자격증 필기 기출문제



수질환경산업기사 필기 기출문제(해설) 및 CBT 2002년05월26일(2028)

최강 자격증 기출문제 전자문제집 CBT : www.comcbt.com


전자문제집 CBT란?

종이 문제집이 아닌 인터넷으로 문제를 풀고 자동으로 채점하며 모의고사, 오답 노트, 해설까지 제공하는
무료 기출문제 학습 프로그램으로 실제 상설검정에서 사용하는 OMR 형식의 CBT를 제공합니다.


최신 수질환경산업기사 필기 기출문제 : [다운로드]

1과목 : 수질오염개론


1. 농업용수 수질의 척도인 SAR을 구할 때 포함되지 않는 항목은?
     1. Ca
     2. Mg
     3. Na
     4. Mn

     정답 : []
     정답률 : 90%

2. 수중에 CO2농도나 암모니아성 질소가 증가하며 Fungi가 사라지는 하천의 변화과정 지대는? (단, Whipple의 4지대 기준)
     1. 분해지대
     2. 활발한 분해지대
     3. 회복지대
     4. 정수지대

     정답 : []
     정답률 : 75%

3. Mg(OH)2의 용해도 적이 1.1×10-11이면 Mg(OH)2의 용해도(g/L)는 얼마인가 ? (단, Mg(OH)2의 분자량은 58.3 이다.)
     1. 8.16 × 10-3
     2. 6.36 × 10-4
     3. 2.14 × 10-11
     4. 1.49 × 10-11

     정답 : []
     정답률 : 54%

4. Bacteria 6g의 이론적인 COD는? (단, Bacteria의 분자식은(C5H7O2N), 질소는 암모니아로 분해됨을 기준으로 함)
     1. 7.0 g
     2. 7.5 g
     3. 8.0 g
     4. 8.5 g

     정답 : []
     정답률 : 62%

5. 호수의 성층현상에 관한 설명으로 알맞지 않은 것은?
     1. 겨울에는 호수 바닥의 물이 최대 밀도를 나타내게 된다.
     2. 봄이 되면 수직운동이 일어나 수질이 개선된다.
     3. 여름에는 수직운동이 호수 상층에만 국한된다.
     4. 수심에 따른 온도변화로 인해 발생되는 물의 밀도차에 의해 일어난다.

     정답 : []
     정답률 : 64%

6. 여름철 부영양화된 호수나 저수지에서 다음과 같은 조건을 나타내는 수층은?

   

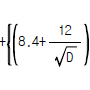
     1. 성층
     2. 수온약층
     3. 심수층
     4. 혼합층

     정답 : []
     정답률 : 91%

7. 다음 콜로이드에 관한 설명중 잘못된 것은?
     1. 친수성 콜로이드의 경우는 단백질입자와 같이 입자 표면에 -OH - COOH -NH2와 같은 기를 가지고 있다
     2. 일반적으로 친수성콜로이드의 경우 이중층물질설이 적용되고 있다.
     3. Zeta 전위가 클수록 척력이 커져 응집(침전)이 잘 일어나지 않는다.
     4. zeta 전위는 콜로이드 입자의 전하와 전하의 효력이 미치는 분산매의 거리를 측정한다.

     정답 : []
     정답률 : 70%

8. 다음의 지구상 수자원중에서 가장 많은 량을 차지하고 있는 것은?
     1. 대기(수증기)
     2. 하천수
     3. 토양수분 및 결합수
     4. 담수호

     정답 : []
     정답률 : 57%

9. 다음은 알칼리도 적정 결과를 나타낸 것이다. 괄호에 알맞은 것은?(단, P는 페놀프탈레인 알칼리도, T는 총알칼리도 )

   

     1. P = T
     2. P = 1/2T
     3. P > 1/2T
     4. P < 1/2T

     정답 : []
     정답률 : 62%

10. 수중의 유기물질 농도를 나타낼 때 가장 큰 값을 나타내는 것은?
     1. TOD
     2. TOC
     3. BOD
     4. COD

     정답 : []
     정답률 : 65%

11. 다음은 해수오염도 지표중 해수의 탁도를 나타내는 식이다. K값의 내용으로 가장 적절한 것은? (단, d:심도, I : 태양방사에너지 )
     1. 탈산소계수
     2. 태양방사 에너지계수
     3. 깊이별 투과계수
     4. 소멸계수

     정답 : []
     정답률 : 31%

12. 용존산소의 포화농도가 9㎎/ℓ 인 하천에서 용존산소 농도가 6㎎/ℓ 이라면(BOD5가 5㎎/ℓ , K1 = 0.1day-1, K2 = 0.4day-1) 5일후의 하류에서의 DO부족량(mg/L)은? (단, )
     1. 약 0.8
     2. 약 1.8
     3. 약 2.8
     4. 약 3.8

     정답 : []
     정답률 : 35%

13. 다음에 설명하고 있는 해류는 무엇인가?

    

     1. Tidal current
     2. Deep ocean current
     3. Upwelling
     4. Tsunami

     정답 : []
     정답률 : 88%

14. 해수의 주요성분을 살펴보면 가장 많이 함유된 Cl-, Na+이다. 그 다음 3번째로 많이 포함된 성분은?
     1. SO4-
     2. HCO3-
     3. Ca2+
     4. K+

     정답 : []
     정답률 : 79%

15. 빗물의 특성에 대한 내용과 가장 거리가 먼 것은?
     1. 빗물은 낙하하면서 대기중의 CO2를 포화상태로 녹여 순수한 빗물의 pH를 약 5.6으로 만든다.
     2. 빗물은 용해성분이 많아 경수이다.
     3. SO2나 NO2 같은 기체가 빗물에 녹아 H2SO4 와 HNO3가 되어 산성비를 만든다.
     4. 수자원으로서 부정기적인 강우패턴과 집수· 저장방법 문제로 가치가 비교적 크지 않은 편이다.

     정답 : []
     정답률 : 74%

16. 다음 중 헨리의 법칙(Henry's Law)에 가장 잘 적용되는 기체는?
     1. O2
     2. SO2
     3. NH3
     4. HCl

     정답 : []
     정답률 : 94%

17. 20℃에서 k1이 0.16/day이라 하면 실제 온도가 10℃일 때 탈산소계수는? (단, 온도보정계수 θ 는 1.047이다)
     1. 0.05/day
     2. 0.10/day
     3. 0.15/day
     4. 0.20/day

     정답 : []
     정답률 : 70%

18. '동점성계수'의 단위로 적절한 것은?
     1. cm2/sec
     2. g/cm· sec
     3. g· cm/sec2
     4. cm/sec2

     정답 : []
     정답률 : 77%
     <문제 해설>
m2/s (MKS)
cm2/s (CGS)
[해설작성자 : 블베리(펄 샤이닝 블루베리)]

19. 활성슬러지시스템으로 하수내 유기물을 처리할 때 어느 성장단계에서 운전하는 것이 최종침전지에서 쉽게 침전되며 가장 높은 처리효율을 얻을 수 있는가?
     1. 대수성장단계
     2. 감소성장단계
     3. 내생성장단계
     4. 유도기

     정답 : []
     정답률 : 74%

20. 다음 중 분뇨의 특성에 관한 설명 중 틀린 것은?
     1. 분(糞)의 경우 질소화합물을 전체 VS의 12∼20% 정도 함유하고 있다.
     2. 뇨(尿)의 경우 질소화합물을 전체 VS의 40∼50% 정도 함유하고 있다.
     3. 질소화합물은 주로 (NH4)2CO3, NH4HCO3 형태로 존재한다.
     4. 질소화합물은 알칼리도를 높게 유지시켜 주므로 pH의 강하를 막아주는 완충작용을 한다.

     정답 : []
     정답률 : 60%

2과목 : 수질오염방지기술


21. 폐수에 함유된 저농도 PCB 처리방법과 가장 거리가 먼것은?
     1. 응집침전법
     2. 생물학적 처리
     3. 증발연소법
     4. 방사선 조사

     정답 : []
     정답률 : 40%

22. 계획오수량에 관한 설명으로 알맞지 않은 것은?
     1. 지하수량:계획1인1일평균오수량의 5-10%로 한다.
     2. 합류식에서 우천시 계획오수량은 원칙적으로 계획시간최대오수량의 3배이상으로 한다.
     3. 계획1일 평균오수량:계획1일 최대오수량의 70-80%를 표준으로 한다.
     4. 계획시간최대오수량:계획1일 최대오수량의 1시간당 수량의 1.3-1.8배를 표준으로 한다.

     정답 : []
     정답률 : 29%

23. 어느 특정한 산화지에 대해 1일 BOD부하를 40㎏/day-m2으로 설계하였다. 평균 유량이 3m3/min 이고 BOD농도가 300㎎/ℓ 일 때 필요한 면적(m2)은?
     1. 30.5
     2. 32.4
     3. 35.0
     4. 40.5

     정답 : []
     정답률 : 48%

24. 응결(Flocculation)과 관계가 큰 것은 어느 것인가?
     1. 완속혼합
     2. 급속혼합
     3. 연수화
     4. 안정화

     정답 : []
     정답률 : 60%

25. 어떤 폐수를 처리하기 위하여 시료 200mL를 취하여 Jar-test하여 응집제와 응집보조제의 최적 첨가농도를 구한 결과 Al2(SO4)3 :300mg/L, Ca(OH)2 :1,000mg/L 였다. 폐수량 500m3/일을 처리하는데 하루에 필요한 Al2(SO4)3의 양은?
     1. 750 Kg/일
     2. 300 Kg/일
     3. 150 Kg/일
     4. 30 Kg/일

     정답 : []
     정답률 : 39%

26. 5단계 Bardenpho공정 중 혐기조의 역할에 관한 설명으로 가장 알맞는 것은?
     1. 유기물제거 및 인의 방출
     2. 유기물제거 및 인의 과잉 섭취
     3. 유기물제거 및 질산화
     4. 유기물제거 및 탈질

     정답 : []
     정답률 : 50%

27. 일차정화조의 평균유입 TSS 농도가 250mg/L 이다. VSS 제거 효율이 60% 라면 유출평균 TSS 농도는? (단, FSS제거효율은 :0%, VSS=0.7TSS)
     1. 145mg/L
     2. 175mg/L
     3. 185mg/L
     4. 195mg/L

     정답 : []
     정답률 : 56%

28. 다음 중 F/M 비의 단위로서 올바른 것은?
     1. ㎏MLSS/㎏BOD5ㆍday
     2. ㎏BOD5/㎏MLSSㆍday
     3. ㎏BOD5/㎏MLSS
     4. ㎏MLSS/㎏BOD5

     정답 : []
     정답률 : 67%

29. 생물학적 인(P) 제거공법인 A/O공법에 관한 설명으로 알맞지 않은 것은?
     1. 무산소조,호기성조로 구성되어 있다.
     2. 호기성조에서 인의 과잉흡수가 일어난다.
     3. 폐슬러지의 인함량은 4-6% 정도이다.
     4. 잉여슬러지를 폐기함으로서 인을 제거하게 된다.

     정답 : []
     정답률 : 30%
     <문제 해설>
1. 혐기조, 호기조로 구성
[해설작성자 : 망구]

30. SS가 40,000ppm인 분뇨를 전처리에서 15% 그리고 1차처리에서 70%의 SS를 제거하였을 때 1차처리 후 유출되는 분뇨의 SS 농도는?
     1. 10,200ppm
     2. 11,200ppm
     3. 14,000ppm
     4. 16,800ppm

     정답 : []
     정답률 : 80%

31. 속도구배(Velocity Gradient)를 정확하게 나타낸 식은 어느 것인가 ? (단, μ :점성계수, W:단위용적당 동력, V:응결지 부피, P:동력)
     1.
     2.
     3.
     4.

     정답 : []
     정답률 : 77%

32. 다음 중 최종침전지에서 발생하는 슬러지 부상(sludgerising)의 원인을 가장 알맞게 설명한 것은?
     1. 침전조의 슬러지 압밀작용에 의한다.
     2. 침전조의 탈질화 작용(denitrification)에 의한다.
     3. 침전조의 질산화 작용(nitrification)에 의한다.
     4. 사상균류(flamentus bacteria)의 출현에 의한다.

     정답 : []
     정답률 : 86%

33. [과산화수소는 ( )을(를) 촉매로 pH3.0-5.0에서 폐수중 난분해성 유기물질을 산화 시키는데 이용된다. 이 반응을 펜텐산화반응이라 한다.] ( )안에 알맞는 내용은?
     1. 2가 망간
     2. 2가 철
     3. 중크롬산
     4. 과망간산칼륨

     정답 : []
     정답률 : 50%

34. 살수여상에 대한 설명 중 틀린 것은?
     1. 살수여상에 의한 폐수처리의 원리는 여재표면에 번식 하는 미생물이 폐수와 접촉하여 유기물을 분해하는 것이다.
     2. 유기물 부하가 적은 경우에는 혐기성 상태가 발생한다.
     3. 동작이 간단하고 유지관리가 용이하다.
     4. 살수여상의 여재로는 화강암, 자갈, 플라스틱 등을 사용한다.

     정답 : []
     정답률 : 39%

35. 상수처리중 전염소처리에 관한 설명으로 알맞지 않은 것은?
     1. 소독을 위한 경우는 반응시간을 충분히 확보하기 위해 염소 혼화지를 별도로 설치하여야 한다.
     2. 염소제를 침전지 이전에 주입한다.
     3. 염소제 주입장소는 취수시설,도수관로등에서 교반이 잘 일어나는 장소로 한다.
     4. 통상 암모니아성질소 제거를 목적으로 하는 경우가 많다.

     정답 : []
     정답률 : 28%

36. 어떤 미생물의 비증식 속도가 Monod식을 따른다고 한다. 최대 비증식 속도가 0.5h-1이고 비증식속도가 최대값의 1/2이 될 때의 제한기질 농도가 10mg/ℓ 이면 기질농도가 100mg/ℓ 일 때의 비증식속도(h-1)는? (단, Monod식은 )
     1. 0.75h-1
     2. 0.65h-1
     3. 0.55h-1
     4. 0.45h-1

     정답 : []
     정답률 : 24%

37. 함수율 95 %의 슬러지를 함수율 80 %의 탈수케익으로 만들었을 때 탈수후 체적은 탈수전 체적에 비하여 얼마로 되겠는가?(단, 분리액으로 유출된 슬러지양은 무시 )
     1. 1/3
     2. 1/4
     3. 1/5
     4. 1/6

     정답 : []
     정답률 : 57%

38. 부유물질의 농도가 200㎎/ℓ 인 하수 1000m3을 체류시간 2시간의 1차침전조에서 침전시켰을 때 부유물질의 제거효율이 60% 이였다면 이 때 발생된 슬러지의 양은? (단, 침전슬러지의 단위비중: 1.03, 함수율 94%)
     1. 약 1.94m3
     2. 약 2.36m3
     3. 약 3.25m3
     4. 약 4.05m3

     정답 : []
     정답률 : 45%

39. 일반적으로 회전원판법에서 원판 직경의 몇 %가 물에 잠긴 상태에서 운영하는가?
     1. 약 20%
     2. 약 40%
     3. 약 60%
     4. 약 80%

     정답 : []
     정답률 : 88%

40. 이온교환을 이용한 고도처리시 이온교환을 경제적으로 하기 위해서는 사용된 수지로부터 무기성 음이온과 유기물질을 제거할 수 있는 재생제와 회복제를 사용하여야 한다. 다음중 회복제로 적절치 못한 것은?
     1. NaOH
     2. 염화제이철
     3. 메탄올
     4. 벤토나이트

     정답 : []
     정답률 : 50%

3과목 : 수질오염공정시험방법


41. 단면이 축소되는 목부분을 조절함으로써 유량이 조절 되는 장점을 가진 유량 측정방법은?
     1. 벤튜리미터(Venturi Meter)
     2. 유량측정용노즐(Nozzle)
     3. 오리피스(Orifice)
     4. 피토우(Pitot)관

     정답 : []
     정답률 : 65%

42. 다음 중 대장균의 설명으로 올바르지 않은 것은?
     1. 그람(gram) 음성
     2. 포아성 구균
     3. 유당을 분해하여 산과 가스를 발생
     4. 호기성 또는 통성 혐기성 균

     정답 : []
     정답률 : 57%

43. 과망간산 칼륨법으로 COD를 측정할 때 적정에 소요된 0.01N -KMnO4 mℓ 는 산소 몇 ㎎ 에 해당하는가?
     1. 0.01㎎
     2. 0.08㎎
     3. 0.18㎎
     4. 0.20㎎

     정답 : []
     정답률 : 40%

44. 직각삼각웨어의 유량은 대략 얼마인가 ? (단, 유량계수 , D = 0.25m, B=0.8m, h=0.1m 이다.)
     1. 약 2.8m3/min
     2. 약 1.5m3/min
     3. 약 0.6m3/min
     4. 약 0.3m3/min

     정답 : []
     정답률 : 48%
     <문제 해설>
직각삼각웨어 Q=Kh^2.5
주어진 K 공식에 주어진 값 대입해서 계산하면 Q=약 0.26m3/min
[해설작성자 : 블베리(펄 샤이닝 블루베리)]

45. 다음 중 백색원판(secchi 판)을 사용하여 투명도를 측정할 때 올바른 측정 방법이라고 볼 수 없는 것은?
     1. 일기,시각,개인차등에 의해서 약간의 차이가 생기므로 측정조건을 기록해 두는 것이 좋다.
     2. 파도가 격렬하게 일때는 투명도를 측정하지 않는다.
     3. 날씨가 맑고 직사광선이 비치는 밝은 곳을 택한다.
     4. 백색원판을 보이지 않는 깊이로 넣은 다음 천천히 끌어 올리면서 보이기 시작한 깊이를 반복해 측정한다.

     정답 : []
     정답률 : 54%

46. 크롬 분석에 관한 다음 설명중 틀린 것은 ? (단, 흡광광도법 기준)
     1. 디페닐카르바지드는 3가 크롬과 반응한다.
     2. 적자색으로 발색되는 착화합물의 흡광도를 측정한다.
     3. 발색시 황산의 최적농도는 약 0.2N 이다.
     4. 시료중 철이 2.5mg이하로 공존할 경우에는 디페닐 카르바지드 용액을 넣기 전에 5% 피로인산나트륨·10수화물 용액 2mL를 넣어주면 영향이 없다.

     정답 : []
     정답률 : 62%

47. 알칼리를 함유하는 폐수의 COD 측정에서 시료 100ml를 취해서 중화 적정을 해보니까 중성까지 요구된 산의 양은 6N-H2SO45ml 였다. 이시료로 부터 검수로 10ml를 취해서 100ml로 희석하여 COD실험을 한 결과 0.025N-KMnO4소요량은 4ml였을 때 이 폐수의 COD는? (단, 0.025N-KMnO4 용액의 역가는 1.050 이었고 Blank Test 값은 0.32ml였다.)
     1. 약 80 mg/ℓ
     2. 약 70 mg/ℓ
     3. 약 60 mg/ℓ
     4. 약 50 mg/ℓ

     정답 : []
     정답률 : 43%

48. 다음 중 중금속 정량을 위한 시료의 전처리시 유기물 분해를 위한 목적으로 사용하는 혼합산과 가장 거리가 먼 것은?
     1. 질산 - 황산
     2. 질산 - 염산
     3. 과염소산 - 황산
     4. 과염소산 - 질산

     정답 : []
     정답률 : 23%

49. 2M-H2SO4 수용액 2ℓ 에 물을 가하여 0.5M-H2SO4 수용액을 만들려고 한다. 용액의 부피를 몇 ℓ 로 하면 되는가?
     1. 4ℓ
     2. 6ℓ
     3. 8ℓ
     4. 10ℓ

     정답 : []
     정답률 : 50%

50. NaOH 용액 21.5㎖를 완전히 중화시키는데 비중이 1.1이고 20.2%인 HCl을 함유한 용액 25.5㎖를 소비하였다. NaOH의 노르말 농도는 ? (단, HCl의 분자량 36.47)
     1. 5.2N
     2. 7.2N
     3. 9.2N
     4. 10.2N

     정답 : []
     정답률 : 알수없음

51. 수질오염공정시험법에 의해 분석할 시료채취량은 시험항목 및 시험횟수에 따라 차이가 있으나 보통 몇 ℓ 정도를 채취하는가?
     1. 0.5 -1ℓ
     2. 1.5 - 2ℓ
     3. 2 - 3ℓ
     4. 3 - 5ℓ

     정답 : []
     정답률 : 75%

52. 노말헥산 추출물질 측정법에 있어서 n - 헥산층에 무수황산나트륨을 넣어 흔들어 섞는 이유는?
     1. 분해하기 위함
     2. 추출하기 위함
     3. 수분을 제거하기 위함
     4. 산화시키기 위함

     정답 : []
     정답률 : 43%

53. 가스크로마토 그래프 분석에 사용되는 검출기중 니트로 화합물, 유기금속 화합물, 유기할로겐 화합물을 선택적으로 검출하는데 가장 알맞는 것은?
     1. 열전도도검출기
     2. 전자포획형검출기
     3. 염광광도형검출기
     4. 알칼리열이온화검출기

     정답 : []
     정답률 : 73%

54. [원자흡광 광도법의 시험방법은 시료를 적당한 방법으로 해리시켜 중성원자로 증기화하여 생긴 ( )의 원자가 이원자 증기층을 투과하는 특유 파장의 빛을 흡수하는 현상을 이용하여 광전측광과 같은 개개의 특유 파장에 대한 흡광도를 측정한다.] ( )안에 알맞는 내용은?
     1. 여기상태
     2. 이온상태
     3. 바닥상태
     4. 분자상태

     정답 : []
     정답률 : 90%

55. 분석용 저울이란 몇 mg까지 달 수 있어야 하는가?
     1. 10 mg
     2. 1 mg
     3. 0.1 mg
     4. 0.01 mg

     정답 : []
     정답률 : 79%

56. 이온전극법의 특징으로 알맞지 않는 것은?
     1. 이온농도 측정범위는 일반적으로 10-1㏖/L- 10-4㏖/L이다.
     2. 이온전극의 종류나 구조에 따라 사용 가능한 pH 범위가 있다.
     3. 측정용액의 온도가 5℃ 상승하면 전위구배는 1가이온이 약 1㎷, 2가이온이 약 2㎷ 변화한다.
     4. 시료용액의 교반은 이온전극의 전극전위, 응답속도, 정량하한 값에 영향을 나타낸다.

     정답 : []
     정답률 : 46%

57. N-핵산 추출물 측정시 사용되지 않는 실험 기구는?
     1. 뷰렛
     2. 80℃유지 전기열판
     3. 분액 깔때기
     4. 화학 천칭

     정답 : []
     정답률 : 47%

58. BOD가 대략 400㎎/L으로 예측되는 폐수를 시료로 사용하여 BOD실험을 하는 경우 단지 5㎎/L의 DO가 배양기간중 미생물에 의하여 소모되어야 한다면 300㎎/L의 BOD병에 주입하여야 할 시료의 양은 ? (단, 식종하지 않은 시료의 BOD 측정 기준)
     1. 3.75mL
     2. 5.65mL
     3. 7.35mL
     4. 11.25mL

     정답 : []
     정답률 : 24%

59. 다음은 수질측정 항목의 시료 채취 용기, 최대 보존 기간을 나열한 것이다. 거리가 먼 것은 ? (단, 항목 - 용기 - 기간)
     1. 색도 - 폴리에틸렌병, 유리병 - 48시간
     2. 6가크롬 - 폴리에틸렌병 - 1개월
     3. 유기인 - 유리병 - 7일
     4. 카드뮴 - 폴리에틸렌병, 유리병 - 6개월

     정답 : []
     정답률 : 65%

60. 인산염인 시험법에서 인산 이온이 몰리브덴산 암모늄과 반응하여 생성된 몰리브덴산인 암모늄을 염화제일주석과 반응시켜 생성된 무슨 색의 흡광도를 측정하는가?
     1. 적색
     2. 자색
     3. 황색
     4. 청색

     정답 : []
     정답률 : 72%

61. 1종사업장에 대하여 조업정지 10일에 갈음하여 과징금을 부과한 경우 납부하여야 할 과징금액은?
     1. 3천만원
     2. 5천만원
     3. 6천만원
     4. 8천만원

     정답 : []
     정답률 : 42%

62. 기본부과금의 지역별 부과계수중 '청정 및 가지역'의 부과계수는?
     1. 1
     2. 1.5
     3. 2
     4. 2.5

     정답 : []
     정답률 : 25%

63. 수질환경기준이 정해져 있는 법령은?
     1. 수질환경보전법시행령
     2. 수질환경보전법시행규칙
     3. 수질환경보전법
     4. 환경정책기본법시행령

     정답 : []
     정답률 : 알수없음

64. 상수원수 2급과 이용목적별 적용대상이 동일한 것은?
     1. 수산용수 2급
     2. 공업용수 1급
     3. 수영용수
     4. 자연환경보전

     정답 : []
     정답률 : 29%

65. 다음 중 오염도검사를 의뢰하지 않고, 현장에서 배출허용기준 초과여부를 직접 판정할 수 있는 오염물질은?
     1. 용존산소
     2. 탁도
     3. pH
     4. 색도

     정답 : []
     정답률 : 알수없음

66. 일일기준초과배출량의 산정방법이다. 다음 중 ( )에 적합한 말은?

    

     1. 배출농도
     2. 배출허용기준농도
     3. 배출허용기준초과농도
     4. 배출기준농도

     정답 : []
     정답률 : 31%

67. 다음은 하수종말처리시설 중 특별대책지역 및 잠실수중보권역을 제외한 기타지역에 대한 방류수기준으로 틀린것은?
     1. 생물화학적 산소요구량 : 20mg/L 이내
     2. 화학적 산소요구량 : 30mg/L 이내
     3. 부유물질량 : 20mg/L 이내
     4. 총질소 : 60mg/L 이내

     정답 : []
     정답률 : 34%

68. 기술요원 또는 환경관리인이 관련분야에 따라 이수하여야 할 교육과정의 교육기간은?
     1. 3일이내
     2. 5일이내
     3. 7일이내
     4. 14일이내

     정답 : []
     정답률 : 39%

69. 사업장별 환경관리인의 자격기준으로 알맞지 않은 것은?
     1. 연간 90일미만 조업하는 1, 2, 3종 사업장은 4, 5종사업장의 환경관리인을 선임할 수 있다.
     2. 방지시설 설치면제 사업장과 배출시설에서 배출되는 오염물질등을 공동방지시설에서 처리하게 하는 사업장은 4, 5종사업장의 관리인을 둘 수 있다.
     3. 공동방지시설에 있어서 폐수배출량이 3종사업장의 규모에 해당되는 경우는 2종사업장에 해당하는 환경관리인을 두어야 한다.
     4. 폐수종말처리장에 폐수를 유입시켜 처리하는 경우 1종 및 2종 사업장은 3종 사업장에 해당하는 환경관리인을 둘 수 있다.

     정답 : []
     정답률 : 43%

70. 다음중 국립환경연구원에서 교육받아야 할 대상은?
     1. 방지시설업에 종사하는 기술요원
     2. 폐수처리업에 종사하는 기술요원
     3. 배출시설업에 종사하는 기술요원
     4. 환경관리인

     정답 : []
     정답률 : 22%

71. 사업자가 배출시설 및 방지시설를 부적정하게 운영한 경우가 아닌 것은?
     1. 폐수의 염분이나 유기물의 농도가 높아 원래의 상태로는 생물화학적 처리가 어려운 경우 물을 섞어 희석 처리하는 경우
     2. 배출시설에서 배출되는 오염물질을 방지시설에 유입하지 아니하고 배출하는 경우
     3. 방지시설에 유입되는 오염물질을 최종방류구를 거치지 아니하고 배출하는 경우
     4. 방지시설에 유입되는 오염물질을 최종방류구를 거치지 아니하고 배출할 수 있는 시설을 설치하는 경우

     정답 : []
     정답률 : 40%

72. 조업정지 명령에 대신하여 과징금을 징수할 수 있는 시설과 가장 거리가 먼 것은?
     1. 방위산업에 관한 특별조치법 규정에 의한 방위산업체 배출시설
     2. 수도법 규정에 의한 수도시설
     3. 도시가스사업법 규정에 의한 가스공급시설
     4. 석유사업법 규정에 의한 석유비축계획에 따라 설치된 석유비축시설

     정답 : []
     정답률 : 60%

73. 다음중 수질환경보전법상 배출시설과 방지시설의 정상적인 운영· 관리를 위하여 필요한 환경관리인에 대한 임명권자는?
     1. 환경부장관
     2. 사업자
     3. 시· 도지사
     4. 시장· 군수

     정답 : []
     정답률 : 38%

74. 하천 호소 항만 연안해역 기타 공공용에 사용되는 수역과 이에 접속하여 공공용에 사용되는 것으로 환경부령으로 정한 것이 아닌 것은?
     1. 상수관거
     2. 지하수로
     3. 운하
     4. 하수관거

     정답 : []
     정답률 : 62%

75. 다음 중 초과부과금 부과대상이 아닌 것은?
     1. 구리 및 그 화합물
     2. 망간 및 그 화합물
     3. 총질소
     4. 디클로로메탄

     정답 : []
     정답률 : 20%

76. 환경부장관은 사업자가 가동개시 신고를 한 후 조업중인 배출시설에서 배출허용기준을 초과한다고 인정할때에는 어떤 명령을 내릴 수 있는가?
     1. 환경관리인 개임명령
     2. 이전명령
     3. 개선명령
     4. 폐쇄명령

     정답 : []
     정답률 : 64%

77. 1일 폐수배출량이 200m3인 사업장의 규모는?
     1. 2종
     2. 3종
     3. 4종
     4. 5종

     정답 : []
     정답률 : 50%

78. 배출부과금중 초과배출부과금의 부과기준은?
     1. 배출허용기준
     2. 폐수종말처리시설의 방류수수질기준
     3. 하수종말처리시설의 방류수수질기준
     4. 배출허용기준과 방류수수질기준

     정답 : []
     정답률 : 34%

79. 다음중 폐수배출시설 설치허가를 하여야 하는 경우가 아닌 것은?
     1. 상수원보호구역 경계로부터 상류로 유하거리 10킬로 미터이내에 설치하는 배출시설
     2. 특정수질유해물질이 발생되는 배출시설
     3. 상수원보호구역이 지정되지 않은 지역중 상수원 취수 시설이 있는 경우에는 취수시설로부터 상류로 유하거리 15킬로미터이내에 설치하는 배출시설
     4. 특별대책지역으로 지정되지 않은 지역중 상수원 취수 시설이 있는 지역의 경우 취수시설로 부터 상류로 유하거리 10킬로미터이내에 설치하는 배출시설

     정답 : []
     정답률 : 47%

80. 배출시설로부터 배출되는 오염물질의 공동처리를 위하여 설치하는 공동방지시설의 설치 주체는?
     1. 사업자
     2. 지방자치단체장
     3. 시,도지사
     4. 환경부장관

     정답 : []
     정답률 : 22%


정 답 지

1

2

3

4

5

6

7

8

9

10

11

12

13

14

15

16

17

18

19

20

21

22

23

24

25

26

27

28

29

30

31

32

33

34

35

36

37

38

39

40

41

42

43

44

45

46

47

48

49

50

51

52

53

54

55

56

57

58

59

60

61

62

63

64

65

66

67

68

69

70

71

72

73

74

75

76

77

78

79

80

수질환경산업기사 필기 기출문제(해설) 및 CBT 2002년05월26일을 이용해 주셔서 감사합니다.
, 필기, 기출문제, 전자문제집, CBT, 온라인, 모의테스트, 모의고사



List of Articles
번호 제목 글쓴이 날짜 조회 수
1787 수질환경산업기사 필기 기출문제(해설) 및 CBT 2008년05월11일(2046) 좋은아빠되기 2025.10.07 1
1786 수질환경산업기사 필기 기출문제(해설) 및 CBT 2008년03월02일(2045) 좋은아빠되기 2025.10.07 3
1785 수질환경산업기사 필기 기출문제(해설) 및 CBT 2007년08월05일(2044) 좋은아빠되기 2025.10.07 1
1784 수질환경산업기사 필기 기출문제(해설) 및 CBT 2007년05월13일(2043) 좋은아빠되기 2025.10.07 3
1783 수질환경산업기사 필기 기출문제(해설) 및 CBT 2007년03월04일(2042) 좋은아빠되기 2025.10.07 1
1782 수질환경산업기사 필기 기출문제(해설) 및 CBT 2006년08월06일(2041) 좋은아빠되기 2025.10.07 1
1781 수질환경산업기사 필기 기출문제(해설) 및 CBT 2006년05월14일(2040) 좋은아빠되기 2025.10.07 2
1780 수질환경산업기사 필기 기출문제(해설) 및 CBT 2006년03월05일(2039) 좋은아빠되기 2025.10.07 0
1779 수질환경산업기사 필기 기출문제(해설) 및 CBT 2005년05월29일(2038) 좋은아빠되기 2025.10.07 3
1778 수질환경산업기사 필기 기출문제(해설) 및 CBT 2005년03월20일(2037) 좋은아빠되기 2025.10.07 0
1777 수질환경산업기사 필기 기출문제(해설) 및 CBT 2005년03월06일(2036) 좋은아빠되기 2025.10.07 2
1776 수질환경산업기사 필기 기출문제(해설) 및 CBT 2004년08월08일(2035) 좋은아빠되기 2025.10.07 2
1775 수질환경산업기사 필기 기출문제(해설) 및 CBT 2004년05월23일(2034) 좋은아빠되기 2025.10.07 1
1774 수질환경산업기사 필기 기출문제(해설) 및 CBT 2004년03월07일(2033) 좋은아빠되기 2025.10.07 2
1773 수질환경산업기사 필기 기출문제(해설) 및 CBT 2003년08월10일(2032) 좋은아빠되기 2025.10.07 2
1772 수질환경산업기사 필기 기출문제(해설) 및 CBT 2003년05월25일(2031) 좋은아빠되기 2025.10.07 0
1771 수질환경산업기사 필기 기출문제(해설) 및 CBT 2003년03월16일(2030) 좋은아빠되기 2025.10.07 2
1770 수질환경산업기사 필기 기출문제(해설) 및 CBT 2002년08월11일(2029) 좋은아빠되기 2025.10.07 2
» 수질환경산업기사 필기 기출문제(해설) 및 CBT 2002년05월26일(2028) 좋은아빠되기 2025.10.07 2
1768 수질환경산업기사 필기 기출문제(해설) 및 CBT 2002년03월10일(2027) 좋은아빠되기 2025.10.07 0
Board Pagination Prev 1 ... 588 589 590 591 592 593 594 595 596 597 ... 682 Next
/ 682