자격증 필기 기출문제



건축설비산업기사 필기 기출문제(해설) 및 CBT 2017년03월05일(3566)

최강 자격증 기출문제 전자문제집 CBT : www.comcbt.com


전자문제집 CBT란?

종이 문제집이 아닌 인터넷으로 문제를 풀고 자동으로 채점하며 모의고사, 오답 노트, 해설까지 제공하는
무료 기출문제 학습 프로그램으로 실제 상설검정에서 사용하는 OMR 형식의 CBT를 제공합니다.


최신 건축설비산업기사 필기 기출문제 : [다운로드]

1과목 : 건축일반


1. 교사의 배치형식에 관한 설명으로 옳지 않은 것은?
     1. 폐쇄형-대지의 효율성이 크다.
     2. 분산병렬형-소음에 유리하다.
     3. 집합형-동선이 짧아 학생 이동이 유리하다.
     4. 클러스트형-건물 사이 공간 활용성이 좋다.

     정답 : []
     정답률 : 75%

2. 창호철물에 관한 설명 중 옳지 않은 것은?
     1. 경첩(hinge)은 문짝을 문틀에 달아 여닫는 축이 된다.
     2. 도어 스톱(door stop)은 열려진 문이 저절로 닫히게 하는 장치이다,
     3. 크레센트(crescent)는 오르내리창을 잠그는 데 쓰인다.
     4. 플로어 힌지(floor hinge)는 보통 경첩으로 유지할 수 없는 무거운 자재문에 사용한다.

     정답 : []
     정답률 : 83%
     <문제 해설>
도어스톱=> 도어체크
[해설작성자 : comcbt.com 이용자]

3. 장소별 최적의 잔향시간에 관한 설명으로 옳지 않은 것은?
     1. 실의 사용목적과 실 용적에 의하여 최적의 잔향시간을 결정한다.
     2. 강연이나 연극이 이루어지는 실에서는 잔향시간을 비교적 짧게 한다.
     3. 음향설비를 이용하는 경우에는 잔향시간을 최적치보다 짧게 한다.
     4. 오케스트라나 뮤지컬 등 음악감상이 이루어지는 실에서는 잔향시간을 비교적 짧게 하여 명료도를 높인다.

     정답 : []
     정답률 : 76%

4. 목구조에서 이음의 종류가 아닌 것은?
     1. 맞댄이음
     2. 겹친이음
     3. 안장이음
     4. 주먹장이음

     정답 : []
     정답률 : 64%
     <문제 해설>
목구조 연결방법에는 이음과 맞춤, 쪽매가 있으며 안장이음은 맞춤의 한가지이다.
[해설작성자 : comcbt.com 이용자]

5. 건축의 척도조정(modular coordination)에 관한 설명으로 옳지 않은 것은?
     1. 외관의 융통성 부여
     2. 설계작업의 단순화
     3. 건축구성재의 생산비용 절감
     4. 공기단축

     정답 : []
     정답률 : 81%

6. 도서관의 기본계획에 대한 설명으로 옳지 않은 것은?
     1. 서고는 증축을 고려하여 계획한다.
     2. 서고는 화재에 대비하여 스프링클러설비를 설치한다.
     3. 증가하는 자료에 대비하여 모듈러 플래닝에 의한 확장성을 고려한다.
     4. 도서관에서는 원칙적으로 이용자, 관원의 출입구와 자료의 반입구 등을 별도로 계획한다.

     정답 : []
     정답률 : 86%

7. 각 층의 바닥면적이 400m2인 12층 임대 사무소의 예상 수용인원으로 가장 적절한 것은? (단, 인당 면적은 8~11m2/인으로 계산)
     1. 240~400인
     2. 440~600인
     3. 640~800인
     4. 840~1000인

     정답 : []
     정답률 : 76%

8. 호텔의 각 부분을 기능적으로 분류할 때 이에 속하지 않는 것은?
     1. 설비부분
     2. 숙박부분
     3. 공용, 사교부분
     4. 관리부분

     정답 : []
     정답률 : 80%

9. 측창채광에 관한 설명으로 옳지 않은 것은?
     1. 구조와 시공이 용이한 편이다.
     2. 조도분포가 균열하여 넓은 실에 유리하다.
     3. 통풍 및 차열에 유리하다.
     4. 개패와 조작이 용이하다.

     정답 : []
     정답률 : 70%

10. 다음, 그림과 단면을 갖는 쪽매의 명칭은?

    

     1. 반턱쪽매
     2. 오늬쪽매
     3. 제혀쪽매
     4. 딴혀쪽매

     정답 : []
     정답률 : 73%

11. 실내 환기 횟수의 정의로 옳은 것은?
     1. 환기량(m3/h)×실용적(m3)
     2. 환기량(m3/h)×실용적(m3)×2
     3. 환기량(m3/h)/실용적(m3)
     4. 실용적(m3)/환기량(m3/h)

     정답 : []
     정답률 : 68%

12. 터미널호텔 종류에 속하지 않는 것은?
     1. 공항호텔(Airport hotel)
     2. 부두호텔(Harbor hotel)
     3. 철도역호텔(Station hotel)
     4. 해변호텔(Beach hotel)

     정답 : []
     정답률 : 85%

13. 아파트의 평면형식상의 분류에 속하지 않는 것은?
     1. 계단실형
     2. 편복도형
     3. 중복도형
     4. 메조넷형

     정답 : []
     정답률 : 84%

14. 내부결로의 방지대책으로 옳지 않은 것은?
     1. 단열재를 가능한 벽의 내측에 설치
     2. 벽체 내부온도를 그 부분의 노점온도보다 높게 할 것
     3. 실내의 수증기 발생 억제
     4. 벽체 내부의 수증기압을 포화수증기보다 작게 할 것

     정답 : []
     정답률 : 79%

15. 진열장의 조명에 관한 설명으로 옳지 않은 것은?
     1. 전반조명은 시계점, 귀금속점 등에 주로 사용된다.
     2. 국부조명은 강조할 필요가 있는 고가의 상품에 사용된다.
     3. 직접조명은 조명효율은 높으나 불쾌감을 준다.
     4. 반간접조명은 광선이 부드럽고 그림자를 만들지 않는 다.

     정답 : []
     정답률 : 79%

16. 한식 지붕틀에 사용되는 부재가 아닌 것은?
     1. 동자기둥
     2. 대들보
     3. 토대
     4. 서까래

     정답 : []
     정답률 : 66%

17. 사무소건축의 화장실 배치계획에 관한 설명 중 옳지 않은 것은?
     1. 각 층마다 공통의 위치에 둔다.
     2. 가능한 한 곳에 집중시킨다.
     3. 가급적 계단실이나 승강기실에서 멀리 떨어지도록 한다.
     4. 각 사무실에서 동선이 단순하게 구성되도록 한다.

     정답 : []
     정답률 : 83%

18. 상하플랜지에 ㄱ형강을 쓰고 웨브재를 일정한 각도로 접합한 철골 조립보는?
     1. 판보
     2. 형강보
     3. 래티스보
     4. 허니컴보

     정답 : []
     정답률 : 73%
     <문제 해설>
1. 판보: 웨보에 철판을 대고 상하부에 플랜지 철판을 용접하거나 ㄱ형강을 리벳 접합한 것
2. 형강보: H형강, ㄷ형강, I형강 등을 주로 사용하며 중도리, 장선, 작은보 등에 사용
3. 래티스보: 형강과 래티스로 상하 플랜지에 ㄱ형강을 쓰고 웨브재로 45º,60º 또는 90º 등의 일정한 각도로 적합한 조립된 것으로 전단력에 약하여 경미한 철골구조나 철골철근콘크리트조에 이용
4. 허니컴보: I형강을 절단하여 구멍이 나게 맞추어 용접한 보
5. 격자보: 웨브재를 상하부 플랜지에 90º로 조립한 보
6. 트러스보: 각종 형강과 가셋 플레이트를 사용하여 조립한 보로서 경간이 큰 구조물에 사용
[해설작성자 : 동부산폴리텍 산업설비학과]

19. 백화점 건축의 기둥간격 결정과 가장 거리가 먼 것은?
     1. 지하 주차장의 주차폭
     2. 매장의 면적
     3. 쇼 케이스 치수
     4. 에스컬레이터의 크기

     정답 : []
     정답률 : 57%

20. 집합주거의 단지계획에 대한 설명으로 옳지 않은 것은?
     1. 단지 내에는 차량의 통과 동선을 계획하지 않는다.
     2. 단지 내의 도로는 가급적 긴 직선도로로 계획한다.
     3. 단지 내 도로에 따른 건축물의 적절한 시각적 변화를 주도록 한다.
     4. 단지 내 외부공간은 주민들이 소속감과 친근감을 느끼도록 계획한다.

     정답 : []
     정답률 : 74%

2과목 : 위생설비


21. 트랩이 구비해야 할 조건으로 옳지 않은 것은?
     1. 가능한 구조가 간단할 것
     2. 배수 시 자기세정이 가능할 것
     3. 유효 봉수깊이(50~100mm)를 가질 것
     4. 유수의 힘으로 가동부분이 열리고 유수가 끝나면 자동으로 닫히게 되는 구조일 것

     정답 : []
     정답률 : 75%

22. 연면적이 10000m2인 사무소 건물에 필요한 1일당 급수량은? (단, 유효면적비율은 60%, 1인 1일당 급수량은 100L, 유효면적당 거주인원은 0.2인/m2 이다.)
     1. 12m3
     2. 20m3
     3. 120m3
     4. 200m3

     정답 : []
     정답률 : 69%
     <문제 해설>
10000 X 0.6 X 0.2 X 100 = 120000 L/day = 120 m3/day
[해설작성자 : 동부산폴리텍 산업설비학과]

23. 배관이음 부속에 관한 설명으로 옳지 않은 것은?
     1. 캡은 관의 끝을 막는 데 사용한다.
     2. 티는 관 도중에서 분기하는 데 사용된다.
     3. 엘보우는 관의 방향을 바꾸는 데 사용된다.
     4. 유니온은 지름이 다른 관을 직선으로 연결 하는 데사용된다.

     정답 : []
     정답률 : 80%
     <문제 해설>
유니온은 동일 관경의 배관끼리 연결시켜주는데 사용한다.
[해설작성자 : comcbt.com 이용자]

24. 배수관의 관경을 결정할 때 기준이 되는 것은?
     1. 층고
     2. 급수량
     3. 배수관의 위치
     4. 단위시간당 최대 배수량

     정답 : []
     정답률 : 75%

25. 온수를 열원으로 하는 간접가열식 급탕설비의 구성에 속하지 않는 것은?
     1. 팽창관
     2. 저탕조
     3. 증기트랩
     4. 온도조절 밸브

     정답 : []
     정답률 : 58%

26. 오수정화시설에서 생물학적 처리방법 중 활성오니법에 속하는 것은?
     1. 장기폭기방법
     2. 접촉산화방법
     3. 살수여상방법
     4. 회전원판접촉방법

     정답 : []
     정답률 : 69%

27. 주철관의 접합 방법에 속하는 것은?
     1. 나사 접합
     2. 용접 접합
     3. 납땜 접합
     4. 메커니컬 접합

     정답 : []
     정답률 : 70%

28. 다음 중 압력탱크 급수방식에서 물 공급 순서로 가장 알맞은 것은?
     1. 상수도→압력탱크→펌프→저수조→위생기구
     2. 상수도→압력탱크→저수조→펌프→위생기구
     3. 상수도→저수조→펌프→압력탱크→위생기구
     4. 상수도→저수조→압력탱크→펌프→위생기구

     정답 : []
     정답률 : 70%

29. 급탕설비에 관한 설명으로 옳지 않은 것은?
     1. 배관방식은 2관식과 3관식이 있다.
     2. 급탕방식은 국소식과 중앙식이 있다.
     3. 급탕순환방식은 중력식과 강제식이 있다.
     4. 중앙식 가열장치는 직접가열식과 간접가열식이 있다.

     정답 : []
     정답률 : 70%

30. 배수∙통기배관에 관한 설명으로 옳지 않은 것은?
     1. 세탁기의 배수는 간접배수로 한다.
     2. 의료∙위생기기 등의 배수관에는 안전을 위해 2중으로 트랩을 설치한다,
     3. 청소구의 구경은 해당 배수관경과 동일한 관경으로 함을 원칙적으로 한다.
     4. 루프통기관은 기구 넘침면으로부터 150mm이상 입상시킨 다음 통기수직관에 연결한다.

     정답 : []
     정답률 : 63%

31. 통기관의 관경 결정에 관한 설명으로 옳지 않은 것은?
     1. 각개통기관의 관경은 접속하는 배수관 관경의 1/2 이상으로 한다.
     2. 결합통기관의 관경은 통기수직관과 배수수직관 중 작은 쪽 관경의 1/2 이상으로 한다.
     3. 배수수평지관의 도피통기관 관경은 접속하는 배수수 평지관 관경의 1/2 이상으로 한다.
     4. 루프통기관의 관경은 배수수평지관과 통기수직관 중 작은 쪽 관경의 1/2 이상으로 한다.

     정답 : []
     정답률 : 51%
     <문제 해설>
결합통기관의 관경은 통기수직관과 배수수직관 중 작은 쪽 관경 이상으로 하여 보통 50mm 이상으로 한다
[해설작성자 : comcbt.com 이용자]

32. 화재의 등급에 따른 소화기 표시색 및 화재의 종류의 연결이 옳지 않은 것은?
     1. A급 화제 - 백색 - 일반화재
     2. B급 화재 - 황색 - 유류화재
     3. C급 화재 - 청색 - 전기화재
     4. D급 화재 - 녹색 - 화학화재

     정답 : []
     정답률 : 78%
     <문제 해설>
D급 화재 - 무색 - 금속화재
[해설작성자 : comcbt.com 이용자]

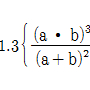
33. 온수의 체적 팽창량을 구하는 식으로 옳은 것은?

    

     1.
     2.
     3.
     4.

     정답 : []
     정답률 : 65%

34. 가스사용시설에서 가스계량기와 전기계량기의 이격거리는 최소 얼마 이상으로 하여야 하는가?
     1. 15cm
     2. 30cm
     3. 60cm
     4. 90cm

     정답 : []
     정답률 : 79%

35. 저수조에 물이 5m 높이까지 채워져 있을 경우, 수조 바닥면에서 받는 압력은?
     1. 약 0.5kPa
     2. 약 5kPa
     3. 약 50kPa
     4. 약 500kPa

     정답 : []
     정답률 : 69%

36. 관내 유량을 구하는 공식 에서 d가 의미 하는 것은?
     1. 관경
     2. 유속
     3. 관 길이
     4. 마찰손실

     정답 : []
     정답률 : 79%

37. 강관의 스케줄 번호와 관계있는 것은?
     1. 관의 외경
     2. 관의 내경
     3. 관의 두께
     4. 관의 길이

     정답 : []
     정답률 : 79%

38. 세정밸브식 대변기에 관한 설명으로 옳은 것은?
     1. 연속사용이 가능하다.
     2. 일반 가정용으로 주로 사용된다.
     3. 급수관경이 최소 40A 이상 필요하다.
     4. 낙차에 의한 수압으로 대변기를 세척하는 방식이다.

     정답 : []
     정답률 : 78%

39. 고가수조 급수방식에 관한 설명으로 옳지 않은 것은?
     1. 급수압력이 일정하다.
     2. 단수 시에도 일정량의 급수를 할 수 있다.
     3. 일반적으로 상향급수 배관방식이 사용된다.
     4. 저수시간이 길어지면 수질이 나빠지기 쉽다.

     정답 : []
     정답률 : 76%

40. 다음은 옥내소화전설비에서 전동기 또는 내연 기관에 따른 펌프를 이용하는 가압송수장치에 관한 기준 내용이다. ( )안에 알맞은 것은?

    

     1. ㉠ 0.17MPa, ㉡ 130L/miin
     2. ㉠ 0.17MPa, ㉡ 260L/miin
     3. ㉠ 0.34MPa, ㉡ 130L/miin
     4. ㉠ 0.34MPa, ㉡ 260L/miin

     정답 : []
     정답률 : 67%

3과목 : 공기조화설비


41. 다음과 같은 조건에서 교실면적이 480m2인 경우 조명기구(형광등)로부터의 취득열량은?

    

     1. 3372W
     2. 3744W
     3. 3925W
     4. 4120W

     정답 : []
     정답률 : 62%
     <문제 해설>
480 X 13 X 1.2 X 0.5 = 3744 W
[해설작성자 : 동부산폴리텍 산업설비학과]

42. 덕트의 배치방식에 관한 설명으로 옳지 않은 것은?
     1. 수평덕트방식은 각개입상덕트방식에 비하여 덕트 스페이스를 적게 차지한다.
     2. 간선덕트방식은 주덕트인 입상덕트로부터 각 층에서 분기되어 각 취출구로 연결한다.
     3. 개별덕트방식은 입상덕트에서 각개의 취출구로 각개의 덕트를 통해 분산하여 송풍하는 방식 이다.
     4. 환상덕트방식은 2개의 덕트 말단을 루프(loop)상태로 연결함으로써 양쪽 덕트의 정압이 균일하게 된다.

     정답 : []
     정답률 : 57%
     <문제 해설>
개별 입상덕트방식은 천정 내에 횡주덕트를 하지 않으므로 수평덕트방식에 비해 덕트스페이스를 작게 할 수 있어 실의 높이를 높게 할 수 있다.
[해설작성자 : 동부산폴리텍 산업설비학과]

43. 실내공기오염농도의 종합적 지표로서 CO2농도를 사용하는 가장 주된 이유는?
     1. CO2량은 측정하기가 쉬우므로
     2. CO2량에 비례하여 다른 오염농도로 증가되므로
     3. CO2량이 조금만 있어도 인체에 치명적인 해를 주므로
     4. CO2는 공기보다 밀도가 커서 실 바닥에 누적 되므로

     정답 : []
     정답률 : 78%

44. 증기트랩 중 플로트 트랩에 관한 설명으로 옳지 않은 것은?
     1. 구조상 동결의 우려가 있는 곳에 적합하다.
     2. 증기해머에 의해 내부손상을 입을 수 있다.
     3. 다량 및 소량의 응축수를 모두 처리할 수 있다.
     4. 넓은 범위의 압력과 급격한 압력변화에도 원활히 작동한다.

     정답 : []
     정답률 : 69%

45. 냉동기에 관한 설명으로 옳지 않은 것은?
     1. 냉동기 냉매의 증발온도는 응축온도보다 높아야 한다.
     2. 흡수식 냉동기는 압축식 냉동기보다 소음∙진동이 작다.
     3. 흡수식 냉동기는 흡수체로서 LiBr, 냉매로서 물을 사용한다.
     4. 압축식 냉동기 냉매는 압축→응축→팽창→증발의 순으로 순환한다.

     정답 : []
     정답률 : 59%

46. 증기난방설비에 사용되는 플래시 탱크(flash tank)의 역할로 가장 알맞은 것은?
     1. 고온, 고압의 응축수로부터 재증발 증기를 회수 한다.
     2. 스팀보일러로부터 발생한 증기를 각 계통으로 분배한다.
     3. 환수주관보다 높은 위치에 진공펌프를 설치할 때 사용한다.
     4. 보일러의 저수위면이 안전수위 이하로 내려가는 것을 방지한다.

     정답 : []
     정답률 : 51%
     <문제 해설>
플래시 탱크 - 관류 보일러에서 보일러 수의 연속 블로어에 의한 열 손실을 회수하는 장치이다.
[해설작성자 : comcbt.com 이용자]

47. 냉방 시 벽체면적 30m2를 통해 취득되는 관류 열량은? (단, 벽체의 열관류율은 0.58W/m2∙K이고, 상당외기 온도차는 10℃이다.)
     1. 17.4W
     2. 34.8W
     3. 174W
     4. 348W

     정답 : []
     정답률 : 58%
     <문제 해설>
0.58 X 30 X 10 = 174 W
[해설작성자 : 동부산폴리텍 산업설비학과]

48. 용량이 386kW인 터보 냉동기에 1시간동안 순환되는 냉각수량은? (단, 냉각기 입구의 냉수온도 10℃, 출구의 냉수온도 5℃, 물의 비열 4.2kJ/kg∙K)
     1. 55.3m3/h
     2. 58.9m3/h
     3. 64.9m3/h
     4. 66.2m3/h

     정답 : []
     정답률 : 38%
     <문제 해설>
386 X 3600 / 4.2 X ( 10 - 5 ) = 66171 ㎏/h = 66.2 m3/h
[해설작성자 : 동부산폴리텍 산업설비학과]

49. 습공기 선도에 표시되지 않는 공기의 상태값은?
     1. 비체적
     2. 열수분비
     3. 작용온도
     4. 수증기분압

     정답 : []
     정답률 : 46%

50. 습공기의 엔탈피에 관한 설명으로 옳지 않은 것은?
     1. 현열은 온도의 변화에 따라 출입하는 열로 공기의 정압비열에 온도를 곱해서 구한다.
     2. 잠열은 상태의 변화에 따라 출입하는 열로 수증기의 증발잠열에 절대습도를 곱해서 구한다.
     3. 20℃일 때 건공기의 엔탈피를 100으로 하여 습공기 1kg이 지니고 있는 열량으로 나타낸다.
     4. 건조공기가 그 상태에서 가지고 있는 현열과 동일한 온도에서 수증기가 갖고 있는 잠열과의 합이다.

     정답 : []
     정답률 : 59%
     <문제 해설>
건구온도 0도씨인 건공기의 엔탈피 : 0 kJ/kg
[해설작성자 : 동부산폴리텍 산업설비학과]

51. 대향류형 냉각탑과 비교한 직교류형 냉각탑의 특징을 설명한 내용 중 옳지 않은 것은?
     1. 팬 소요동력이 적다.
     2. 탑내 기류분포가 나쁘다.
     3. 구조상 점검∙보수가 용이하다.
     4. 설치면적이 적고 냉각효율이 높다.

     정답 : []
     정답률 : 58%

52. 펌프에 관한 설명으로 옳지 않은 것은?
     1. 순환펌프로는 주로 원심식 펌프가 사용된다.
     2. 비속도가 작은 펌프는 양수량이 변화하여도 양정의 변화가 작다.
     3. 동일 특성의 펌프를 병렬 운전할 경우 실제로 유량이 2배 증가한다.
     4. 펌프의 실양정은 흡입측과 토출측의 수위와 펌프의 설치 위치에 따라 다르다.

     정답 : []
     정답률 : 59%
     <문제 해설>
동일 특성을 갖는 펌프의 병렬운전시 배관의 마찰저항이 없다면 유량이 2배로 증가하나 실제로는 배관의 마찰손실에 따라 유량과 양정을 크게 달라진다.
[해설작성자 : 동부산폴리텍 산업설비학과]

53. 다음의 공조방식 중 중앙공조방식에 속하는 것은?
     1. 룸쿨러 방식
     2. 패키지 방식
     3. 팬코일 유닛 방식
     4. 멀티 유닛형 룸쿨러 방식

     정답 : []
     정답률 : 71%

54. 냉각탑에서 응축기로 물을 보내기 위한 배관의 명칭은?
     1. 냉각수 공급관
     2. 냉각수 환수관
     3. 냉수 공급관
     4. 냉수 환수관

     정답 : []
     정답률 : 71%

55. 냉방부하의 종류 중 현열과 잠열을 동시에 보유하고 있지 않은 것은?
     1. 인체부하
     2. 외기부하
     3. 조명기구부하
     4. 틈새바람부하

     정답 : []
     정답률 : 79%

56. 틈새바람량의 산정 방법에 속하지 않는 것은?
     1. 틈새법
     2. 풍압법
     3. 면적법
     4. 환기횟수법

     정답 : []
     정답률 : 56%

57. 환기방식에 관한 설명으로 옳지 않은 것은?
     1. 제3종 환기방식은 지붕에 설치된 모니터를 이용한다.
     2. 중력환기에 의한 환기량은 실내외 온도차에 비례한다.
     3. 치환환기는 실내 온도보다 낮은 온도의 공기를 이용하는 방식이다.
     4. 제2종 환기방식은 오염 공기의 침입을 방지 하거나 연소용 공기가 필요한 경우에 적합하다.

     정답 : []
     정답률 : 66%

58. 다음 설명에 알맞은 보일러는?

    

     1. 연관보일러
     2. 입형 보일러
     3. 수관 보일러
     4. 주철제 보일러

     정답 : []
     정답률 : 71%

59. 장변의 길이가 1.2m이고 단변의 길이가 0.7m인 장방형 덕트 풍속 5m/s로 공기가 통과할 경우 송풍량은?
     1. 42m3/min
     2. 252m3/min
     3. 300m3/min
     4. 420m3/min

     정답 : []
     정답률 : 53%
     <문제 해설>
덕트를 통과하는 풍량 = 단면적 * 풍속
1.2 * 0.7 * 5m/s = 4.2m^3/s
4.2 m^3/s =    252m^3/m
[해설작성자 : 내일시험]

60. 습공기에 관한 설명으로 옳은 것은?
     1. 습공기를 가열하면 비체적은 감소한다.
     2. 습공기를 가열하면 엔탈피는 감소한다.
     3. 습공기를 가열하면 상대습도는 증가한다.
     4. 습공기를 가열해도 절대습도는 일정하다.

     정답 : []
     정답률 : 64%

61. 다음의 소방시설 중 소화설비에 속하지 않는 것은?
     1. 포소화설비
     2. 연결살수설비
     3. 옥외소화설비
     4. 스프링클러설비

     정답 : []
     정답률 : 65%
     <문제 해설>
연결살수설비는 소화활동설비임
[해설작성자 : 독학맨]

62. 공동주택의 거실에 설치하는 반자의 높이는 최소 얼마 이상으로 하여야 하는가?
     1. 1.8m
     2. 2.1m
     3. 2.7m
     4. 4.0m

     정답 : []
     정답률 : 77%

63. 건축물의 피난∙방화구조 등의 기준에 관한 규칙에 따라 채광 및 환기를 위한 창문등이나 설비를 설치하여야 하는 대상에 속하지 않는 것은?
     1. 의료시설의 병실
     2. 공동주택의 거실
     3. 종교시설의 집회실
     4. 교육연구시설 중 학교의 교실

     정답 : []
     정답률 : 63%

64. 비상용승강기 승강장의 바닥면적은 비상용 승강기 1대에 대하여 최소 얼마 이상으로 하여야 하는가? (단, 옥내에 승강장을 설치하는 경우)
     1. 5m2
     2. 6m2
     3. 8m2
     4. 10m2

     정답 : []
     정답률 : 82%

65. 기계환기설비를 설치하여야 하는 다중이용시설 중 판매시설의 필요 환기량 기준은?
     1. 25m3/인∙이상
     2. 27m3/인∙이상
     3. 29m3/인∙이상
     4. 36m3/인∙이상

     정답 : []
     정답률 : 56%

66. 판매시설로서 모든 층에 스프링클러설비를 설치하여야 하는 특정소방대상물의 수용인원 기준은?
     1. 200명 이상
     2. 400명 이상
     3. 500명 이상
     4. 1000명 이상

     정답 : []
     정답률 : 69%

67. 아파트에 설치하여야 하는 대피공간에 관한 기준 내용으로 옳지 않은 것은?
     1. 대피공간은 바깥의 공기가 접할 것
     2. 대피공간은 실내의 다른 부분과 방화구획으로 구획될 것
     3. 대피공간의 바닥면적은 각 세대별로 설치하는 경우에는 최소 2m2 이상일 것
     4. 대피공간의 바닥면적은 인접 세대와 공동으로 설치하는 경우에는 최소 4m2 이상일 것

     정답 : []
     정답률 : 67%
     <문제 해설>
대피공간의 바닥면적은 인접 세대와 공동으로 설치하는 경우에는 최소 3m2 이상일 것
[해설작성자 : 동부산폴리텍 산업설비학과]

68. 건축법령상 다음과 같이 정의되는 용어는?

    

     1. 증축
     2. 개축
     3. 재축
     4. 대수선

     정답 : []
     정답률 : 82%

69. 건축물의 에너지절약 설계기준에 따른 건축부문의 권장사항으로 옳지 않은 것은?
     1. 외벽 부위는 외단열로 시공한다.
     2. 공동주택은 인동간격을 넓게 하여 저층부의 일사 수 열량을 증대시킨다.
     3. 건축물의 체적에 대한 외피면적의 비 또는 연면적에 대한 외피면적의 비는 가능한 크게 한다.
     4. 건물의 창 및 문은 가능한 작게 설계하고, 특히 열손실이 많은 북측 거실의 창 및 문의 면적은 최소화한다.

     정답 : []
     정답률 : 68%

70. 건축허가 등을 함에 있어서 소방본부장 또는 소방서장의 동의를 받아야 하는 대상 건축물 등에 속하는 것은?
     1. 항공관제탑
     2. 주차장으로 사용되는 바닥면적이 100m2인 층이 있는 건축물
     3. 무창층이 있는 건축물로서 바닥면적이 80m2인 층이 있는 것
     4. 승강기 등 기계장치에 의한 주차시설로서 자동차 10대를 주차할 수 있는 시설

     정답 : []
     정답률 : 75%

71. 건축법령상 다음과 같이 정의되는 주택의 유형은?

    

     1. 다중주택
     2. 연립주택
     3. 다가구주택
     4. 다세대주택

     정답 : []
     정답률 : 76%

72. 문화 및 집회시설 중 공연장 개별관람석의 출구에 관한 설명으로 옳지 않은 것은? (단, 개별관람석의 바닥면적이 300m2 이상인 경우)
     1. 안여닫이로 할 것
     2. 관람석별로 2개소 이상 설치할 것
     3. 각 출구의 유효너비는 1.5m 이상일 것
     4. 개별관람석 출구의 유효너비의 합계는 개별 관람석의 바닥면적 100m2마다 0.6m의 비율로 산정한 너비 이상으로 할 것

     정답 : []
     정답률 : 74%

73. 1급 소방안전관리대상물에 두어야 할 소방안전 관리자의 선임대상자에 속하지 않는 사람은?
     1. 소방설비기사의 자격이 있는 사람
     2. 소방설비산업기사의 자격이 있는 사람
     3. 소방공무원으로 7년 근무한 경력이 있는 사람
     4. 산업안전기사의 자격을 취득한 후 1년간 2급 소방안전관리대상물의 소방안전관리자로 근무한 실무 경력이있는 사람

     정답 : []
     정답률 : 70%
     <문제 해설>
산업안전기사의 자격을 취득한 후 "1년간" 2급 소방안전관리대상물의 소방안전관리자로 근무한 실무 경력이있는 사람 →"2년간"
[해설작성자 : comcbt.com 이용자]

74. 공사감리자가 필요하다고 인정할 경우 공사 시공자에게 상세시공도면을 작성하도록 요청할 수 있는 대상 건축공사 기준은?
     1. 연면적의 합계가 3000m2 이상인 건축공사
     2. 연면적의 합계가 5000m2 이상인 건축공사
     3. 연면적의 합계가 10000m2 이상인 건축공사
     4. 연면적의 합계가 20000m2 이상인 건축공사

     정답 : []
     정답률 : 56%

75. 건축물의 용도변경과 관련된 시설군 중 영업 시설군의 세부 용도에 속하지 않는 것은?
     1. 판매시설
     2. 운동시설
     3. 업무시설
     4. 숙박시설

     정답 : []
     정답률 : 75%

76. 피난안전구역의 설치에 관한 기준 내용으로 옳지 않은 것은?
     1. 피난안전구역의 높이는 2.1m 이상일 것
     2. 피난안전구역의 내부마감재료는 불연재료로 설치할 것
     3. 비상용 승강기는 피난안전구역에서 승하차할 수 있는 구조로 설치할 것
     4. 건축물의 내부에서 피난안전구역으로 통하는 계단은 피난계단의 구조로 설치할 것

     정답 : []
     정답률 : 48%
     <문제 해설>
피난방화구조 8조2 건축물의 내부에서 피난안전구역으로 통하는 계단은 특별피난구조로    설치할 것
[해설작성자 : comcbt.com 이용자]

77. 내화구조에 속하지 않는 것은? (단, 바닥의 경우)
     1. 철근콘크리트조로서 두께가 10cm인 것
     2. 무근콘크리트조로서 두께가 10cm인 것
     3. 철골철근콘크리트조로서 두께가 10cm인 것
     4. 철재의 양면을 두께 5cm의 철망모르타르로 덮은 것

     정답 : []
     정답률 : 69%

78. 건축물의 설비기준 등에 관한 규칙에 따라 피뢰설비를 설치하여야 하는 대상 건축물의 높이 기준은?
     1. 10m 이상
     2. 20m 이상
     3. 30m 이상
     4. 40m 이상

     정답 : []
     정답률 : 77%

79. 건축물의 에너지절약 설계기준상 다음과 같이 정의되는 용어는?

    

     1. 위험률
     2. 온도율
     3. 부분부하율
     4. 최대부하율

     정답 : []
     정답률 : 77%

80. 각 층의 거실면적이 1500m2이고, 층수가 11층인 업무시설에 설치하여야 하는 승용승강기의 최소 대수는? (단, 15인승 승강기의 경우)
     1. 1대
     2. 2대
     3. 3대
     4. 4대

     정답 : []
     정답률 : 51%
     <문제 해설>
1 + ( ( 1500 × 6 ) - 3000 / 2000 ) = 4 대
[해설작성자 : 동부산폴리텍 산업설비학과]


정 답 지

1

2

3

4

5

6

7

8

9

10

11

12

13

14

15

16

17

18

19

20

21

22

23

24

25

26

27

28

29

30

31

32

33

34

35

36

37

38

39

40

41

42

43

44

45

46

47

48

49

50

51

52

53

54

55

56

57

58

59

60

61

62

63

64

65

66

67

68

69

70

71

72

73

74

75

76

77

78

79

80

건축설비산업기사 필기 기출문제(해설) 및 CBT 2017년03월05일을 이용해 주셔서 감사합니다.
, 필기, 기출문제, 전자문제집, CBT, 온라인, 모의테스트, 모의고사



List of Articles
번호 제목 글쓴이 날짜 조회 수
3298 건축설비산업기사 필기 기출문제(해설) 및 CBT 2017년05월07일(3567) 좋은아빠되기 2025.10.07 0
» 건축설비산업기사 필기 기출문제(해설) 및 CBT 2017년03월05일(3566) 좋은아빠되기 2025.10.07 3
3296 건축설비산업기사 필기 기출문제(해설) 및 CBT 2016년10월01일(3565) 좋은아빠되기 2025.10.07 0
3295 건축설비산업기사 필기 기출문제(해설) 및 CBT 2016년05월08일(3564) 좋은아빠되기 2025.10.07 3
3294 건축설비산업기사 필기 기출문제(해설) 및 CBT 2016년03월06일(3563) 좋은아빠되기 2025.10.07 0
3293 건축설비산업기사 필기 기출문제(해설) 및 CBT 2015년09월19일(3562) 좋은아빠되기 2025.10.07 3
3292 건축설비산업기사 필기 기출문제(해설) 및 CBT 2015년05월31일(3561) 좋은아빠되기 2025.10.07 0
3291 건축설비산업기사 필기 기출문제(해설) 및 CBT 2015년03월08일(3560) 좋은아빠되기 2025.10.07 2
3290 건축설비산업기사 필기 기출문제(해설) 및 CBT 2014년09월20일(3559) 좋은아빠되기 2025.10.07 2
3289 건축설비산업기사 필기 기출문제(해설) 및 CBT 2014년05월25일(3558) 좋은아빠되기 2025.10.07 1
3288 건축설비산업기사 필기 기출문제(해설) 및 CBT 2014년03월02일(3557) 좋은아빠되기 2025.10.07 2
3287 건축설비산업기사 필기 기출문제(해설) 및 CBT 2011년10월02일(3556) 좋은아빠되기 2025.10.07 2
3286 건축설비산업기사 필기 기출문제(해설) 및 CBT 2011년06월12일(3555) 좋은아빠되기 2025.10.07 0
3285 건축설비산업기사 필기 기출문제(해설) 및 CBT 2007년09월02일(3554) 좋은아빠되기 2025.10.07 3
3284 건축설비산업기사 필기 기출문제(해설) 및 CBT 2007년03월04일(3553) 좋은아빠되기 2025.10.07 0
3283 건축설비산업기사 필기 기출문제(해설) 및 CBT 2005년05월29일(3552) 좋은아빠되기 2025.10.07 3
3282 건축설비산업기사 필기 기출문제(해설) 및 CBT 2005년03월20일(3551) 좋은아빠되기 2025.10.07 0
3281 건축설비산업기사 필기 기출문제(해설) 및 CBT 2005년03월06일(3550) 좋은아빠되기 2025.10.07 2
3280 건축설비산업기사 필기 기출문제(해설) 및 CBT 2004년09월05일(3549) 좋은아빠되기 2025.10.07 2
3279 건축설비산업기사 필기 기출문제(해설) 및 CBT 2004년05월23일(3548) 좋은아빠되기 2025.10.07 1
Board Pagination Prev 1 ... 614 615 616 617 618 619 620 621 622 623 ... 783 Next
/ 783