자격증 필기 기출문제



정보통신기사(구) 필기 기출문제(해설) 및 CBT 2005년05월29일(7602)

최강 자격증 기출문제 전자문제집 CBT : www.comcbt.com


전자문제집 CBT란?

종이 문제집이 아닌 인터넷으로 문제를 풀고 자동으로 채점하며 모의고사, 오답 노트, 해설까지 제공하는
무료 기출문제 학습 프로그램으로 실제 상설검정에서 사용하는 OMR 형식의 CBT를 제공합니다.


최신 정보통신기사(구) 필기 기출문제 : [다운로드]

1과목 : 디지털 전자회로


1. 다음 회로에 대한 설명으로 옳지 않은 것은?

   

     1. Q1과 Q2는 Darlington 접속이다.
     2. 이 회로는 emitter follower 이다.
     3. Q1과 Q2의 조합은 등가적으로 NPN 트랜지스터이다.
     4. Vcc의 전원은 부(-)이어야 한다.

     정답 : []
     정답률 : 62%

2. 그림의 복수 에미터 트랜지스터가 이루는 논리게이트는?

   

     1. TTL
     2. DTL
     3. DCTL
     4. RTL

     정답 : []
     정답률 : 40%

3. 반송파와 변조파주파수가 각각 일정한 경우, 다음의 각 변조지수로 FM변조를 할 때 가장 양호한 신호대 잡음비를 기대할 수 있는 경우는?
     1. 0.4
     2. 0.5
     3. 1.0
     4. 5.0

     정답 : []
     정답률 : 알수없음

4. 아날로그-디지털 변환에 가장 유효하게 사용되는 코드는?
     1. BCD 코드
     2. 3초과 코드
     3. 그레이 코드
     4. 링 카운터 코드

     정답 : []
     정답률 : 알수없음

5. 디지털 분야의 논리소자로서 바이폴라소자가 아닌 것은?
     1. TTL
     2. C-MOS
     3. DTL
     4. HTL

     정답 : []
     정답률 : 알수없음

6. 양의 VGS로 된 n채널 공핍형 MOSFET의 동작은?
     1. 공핍형 모드에서 동작한다.
     2. 증가형 모드에서 동작한다.
     3. 차단에서 동작한다.
     4. 포화에서 동작한다.

     정답 : []
     정답률 : 알수없음

7. 다음 차동증폭기의 차신호의 전압이득 Av = 100 이다. 출력전압 Vo는? (단, 동상신호는 무시한다.)

   

     1. 15[V]
     2. 16[V]
     3. 17[V]
     4. 18[V]

     정답 : []
     정답률 : 30%

8. MS F-F 의 진리표에서 Jn=1, Kn=0 이고 클럭펄스를 인가할 때 출력 Qn+1 의 값은?
     1. Qn
     2. 0
     3. 1
     4. 불확정

     정답 : []
     정답률 : 30%

9. 그림과 같은 단안정 멀티바이브레이터의 출력(Vo)파의 펄스폭 T[sec]는?

   

     1. T = C2R2 ln 10
     2. T = R1R2 ln 2
     3. T = C2R2 ln 2
     4. T = C2R1 ln 2

     정답 : []
     정답률 : 59%

10. 그림과 같은 회로에서 입력에 Vi = 50 sin ωt[V]인 정현파를 가했을 때 출력 Vo의 파형으로 옳은 것은? (단, D1, D2의 항복전압은 10[V]이다.)

    

     1.
     2.
     3.
     4.

     정답 : []
     정답률 : 알수없음

11. RC결합 증폭회로에서 증폭 대역폭을 4배로 하려면 증폭이득을 약 몇 [㏈] 감소시켜야 하는가?
     1. 0.5[㏈]
     2. 4[㏈]
     3. 6[㏈]
     4. 12[㏈]

     정답 : []
     정답률 : 알수없음

12. 다음 회로에서 다이오드 D1과 D2가 동시에 차단상태로 되는 조건으로 옳은 것은? (단, V2 >V1이다.)

    

     1. Vi ≤ V1
     2. V1 > Vi > V2
     3. V1 < Vi< V2
     4. Vi ≥ V2

     정답 : []
     정답률 : 42%

13. 다음의 내용 중에서 귀환형 발진기의 특징과 관계가 없는 항은?
     1. 귀환형 발진기에서는 입력신호가 필요하지 않다.
     2. 귀환형 발진기에서는 출력의 일부가 입력으로 정귀환 된다.
     3. 귀환형 발진기에서 종합 루프이득은 1이다.
     4. 귀환형 발진기에는 귀환회로에 반드시 인턱터(L)를 사용해야 한다.

     정답 : []
     정답률 : 34%

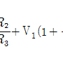
14. 그림과 같은 교류적 등가회로로 표시되는 발진회로의 발진주파수는?

    

     1.
     2.
     3.
     4.

     정답 : []
     정답률 : 알수없음

15. 입력전압이 Vi, 출력전류가 io 일 때, 다음 식은 출력전류와 입력전압의 비선형 관계를 표시한 식이다. 진폭 변조와 관계되는 항은? (단, Ao,A1,A2,A3,···는 상수이다.) (문제오류로 복원중입니다. 정확한 내용을 아시는 분께서는 오류신고를 통하여 내용 작성 부탁드립니다. 정답은 3번입니다.)

    

     1. Ao
     2. A1Vi
     3. A2Vi2
     4. A3Vi3

     정답 : []
     정답률 : 알수없음

16. 펄스변조방식 중 디지털 펄스변조에 해당되지 않는 것은? (문제오류로 인해 복원중입니다. 정확한 내용을 아시는 분께서는 오류신고를 통하여 내용 작성 부탁드립니다. 정답은 4번입니다.)
     1. PNM
     2. 복원중
     3. PCM
     4. PTM

     정답 : []
     정답률 : 알수없음

17. 다음 이상적인 연산증폭 회로의 출력전압 eo는?

    

     1. 5[V]
     2. 10[V]
     3. -15[V]
     4. -20[V]

     정답 : []
     정답률 : 50%

18. 전원장치의 필터를 설계할 때 리플계수(ripple factor)에 관한 내용 중 틀린 것은?
     1. 리플계수는 필터의 효율을 나타내는 계수이다.
     2. 리플계수는 작을수록 좋다.
     3. 리플계수 = 리플전압의실효값 / 필터의직류전압의평균값
     4. 리플계수는 부하저항을 감소시키면 적어진다.

     정답 : []
     정답률 : 62%

19. RC결합 증폭기에 구형파 전압을 입력시켜 그림과 같은 출력이 나왔다면, 이 증폭기의 주파수 특성을 가장 적합하게 설명한 것은?

    

     1. 저역 특성이 특히 좋지 않다.
     2. 중역 특성이 특히 좋지 않다.
     3. 고역 특성이 특히 좋지 않다.
     4. 중역과 고역특성이 모두 나쁘다.

     정답 : []
     정답률 : 16%

20. 점유율이 50[%]인 10 [MHz]의 클럭신호로부터 펄스폭이 1[초]인 게이트 펄스를 얻어내기 위해 분주회로를 구성할 때 필요로 하는 분주회로의 종류와 개수를 올바르게 선택한 항은?
     1. 10분주회로 6개, 2분주회로 2개
     2. 10분주회로 7개, 2분주회로 1개
     3. 10분주회로 7개
     4. 10분주회로 5개, 2분주회로 3개 제 2 과목 : 정보통신시스템

     정답 : []
     정답률 : 알수없음

2과목 : 정보통신 시스템


21. LAN에서 사용되지 않는 토폴로지(topology)는?
     1. 링 토폴로지(ring topology)
     2. 메쉬 토폴로지(mesh topology)
     3. 스타 토폴로지(star topology)
     4. 버스 토폴로지(bus topology)

     정답 : []
     정답률 : 알수없음

22. ITU-T 권고안 중 공중데이터 통신망에서 패킷형 터미날을 위한 DCE와 DTE 사이의 접속규격은?
     1. X.3
     2. X.25
     3. X.29
     4. X.21

     정답 : []
     정답률 : 73%

23. 회선교환(circuit switching)의 특징이 아닌 것은?
     1. 전용 전송로를 가진다.
     2. 고정된 대역폭으로 데이터를 전송한다.
     3. 호출된 자국이 바쁘면 busy 신호를 낸다.
     4. 메시지 분실에 대한 책임을 네트워트가 진다.

     정답 : []
     정답률 : 54%

24. 메시지에 주소를 부여하고 통신 노드들간의 경로 설정 및 메시지 흐름 제어를 하는 계층은?
     1. 네트워크 계층
     2. 세션 계층
     3. 응용 계층
     4. 프리젠테이션 계층

     정답 : []
     정답률 : 92%

25. PCM 장치에서 표본화 주기를 125[㎲]로한 24CH PCM 통신 방식의 점유 주파수 대폭은? (단, 각 CH의 디지트는 음성 7 디지트, 신호 1 디지트이며 전체 동기용으로 별도 1 디지트를 둔다.)
     1. 8000[㎐]
     2. 1536[㎑]
     3. 1544[㎑]
     4. 1867[㎑]

     정답 : []
     정답률 : 알수없음

26. 어떤 통신시스템을 1000시간 동안 운용하는 과정에서 장애로 인해 2번 운용 중단 사고가 발생하였다. 각 각 중단 시간이 1시간, 3시간 이었다면, 이 통신시스템의 가용도(availability)는 얼마인가?
     1. 97.0 %
     2. 98.0 %
     3. 99.1 %
     4. 99.6 %

     정답 : []
     정답률 : 알수없음
     <문제 해설>
[1000-(1+3)]/1000 * 100 = 99.6%
[해설작성자 : gangs]

27. 데이터 통신에서 급여나 요금계산, 경영자료 작성 등의 정보를 발생할 때마다 처리하지 않고 기록 매체에 의해 일괄 처리하는 방식은?
     1. on-line system
     2. real time system
     3. delayed time system
     4. batch processing system

     정답 : []
     정답률 : 90%

28. PCM 전송시스템의 수신측에서 본 아이(EYE) 패턴으로 알 수 있는 것은?
     1. 정확한 에러율
     2. 전송로상의 파형 찌그러짐
     3. 양자화 잡음
     4. 변조방식

     정답 : []
     정답률 : 알수없음

29. 우리나라에도 국내 또는 국제영상회의 서비스가 운용되고 있다. 이에 관한 다음 설명 중 틀리는 것은?
     1. 영상회의는 아날로그(Analog) 통신방식으로 전송하고 있다.
     2. 유선 또는 무선전송방식이 가능하므로 해저 케이블, 위성통신이 가능하다.
     3. 경제적인 요금을 위해 T1급 등으로 대역을 압축한다.
     4. VIDEO와 AUDIO가 동시에 스튜디오에 재현될 수 있다.

     정답 : []
     정답률 : 90%

30. 가상회선(virtual circuit) 패킷교환방식과 데이터그램(datagram) 패킷교환방식의 공통점이 아닌 것은?
     1. 패킷들은 전달될 때까지 저장되기도 한다.
     2. 각 패킷에 대하여 경로를 선택해야 한다.
     3. 전용선로는 없다.
     4. 대역폭 사용이 융통적이다.

     정답 : []
     정답률 : 알수없음

31. 데이터 통신시스템에서 송신회선과 수신회선을 각각 2선식으로 완전 분리하여 운용되는 통신방식은?
     1. 단일회선방식
     2. 반이중방식
     3. 전이중방식
     4. 분리회선방식

     정답 : []
     정답률 : 73%

32. 전기통신망의 효율적이고 체계적인 관리시스템 구축을 위해 요구되는 사항과 가장 관계가 없는 것은?
     1. 서로 다른 시스템간의 상호 연동성
     2. 언제 어디서나 원하는 서비스를 제공할 수 있는 접속 유연성
     3. 하드웨어 상에 소프트웨어의 이식 운용성
     4. 주요 특정 서비스만을 위한 관리의 경제성

     정답 : []
     정답률 : 59%

33. CSMA/CD 방식에 관한 설명 중 틀린 것은?
     1. 버스 구조에 이용될 수 있다.
     2. 제록스사가 개발한 방식이다.
     3. 동축케이블을 사용할 수 있다.
     4. 단말기 사이에 신호 충돌이 없다.

     정답 : []
     정답률 : 알수없음
     <문제 해설>
CSMA/CD방식은 단말기 사이에 신호 충돌이 발생할 수 있다.
[해설작성자 : gangs]

34. 광대역 ISDN(B-ISDN)을 구현키 위하여 ITU-T에서 선택한 전송기술은 ( ) 이고, 이 기술의 실제근간을 이루는 물리적 전송망은 ( ) 이다. 앞의 두 ( ) 안에 맞는 것은?
     1. SONET/SDH, ATM
     2. ATM, SONET/SDH
     3. X.25, SONET/SDH
     4. SONET/SDH, X.25

     정답 : []
     정답률 : 59%

35. 서비스 프리미티브의 기본 기능이 아닌 것은?
     1. 요구
     2. 응답
     3. 기동
     4. 확인

     정답 : []
     정답률 : 73%

36. 셀룰라 이동통신에서 원근 문제(near-far problem)를 해결하는데 적용하는 방식은?
     1. 광증폭기 적용
     2. 전력제어 적용
     3. 등화기 적용
     4. 감쇠기 적용

     정답 : []
     정답률 : 45%

37. ISDN에서 각 국(station)간에 채용하는 신호 방식은?
     1. D channel 신호방식
     2. 공통선 신호방식
     3. Tl 전송방식
     4. 채널결합 신호방식

     정답 : []
     정답률 : 54%

38. 통신 프로토콜의 기능으로서 옳지 않은 것은?
     1. 정보의 다양화
     2. 인캡슐화
     3. 오류 및 순서제어
     4. 연결의 확립과 종결

     정답 : []
     정답률 : 92%

39. 프로토콜의 계층구조상의 기본구성 요소가 아닌 것은?
     1. 개체(Entity)
     2. 접속(Connection)
     3. 구문(Syntax)
     4. 데이터 단위(Data unit)

     정답 : []
     정답률 : 알수없음

40. 전송속도가 4,800[bps]이고 8위상 편이 변조방식을 사용할 때의 변조속도[Baud]는?
     1. 1,200
     2. 1,400
     3. 1,600
     4. 1,800

     정답 : []
     정답률 : 72%
     <문제 해설>
4800bps = log2(8) * Baud
                = log2(2^3) * Baud
                = 3 * Baud
Baud = 1600
[해설작성자 : gangs]

3과목 : 정보통신 기기


41. 집중화기의 구성요소가 아닌 것은?
     1. 단일회선제어기
     2. 중앙처리장치
     3. 다수선로제어기
     4. 모뎀

     정답 : []
     정답률 : 43%

42. 은행, 백화점, 댐, 하역장, 공장 및 사람이 접근할 수 없는 산업현장 등을 감시하는데 가장 적합한 것은?
     1. CATV
     2. VRS
     3. HDTV
     4. CCTV

     정답 : []
     정답률 : 60%

43. 디지털 신호로 전송하기 위하여 필요한 변조 방식은?
     1. FSK
     2. PCM
     3. PSK
     4. QAM

     정답 : []
     정답률 : 64%

44. 비디오 텍스의 알파 모자이크 방식의 도형 소편 종류에 해당 되지 않는 것은?
     1. 블록 소편
     2. 점 소편
     3. 평활화 소편
     4. 선 소편

     정답 : []
     정답률 : 37%

45. 푸시 버튼 전화기에서 숫자 버튼 기능의 주파수에 대해 맞는 것은?
     1. 1 = 697[Hz] + 1633[Hz]
     2. 5 = 941[Hz] + 1336[Hz]
     3. 9 = 852[Hz] + 1477[Hz]
     4. 0 = 770[Hz] + 1336[Hz]

     정답 : []
     정답률 : 62%
     <문제 해설>
- 푸쉬 버튼 다이얼
697Hz →     1             2             3
770Hz →     4             5             6        일반전화기
852Hz →     7             8             9        에서는
941Hz →     *             0             #        사용안함
                     ↑            ↑            ↑            ↑
                 1209Hz    1336Hz    1477Hz    1633Hz
[해설작성자 : gangs]

46. 다음 중 변복조기의 고려사항이 아닌 것은?
     1. 변조방식
     2. 동기방식
     3. 등화방식
     4. 다중화방식

     정답 : []
     정답률 : 알수없음

47. 다음 중 통신제어기능을 담당하지 않는 장비는?
     1. MODEM
     2. DSU
     3. CCU
     4. Repeater

     정답 : []
     정답률 : 54%

48. 여러종류의 패턴인식, 화상처리, 언어 등의 입력을 처리하는 것은?
     1. 데이터통신회선
     2. 터미널
     3. 데이터처리설비
     4. 통신제어장치

     정답 : []
     정답률 : 36%

49. 네트워크를 서로 연결하여 상호접속을 위한 망간연동장치로 사용되지 않는 것은?
     1. 리피터
     2. 브리지
     3. 라우터
     4. 트랜시버

     정답 : []
     정답률 : 58%

50. 다음 중 교환기의 가입자선 정합부의 기능이 아닌 것은?
     1. Battery feed
     2. Office signaling
     3. Ringing
     4. Testing

     정답 : []
     정답률 : 알수없음

51. CCTV의 기본구성 요소가 아닌 것은?
     1. 분기장치
     2. 촬상장치
     3. 표시장치
     4. 전송장치

     정답 : []
     정답률 : 46%

52. 방전관의 원리를 응용한 PDP(Plasma Display Panel)의 특징을 가장 잘 설명한 것은?
     1. LCD보다 구동회로가 간단하고 가격이 싸서 주로 소형계산기에 사용된다.
     2. 발광형으로 응답이 빠르며 신뢰성이 높고 수명이 길다.
     3. 수광형, 저전력으로 구동회로를 LSI화 함으로써 휴대하기가 쉽다.
     4. 진공관 속에 전자빔을 발사하는 전자총과 형광면으로 구성된다.

     정답 : []
     정답률 : 34%

53. 다음 중 전자교환기의 통화로계의 구성요소가 아닌 것은?
     1. 통화로장치
     2. 주사장치
     3. 통화로 제어장치
     4. 시스템 제어장치

     정답 : []
     정답률 : 40%

54. 무선통신 단말기의 기능으로 관계가 적은 것은?
     1. RF 신호 변복조
     2. 통화 채널 설정
     3. 위치 등록
     4. 음성 코딩 및 디코딩

     정답 : []
     정답률 : 알수없음

55. 다음 중 무선송신기에서 꼭 필요하지 않은 것은?
     1. 전력증폭기
     2. 변조기
     3. 발진기
     4. 중간주파 증폭기

     정답 : []
     정답률 : 50%

56. 다음 중 비디오텍스의 활용분야가 아닌 것은?
     1. 정보 검색
     2. 메시지 전달
     3. 원격 감시
     4. 문자 방송

     정답 : []
     정답률 : 알수없음

57. 회선을 보유하거나 임차하여 정보의 축적, 가공, 변환하여 광범위한 서비스를 제공하는 것은?
     1. LAN
     2. VAN
     3. CATV
     4. ISDN

     정답 : []
     정답률 : 84%

58. 무선 통신에서는 수신 출력이 저하 되거나 파형의 일그러짐이 발생되는데 이에 대한 원인인 페이딩(Fading)을 방지하는 방법에 해당되지 않는 것은?
     1. 주파수 다이버 시티
     2. 자동이득 조절회로
     3. 재생 중계기
     4. 공간 다이버 시티

     정답 : []
     정답률 : 43%

59. 완충증폭기에 대한 설명 중 옳지 않은 것은?
     1. 발진회로와 부하간을 격리한다.
     2. 부하변동의 영향을 막기 위하여 설치한다.
     3. 발진기의 발진주파수를 안정시키기 위해 설치한다.
     4. 변조기 다음단에 설치하며, 효율은 체배증폭기 보다 좋다.

     정답 : []
     정답률 : 60%

60. 컴퓨터를 사용하여 마이크로 필름에 들어있는 정보를 검색하는 장치는?
     1. CAM
     2. CAR
     3. COM
     4. OCR

     정답 : []
     정답률 : 알수없음

4과목 : 정보전송 공학


61. 주파수 대역폭이 30[㎑], S/N비가 7인 채널을 통하여 전송할 수 있는 정보량은 몇[b/s]인가?
     1. 2.1 x 103
     2. 4.2 x 103
     3. 6 x 103
     4. 9 x 104

     정답 : []
     정답률 : 64%
     <문제 해설>
정보량(C) = 주파수 대역폭(W) * log2[1 + 신호대잡음비(S/N)]
                    = 30 * 10^3 * log2(1 + 7)
                    = 30 * 10^3 * 3
                    = 9 * 10^4
[해설작성자 : gangs]

62. 다음 그림은 ASCII(America Standard Code for Information Interchange) 코드를 사용하여 페리티체크(Parity check)를 하는 과정이다. 마지막 결과로서 맞는 것은?

    

     1. 8비트 데이타상에 1비트의 에러가 발생하였다.
     2. 8비트 중 4비트는 다시 재전송 돼야 한다.
     3. 8비트 데이타상에 에러가 없다.
     4. 발생된 1비트의 에러가 수정되었다.

     정답 : []
     정답률 : 알수없음

63. 광섬유 케이블의 특성이 아닌 것은?
     1. 회선 접속이 용이하다.
     2. 전기적 잡음의 영향이 거의 없다.
     3. 보안성이 뛰어나다.
     4. 대역폭이 넓다.

     정답 : []
     정답률 : 69%

64. 동축케이블에 대한 설명으로 잘못된 것은?
     1. 개방형 선로이다.
     2. 내부도체, 외부도체, 절연체로 구성된다.
     3. 불평형 선로이다.
     4. 광대역 전송로이다.

     정답 : []
     정답률 : 77%

65. 에일리어싱(Aliasing) 현상이 발생하는 이유는?
     1. 표본화 정리에 준하여 설정된 표본화 주파수보다 높게 표본화할 때 발생한다.
     2. 표본화 정리에 준하여 설정된 표본화 주파수보다 낮게 표본화할 때 발생한다.
     3. 표본화 정리에 준하여 설정된 표본화 주파수와 상관없이 발생되는 현상이다.
     4. 음성신호를 샘플링할 때, 음성신호의 특성상 발생하는 현상이다.

     정답 : []
     정답률 : 알수없음

66. 다음 중 전송선로의 무왜조건이 성립하기 위한 R,L,C,G의 관계는? (단, R은 단위 길이당 저항, L은 단위길이당 인덕턴스, C는 단위길이당 커패시턴스, G는 단위길이당 콘덕턴스 )
     1. RC = LG
     2. RL = 2GC
     3. RG = LC
     4. RG = 2LC

     정답 : []
     정답률 : 알수없음

67. 북미 표준방식의 TDM신호규격에 맞지 않는 것은?
     1. DS1은 24회선이며 전송속도는 1.544[Mb/S]이다.
     2. DS2는 4 DS1이며 전송속도는 6.312[Mb/S]이다.
     3. DS3는 7 DS2이며 전송속도는 32.064[Mb/S]이다.
     4. DS4E는 유럽식이며 전송속도는 139.26[Mb/S]이다.

     정답 : []
     정답률 : 31%
     <문제 해설>
DS3은 7 DS2이며 전송속도는 44.736[Mb/s]이다.
[해설작성자 : gangs]

68. HDLC에서 1개의 프레임 구성에서 사용되는 프레그(Flag)는 모두 몇 비트인가?
     1. 8비트
     2. 16비트
     3. 32비트
     4. 24비트

     정답 : []
     정답률 : 알수없음
     <문제 해설>
- HDLC 프레임 구성
Flag(8bit) - Address(8bit) - Control(8bit) - data - FCS(16bit) - Flag(8bit)
[해설작성자 : gangs]

69. 아날로그 신호를 디지탈 신호로 부호화하고 이의 역변환인 복호화를 행하는 기능을 가지는 것은?
     1. 멀티플렉서(Multiplexer)
     2. 모뎀(Modem)
     3. 코덱(Codec)
     4. 모듈레이터(Modulator)

     정답 : []
     정답률 : 19%

70. 음성신호를 디지털 신호로 변환하기 위해 6비트 A/D 변환기를 이용하였다. 만약 8비트 A/D 변환기를 이용하게 되면 6비트 A/D 변환기를 사용했을 때에 비해 SNR은 어떻게 변화되는가?
     1. 6비트 A/D 변환기를 사용했을 때에 비해 3dB 증가
     2. 6비트 A/D 변환기를 사용했을 때에 비해 6dB 증가
     3. 6비트 A/D 변환기를 사용했을 때에 비해 9dB 증가
     4. 6비트 A/D 변환기를 사용했을 때에 비해 12dB 증가

     정답 : []
     정답률 : 알수없음

71. 다음의 베이스 밴드 전송방식중 저주파 차단왜곡이 가장 적은 신호방식은?
     1. 단류방식
     2. 단류 RZ방식
     3. 바이폴라방식
     4. 복류방식

     정답 : []
     정답률 : 알수없음

72. 4개의 문자중 하나를 보내는 정보원이 있다. 각 문자의 확률이 1/2, 1/4, 1/8, 1/8 일 때 1개의 문자에 대한 엔트로피[bit/symbol]는?
     1. 5/4
     2. 7/4
     3. 9/4
     4. 11/4

     정답 : []
     정답률 : 47%

73. 통신속도 표시 방법중 1초 동안에 몇 번의 변조가 수행되었는가를 나타내는 단위는 무엇인가?
     1. bps
     2. baud
     3. cps
     4. Hz

     정답 : []
     정답률 : 62%

74. 다음 그림에서 양극 RZ 부호는 어떤 것인가?
     1.
     2.
     3.
     4.

     정답 : []
     정답률 : 55%

75. 4선식 회선에 가장 효율적인 통신방식은?
     1. 단향통신
     2. 반이중통신
     3. 전이중통신
     4. 4중통신

     정답 : []
     정답률 : 73%

76. 다음 중 내부 잡음인 것은?
     1. 자연 잡음
     2. 이그니션 잡음
     3. 산탄 잡음
     4. 인공잡읍

     정답 : []
     정답률 : 28%

77. 다음 그림은 어떤 변복조 방식을 나타낸 것인가?

    

     1. DPSK
     2. PCM
     3. PAM
     4. QAM

     정답 : []
     정답률 : 50%

78. HDLC 프로토콜에서 NRM이라는 데이터전송 동작모드를 사용 할때의 기본순서 클래스는?
     1. UNC
     2. UAC
     3. BAC
     4. BNC

     정답 : []
     정답률 : 알수없음
     <문제 해설>
정규 응답 모드(NRM)의 기본순서 클래스는 UNC이다.
비동기 응답 모드(ARM)의 기본순서 클래스는 UAC이다.
비동기 평형 모드(ABM)의 기본순서 클래스는 BAC이다.
[해설작성자 : gangs]

79. 아날로그신호 X(t)를 매 1초마다 샘플링한 후 델타변조하여 전송하려고 한다. 복원중X(t) 복원중8일 때 샘플링된 신호당 전송되는 비트의 수는? (문제오류로 인해 복원중입니다. 정확한 내용을 아시는 분께서는 내용 작성 부탁드립니다. 정답은 1번입니다.)
     1. 1
     2. 2
     3. 3
     4. 4

     정답 : []
     정답률 : 알수없음

80. 프로토콜의 기본적인 구성 요소에 해당하지 않는 것은?
     1. 구문(Syntax)
     2. 의미(Semantic)
     3. 구조(Structure)
     4. 타이밍(Timing)

     정답 : []
     정답률 : 알수없음

81. 다음 기억장치의 설명 중 틀린 것은?
     1. 주기억장치에서 SRAM이나 DRAM은 소멸성 기억장치이다.
     2. 주기억장치에서 32 ×32(bit) 형태의 DRAM이라면 재생 계수기는 5bit 계수기를 사용할 수 있다.
     3. 보조기억장치들은 비파괴적으로 읽을 수 있다.
     4. 보조기억장치에서는 바이트와 같은 세분화된 정보의 단위로 주소를 지정할 수 있다.

     정답 : []
     정답률 : 42%

82. 기억장치로부터 명령이나 데이터를 읽을 때 다음 중 제일 먼저 하는 일은?
     1. OPERAND 지정
     2. OPERAND 인출
     3. 어드레스 지정
     4. 어드레스 인출

     정답 : []
     정답률 : 알수없음

83. 운영체제의 목적을 설명한 것 중 틀린 것은?
     1. 컴퓨터 내의 하드웨어와 소프트웨어 자원들을 관리하고 제어하는 일을 담당한다.
     2. 사용자가 컴퓨터에 쉽게 접근할 수 있도록 편리한 인터페이스를 제공한다.
     3. 작업 처리 과정 중에 데이터를 독점하며, 오류가 발생하면 오류를 원활하게 처리한다.
     4. 수행중인 프로그램들의 효율적인 운영을 도와주며, 입출력에 보조적인 기능을 수행한다.

     정답 : []
     정답률 : 70%

84. 부동소수점 표현으로 어떤 임의의 수치 자료를 합산하려고 한다. 이 때 두 자료의 베이스(Base)는 같고 지수 크기가 다르다면 지수를 어느 쪽에 일치시켜 계산하는가?
     1. 두 자료의 평균값에 일치시킨다.
     2. 지수가 큰 쪽에 일치시킨다.
     3. 지수가 작은 쪽에 일치시킨다.
     4. 어느 쪽에 일치시켜도 상관없다.

     정답 : []
     정답률 : 50%

85. 출력되는 부울함수의 값이 입력 값에 의해서만 정해지고 내부에 기억능력이 없는 논리회로는?
     1. 조합회로
     2. 순차회로
     3. 집적회로
     4. 혼합회로

     정답 : []
     정답률 : 알수없음

86. 10진수로 변환한 값이 다른 것은?
     1. 0 1 1 0 (2421코드)
     2. 0 1 1 0 (8421코드)
     3. 1 0 0 1 (Excess-3코드)
     4. 1 0 0 0 1 0 0 (Biquinary)

     정답 : []
     정답률 : 60%

87. ASCII 코드의 존 비트와 디지트 비트의 구성으로 옳게 표시한 것은?
     1. 존비트 : 4, 디지트 비트 : 3
     2. 존비트 : 3, 디지트 비트 : 4
     3. 존비트 : 4, 디지트 비트 : 4
     4. 존비트 : 3, 디지트 비트 : 3

     정답 : []
     정답률 : 74%

88. 기본적인 산술 마이크로 동작이 아닌 것은?
     1. 가산(addition)
     2. 제산(division)
     3. 보수(complement)
     4. 자리이동(shift)

     정답 : []
     정답률 : 39%

89. 목적 프로그램을 실행 가능한 프로그램으로 만드는 것은?
     1. 언어 번역 프로그램
     2. 연계 편집 프로그램
     3. 실행 프로그램
     4. 컴파일러 프로그램

     정답 : []
     정답률 : 31%

90. 다음 중 MPU(마이크로 프로세서)에서 명령(instruction) 해독을 수행하는 것은?
     1. 프로그램 카운터(PC)
     2. 디코더(decoder)
     3. 엔코더(encoder)
     4. 명령 레지스터(instruction register)

     정답 : []
     정답률 : 47%

91. 정보통신기기의 오동작 유도종전압이 제한치를 초과할 우려가 있는 경우에는 전력유도 방지조치를 하여야 한다. 여기에서 제한치는 얼마인가?
     1. 1[mV]
     2. 15[V]
     3. 60[V]
     4. 100[V]

     정답 : []
     정답률 : 59%

92. 정보통신망사업자 및 그 종업원이 사업을 영위함에 있어서 준수하여야 하는 사항이 아닌 것은?
     1. 통신망에 의하여 처리되는 타인의 비밀보호
     2. 중요 정보의 국외 유출 교환 활동
     3. 국가경제질서 파괴 행위 금지
     4. 공공의 안녕질서를 해치는 행위 금지

     정답 : []
     정답률 : 알수없음

93. 다음 중 정보통신공사업법 시행령에서 규정하고 있는 공사의 분류에 해당되지 않는 것은?
     1. 통신설비공사
     2. 방송설비공사
     3. 정보설비공사
     4. 전력설비공사

     정답 : []
     정답률 : 70%

94. 다음 중 전기통신사업자의 구분은?
     1. 국내통신사업자와 구내통신사업자, 외국통신사업자
     2. 전화통신사업자와 데이터통신사업자,이동통신사업자
     3. 공중통신사업자와 자가통신사업자, 특정통신사업자
     4. 기간통신사업자와 부가통신사업자, 별정통신사업자

     정답 : []
     정답률 : 77%

95. 정보통신부장관이 전기통신 생산품에 대한 기술지도를 하는 주된 이유는?
     1. 통신방식과 규격의 다양화를 기하기 위하여
     2. 수출증대를 위하여
     3. 생산을 촉진하기 위하여
     4. 통신방식, 규격 등을 생산단계로 부터 정확히 적용하기 위하여

     정답 : []
     정답률 : 92%

96. 정보화촉진 등에 관한 사항을 심의하기 위하여 설치한 정보화추진위원회는 어느 소속하에 두는가?
     1. 대통령
     2. 국무총리
     3. 정보통신부장관
     4. 한국전산원장

     정답 : []
     정답률 : 19%

97. 정보통신공사업자 이외의 자가 시공할 수 없는 공사는?
     1. 실험국의 무선설비 설치공사
     2. 간이 무선국의 설치공사
     3. 인입국선이 5회선 미만의 구내통신선로 설비공사
     4. 12통화로 이상의 다중반송 설비공사

     정답 : []
     정답률 : 70%

98. 선로설비의 회선 상호간, 회선과 대지간 및 회선의 심선 상호간의 절연저항은 얼마이어야 하는가?
     1. 직류 50[V] 절연저항계로 측정하여 1[㏁] 이상
     2. 교류 50[V] 절연저항계로 측정하여 1[㏁] 이하
     3. 직류 500[V] 절연저항계로 측정하여 10[㏁] 이상
     4. 교류 500[V] 절연저항계로 측정하여 10[㏁] 이하

     정답 : []
     정답률 : 알수없음

99. 전기통신설비의 기술기준에서 정의하는 고주파수는?
     1. 3,400[㎐] 이하의 주파수
     2. 3,400[㎐]를 초과하는 주파수
     3. 20,000[㎐] 이하의 주파수
     4. 20,000[㎐]를 초과하는 주파수

     정답 : []
     정답률 : 알수없음

100. 전기통신의 표준화에 관한 업무를 효율적으로 추진하기 위하여 설립한 기관은?
     1. 한국전자통신연구원
     2. 한국정보통신기술협회
     3. 한국정보통신진흥원
     4. 한국정보통신진흥협회

     정답 : []
     정답률 : 50%


정 답 지

1

2

3

4

5

6

7

8

9

10

11

12

13

14

15

16

17

18

19

20

21

22

23

24

25

26

27

28

29

30

31

32

33

34

35

36

37

38

39

40

41

42

43

44

45

46

47

48

49

50

51

52

53

54

55

56

57

58

59

60

61

62

63

64

65

66

67

68

69

70

71

72

73

74

75

76

77

78

79

80

81

82

83

84

85

86

87

88

89

90

91

92

93

94

95

96

97

98

99

100

정보통신기사(구) 필기 기출문제(해설) 및 CBT 2005년05월29일을 이용해 주셔서 감사합니다.
, 필기, 기출문제, 전자문제집, CBT, 온라인, 모의테스트, 모의고사



List of Articles
번호 제목 글쓴이 날짜 조회 수
7266 정보통신기사(구) 필기 기출문제(해설) 및 CBT 2006년03월05일(7604) new 좋은아빠되기 2025.10.07 0
7265 정보통신기사(구) 필기 기출문제(해설) 및 CBT 2005년09월04일(7603) new 좋은아빠되기 2025.10.07 0
» 정보통신기사(구) 필기 기출문제(해설) 및 CBT 2005년05월29일(7602) new 좋은아빠되기 2025.10.07 0
7263 정보통신기사(구) 필기 기출문제(해설) 및 CBT 2005년03월20일(7601) new 좋은아빠되기 2025.10.07 0
7262 정보통신기사(구) 필기 기출문제(해설) 및 CBT 2005년03월06일(7600) new 좋은아빠되기 2025.10.07 0
7261 정보통신기사(구) 필기 기출문제(해설) 및 CBT 2004년09월05일(7599) new 좋은아빠되기 2025.10.07 0
7260 정보통신기사(구) 필기 기출문제(해설) 및 CBT 2004년05월23일(7598) new 좋은아빠되기 2025.10.07 0
7259 정보통신기사(구) 필기 기출문제(해설) 및 CBT 2004년03월07일(7597) new 좋은아빠되기 2025.10.07 0
7258 정보통신기사(구) 필기 기출문제(해설) 및 CBT 2003년08월31일(7596) new 좋은아빠되기 2025.10.07 0
7257 정보통신기사(구) 필기 기출문제(해설) 및 CBT 2003년05월25일(7595) new 좋은아빠되기 2025.10.07 0
7256 정보통신기사(구) 필기 기출문제(해설) 및 CBT 2003년03월16일(7594) new 좋은아빠되기 2025.10.07 0
7255 정보통신기사(구) 필기 기출문제(해설) 및 CBT 2002년09월08일(7593) new 좋은아빠되기 2025.10.07 0
7254 정보통신기사(구) 필기 기출문제(해설) 및 CBT 2002년05월26일(7592) new 좋은아빠되기 2025.10.07 0
7253 정보통신기사(구) 필기 기출문제(해설) 및 CBT 2002년03월10일(7591) new 좋은아빠되기 2025.10.07 0
7252 전기공사산업기사 필기 기출문제(해설) 및 CBT 2018년04월28일(7590) new 좋은아빠되기 2025.10.07 0
7251 전기공사산업기사 필기 기출문제(해설) 및 CBT 2018년03월04일(7589) new 좋은아빠되기 2025.10.07 0
7250 전기공사산업기사 필기 기출문제(해설) 및 CBT 2017년09월23일(7588) new 좋은아빠되기 2025.10.07 0
7249 전기공사산업기사 필기 기출문제(해설) 및 CBT 2017년05월07일(7587) new 좋은아빠되기 2025.10.07 0
7248 전기공사산업기사 필기 기출문제(해설) 및 CBT 2017년03월05일(7586) new 좋은아빠되기 2025.10.07 0
7247 전기공사산업기사 필기 기출문제(해설) 및 CBT 2016년10월01일(7585) new 좋은아빠되기 2025.10.07 0
Board Pagination Prev 1 ... 176 177 178 179 180 181 182 183 184 185 ... 544 Next
/ 544