82%

13. 2 수준계에서 주효과 A, B, C, D 교호작용 A×B, A×C를 배치하고자 할 때 실험 횟수를 가장 경제적으로 할 수 있는 직교배열표는?
     1. L4(23)
     2. L8(27)
     3. L16(215)
     4. L9(34)

     정답 : []
     정답률 : 67%
     <문제 해설>
A,B,C,D,AXB,AXC 총 6개 이상 인자 수 가지고 있어야 해서 1번 오답
4번은 3수준계 여서 오답
2,3 중 횟수 가 적은 2번이 정답
[해설작성자 : 칼챔꿈나무]

14. 다구찌 방법에서 사용되는 제품설계 또는 공정설계의 3단계로 틀린 것은?
     1. 파라미터 설계
     2. 시스템 설계
     3. 프로세스 설계
     4. 허용차 설계

     정답 : []
     정답률 : 57%
     <문제 해설>
제품설계는
시스템설계→파라미터설계→허용차설계
[해설작성자 : 벨라]

15. 적합품 여부의 동일성에 관한 실험에서 적함품이면 0, 부적합품이면 1의 값을 주기로 하고, 4대의 기계에서 나오는 200 개씩의 제품을 만들어 부적합품 여부를 조사하였다. 기계간의 변동 SA를 구하면?

    

     1. 0.15
     2. 1.82
     3. 5.78
     4. 62.22

     정답 : []
     정답률 : 72%
     <문제 해설>
sqr(10)+sqr(22)+sqr(6)+sqr(30)/200 - sqr(10+22+6+30) / 800

16. 4요인(factor) A, B, C, D에 관한 24요인실험의 일부 실시(fractional replication)에서 정의대비 (defining contrast)를 M=ABCD로 하였을 때 별명관계(alias relation)로 옳은 것은?
     1. A=BCD
     2. B=ABD
     3. C=ACD
     4. D=ABD

     정답 : []
     정답률 : 82%
     <문제 해설>
A(ABCD)=BCD
B(ABCD)=ACD
C(ABCD)=ABD
D(ABCD)=ABC
[해설작성자 : 품린이]

17. 선형 회귀분석에서 사용되는 변동에 관한 공식들 중 틀린 것은?(단, S(yy) : 총 변동, S(yㆍx) : 회귀에 의하여 설명이 안되는 변동, SR : 회귀에 의하여 설명되는 변동)
     1.
     2.
     3.
     4.

     정답 : []
     정답률 : 58%

18. 반복이 있는 이원 배치법(인자 A는 모수, 인자 B가 변량)에서 제곱평균의 기대치(E(VA))들에 대한 표현으로 틀린 것은?(단, A는 l 수준, B는 m 수준, 반복 r 회 이다.)
     1. E(VE) = σ2e
     2. E(VB) = σ2e + lrσ2B
     3. E(VA) = σ2e + mrσ2A
     4. E(VA×B) = σ2e + rσ2A×B

     정답 : []
     정답률 : 68%
     <문제 해설>
3번 = σ^2e + rσ^2AxB + mrσ^2
[해설작성자 : 어호이]

19. L27(313)인 직교배열표에서 배치한 인자의 수가 8이고, 교호작용을 배치하지 않았다면 오차항에 대한 자유도는?
     1. 5
     2. 8
     3. 10
     4. 12

     정답 : []
     정답률 : 57%
     <문제 해설>
한 열의 자유도는 3이다.
13-8=5
5*2=10
[해설작성자 : 얼룩토끼]

20. A인자가 모수이고 B인자가 변량인 난괴법 실험에서 μ(Ai)의 점추정치는 이다. 이 의 분산의 추정치로 가장 올바른 것은?(단, A 인자의 수준수는 l = 4, B인자의 수준수는 m = 3)
     1.
     2.
     3.
     4.

     정답 : []
     정답률 : 63%
     <문제 해설>
아래와 같은 오류 신고가 있었습니다.
여러분들의 많은 의견 부탁 드립니다.
추후 여러분들의 의견을 반영하여 정답을 수정하도록 하겠습니다.
참고로 정답 변경은 오류 신고 5회 이상일 경우 수정합니다.

[오류 신고 내용]

답 1번인거 같습니다
[해설작성자 : 익명]

[오류신고 반론]
답 1번이라고 하시는데 난괴법의 모수인자 A의 분산 추정치는 V(B)+(l-1)V(e)/N(lm) 맞습니다 따라서 답은 4번 맞습니다
[해설작성자 : 품경기]

2과목 : 통계적품질관리


21. 샘플링검사에서 n=40, c=0인 검사방식을 적용할 때 P0 = 2% 인 로트가 합격할 확률은? (단, L(p)는 이항분포로 근사시켜 구하시오.)
     1. 42.57%
     2. 44.57%
     3. 46.57%
     4. 48.57%

     정답 : []
     정답률 : 59%
     <문제 해설>
40C0 * 0.02^0 * 0.98^40 = 0.4457
[해설작성자 : 힘내라힘]

22. 산점도를 그린 후에 검토하여야 할 사항 중 틀린 것은?
     1. 이상한 데이터가 없나를 확인한다.
     2. 두 변수 사이에 어떤 관계가 있는지를 검토한다.
     3. 두 변수가 곡선관계인 경우도 상관계수를 구하여 검토한다.
     4. 점들이 뚜렷하게 두 개 또는 그 이상으로 층별되는 경우가 있는가를 검토한다.

     정답 : []
     정답률 : 70%

23. 관리도에 대한 설명으로 틀린 것은?
     1. Shewhart 관리도는 보통 3σ 관리한계선을 사용한다.
     2. 제조공정에서의 품질변동은 이상원인에 의해서만 발생한다.
     3. 관리도는 사용하는 통계량에 따라 계수형과 계량형으로 분류한다.
     4. 공정의 관리상태에 대한 판정은 공정에 대한 가설검정 문제와 유사하다.

     정답 : []
     정답률 : 76%

24. 누적합(Cusum) 관리도의 장점으로 틀린 것은?
     1. 공정변화를 민감하게 반영한다.
     2. 현장에서 작성하기가 용이하다.
     3. 과거의 모든 데이터를 사용한다.
     4. 공정변화가 일어난 시간을 보여준다.

     정답 : []
     정답률 : 67%

25. 샘플링검사보다 전수검사를 실시하는 경우는?(오류 신고가 접수된 문제입니다. 반드시 정답과 해설을 확인하시기 바랍니다.)
     1. 검사항목이 많은 경우
     2. 파괴검사를 해야 하는 경우
     3. 품질특성치가 부적합수를 포함하지 않는 경우
     4. 생산자에게 품질향상의 자극을 주고 싶을 경우

     정답 : []
     정답률 : 62%
     <문제 해설>
아래와 같은 오류 신고가 있었습니다.
여러분들의 많은 의견 부탁 드립니다.
추후 여러분들의 의견을 반영하여 정답을 수정하도록 하겠습니다.
참고로 정답 변경은 오류 신고 5회 이상일 경우 수정합니다.

[오류 신고 내용]
3번 책에는 품질특성치가 부적합수를 포함하는 경우로 되어있는데 오류같습니다.
[해설작성자 : 으니]

26. X, Y는 확률변수이다. X와 Y의 공분산이 8, X의 기대치가 2이고, Y의 기대치가 3일 때 XY의 기대치는?
     1. 2
     2.
     3.
     4. 14

     정답 : []
     정답률 : 60%
     <문제 해설>
Cov(X,Y) = E[XY] - E[X]E[Y] => 8 = E[XY]-2*3 = E[XY]=14
[해설작성자 : 아기다람쥐파카]

27. 계량치 축차 샘플링 검사방식(KS Q ISO 8423 : 2009)에서 주어진 값 및 파라메터는 하한 규격 200 KV, 로트 표준편차는 1.2 KV, hA = 4.312, hR = 5.536, g= 2.315, nt = 49이다. n = 12번째까지 누계여유치(Y)가 38.8 이라면 n = 12에서 하측 불합격 판정치 R의 값은?
     1. 23.125
     2. 26.693
     3. 29.471
     4. 31.147

     정답 : []
     정답률 : 55%
     <문제 해설>
하측 불합격 판정치 = gσn-hrσ = 26.6928
[해설작성자 : 에어맨이 쓰러지지 않아]

위 해설에 수를 대입하면
2.315*12*1.2-5.536*1.2=26.6928
[해설작성자 : 기사 합격 기원]

28. 계수 및 계량 규준형 1회 샘플링 검사(KS Q 0001 : 2013)에서 로트의 평균치를 보증하는 경우에 상한합격판정값( )이 5.6, G0σ = 2.6 이라면, 가능한 한 합격시키고자 하는 로트의 평균값의 한계(m0)는 약 얼마인가?
     1. 3.0
     2. 4.3
     3. 5.6
     4. 8.2

     정답 : []
     정답률 : 66%
     <문제 해설>
상한합격판정값 = 평균값 한계+Goσ => 평균값 한계 = 3
[해설작성자 : 롤로노아김동현]

29. 적합도 검정에 관한 설명으로 틀린 것은?
     1. 기대도수는 계산된 수치이다.
     2. 적합도 검정은 주로 카이제곱 분포를 따른다.
     3. 적합도 검정은 확률의 가정된 값이 정해지지 않는 경우 사용할 수 없다.
     4. 주어진 데이터가 정규분포인지 알아내는데 사용할 수 있다.

     정답 : []
     정답률 : 44%
     <문제 해설>
적합도 검정은 확률의 가정된 값이 정해져 있든지,없든지 상관없이 사용 할 수 있어요
[해설작성자 : 종으니]

30. A 구장에서 경기를 하게 되면 타 구장과 비교해 홈런을 칠 확률이 높다고 한다. 실제 타구장과 비교해 홈런을 칠 확률이 50% 보다 큰지를 확인하기 위해 A 구장에서 시합한 선수 30명을 조사해 보았더니 홈런을 친 선수가 18명 이었다. A 구장에서 시합을 하면 홈런을 칠 확률이 50%보다 높은지를 검정할 때 검정통계량의 값은?
     1. 0.002
     2. 1.095
     3. 1.960
     4. 2.315

     정답 : []
     정답률 : 56%
     <문제 해설>
홈런 칠 확률 = 18/30 = 0.6
검정 통계량 = (0.6-0.5)/√[0.5*(1-0.5)]/30 = 1.095
[해설작성자 : 도파마스터간다]

31. 모분산(σ2)을 추정함에 있어서 자유도가 커짐에 따라 신뢰구간의 폭은 일반적으로 어떻게 변하는가?
     1. 일정하다
     2. 점점 커진다
     3. 점점 작아진다
     4. 영향을 받지 않는다.

     정답 : []
     정답률 : 64%

32. 군의 크기 n = 4의 -R 관리도에서 = 18.50, = 3.09 인 관리상태이다. 지금 공정평균이 15.50 으로 되었다면 본래의 3σ 한계로부터 벗어날 확률은? (단, n = 4일 때 d2 = 2.059 이다.)

    

     1. 0.1587
     2. 0.1335
     3. 0.6680
     4. 0.8413

     정답 : []
     정답률 : 33%
     <문제 해설>
이 문제는 공정평균이 18.5에서 15.5로 변화했다는 것을 인지하면 쉽게 풀 수 있습니다.
[해설작성자 : 야미]

33. 이항분포의 성질로 틀린 것은?
     1. p=0.5일 때 평균에 대해 대칭이다.
     2. 평균과 분산은 각각 μ = np, σ2 = np(1-p) 이다.
     3. p ≥ 0.1 이고, n ≤ 20 이면 포아송분포로 근사시킬 수 있다.
     4. p ≤ 0.5 이고, np ≥ 5 이면서 n(1-p) ≥ 5 이면 정규분포로 근사시킬 수 있다.

     정답 : []
     정답률 : 67%
     <문제 해설>
n이 충분히 커야 푸아송분포로 근사가능
[해설작성자 : comcbt.com 이용자]

34. c 관리도와 u 관리도에 관한 설명으로 틀린 것은?
     1. 표본의 크기가 일정하지 않을 때 c 관리도를 사용한다.
     2. 표본의 크기가 일정 할 때 c 관리도의 중심선은 변하지 않는다.
     3. 표본의 크기가 일정하지 않을 때 u 관리도의 중심선은 변하지 않는다.
     4. 표본의 크기가 일정하지 않을 때 u 관리도의 관리한계는 n에 따라 변한다.

     정답 : []
     정답률 : 57%

35. 시험기간이 길고 전 항목을 동시에 시험할 때 검사하는 방식으로 적합한 것은?
     1. 1회 샘플링 검사
     2. 다회 샘플링 검사
     3. 2회 샘플링 검사
     4. 축차 샘플링 검사

     정답 : []
     정답률 : 52%

36. 정규분포를 따르는 모집단에서 10개의 제품을 뽑아서 두께를 측정한 결과 [데이터]와 같은 자료를 얻었다. 제품 두께의 모분산(σ2)에 대한 90% 신뢰구간은 약 얼마인가?(단, x20.05(9) = 3.33, x20.95(9) = 16.92, t0.95(9) = 1.833, t0.975(9) = 2.262 이다.)

    

     1. 2.74 ≤ σ2 ≤ 13.93
     2. 3.04 ≤ σ2 ≤ 13.93
     3. 2.74 ≤ σ2 ≤ 15.48
     4. 3.04 ≤ σ2 ≤ 15.48

     정답 : []
     정답률 : 65%
     <문제 해설>
모분산 추정
(n-1)s2/x20.95 ≤ σ2≤ (n-1)s2/x20.05 => 1번
[해설작성자 : 열심히 하시잖아]

37. 로트별 합격품질한계(AQL) 지표형 샘플링검사(KS A ISO 2859-1)에서 샘플링표 구성의 특징으로 틀린 것은?
     1. 로트의 크기에 따라 생산자 위험이 일정하게 되어 있다.
     2. AQL 과 시료의 크기에는 등비수열이 채택되어 있다.
     3. 구매자에게는 원하지 않는 품질의 로트를 합격시키지 않도록 설계되어 있으며 장기적인 품질보증을 할 수 있도록 설계되어 있다.
     4. 까다로운 검사의 경우 보통 검사와 검사개수는 같고 AC를 조정하게 되어 있으나, AC=0 인 경우에는 시료수가 증가하게 되어 있는 샘플링 검사방식이다.

     정답 : []
     정답률 : 47%

38. μ = 23.30 인 모집단에서 n = 6 개를 추출하여 어떤 값을 측정한 결과는 다음과 같다. 모평균의 검정을 위하여 검정통계량(t0)을 구하면 약 얼마인가?

    

     1. 1.23
     2. 1.32
     3. 2.23
     4. 4.98

     정답 : []
     정답률 : 40%
     <문제 해설>
Xi = 20/6 = (xi-25)*10,        xi = 25.333
SSX = 2554-400/6 = 247.8333, VX = 247.8/5 = 49.747 Vx = 4.9747
t0 = 25.333-23.30 / root(Vx/n)
[해설작성자 : comcbt.com 이용자]

39. 공정해석을 위한 특성치의 선정 시 고려해야 할 주의사항으로 틀린 것은?
     1. 수량화하기 쉬운 것을 택한다.
     2. 해석을 위한 특성은 되도록 많이 택한다.
     3. 기술상으로 보아 공정이나 제품에 있어서 중요한 것을 택한다.
     4. 해석을 위한 특성과 관리를 위한 특성은 반드시 일치 시킨다.

     정답 : []
     정답률 : 58%

40. 모분산이 설정된 기준치보다 크다고 할 수 있는가의 검정에서 기각역의 크기를 추정하려면 다음 중 어떠한 전제조건을 만족해야 하는가?
     1. x02<xα/22(v)
     2. x02>x1-α/22(v)
     3. x02<xα2(v)
     4. x02>x1-α2(v)

     정답 : []
     정답률 : 48%

3과목 : 생산시스템


41. ABC 재고관리기법의 특징이 아닌 것은?
     1. 품목의 중요도에 따라 관리방식이 달라진다.
     2. 중요한 소수 품목을 중점관리 하는 방식이다.
     3. 파레토분석 등을 통해 품목의 중요도를 결정한다.
     4. 모든 품목의 비용을 최소화하는 발주량을 수리적으로 결정한다.

     정답 : []
     정답률 : 65%

42. 다음 도표에서 비용구배 (Cost Slope)는?

    

     1. 75만원
     2. 80만원
     3. 85만원
     4. 90만원

     정답 : []
     정답률 : 77%
     <문제 해설>
6-2 = 4
500-200 = 300
300/4 = 75
[해설작성자 : 아성]

43. 지수평활상수(α)에 대한 설명으로 가장 올바른 내용은?
     1. 초기에 설정한 α 값은 변경할 수 없다.
     2. α 값은 –1 이상, 1 이하인 실수 값으로 결정한다.
     3. 수요의 추세가 안정적인 경우에는 α 값을 크게 한다.
     4. α 가 큰 경우는 최근의 실제수요에 보다 큰 비중을 둔다.

     정답 : []
     정답률 : 62%

44. MRP 시스템의 특징이 아닌 것은?
     1. 주문의 발주계획 생성
     2. 제품구조를 반영한 계획 수립
     3. 생산통제와 재고관리 기능의 분리
     4. 주문에 대한 독촉과 지연정보 제공

     정답 : []
     정답률 : 58%
     <문제 해설>
3번 생산통제와 재고관리 기능의 통합
[해설작성자 : 얼룩토끼]

45. 자재의 분류 중 전통적인 방법과 SCM에 의한 방법을 비교한 내용 중 틀린 것은?

    

     1.
     2.
     3.
     4.

     정답 : []
     정답률 : 67%

46. 다품종소량생산 환경에서 수요나 공정의 변화에 대응하기 쉽도록 주로 범용설비를 이용하여 구성하는 배치형태는?
     1. 제품별배치
     2. Line 배치
     3. 공정별배치
     4. 고정위치배치

     정답 : []
     정답률 : 73%

47. 설비배치의 목적이 아닌 것은?
     1. 설비 및 인력의 증대
     2. 운반 및 물자취급의 최소화
     3. 안전확보와 작업자의 직무만족
     4. 공정의 균형화와 생산흐름에 원활화

     정답 : []
     정답률 : 70%

48. 각 제품의 매출액과 한계 이익률이 [표]와 같다. 평균 한계이익률을 사용한 손익분기점은? (단, 고정비는 1300만원이다.)

    

     1. 4600 만원
     2. 4800 만원
     3. 5000 만원
     4. 5200 만원

     정답 : []
     정답률 : 60%
     <문제 해설>
1300/(500*0.2+300*0.3+200*0.3)/1000 = 5200

49. 품종별 한계이익액을 산출하고 이를 고정비와 대비하여 손익분기점을 구하는 방식은?
     1. 평균법
     2. 기준법
     3. 개별법
     4. 절충법

     정답 : []
     정답률 : 66%
     <문제 해설>
3번 개별법-각 품종의 한계이익률을 사용하여 BEP를 산출하는 방식으로 일정계획 수립에 유리한 방법

평균법-한계이익률이 서로 다른 경우 평균 한계이익률로 BEP를 산출하는 방식이다. 총 한계이익액을 총 매출액으로 나누어 계산한다.
기준법-여러 품종 중에서 기준품종을 설정하고, 기준품종의 한계이익률로 BEP를 산출하는 방식이다. 이익계획 수립 시 제품선택에 편리한 방법이다.
절충법-개별벙에 평균법과 기준법을 절충한 방법이다.
[해설작성자 : 얼룩토끼]

50. 작업시스템 분석의 구분 대상을 큰 것부터 작은 것 순서로 나열된 것은?
     1. 공정 – 단위작업 – 요소작업 – 동 작
     2. 공정 – 요소작업 – 단위작업 – 동 작
     3. 공정 – 동작 – 요소작업 – 단위작 업
     4. 공정 – 단위작업 – 동작 – 요소작 업

     정답 : []
     정답률 : 72%

51. 제품 A의 공정별 소요시간을 이용하여 총 6명의 작업자로 구성된 생산라인을 편성하고자 한다. 균형효율이 최대가 되는 편성안을 채택했을 때 이 라인의 1일 최대 생산량은? (단, 1일 실제 가동시간은 480분, 각 공정에는 최소 1명의 작업자를 배치한다.)

    

     1. 1100개
     2. 1152개
     3. 1440개
     4. 1920개

     정답 : []
     정답률 : 40%

52. 적시생산시스템(JIT)에서 자동화에 관한 설명으로 틀린 것은?
     1. 품질통제와는 거리가 멀다.
     2. '自動化(autonomation)'로 표기한다.
     3. 자율적 품질관리를 전제로 한다.
     4. 작업자 또는 기계가 공정을 체크하여 이상여부를 판단한다.

     정답 : []
     정답률 : 62%

53. 설비종합효율의 구성요소인 시간가동율을 산출하는 데 필요한 항목이 아닌 것은?
     1. 부하시간
     2. 고장정지 로스시간
     3. 실제사이클타임
     4. 준비교체 로스시간

     정답 : []
     정답률 : 55%
     <문제 해설>
설비종합효율 = 시간가동율*성능효율*준비교체로스시간
[해설작성자 : 예비군에서아는척하지마라]

54. 자동차 부품을 생산 목표량은 1,800개 이다. 이 공장은 하루 8시간 작업에 오전·오후 각 30분씩의 휴식시간을 주고 점심시간은 50분이다. 또한 라인 여유율이 7%이고, 생산된 제품의 부적합품률이 2%이다. 이 공장의 피치타임은?
     1. 7.24초
     2. 11.24초
     3. 9.24초
     4. 13.24초

     정답 : []
     정답률 : 53%

55. 시스템(System)의 개념과 관련되는 주요 내용들은 시스템의 특성 내지 속성으로 나타내는데 시스템의 기본 속성이 아닌 것은?
     1. 환경적응성
     2. 기능성
     3. 목적추구성
     4. 관련성

     정답 : []
     정답률 : 56%

56. 예방보전을 효율적으로 수행할 경우의 효과에 해당되지 않는 것은?
     1. 기계 수리비용 절감
     2. 재공품재고 회전율 감소
     3. 생산시스템의 신뢰도 향상
     4. 정지시간에 의한 유휴손실 감소

     정답 : []
     정답률 : 69%

57. 일반적으로 기업들이 아웃소싱을 하는 이유에 대한 설명으로 가장 거리가 먼 것은?
     1. 자본부족을 보강하기 위한 아웃소싱
     2. 생산능력의 탄력성을 위한 아웃소싱
     3. 기술부족을 보강하기 위한 아웃소싱
     4. 경영정보를 공유하기 위한 아웃소싱

     정답 : []
     정답률 : 75%

58. 웨스팅하우스법에 의한 작업수행도 평가에 반영되는 요소가 아닌 것은?
     1. 작업의 숙련도(Skill)
     2. 작업의 노력도(Effort)
     3. 작업의 난이도(Difficulty)
     4. 작업의 일관성(Consistency)

     정답 : []
     정답률 : 59%
     <문제 해설>
숙련도, 노력도, 작업환경, 작업의 일관성
[해설작성자 : 얼룩토끼]

59. 일정계획의 주요 기능에 해당되지 않는 것은?
     1. 작업 할당
     2. 제품 조합
     3. 부하 결정
     4. 작업우선순위 결정

     정답 : []
     정답률 : 67%

60. 작업을 저속촬영(매초 1 Frame or 매분 100 Frame)한 후 이를 도표로 그려 분석하는 기법으로 사이클 타임이 긴 작업을 효과적으로 분석하는 기법은?
     1. Memo Motion Study
     2. Micro Motion Study
     3. Cycle Graph 분석
     4. Eye Camera 분석

     정답 : []
     정답률 : 58%

4과목 : 신뢰성관리


61. 일반적으로 가정용 오디오, TV, 에어컨 등의 시스템, 기기 및 부품 등이 정해진 사용조건에서 의도하는 기간 동안 정해진 기능을 발휘할 확률은?
     1. 신뢰도
     2. 고장률
     3. 불신뢰도
     4. 전자부품수명관리도

     정답 : []
     정답률 : 78%

62. 다음과 같은 신뢰성 블록도를 갖는 시스템의 신뢰성이 0.999 이상이 되려면 N은 최소 얼마 이상이 되어야 하는가? (단, 모든 부품의 신뢰성은 0.9 이다.)

    

     1. 2
     2. 3
     3. 4
     4. 5

     정답 : []
     정답률 : 57%

63. 부하의 평균(μx)이 1, 표준편차(σx)가 0.4, 재료강도의 표준편차(σy)가 0.4 이고, μx 와 μy 로부터 거리인 nx 와 ny 가 각각 2인 경우 안전계수를 1.52로 하고 싶다면, 재료의 평균강도(μy)는 약 얼마가 되어야 하는가? (단, 재료의 강도와 여기에 걸리는 부하는 정규분포에 따른다.)
     1. 1.25
     2. 2.24
     3. 3.05
     4. 3.54

     정답 : []
     정답률 : 52%

64. 신뢰성 샘플링 검사에서 MTBF 와 같은 수명 데이터를 기초로 로트의 합부판정을 결정하는 것은?
     1. 계수형 샘플링검사
     2. 계량형 샘플링검사
     3. 조정형 샘플링검사
     4. 선별형 샘플링검사

     정답 : []
     정답률 : 66%

65. 어떤 기계의 보전도(M(t))가 지수분포를 따르고 1시간 동안의 보전도가 M(1) = 1-e-2×1가 되었다면 평균 수리시간은(MTTR)은?
     1. 0.5
     2. 1.0
     3. 1.5
     4. 2.0

     정답 : []
     정답률 : 58%

66. 시스템의 FT(Fault Tree)도가 그림과 같을 때 이 시스템의 블록도로 옳은 것은?

    

     1.
     2.
     3.
     4.

     정답 : []
     정답률 : 62%

67. 고장률 함수 λ(t)의 표현으로 옳은 것은?(단, F(t)는 고장분포함수, f(t)는 고장밀도 함수이다.)
     1. λ(t) = 1-F(t)
     2.
     3. λ(t) = f(t)(1-F(t))
     4.

     정답 : []
     정답률 : 66%

68. 기계의 고장시간 분포가 평균이 110시간, 표준편차가 20 시간인 정규분포를 따른다. 기계를 149.2 시간 사용하였을 때의 신뢰도는?(단, Z0.025 = 1.96, Z0.05 = 1.645, Z0.1 = 1.285 이다.)
     1. 0.025
     2. 0.050
     3. 0.950
     4. 0.975

     정답 : []
     정답률 : 49%

69. 제품의 신뢰성은 고유 신뢰성과 사용 신뢰성으로 구분된다. 다음 중 사용 신뢰성의 증대방법에 속하는 것은?
     1. 기기나 시스템에 대한 사용자 매뉴얼을 작성 배포한다.
     2. 부품의 전기적, 기계적, 열적 및 기타 작동조건을 경감한다.
     3. 부품고장의 영향을 감소시키는 구조적 설계방안을 강구한다.
     4. 병렬 및 대기 리던던시(redundancy) 설계방법에서 활용한다.

     정답 : []
     정답률 : 61%

70. 각각의 신뢰도가 0.7인 부품을 사용하여 시스템의 신뢰도를 95% 이상으로 하기 위해서는 최소한 몇 개의 구성요소를 병렬로 연결해야 하는가?
     1. 2개
     2. 3개
     3. 4개
     4. 6개

     정답 : []
     정답률 : 66%

71. 무기억 특성(memoryless property) 과 밀접한 관계가 있는 수명분포는?
     1. 감마분포
     2. 정규분포
     3. 지수분포
     4. 와이블분포

     정답 : []
     정답률 : 55%

72. 수명분포가 지수분포인 샘플 10개에 대하여 4개가 고장날 때까지 시험한 결과 얻어진 MTBF 의 점추정치는 2000시간이다. 신뢰수준 90%로 MTBF의 신뢰구간을 추정하면 약 얼마인가?(단, 정수중단 시 신뢰수준 90%, r=4일 때의 신뢰구간 하한과 상한 의 추정 계수 값은 각각 0.52 와 2.93 이다.)
     1. 1040 ~ 2000 시간
     2. 1800 ~ 2000 시간
     3. 1040 ~ 5860 시간
     4. 2000 ~ 5860 시간

     정답 : []
     정답률 : 55%
     <문제 해설>
신뢰구간 하한 : 2000 * 0.52
신뢰구간 상한 : 2000 * 2.93
[해설작성자 : 아기다람쥐손인욱]

73. 고장률이 일정하며 0.005/시간으로서 동일한 부품 10개가 동시에 모두 작동해야만 기능을 발휘하는 시스템의 평균수명은 몇 시간인가?
     1. 2
     2. 20
     3. 200
     4. 2000

     정답 : []
     정답률 : 61%
     <문제 해설>
ㅅs= 10x0.005 = 0.05
MTBFs = (1/ㅅs) = 1/0.05 = 20시간
[해설작성자 : comcbt.com 이용자]

74. 신뢰도를 배분할 때 고려해야 하는 사항으로 틀린 것은?
     1. 신뢰도가 높은 구성품에는 높게 부여한다.
     2. 중요한 구성품에는 신뢰도를 높게 배정한다.
     3. 표준 구성품을 사용하여 호환성을 갖게 한다.
     4. 안전성, 경제성을 고려하여 시스템 전체로 보아 균형을 취한다.

     정답 : []
     정답률 : 51%

75. 욕조형 고장률함수에서 우발고장기간에 대한 설명으로 가장 올바른 것은?
     1. 설비의 노후화로 인하여 발생한다.
     2. 불량제조와 불량설치 등에 의해 발생한다.
     3. 고장률이 비교적 크며 시간이 지남에 따라 증가한다.
     4. 고장률이 비교적 낮으며 시간에 관계없이 일정하다.

     정답 : []
     정답률 : 77%

76. 샘플수가 35개 n시간까지의 누적고장개수가 22개일 때, 신뢰도 R(t)는 약 얼마인가?(단, 신뢰도는 평균순위법을 이용하여 구한다.)
     1. 0.327
     2. 0.347
     3. 0.367
     4. 0.389

     정답 : []
     정답률 : 58%
     <문제 해설>
평균순위법 신뢰도 공식 R(t)=(n+i+1)/(n+1) 에 의해 (35-22+1)/(35+1)=0.38888889
[해설작성자 : 시안]

77. 수명시험 중 특히 수명시간을 단축할 목적으로 고장 메커니즘을 촉진하기 위해 가혹한 환경조건에서 행하는 시험은?
     1. 환경시험
     2. 정상수명시험
     3. screening 시험
     4. 가속수명시험

     정답 : []
     정답률 : 79%

78. 300개의 전구로 구성된 전자제품에 대하여 수명시험을 한 결과 4시간과 6시간 사이의 고장개수가 22개이다. 4시간에서 이 전구의 고장확률밀도함수 f(t)는 약 얼마인가?
     1. 0.0333/시간
     2. 0.0367/시간
     3. 0.0433/시간
     4. 0.0457/시간

     정답 : []
     정답률 : 64%

79. 고장률이 λ 인 지수분포를 따르는 N 개의 부품을 T 시간 사용할 때 C건의 고장이 발생하는 확률은 어떤 분포로부터 구할 수 있는가? (단, N 은 굉장히 크다고 한다.)
     1. 지수분포
     2. 포아송분포
     3. 베르누이분포
     4. 와이블분포

     정답 : []
     정답률 : 65%

80. 지수분포의 고장시간과 수리시간을 갖는 어떤 장비를 관찰하여 다음과 같은 [데이터]를 얻었다. 이 장비의 가용도(Availability)는 약 얼마인가?

    

     1. 0.8
     2. 0.6
     3. 0.4
     4. 0.2

     정답 : []
     정답률 : 66%
     <문제 해설>
가용도 = (총시간-비가동시간)/총시간
[해설작성자 : 흐에]

81. 허용차와 공차에 대한 설명으로 틀린 것은?
     1. 허용차는 규정된 기준치와 규정된 한계치와의 차이다.
     2. 최대허용치와 최소허용치와의 차이를 공차라고 한다.
     3. 허용한계치에서 그 기준을 뺀 값을 실치수라고 한다.
     4. 허용차의 표시방법은 양쪽이 같은 수치를 가질 때에는 ±를 붙여서 기재한다.

     정답 : []
     정답률 : 67%

82. 신 QC 7가지 기법 중 장래의 문제나 미지의 문제에 대해 수집한 정보를 상호 친화성에 의해 정리하고, 해결해야 할 문제를 명확히 하는 방법은?
     1. KJ법
     2. 계통도법
     3. PDPC법
     4. 연관도법

     정답 : []
     정답률 : 69%

83. 공정의 품질변동에 영향을 주는 요인으로 보통 5M을 뽑는다. 다음 중 5M은?
     1. Man, Method, Machine, Measurement, Money
     2. Man, Method, Material, Machine, Measurement
     3. Man, Method, Material, Measurement, Management
     4. Man, Machine, Material, Measurement, Management

     정답 : []
     정답률 : 68%

84. 품질비용에 대한 설명 중 틀린 것은?
     1. 예방비용과 평가비용이 증가하면 실패비용은 감소한다.
     2. 실패비용은 공장 내 문제인 내부 실패비용과 클레임 등에서 발생되는 외부 실패비용으로 구성된다.
     3. 일반적으로 실패비용이 크기 때문에 실패비용 감소효과가 예방비용이나 평가비용의 증가를 상쇄할 수 있다.
     4. 회사입장에서 총 품질비용을 최소화하는 방법은 예방비용, 평가비용 및 실패비용 사이에 적당한 타협점을 찾아야 한다. 타협점은 예방비용+ 평가비용 = 실패비용의 공식이 성립한다.

     정답 : []
     정답률 : 67%
     <문제 해설>
회사입장에서 총 품질비용을 최소화하는 방법은 예방비용, 평가비용 및 실패비용 사이에 적당한 타협점을 찾아야 한다. 타협점은 예방비용+평가비용+실패비용의 공식이 성립한다.
[해설작성자 : 얼룩토끼]

85. 제조물 책입법에서 정의한 제조물이 아닌 것은?
     1. 전력
     2. 정련된 금속
     3. 휴대폰
     4. 자연 채취된 광물

     정답 : []
     정답률 : 72%

86. 종합적 품질경영(TQM) 활동이 기업 성과에 미치는 영향을 측정할 수 있는 기업 활동 영역으로 가장 거리가 먼 것은?
     1. 고객 만족도
     2. 재무적 성과
     3. 종업원간의 관계
     4. 비용만을 고려하는 품질

     정답 : []
     정답률 : 72%

87. 현재의 문제를 해결하기 위하여 기업이 수행할 품질목표와 가장 거리가 먼 것은?
     1. 품질코스트를 5%로 줄인다.
     2. 재작업률 0(zero)에 도전한다.
     3. 제품의 로스율을 1%로 줄인다.
     4. 부적합품률을 현재의 0.5% 수준으로 유지한다.

     정답 : []
     정답률 : 48%
     <문제 해설>
4:품질유지
[해설작성자 : 벨라]

88. 고객에 대한 불만처리 규정의 내용이 아닌 것은?
     1. 대책의 수립방법
     2. 대책의 실시방법
     3. 불만 등의 정보수집방법
     4. 점검이나 정비결과의 기록방법

     정답 : []
     정답률 : 76%

89. 6σ의 품질이 수립될 때 예상되는 공정능력지수 (Cp) 값은?
     1. 1
     2. 2
     3. 3
     4. 4

     정답 : []
     정답률 : 57%
     <문제 해설>
3시그마 = 1Cp
[해설작성자 : 80억의사나이]

90. 품질경영시스템 – 요구사항(KS Q ISO 9001 : 2009)에서 프로세스 접근방법이 품질경영 시스템 내에서 사용될 경우, 중요성이 강조되는 사항과 가장 관계가 먼 것은?
     1. 요구사항의 이해 및 충족
     2. 프로세스 성과 및 효과성에 대한 결과 획득
     3. 부가가치 측면에서 프로세스를 고려할 필요
     4. 주관적 측정에 근거한 프로세스의 지속적 개선

     정답 : []
     정답률 : 77%

91. 두께 10 ± 0.04mm 인 4개의 부품을 임의 조립방법에 의해 겹쳐서 조립할 경우 조립공차는 몇 mm 인가?
     1. ±0.04
     2. ±0.08
     3. ±0.40
     4. ±0.80

     정답 : []
     정답률 : 61%

92. 품질이 기업경영에서 전략변수로 중시되는 이유가 아닌 것은?
     1. 소비자들이 제품의 안전 또는 고신뢰성에 대한 요구 경향이 높아지고 있다.
     2. 기술혁신으로 제품이 복잡해짐에 따라 제품의 신뢰성 관리 문제가 어려워지고 있다.
     3. 제품 생산이 분업일 경우 부분적으로 책임을 지는 것이 제품의 신뢰성이 높아진다.
     4. 원가 경쟁보다는 비가격경쟁 즉, 제품의 신뢰성, 품질 등이 주요 경쟁요인이기 때문이다.

     정답 : []
     정답률 : 66%

93. 한 명의 측정자가 하나의 측정계기를 여러 차례 사용해서 동일한 제품의 동일한 품질특성을 측정하여 얻은 측정값의 변동은?
     1. 직선성(linearity)
     2. 안정성(stability)
     3. 반복성(repeatability)
     4. 재현성(reproducibility)

     정답 : []
     정답률 : 64%

94. 평균치가 다른 두 가지의 분포가 뒤섞여 있는 경우의 데이터로 히스토그램을 작성할 경우 나타날 수 있는 형태는?
     1. 쌍봉형
     2. 절벽형
     3. 낙도형
     4. 고원형

     정답 : []
     정답률 : 72%

95. 품질보증 시스템 운영과 가장 거리가 먼 것은?
     1. 품질 시스템의 피드백 과정을 명확하게 해야 한다.
     2. 품질 시스템 운영을 위한 수단·용어·운영 규정이 정해져야 한다.
     3. 처음에 품질 시스템을 제대로 만들어 가능한 변경하지 않아야 한다.
     4. 다음 단계로서의 진행 가부를 결정하기 위한 평가항목, 평가방법이 명확하게 제시되어야 한다.

     정답 : []
     정답률 : 70%

96. 종합적품질경영(TQM)을 추진하기 위한 조직적 구조로서 활용되고 있는 팀(team) 활동으로 틀린 것은?
     1. 동일한 작업장의 조직원으로 구성된 자발적 문제해결 집단
     2. 주어진 과업이 일단 완성되면 해체되는 테스크팀(task team)
     3. 반복되는 문제를 해결하기 위해 수행되는 프로젝트팀(project team)
     4. 일련의 작업이 할당된 단위로서, 구성원들이 융통성 있게 작업을 공유할 수 있도록 하는 팀(team)

     정답 : []
     정답률 : 58%

97. 표준의 적용에 관한 설명 중 맞는 것은?
     1. 국가규격이나 사내표준은 강제력이 없다.
     2. 사내표준은 사내에 있어서 강제력이 있다.
     3. 국가규격은 국내 제조업체에 대한 강제력이 있다.
     4. 국가규격은 강제력이 있으나 사내표준은 강제력이 없다.

     정답 : []
     정답률 : 58%
     <문제 해설>
국가규격은 법적인 강제력이있고
사내표준은 사내에있어 강제력이 있다
[해설작성자 : 벨라]

98. 품질관리의 기능을 4가지로 대변할 때 해당되지 않는 것은?
     1. 품질의 관리
     2. 품질의 설계
     3. 공정의 관리
     4. 품질의 보증

     정답 : []
     정답률 : 49%
     <문제 해설>
품질관리의 4가지 기능
1.품질의 조사 2.품질의 설계 3.공정의 관리 4.품질의 보증
[해설작성자 : 호두]

99. 표준에 관련된 용어의 설명으로 틀린 것은?
     1. “법정계량단위”란 정확성과 공정성을 확보하기 위하여 정부가 법령에 따라 정하는 상거래 및 증명용 단위를 말한다.
     2. “산업표준”이란 광공업품의 종류, 형상, 품질, 생산방법, 시험·검사·측정방법 및 산업활동과 관련된 서비스의 제공방법·절차 등을 통일하고, 단순화하기 위한 기준을 말한다.
     3. “교정”이란 연구개발, 산업생산, 시험검사 현장 등에서 측정한 결과가 명시된 불확정 정도의 범위 내에서 국가측정표준 또는 국제측정표준과 일치되도록 연속적으로 비교하는 체계를 말한다.
     4. “성문표준”이란 국가사회의 모든 분야에서 총체적인 이해성, 효율성 및 경제성 등을 높이기 위하여 강제 또는 자율적으로 적용하는 문서화된 과학 기술적 기준, 규격, 지침 및 기술규정을 말한다.

     정답 : []
     정답률 : 56%

100. 제일 좋은 품질 수준을 나타내는 것은?
     1. 4 시그마
     2. Cpk = 1.5
     3. 0.0668%
     4. 2700 PPM

     정답 : []
     정답률 : 58%
     <문제 해설>
4시그마 : 63ppm
Cpk : 3.4ppm
0.0668% : 668ppm
2,700ppm
[해설작성자 : 얼룩토끼]


정 답 지

1

2

3

4

5

6

7

8

9

10

11

12

13

14

15

16

17

18

19

20

21

22

23

24

25

26

27

28

29

30

31

32

33

34

35

36

37

38

39

40

41

42

43

44

45

46

47

48

49

50

51

52

53

54

55

56

57

58

59

60

61

62

63

64

65

66

67

68

69

70

71

72

73

74

75

76

77

78

79

80

81

82

83

84

85

86

87

88

89

90

91

92

93

94

95

96

97

98

99

100

품질경영기사 필기 기출문제(해설) 및 CBT 2015년05월31일을 이용해 주셔서 감사합니다.
, 필기, 기출문제, 전자문제집, CBT, 온라인, 모의테스트, 모의고사



List of Articles
번호 제목 글쓴이 날짜 조회 수
730 침투비파괴검사기능사 필기 기출문제(해설) 및 CBT 2003년10월05일(5회)(974) 좋은아빠되기 2025.09.30 5
729 침투비파괴검사기능사 필기 기출문제(해설) 및 CBT 2003년01월26일(1회)(973) 좋은아빠되기 2025.09.30 5
728 침투비파괴검사기능사 필기 기출문제(해설) 및 CBT 2002년10월06일(5회)(972) 좋은아빠되기 2025.09.30 4
727 침투비파괴검사기능사 필기 기출문제(해설) 및 CBT 2002년01월27일(1회)(971) 좋은아빠되기 2025.09.30 5
726 품질경영기사 필기 기출문제(해설) 및 CBT 2018년03월04일(970) 좋은아빠되기 2025.09.30 4
725 품질경영기사 필기 기출문제(해설) 및 CBT 2017년05월07일(969) 좋은아빠되기 2025.09.30 5
724 품질경영기사 필기 기출문제(해설) 및 CBT 2017년03월05일(968) 좋은아빠되기 2025.09.30 4
723 품질경영기사 필기 기출문제(해설) 및 CBT 2016년10월01일(967) 좋은아빠되기 2025.09.30 5
722 품질경영기사 필기 기출문제(해설) 및 CBT 2016년03월06일(966) 좋은아빠되기 2025.09.30 5
721 품질경영기사 필기 기출문제(해설) 및 CBT 2015년09월19일(965) 좋은아빠되기 2025.09.30 5
» 품질경영기사 필기 기출문제(해설) 및 CBT 2015년05월31일(964) 좋은아빠되기 2025.09.30 4
719 품질경영기사 필기 기출문제(해설) 및 CBT 2015년03월08일(963) 좋은아빠되기 2025.09.30 5
718 품질경영기사 필기 기출문제(해설) 및 CBT 2014년09월20일(962) 좋은아빠되기 2025.09.30 4
717 품질경영기사 필기 기출문제(해설) 및 CBT 2014년05월25일(961) 좋은아빠되기 2025.09.30 5
716 품질경영기사 필기 기출문제(해설) 및 CBT 2014년03월02일(960) 좋은아빠되기 2025.09.30 4
715 품질경영기사 필기 기출문제(해설) 및 CBT 2013년09월28일(959) 좋은아빠되기 2025.09.30 5
714 품질경영기사 필기 기출문제(해설) 및 CBT 2012년03월04일(958) 좋은아빠되기 2025.09.30 4
713 품질경영기사 필기 기출문제(해설) 및 CBT 2009년03월01일(957) 좋은아빠되기 2025.09.30 5
712 품질경영기사 필기 기출문제(해설) 및 CBT 2006년03월05일(956) 좋은아빠되기 2025.09.30 5
711 컴퓨터응용가공산업기사 필기 기출문제(해설) 및 CBT 2018년09월15일(955) 좋은아빠되기 2025.09.30 5
Board Pagination Prev 1 ... 40 41 42 43 44 45 46 47 48 49 ... 81 Next
/ 81