자격증 필기 기출문제



전기공사산업기사 필기 기출문제(해설) 및 CBT 2009년05월10일(7566)

최강 자격증 기출문제 전자문제집 CBT : www.comcbt.com


전자문제집 CBT란?

종이 문제집이 아닌 인터넷으로 문제를 풀고 자동으로 채점하며 모의고사, 오답 노트, 해설까지 제공하는
무료 기출문제 학습 프로그램으로 실제 상설검정에서 사용하는 OMR 형식의 CBT를 제공합니다.


최신 전기공사산업기사 필기 기출문제 : [다운로드]

1과목 : 전기응용


1. 다음 중 프로세스 제어에 속하지 않는 것은?
     1. 위치
     2. 온도
     3. 압력
     4. 유량

     정답 : []
     정답률 : 74%

2. 흡상 변압기의 설치 목적은?
     1. 낙뢰 방지
     2. 전압강하의 방지
     3. 통신 유도장해 경감
     4. 수은등의 점등

     정답 : []
     정답률 : 71%

3. 다음 소자 중 온도를 전압으로 변환시키는 요소는?
     1. 차동변압기
     2. 열전대
     3. CdS
     4. 광전지

     정답 : []
     정답률 : 74%

4. 전자 빙 가열의 특징으로 옳지 않은 것은?
     1. 신속하고 효율이 좋으며 표면 가열이 가능하다.
     2. 진공 중에서의 가열이 가능하다.
     3. 에너지의 밀도나 분포를 자유로이 조절할 수 있다.
     4. 고융점 재료 및 금속박 재료의 용접이 쉽다.

     정답 : []
     정답률 : 54%

5. 1.5[kW]의 전동기를 정격상태에서 30분간 사용했을 때 발생 열랑[kcal]은 약 얼마인가?
     1. 1290
     2. 860
     3. 648
     4. 430

     정답 : []
     정답률 : 64%
     <문제 해설>
발열량=0.24×(1.5×10^3)×(30×60)×10^-3=648[kcal]
공식에 대입할 때, 소비전력의 단위는 [W]이고, 시간은 [초]로 한다.
발열량의 단위를 [kcal]로 환산하기 위해, 10^-3을 곱한다.
[해설작성자 : 직접 민주주의 ]

6. 평균 구면 광도가 150[cd]인 전구로부터 발산되는 총 광속[lm]은 약 얼마인가?
     1. 48
     2. 471
     3. 1480
     4. 1885

     정답 : []
     정답률 : 73%
     <문제 해설>
총광속=입체각×광도=4파이×150=1885[lm]
전구의 입체각은 4파이
[해설작성자 : 직접 민주주의 ]

7. 다음 중 사이리스터를 사용하지 않는 것은?
     1. 온도 제어 회로
     2. 타이머 회로
     3. 링 카운터
     4. A-D 변환기

     정답 : []
     정답률 : 47%
     <문제 해설>
온도 제어 회로에서는 온도의 변화에 따라 저항이 변화하는 '서미스터' 소자를 사용함
[해설작성자 : HDP]

8. 저항 발열체의 구비조건이 아닌 것은?
     1. 저항의 온도계수가 음(-)수로서 클 것
     2. 적당한 저항값을 가질 것
     3. 내식성이 클 것
     4. 내열성이 클 것

     정답 : []
     정답률 : 70%

9. 그림과 같이 반구형(半球形) 천장이 있다. 반지름 r 은 30[cm], 반구 내의 휘도는 4487[cd/m2]로 균일하다. 이 때 a = 2.5[m] 의 거리에 있는 바닥 P 점의 조도는 약 [lx] 인가?

   

     1. 100
     2. 200
     3. 300
     4. 400

     정답 : []
     정답률 : 48%
     <문제 해설>
휘도=광도/면적 이므로,
광도=휘도×면적 = 4487×(파이×0.3^2) = 1268.67[cd]
조도=광도/거리의 제곱 = 1268.67/2.5^2 = 202.99[lx]
[해설작성자 : 직접 민주주의 ]

반구형 광원의 조도 구하는 공식 E=πB×(r^2/a^2+r^2)    
∴E=π×4487×(0.3^2/aa.5^2+0.3^2)=200.1055≒200[lx]
[해설작성자 : fanta]

10. 천장과 벽면 사이에 조명기구를 배치하여 천장과 벽면을 동시에 투사하는 실내조명 방식은?
     1. 코너조명
     2. 코오니스조명
     3. 밸런스조명
     4. 광창조면

     정답 : []
     정답률 : 63%

11. 유도가열은 어떤 원리를 이용한 것인가?
     1. 줄열
     2. 철손
     3. 유전체손
     4. 아크손

     정답 : []
     정답률 : 53%

12. 대표적인 물리전지로서 반도체 p-n 접합을 이용하여 광전효과에 의해 태양광 에너지를 직접 전기에너지로 전환하는 전지는?
     1. 열전지
     2. 태양전지
     3. 리튬전지
     4. 반도체 접합형 원자력전지

     정답 : []
     정답률 : 76%

13. 용접방법 중 플라즈마 제트에 대한 설명으로 옳지 않은 것은?
     1. 에너지 밀도가 커서 안정도가 높고 보유 열량이 크다.
     2. 용접속도가 빠르다.
     3. 피포가스를 이중으로 사용할 필요가 있고 토치 구조가 복잡하다.
     4. 균일 용접이 불가하다.

     정답 : []
     정답률 : 60%

14. 바깥쪽 레일은 원심력의 작용으로 지나친 하중이 걸려 탈선하기 쉬우므로 안쪽 레일보다 얼마간 높게 한다. 이 바깥쪽 레일과 안쪽 레일의 높이 차를 무엇이라 하는가?
     1. 편위
     2. 확도
     3. 캔트
     4. 궤간

     정답 : []
     정답률 : 78%

15. 전기회로의 전류는 열회로의 무엇과 대응 되는가?
     1. 열류
     2. 열량
     3. 열용량
     4. 열저항

     정답 : []
     정답률 : 86%

16. 불활성 가스의 아크용접에 사용하는 가스는?
     1. 산소
     2. 헬륨
     3. 질소
     4. 오존

     정답 : []
     정답률 : 70%
     <문제 해설>
불활성 가스의 아크용접에서는,
용접 부위의 산화 방지를 위해,
아르곤, 헬륨 가스를 사용한다.
[해설작성자 : 직접 민주주의 ]

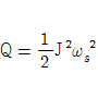
17. 관성모멘트가 150[kg·m2]의 회전체의 GD2[kg·m2]은?
     1. 450
     2. 600
     3. 900
     4. 1000

     정답 : []
     정답률 : 72%
     <문제 해설>
J=GD^2/4, 4J=GD^2 4X150=600
[해설작성자 : 기관사]

18. 축전지에서 10시간 방전율이라 하면 일정한 전류로 몇 시간 후 방전 종지 전압에 도달 하는가?
     1. 5
     2. 10
     3. 15
     4. 20

     정답 : []
     정답률 : 79%

19. 2000[lm]을 복사하는 전등 20개를 150[m2]의 식당에 설치 하였다. 그 조명률은 0.5, 감광 보상률을 1.5라면 식당의 평균 조도는 약 몇 [lx] 인가?
     1. 77.7
     2. 88.8
     3. 99.9
     4. 111.1

     정답 : []
     정답률 : 69%
     <문제 해설>
FUN=EAD
E=FUN/AD
2000*0.5*20/150*1.5

F 광속, U 조명률, N 조명수량, E 조도, A 면적, D 감광보상률 =(유지율 1/M)
[해설작성자 : 양갱]

20. 단상 정류로 직류전압 200[V]를 얻으려면 반파 정류의 경우에 변압기의 2차 권선 상전압 Vs 를 약 몇 [V] 하여야 하는가?
     1. 127
     2. 200
     3. 322
     4. 444

     정답 : []
     정답률 : 69%
     <문제 해설>
root(2)
Ed = -------- * E = 0.45E
                pi
위 식을 E에 대하여 정리하면,
E = Ed / 0.45 = 200 / 0.45 = 약 444[V]
[해설작성자 : J]

2과목 : 전력공학


21. 변압기의 기계적 보호계전기인 부흐훌쯔계전기(Buchholtz relay)의 설치위치로 알맞은 것은?
     1. 유면 위의 탱크내
     2. 컨서베이터 내부
     3. 변압기의 고압측 부싱
     4. 주탱크와 컨서베이터를 연결하는 파이프의 관중

     정답 : []
     정답률 : 41%

22. 송전선로의 아정도 향상 대책이 아닌 것은?
     1. 병행 다회선이나 복도체방식 채용
     2. 속응여자방식 채용
     3. 계통의 직렬리액턴스 증가
     4. 고속도 차단기 이용

     정답 : []
     정답률 : 48%

23. 정격용량 20000kVA, 임피던스 8%인 3상 변압기가 2차측에서 3상 단락되었을 때 단락용량은 몇 [MVA] 인가?
     1. 160MVA
     2. 200MVA
     3. 250MVA
     4. 320MVA

     정답 : []
     정답률 : 29%
     <문제 해설>
단락용량)P[MVA] = ( 100 / %Z ) * P ▶ ( 100 / 8 ) * 20000 * 10^3 * 10^-6 = 250[MVA]
[해설작성자 : 따고싶다 or 어디든 빌런]

24. 일반적인 경우 그 값이 1 이상인 것은?
     1. 수용률
     2. 전압강하율
     3. 부하율
     4. 부등률

     정답 : []
     정답률 : 49%

25. 원자력발전소와 화력발전소의 특성을 비교한 것 중 옳지 않은 것은?
     1. 원자력발전소는 화력발전소의 보일러 대신 원자로와 열교환기를 사용한다.
     2. 원자력발전소의 건설비는 화력발전소에 비하여 낮다.
     3. 동일 출력일 경우 원자력발전소의 터빈이나 복수기가 화력발전소에 비하여 대형이다.
     4. 원자력발전소는 방사능에 대한 차폐 시설물이 투자가 필요하다.

     정답 : []
     정답률 : 53%
     <문제 해설>
원자력 발전소 초기 건설비용은 타 다른 발전소에 비쌉니다.
[해설작성자 : NAWAH]

26. 화력발전소에서 재열기의 목적은?
     1. 공기의 예열
     2. 급수의 재열
     3. 증기의 재열
     4. 배출가스의 재열

     정답 : []
     정답률 : 40%

27. 불평형 부하에서 역률은 어떻게 표현되는가?
     1. 유효전력/각 상의 피상전력의 산술 합
     2. 유효전력/각 상의 피상전력의 벡터 합
     3. 무효전력/각 상의 피상전력의 산술 합
     4. 무효전력/각 상의 피상전력의 벡터 합

     정답 : []
     정답률 : 43%

28. 다음 중 지락전류의 크기가 최소인 중성점 접지방식은?
     1. 비접지
     2. 소호 리액터접지
     3. 직접접지
     4. 고저항접지

     정답 : []
     정답률 : 46%

29. 변류기 개방시 2차측을 단락하는 이유는?
     1. 2차측 절연 보호
     2. 2차측 과전류 보호
     3. 측정오차 방지
     4. 1차측 과전류 방지

     정답 : []
     정답률 : 41%

30. 코로나의 방지대책으로 적당하지 않은 것은?
     1. 복도체를 사용한다.
     2. 가선금구를 개량한다.
     3. 전선의 바깥지름을 크게 한다.
     4. 선간거리를 감소시킨다.

     정답 : []
     정답률 : 41%

31. 정사각형으로 배치된 4도체 송전선이 있다. 소도체의 반지름이 1cm이고, 한 변의 길이가 32cm일 때, 소도체간의 기하학적 평균거리는 몇 [cm] 인가?
     1.
     2.
     3.
     4.

     정답 : []
     정답률 : 29%

32. 6600V로 수전하는 자가용 전기 설비가 있다. 수전점에서 계산한 3상 단락 용량은 90MVA 인데 이곳에 시설한 차단기의 최소정격차단전류[kA]로 가장 적당한 것은?
     1. 2kA
     2. 8kA
     3. 12kA
     4. 14kA

     정답 : []
     정답률 : 34%
     <문제 해설>
I[kA] = P / 루트(3) * V ▶ ( 90 * 10^6 / 루트(3) * 6600 ) * 10^-3 = 7.87295[kA]
[해설작성자 : 따고싶다 or 어디든 빌런]

33. 역률(늦음) 80[%], 10[kvA]의 부하를 가지는 주상변압기의 2차측에 2[kvA]의 전력용 콘덴서를 접속하면 주상변압기에 걸리는 부하는 약 몇 [kvA]가 되겠는가?
     1. 8kvA
     2. 8.5kvA
     3. 9kvA
     4. 9.5kvA

     정답 : []
     정답률 : 27%
     <문제 해설>
접속 후 피상전력 구하라는 거임
Pa = 루트 P^2 + Pr^2 식 써서
루트 (10*0.8)^2 + ((10*0.6)-2)^2 = 4루트5 = 약8.94
[해설작성자 : 마린]

34. 일반적으로 전선 1가닥의 단위 길이당의 작용 정전 용량 Cn[㎌/㎞]이 로 표시되는 경우 여기서 D는 무엇을 나타내는가?
     1. 전선 반지름[m]
     2. 선간 거리[m]
     3. 전선 지름[m]
     4. 선간 거리 × 1/2[m]

     정답 : []
     정답률 : 41%

35. 수전 설비의 운영에 있어서 인터록(inter lock)의 설명으로 옳은 것은?
     1. 차단기가 열려 있어야만 단로기를 닫을 수 있다.
     2. 차단기가 닫혀 있어야만 단로기를 닫을 수 있다.
     3. 차단기가 열려 있으면 단로기가 닫히고, 단로기가 열려 있으면 차단기가 닫힌다.
     4. 차단기의 접점과 단로기의 접점이 기계적으로 연결되어 있다.

     정답 : []
     정답률 : 47%

36. 중성점이 직접접지된 6600[V], 3상 발전기의 1단자가 접지되었을 경우 예상되는 지락전류의 크기는 약 몇 [A] 인가? (단, 발전기의 임피던스는 Z0 = 0.2 + j0.6[Ω], Z1 = 0.1 + j4.5[Ω], Z2 = 0.5 + j1.4[Ω] 이다.)
     1. 1578A
     2. 1678A
     3. 1745A
     4. 3023A

     정답 : []
     정답률 : 32%

37. 발전기의 단락비가 적어질 경우에 일어나는 현상 중 옳은 것은?
     1. 발전기가 대형으로 된다.
     2. 관성정수가 커진다.
     3. 전압변동률이 커진다.
     4. 안정도가 향상된다.

     정답 : []
     정답률 : 43%

38. 중성점접지방식 중 비접지방식을 직접접지방식과 비교한 것으로 옳지 않은 것은?
     1. 지락전류가 적다.
     2. 보호계전기 동작이 확실하다.
     3. 1선지락시 통신선 유도장해가 적다.
     4. 과도안정도가 크다.

     정답 : []
     정답률 : 33%

39. 임피던스 Z1, Z2 및 Z3을 그림과 같이 접속한 선로의 A쪽에서 전압파 E가 진행해 왔을 때 접속점 B에서 무반사로 되기 위한 조건은?

    

     1. Z1=Z2+Z3
     2.
     3.
     4.

     정답 : []
     정답률 : 51%

40. 전력계통의 안정도 향상대책으로 옳지 않은 것은?
     1. 계동의 직렬 리액턴스를 낮게 한다.
     2. 고속도 재폐로방식을 채용한다.
     3. 지락전류를 크게 하기 위하여 직접접지방식을 채용한다.
     4. 고속도 차단방식을 채용한다.

     정답 : []
     정답률 : 37%

3과목 : 전기기기


41. 불평형 전압 상태에서 3상 유도전동기를 운전하면 토크와 입력은 어떻게 되는가?
     1. 토크가 감소하고 입력도 감소한다.
     2. 토크는 감소하고 입력은 증가한다.
     3. 토크는 증가하고 입력은 감소한다.
     4. 토크는 증가하고 입력은 증가한다.

     정답 : []
     정답률 : 35%

42. 3상 유도전동기의 전원주파수를 변화하여 속도를 제어하는 경우 전등기의 출력 P와 주파수 f 와의 관계는?
     1. P∝f
     2. P∝1/f
     3. P∝f2
     4. P는 f에 무관

     정답 : []
     정답률 : 41%

43. 다음 중 부하의 변화에 대하여 속도 변동이 가장 큰 직류 전동기는?
     1. 분권전동기
     2. 차동 복권 전동기
     3. 가동 복권 전동기
     4. 직권전동기

     정답 : []
     정답률 : 58%

44. 10[kVA], 2000/100[V] 변압기에서 1차로 환산한 등가 임피던스는 6.2+j7[Ω]이다. 변압기의 % 리액턴스 강하는 얼마인가?
     1. 0.75[%]
     2. 1.75[%]
     3. 3.0[%]
     4. 6.0[%]

     정답 : []
     정답률 : 38%
     <문제 해설>
I = P / V ▶ 10 * 10^3 / 2000 = 5
%X = ( I * X / V ) * 100 ▶ ( 5 * 7 / 2000 ) * 100 = 1.75[%]    
[해설작성자 : 따고싶다 or 어디든 빌런]

45. 병렬운전을 하고 있는 3상 동기 발전기에 동기화 전류가 흐르는 경우는 어느 때인가?
     1. 부하가 증가할 때
     2. 여자전류를 변화시킬 때
     3. 부하가 감소할 때
     4. 원동기의 출력이 변화할 때

     정답 : []
     정답률 : 24%

46. 단상 직권정류자전동기의 기본형이 아닌 것은?
     1. 직권형
     2. 보상직권형
     3. 유도보상직권형
     4. 톰슨형

     정답 : []
     정답률 : 41%

47. 회전 변류기의 직류측의 전압을 변경하려면 슬립링에 가해지는 교류측 전압을 변화시킨다. 그 방법이 아닌 것은?
     1. 직렬리액턴스에 의한 방법
     2. 유도전압조정기에 의한 방법
     3. 분류저항 삽입에 의한 방법
     4. 부하시 전압조정 변압기에 의한 방법

     정답 : []
     정답률 : 28%

48. 동기 전동기에서 난조를 일으키는 원인이 아닌 것은?
     1. 회전자의 관성이 작다.
     2. 원동기의 토크에 고조파 토크를 포함하는 경우이다.
     3. 전기자 회로의 저항이 크다.
     4. 원동기의 조속기의 강도가 너무 예민하다.

     정답 : []
     정답률 : 26%
     <문제 해설>
난조의 원인
1. 회전자의 관성이 크다
2. 토크에 고조파 포함
3. 전기자 회로의 저항 큼
4. 조속기가 예민함
[해설작성자 : comcbt.com 이용자]

49. 1000[kW], 500[V]의 분권 발전기가 있다. 회전수 240[rpm]이며 슬롯수 192, 슬롯내부 도체수 6, 자극수가 12일 때 전부하시의 자속수[Wb]는 약 얼마인가? (단, 전기자 저항은 0.006[Ω]이고, 단중 중권이다.)
     1. 0.001
     2. 0.11
     3. 0.185
     4. 1.85

     정답 : []
     정답률 : 23%
     <문제 해설>
기전력=전압+부하전류*전기자저항=512v
발전기 기전력 구하는 공식 E=pz파이n/60a에서 파이=e*60a/pzn이된다 따라서 0.11
[해설작성자 : comcbt.com 이용자]

I = P / V ▶ 1000 * 10^3 / 500 = 2000
E = V + IRa ▶ 500 + ( 2000 * 0.006 ) = 512[V]
E = P * Z * Φ * N / 60 * a ▶ Φ = 60 * a    * E / P * Z * N ▶ 60 * 12 * 512 / 192 * 6 * 12 * 240 = 0.1111[Wb]        
[해설작성자 : 따고싶다 or 어디든 빌런]

50. 3상 반파정류회로에서 직류전압의 파형은 전원 전압의 주파수의 몇 배의 교류분을 포함하는가?
     1. 1
     2. 2
     3. 3
     4. 6

     정답 : []
     정답률 : 38%

51. 변압기유(油)의 요구 특성이 아닌 것은?
     1. 인화점이 높을 것
     2. 응고점이 낮을 것
     3. 점도가 클 것
     4. 절연내력이 클 것

     정답 : []
     정답률 : 46%

52. 2대의 단권 변압기를 사용해서 V결선 하면 2대의 자기 용량은?
     1.
     2.
     3.
     4.

     정답 : []
     정답률 : 41%

53. 직류기의 손실 중 가계손에 속하는 것은?
     1. 브러시의 전기손
     2. 와전류손
     3. 풍손
     4. 전기자권선동손

     정답 : []
     정답률 : 50%

54. 운전 코일과 기동 코일로 구성된 단상 유도 전동기의 내부에 설치되어 있으며 일정한 속도에 도달하면 기동권선을 전원으로부터 분리하는 기능을 가지고 있는 스위치는?
     1. 리미트 스위치
     2. 원심력 스위치
     3. 캄 스위치
     4. 셀렉트 스위치

     정답 : []
     정답률 : 28%

55. 4극, 60[Hz]의 3상 동기 발전기가 있다. 회전자의 주변 속도를 240[m/s]로 하려면 회전자의 지름을 약 몇 [m] 로 하여야 하는가?
     1. 0.03
     2. 1.91
     3. 2.5
     4. 3.2

     정답 : []
     정답률 : 44%
     <문제 해설>
회전수 = (120*60)/4 = 1800[rpm] = 30[rps]
주변속도 = 파이*지름*rps
240 = 3.14 * X * 30
X = 240 / (3.14 * 30) = 2.54[m]
[해설작성자 : 마린]

56. 단상 유도 전압 조정기에 대한 설명 중 옳지 않은 것은?
     1. 전압, 위상의 변화가 없다.
     2. 회전 자계에 의한 유도 작용을 한다.
     3. 교번 자계의 전자 유도 작용을 이용한다.
     4. 무단으로 스무드(smooth)하게 전압이 조정된다.

     정답 : []
     정답률 : 21%

57. 동기 발전기의 단자 부근에서 단락이 일어났다고 할 때 단락전류에 대한 설명으로 옳은 것은?
     1. 서서히 증가한다.
     2. 발전기는 즉시 정지한다.
     3. 일정한 큰 전류가 흐른다.
     4. 처음은 큰 전류가 흐르나 점차로 감소한다.

     정답 : []
     정답률 : 53%

58. 단상유도전압조정기 2차전압이 100±30[V]이고, 직렬권선의 전류(2차전류)가 5[A]인 경우의 정격출력은 몇 [kVA]인가?
     1. 0.1[kVA]
     2. 0.15[kVA]
     3. 0.26[kVA]
     4. 0.45[kVA]

     정답 : []
     정답률 : 35%

59. 직류전동기의 공급전압을 V[V], 자속을 ø[Wb], 전기자 전류를 la[A], 전기자저항을 Ra[Ω], 속도를 N[rpm]이라 할 때 속도의 관계식은 어떻게 되는가? (단, K 는 상수이다)
     1.
     2.
     3.
     4.

     정답 : []
     정답률 : 39%

60. 권선형 유도전동기에서 2차 저항을 변화시켜서 속도제어를 할 경우 최대 토크는?
     1. 항상 일정하다.
     2. 2차 저항에만 비례한다.
     3. 최대 토크가 생기는 점의 슬립에 비례한다.
     4. 최대 토크가 생기는 점의 슬립에 반비례한다.

     정답 : []
     정답률 : 49%

4과목 : 회로이론


61. 다음과 같은 회로의 구동점 임피던스는? (단, ω는 회로의 각 주파수이다.)

    

     1. 2 + jω
     2.
     3.
     4.

     정답 : []
     정답률 : 28%

62. 저항 R1[Ω], R2[Ω] 및 인덕턴스 L[H]이 직렬로 연결되어 있는 회로의 시정수[s]는?
     1.
     2.
     3.
     4.

     정답 : []
     정답률 : 30%

63. cos ωt 의 라플라스 변환은?
     1.
     2.
     3.
     4.

     정답 : []
     정답률 : 27%

64. 8[Ω]인 저항과 6[Ω]의 용량 리액턴스 직렬회로에 E=28-j4[V] 인 전압을 가했을 때 흐르는 전류는 몇 [A] 인가?
     1. 3.5 - j0.5[A]
     2. 2.48 + j1.36[A]
     3. 2.8 - j0.4[A]
     4. 5.3 + j2.21[A]

     정답 : []
     정답률 : 26%

65. 기본파의 30[%]인 제3고조파와 기본파의 20[%]인 제5고조파를 포함하는 전압파의 왜형률은 약 얼마인가?
     1. 0.21
     2. 0.33
     3. 0.36
     4. 0.42

     정답 : []
     정답률 : 33%

66. 다음과 같은 전기회로의 입력을 ei, 출력을 eo라고 할 때 전달함수는? (단, T=L/R이다.)

    

     1. TS+1
     2. TS2+1
     3. 1/TS+1
     4. TS/TS+1

     정답 : []
     정답률 : 31%

67. 두 개의 코일 a, b가 있다. 두 개를 직렬로 접속 하였더니 합성 인덕턴스가 119[mH] 이었고, 극성을 반대로 접속하였더니 합성 인덕턴스가 11[mH] 이었다. 코일 a 의 자기 인덕턴스가 20[mH] 하면 결합계수 K는 얼마인가?
     1. 0.6
     2. 0.7
     3. 0.8
     4. 0.9

     정답 : []
     정답률 : 27%
     <문제 해설>
K = M / 루트(L1 * L2)
가동결합L = L1 + L2 + 2M = 119 ---- ①
차동결합L = L1 + L2 - 2M = 11 ---- ②
①에서②빼면 4M = 108    ▶ M = 27[mH]
L1 + L2 + 2M = 119 ▶ 20 + L2 + ( 2 * 27 ) = 119 ▶ L2 = 119 - 20 - 54 = 45[mH]    
K = M / 루트( L1 * L2 ) ▶ 27 / 루트( 20 * 45 ) = 0.9
[해설작성자 : 따고싶다 or 어디든 빌런]

68. 대칭 3상 Y 결선에서 선간전압이 100√3[V]이고 각 상의 임피던스 Z = 30 + j40[Ω]의 평형부하일 때 선전류는 몇 [A] 인가?
     1. 2[A]
     2. 2√3[A]
     3. 5[A]
     4. 5√3[A]

     정답 : []
     정답률 : 29%

69. 대칭 6상 기전력의 선간 전압과 상기전력의 위상차는?
     1. 120°
     2. 60°
     3. 30°
     4. 15°

     정답 : []
     정답률 : 37%

70. 어느회로에서 전압과 전류의 실효값이 각각 60[V],10[A]이고, 역률이 0.8일때 무효전력은 몇[Var]인가?
     1. 360[var]
     2. 300[var]
     3. 200[var]
     4. 100[var]

     정답 : []
     정답률 : 52%
     <문제 해설>
무효전력)Pr = V * I * sinθ ▶ 60 * 10 * 루트(1 - 0.8^2) = 360[Var]
[해설작성자 : 따고싶다 or 어디든 빌런]

71. 다음과 같은 회로에서 출력전압 V2의 위상은 입력전압 V보다 어떠한가?

    

     1. 같다.
     2. 앞선다.
     3. 뒤진다.
     4. 전압과 관계없다.

     정답 : []
     정답률 : 32%

72. 다음과 같은 회로에서 a, b 양단의 전압은 몇 [V] 인가?

    

     1. 1[V]
     2. 2[V]
     3. 2.5[V]
     4. 3.5[V]

     정답 : []
     정답률 : 42%
     <문제 해설>
V1 = ( R1 / R1 + R2 ) * V ▶ ( 1 / 1 + 2 ) * 6 = 2[V]
V2 = ( R1 / R1 + R2 ) * V ▶ ( 4 / 4 + 2 ) * 6 = 4[V]
V = V2 - V1 ▶ 4 - 2 = 2[V]
[해설작성자 : 따고싶다 or 어디든 빌런]

73. 다음과 같은 회로에서 t = 0 인 순간에 스위치 S를 닫았다. 이 순간에 인덕턴스 L에 걸리는 전압은? (단, L의 초기 전류는 0 이다.)

    

     1. 0
     2. E
     3. LE/R
     4. E/R

     정답 : []
     정답률 : 38%

74. 어떤 회로에서 i=10sin(314t-π/6)[A]의 전류가 흐른다. 이를 복소수로 표시하면?
     1. 6.12 - j3.54[A]
     2. 17.32 - j5[A]
     3. 3.54 - j6.12[A]
     4. 5 - j17.32[A]

     정답 : []
     정답률 : 30%

75. 어떤 교류의 평균값이 566[V]일 때 실효값은 몇 [V] 인가?
     1.
     2.
     3.
     4.

     정답 : []
     정답률 : 32%

76. 정전용량 C만의 회로에서 100[V], 60[Hz]의 교류를 가했을 때 60[mA]의 전류가 흐른다면 C 는 몇 [㎌] 인가?
     1. 5.26[㎌]
     2. 4.32[㎌]
     3. 3.59[㎌]
     4. 1.59[㎌]

     정답 : []
     정답률 : 42%
     <문제 해설>
C = V / I ▶ 100 / 60 * 10^-3 = 1666.6777
C = 1 / ωC ▶ 1 / 2π * f * C ▶ 1 / 2π * 60 * 1666.6777 = 1.591549[㎌]    
[해설작성자 : 따고싶다 or 어디든 빌런]

77. 테브난의 정리를 사용하여 다음의 (a)회로를 (b)와 같은 등가 회로로 바꾸려 한다. V[V]와 R[Ω]의 값은?

    

     1. 7[V], 9.1[Ω]
     2. 10[V], 9.1[Ω]
     3. 7[V], 6.5[Ω]
     4. 10[V], 6.5[Ω]

     정답 : []
     정답률 : 44%
     <문제 해설>
V[V] = ( R1 / R1 + R2 ) * V ▶ ( 7 / 7 + 3 ) * 10 = 7[V]
R[Ω] = R3 + (R1 * R2 / R1 + R2 ) = 7 + ( 7 * 3 / 7 + 3 ) = 9.1[Ω]
[해설작성자 : 따고싶다 or 어디든 빌런]

78. 위상정수 β = 10[rad/km], 위상속도 v = 20[m/s]일 때 각주파수 ω는 몇 [rad/s] 인가?
     1. 0.1[rad/s]
     2. 0.2[rad/s]
     3. 14.1[rad/s]
     4. 200[rad/s]

     정답 : []
     정답률 : 27%

79. R[Ω]의 3개의 저항을 전압 E[V]의 3상 교류 선간에 그림과 같이 접속할 때 선전류[A]는 얼마인가?

    

     1.
     2.
     3. E/3R
     4. 3E/R

     정답 : []
     정답률 : 39%

80. A, B, C, D 4단자 정수의 관계를 올바르게 나타낸 것은?
     1. AD + BD = 1
     2. AB - CD = 1
     3. AB + CD = 1
     4. AD - BC = 1

     정답 : []
     정답률 : 43%

81. 전압의 종별을 구분할 때 직류에서의 고압의 범위는?(2021년 개정된 KEC 규정 적용됨)
     1. 600V를 넘고 6600V 이하인 것
     2. 1500V를 넘고 7000V 이하인 것
     3. 600V를 넘고 7000V 이하인 것
     4. 1000V를 넘고 7000V 이하인 것

     정답 : []
     정답률 : 34%
     <문제 해설>
2021년 개정된 KEC 규정
                    AC(교류)                                 DC(직류)
저         1kv이하                                1.5kv이하
고         1kv초과~7kv이하         1.5kv초과~7kv이하
특                                     7kv초과    

82. 특별고압 가공전선로의 시설에 대한 내용 중 옳지 않은 것은?
     1. 특고압가공전선을 지지하는 애자장치는 2련 이상의 현수애자 또는 장간애자를 사용한다.
     2. A종 철주를 지지물로 사용하는 경우의 경간은 75m이하 이다.
     3. 사용전압이 100000V를 초과하는 특고압가공전선은 지락 또는 단락이 생겼을 때에는 1초 이내에 자동적으로 이를 전로로부터 차단하는 장치를 시설한다.
     4. 전선으로 케이블을 사용하는 경우 조가용선에 행거를 사용하여 시설하며, 행거의 간격은 1m 이하로 시설한다.

     정답 : []
     정답률 : 44%

83. 정류기의 전로로 대지전압이 220V라고 한다. 이 전로의 전열저항값에 대하여 바르게 설명한 것은?
     1. 0.1MΩ 이상으로 유지하여야 한다.
     2. 0.1MΩ 이하로 유지하여야 한다.
     3. 0.2MΩ 이상으로 유지하여야 한다.
     4. 0.2MΩ 이하로 유지하여야 한다.

     정답 : []
     정답률 : 29%

84. 철도·궤도 또는 자동차도 전용터널안의 전선로를 시설할 때 저압 전선은 인장강도가 몇 [kN] 이상의 절연전선을 사용하여야 하는가?
     1. 1.38kN
     2. 2.30kN
     3. 2.46kN
     4. 5.26kN

     정답 : []
     정답률 : 21%

85. 사용전압이 400V 미만의 저압 가공전선은 케이블이나 절연전선인 경우를 제외하고 인장강도가 3.43kN 이상인 것 또는 지름이 몇 [mm] 이상의 경동선이어야 하는가?
     1. 1.2mm
     2. 2.6mm
     3. 3.2mm
     4. 4.0mm

     정답 : []
     정답률 : 15%

86. 교류 전차선과 식물사이의 이격 거리는 몇 [m] 이상이어야 하는가?
     1. 1.0m
     2. 1.5m
     3. 2.0m
     4. 2.5m

     정답 : []
     정답률 : 44%

87. 345kV의 가공송전선로를 평지에 건설하는 경우 전선의 지표상 높이는 최소 몇 [m] 이상이어야 하는가?
     1. 7.58m
     2. 7.95m
     3. 8.28m
     4. 8.85m

     정답 : []
     정답률 : 46%

88. 저압 옥내배선에 미네럴인슈레이션케이블을 사용하는 경우 단면적은 몇 [mm2] 이상 이어야 하는가?
     1. 0.75mm2
     2. 1.0mm2
     3. 1.2mm2
     4. 1.25mm2

     정답 : []
     정답률 : 23%

89. 지중전선로를 직접 매설식에 의하여 차량 기타 중량물의 압력을 받을 우려가 있는 장소에 시설할 경우에는 그 매설 깊이를 최소 몇 [m] 이상으로 하여야 하는가?(2021년 변경된 KEC 규정 적용됨)
     1. 0.6m
     2. 1.0m
     3. 1.2m
     4. 1.5m

     정답 : []
     정답률 : 41%
     <문제 해설>
[21년 KEC 개정]
직접매설식 : 1.2[m] → 1[m] (중량에 의한 압력우려 없을 시 0.6[m])
※ 직접매설식/관로식/암거식 모두 동일

[2021년 변경된 KEC 규정]
전기설비기술기준의 판단기준
부 칙(제2020-659호, 2020. 12. 3)
제1조(시행일) 이 공고는 공고한 날로부터 시행한다. 다만, 제54조제1항제7호[공고 제2019-195호(2019. 3. 25.) 포함]의 규정은 2021년 9월 1일부터 시행한다.

제5절 지중 전선로
제136조(지중 전선로의 시설)
④ 지중 전선로를 직접 매설식에 의하여 시설하는 경우에는 매설 깊이를 차량 기타 중량물의 압력을 받을 우려가 있는 장소에는 1.0m 이상, 기타 장소에는 0.6m 이상으로 하고 또한 지중 전선을 견고한 트라프 기타 방호물에 넣어 시설하여야 한다. 다만, 다음 각 호의 어느 하나에 해당하는 경우에는 지중전선을 견고한 트라프 기타 방호물에 넣지 아니하여도 된다.

90. 고압용의 개폐기·차단기·피뢰기 기타 이와 유사한 기구로 동작시에 아크가 생기는 것은 목재의 벽 또는 천장 기타의 가연성 물질로부터 몇 [m] 이상 떼어놓아야 하는가?
     1. 0.5m
     2. 1.0m
     3. 2.0m
     4. 3.0m

     정답 : []
     정답률 : 42%

91. 다음 중 전력보안 통신용 전화설비를 하여야 하는 곳의 기준으로 옳은 것은?
     1. 2이상의 급전소 상호간과 이들을 총합 운용하는 급전소간
     2. 3이상의 급전소 상호간과 이들을 총합 운용하는 급전소간
     3. 원격감시제어가 되는 발전소
     4. 원격감시제어가 되는 변전소

     정답 : []
     정답률 : 33%

92. 사용전압이 저압인 전로에서 정전이 어려운 경우 등 절연저항 측정이 곤란한 경우에는 누설전류를 몇 [mA] 이하로 유지하여야 하는가?
     1. 0.1mA
     2. 1.0mA
     3. 10mA
     4. 100mA

     정답 : []
     정답률 : 25%

93. 사용전압이 몇 [V] 이상의 변압기를 설치하는 곳에는 절연유의 구외 유출 및 지하침두를 방지하기 위하여 절연유 유출 방지설비를 하여야 하는가?
     1. 1000V
     2. 20000V
     3. 100000V
     4. 300000V

     정답 : []
     정답률 : 38%

94. 다음 중 전선로의 종류에 속하지 않는 것은?
     1. 산간 전선로
     2. 수상 전선로
     3. 물밑 전선로
     4. 터널 안 전선로

     정답 : []
     정답률 : 22%

95. 일반주택 및 아파트 각 호실의 현관등과 같은 조명용 백열전등을 설치할 때에는 타임스위치를 시설하여야 한다. 몇 분 이내에 소등되는 것이어야 하는가?
     1. 1분
     2. 3분
     3. 5분
     4. 7분

     정답 : []
     정답률 : 49%

96. 35000V의 특별고압 가공 전선과 가공약전류 전선을 동일 지지물에 시설하는 경우, 특별고압 가공 전선로는 몇 종 특별고압 보안공사에 의하여야 하는가?
     1. 제1종
     2. 제2종
     3. 제3종
     4. 제4종

     정답 : []
     정답률 : 22%

97. 전압조정기의 내장권선을 이상전압으로부터 보호하기 위하여 특히 필요한 경우에는 그 권선에 몇 종 접지공사를 하여야 하는가?
     1. 제1종
     2. 제2종
     3. 제3종
     4. 특별 제3종

     정답 : []
     정답률 : 28%

98. 옥내에 시설하는 저압 전선에 나전선을 사용할 수 있는 경우는 다음 중 어느 것인가?
     1. 금속 덕트 공사에 의하여 시설하는 경우
     2. 버스 덕트 공사에 의하여 시설하는 경우
     3. 합성 수지관 공사에 의하여 시설하는 경우
     4. 플로어 덕트 공사에 의하여 시설하는 경우

     정답 : []
     정답률 : 42%

99. 옥내에 시설하는 고압의 이동전선의 종류로 알맞은 것은?
     1. 600V 비닐절연전선
     2. 비닐 캡타이어 케이블
     3. 600V 고무절연전선
     4. 고압용의 3종 클로로프렌 캡타이어 케이블

     정답 : []
     정답률 : 40%

100. 제2종 접지공사에 사용하는 접지선을 사람이 접촉할 우려가 있는 곳에 시설하는 경우, 접지선의 어느 부분을 합성수지관 또는 이와 동등 이상의 절연효력 및 강도를 가지는 몰드는 덮어야 하는가?
     1. 지하 30cm 로부터 지표상 2m 까지
     2. 지하 50cm 로부터 지표상 1.2m 까지
     3. 지하 60cm 로부터 지표상 1.8m 까지
     4. 지하 75cm 로부터 지표상 2m 까지

     정답 : []
     정답률 : 48%


정 답 지

1

2

3

4

5

6

7

8

9

10

11

12

13

14

15

16

17

18

19

20

21

22

23

24

25

26

27

28

29

30

31

32

33

34

35

36

37

38

39

40

41

42

43

44

45

46

47

48

49

50

51

52

53

54

55

56

57

58

59

60

61

62

63

64

65

66

67

68

69

70

71

72

73

74

75

76

77

78

79

80

81

82

83

84

85

86

87

88

89

90

91

92

93

94

95

96

97

98

99

100

전기공사산업기사 필기 기출문제(해설) 및 CBT 2009년05월10일을 이용해 주셔서 감사합니다.
, 필기, 기출문제, 전자문제집, CBT, 온라인, 모의테스트, 모의고사



List of Articles
번호 제목 글쓴이 날짜 조회 수
7246 전기공사산업기사 필기 기출문제(해설) 및 CBT 2016년05월08일(7584) new 좋은아빠되기 2025.10.07 0
7245 전기공사산업기사 필기 기출문제(해설) 및 CBT 2016년03월06일(7583) new 좋은아빠되기 2025.10.07 0
7244 전기공사산업기사 필기 기출문제(해설) 및 CBT 2015년09월19일(7582) new 좋은아빠되기 2025.10.07 0
7243 전기공사산업기사 필기 기출문제(해설) 및 CBT 2015년05월31일(7581) new 좋은아빠되기 2025.10.07 0
7242 전기공사산업기사 필기 기출문제(해설) 및 CBT 2015년03월08일(7580) new 좋은아빠되기 2025.10.07 0
7241 전기공사산업기사 필기 기출문제(해설) 및 CBT 2014년09월20일(7579) new 좋은아빠되기 2025.10.07 0
7240 전기공사산업기사 필기 기출문제(해설) 및 CBT 2014년03월02일(7578) new 좋은아빠되기 2025.10.07 0
7239 전기공사산업기사 필기 기출문제(해설) 및 CBT 2013년06월02일(7577) new 좋은아빠되기 2025.10.07 0
7238 전기공사산업기사 필기 기출문제(해설) 및 CBT 2013년03월10일(7576) new 좋은아빠되기 2025.10.07 0
7237 전기공사산업기사 필기 기출문제(해설) 및 CBT 2012년09월15일(7575) new 좋은아빠되기 2025.10.07 0
7236 전기공사산업기사 필기 기출문제(해설) 및 CBT 2012년03월04일(7574) new 좋은아빠되기 2025.10.07 0
7235 전기공사산업기사 필기 기출문제(해설) 및 CBT 2011년10월02일(7573) new 좋은아빠되기 2025.10.07 0
7234 전기공사산업기사 필기 기출문제(해설) 및 CBT 2011년06월12일(7572) new 좋은아빠되기 2025.10.07 0
7233 전기공사산업기사 필기 기출문제(해설) 및 CBT 2011년03월20일(7571) new 좋은아빠되기 2025.10.07 0
7232 전기공사산업기사 필기 기출문제(해설) 및 CBT 2010년09월05일(7570) new 좋은아빠되기 2025.10.07 0
7231 전기공사산업기사 필기 기출문제(해설) 및 CBT 2010년05월09일(7569) new 좋은아빠되기 2025.10.07 0
7230 전기공사산업기사 필기 기출문제(해설) 및 CBT 2010년03월07일(7568) new 좋은아빠되기 2025.10.07 0
7229 전기공사산업기사 필기 기출문제(해설) 및 CBT 2009년08월30일(7567) new 좋은아빠되기 2025.10.07 0
» 전기공사산업기사 필기 기출문제(해설) 및 CBT 2009년05월10일(7566) new 좋은아빠되기 2025.10.07 0
7227 전기공사산업기사 필기 기출문제(해설) 및 CBT 2008년09월07일(7565) new 좋은아빠되기 2025.10.07 0
Board Pagination Prev 1 ... 177 178 179 180 181 182 183 184 185 186 ... 544 Next
/ 544