자격증 필기 기출문제



소방설비산업기사(기계) 필기 기출문제(해설) 및 CBT 2003년08월31일(7734)

최강 자격증 기출문제 전자문제집 CBT : www.comcbt.com


전자문제집 CBT란?

종이 문제집이 아닌 인터넷으로 문제를 풀고 자동으로 채점하며 모의고사, 오답 노트, 해설까지 제공하는
무료 기출문제 학습 프로그램으로 실제 상설검정에서 사용하는 OMR 형식의 CBT를 제공합니다.


최신 소방설비산업기사(기계) 필기 기출문제 : [다운로드]

1과목 : 소방원론


1. 방재센타에 대한 설명중 옳지 않은 것은?
     1. 피난인원의 유도를 위하여 피난층으로부터 가능한한 높은 위치에 설치한다.
     2. 연소위험이 없도록 하고 충분한 면적을 갖도록 한다.
     3. 자동화재탐지설비의 수신기에는 경계구역 부근에 대한 소방설비 등의 위치를 명시한다.
     4. 소화설비 등의 기동에 대하여 감시제어기능을 갖추어야 한다.

     정답 : []
     정답률 : 89%

2. 가연성 기체 또는 액체의 연소범위에 대한 설명이 잘못된것은?
     1. 하한이 낮을수록 발화위험이 높다.
     2. 연소범위가 넓을수록 발화위험이 크다.
     3. 상한이 높을수록 발화위험이 적다.
     4. 연소범위는 주위온도에 관계가 깊다.

     정답 : []
     정답률 : 60%

3. 건축물의 구조상 주요 구조부가 아닌 것은?
     1. 기초
     2. 지붕
     3.
     4. 기둥

     정답 : []
     정답률 : 70%

4. 증기압에 대한 설명과 관계가 없는 것은?
     1. 증기분자의 질량이 클수록 큰 증기압이 나타난다.
     2. 분자의 운동이 커지면 증기압이 증가한다.
     3. 액체의 온도가 상승하면 증기압이 증가한다.
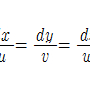
     4. 증발과 응축이 평형상태일 때의 압력을 포화증기압이라한다.

     정답 : []
     정답률 : 29%

5. 내화구조가 아닌 것은?
     1. 철골트러스
     2. 연와조
     3. 철근콘크리트조
     4. 석조

     정답 : []
     정답률 : 32%

6. 화재의 원인중 인위적 발생 요인이 아닌 것은?
     1. 화기 취급 부주의로 인한 발화
     2. 가연물 취급 부주의로 인한 발화
     3. 기계, 기구의 마찰로 인한 발화
     4. 개발을 하기 위한 방화

     정답 : []
     정답률 : 61%
     <문제 해설>
기계,기구의 마찰로 인한 발화는     물리적요인에 의한 화재로서     인위적발생요인이 아닙니다
[해설작성자 : 중국산코로나]

7. 소화약제로 사용하는 CO2 에 대한 설명중 옳은 것은?
     1. 미소량의 수분을 포함할 수 있다.
     2. 화염과 접촉하여 유독물질을 생성시킨다.
     3. A,B,C,D급 화재의 진화에 쓰인다.
     4. 불안정한 물질이지만 소화효과는 좋다.

     정답 : []
     정답률 : 41%

8. 화재를 발생시키는 열원으로 기계적 원인으로 볼 수 있는 것은?
     1. 저항렬
     2. 압축열
     3. 분해열
     4. 자연발열

     정답 : []
     정답률 : 72%

9. “하나의 물체가 다른 물체와 직접 접촉하여 전달되는 과정을 말하며 이것은 일정 시간내에 전달되는 열량은 고온부와 저온부의 온도차에 비례하여 열전도도, 길이 및 두께에 따라 다르다” 이것은 무엇을 설명한 것인가?
     1. 대류
     2. 복사
     3. 전도
     4. 열전달

     정답 : []
     정답률 : 50%

10. 급격한 화학반응에 의하여 본래의 물질이 고온, 고압의 기체로 격렬한 팽창에 의하여 생기는 현상을 폭발이라 할수 있으며 폭발은 크게 4가지 변화의 결과에 의하여 발생한다. 이에 해당되지 않은 것은?
     1. 화학적변화
     2. 기계적변화
     3. 열적변화
     4. 전기적변화

     정답 : []
     정답률 : 35%

11. 내화건축물의 화재성상인 후래시 오버(flash-over)현상과 관계가 없는 것은?
     1. 실내온도가 800∼900℃ 에 도달한다.
     2. 바닥부분에 모인 가연성기체가 폭발적으로 연소한다.
     3. 화재발생 후 약 5∼6분경에 발생한다.
     4. 성장기와 최성기사이에서 발생한다.

     정답 : []
     정답률 : 50%

12. 건물 내부에 화재가 발생하여 혈액 중의 산소운반 물질인 헤모글로빈과 결합하여 카르복시 헤모글로빈이 발생하므로써 산소의 혈중 농도를 저하시켜서 질식을 가져오거나 근육의 활동을 정지시킬 수 있는 유해성분은?
     1. CO
     2. CO2
     3. H2
     4. H2O

     정답 : []
     정답률 : 86%

13. 할론 1301(CF3Br) 소화약제를 사용하여 소화할 때 연소열에 의하여 생긴 열분해 생성가스가 아닌 것은?
     1. HF
     2. HBr
     3. Br2
     4. CO2

     정답 : []
     정답률 : 60%

14. 내장재료에 관한 설명으로 틀린 것은?
     1. 불연재료는 불에 타지 아니하는 것으로 난연 1급에 해당한다.
     2. 석재, 벽돌, 유리, 시멘트 모르타르 및 기타 이와 유사한 것은 불연재료이다.
     3. 난연재료는 난연 2급에 해당한다.
     4. 특별피난계단의 부속실은 그 실내에 접하는 부분의 마감을 불연재료로 하여야 한다.

     정답 : []
     정답률 : 62%

15. 고체 가연물이 연소할 때 나타나는 연소현상에 해당하는 것은?
     1. 표면연소
     2. 심부연소
     3. 발염연소
     4. 불꽃연소

     정답 : []
     정답률 : 83%

16. 화재의 3요소가 아닌 것은?
     1. 점화원
     2. 공기
     3. 연료
     4. 연쇄반응

     정답 : []
     정답률 : 80%

17. 산화성 고체와 관계가 없는 것은?
     1. 과염소산
     2. 질산염류
     3. 아염소산염류
     4. 무기과산화물류

     정답 : []
     정답률 : 59%

18. 다음 설명중 틀린 것은?
     1. 접지공사의 시행은 전기단락사고의 예방대책이라고 할 수 없다.
     2. 유증기 또는 먼지 등이 발생할 우려가 있는 장소에는 방폭형의 전기기기를 사용한다.
     3. 과전류에 의한 발화를 방지하기 위한 조치로 퓨즈나 전선의 접속을 완전하게 하여야 한다.
     4. 누전사고를 방지하기 위한 대책으로, 전선을 움직이는 물체와 접촉되지 않도록 하는 것과는 별개의 사항이다.

     정답 : []
     정답률 : 44%

19. 가연성 증기를 발생하는 액체 또는 고체와 공기의 계에 있어서,기체상 부분에 다른 불꽃이 닿았을 때 연소가 일어나는데 필요한 액체 또는 고체의 최저온도는?
     1. 발화점(ignition point)
     2. 인화점(flash point)
     3. 연소점(fire point)
     4. 산화점(oxidation point)

     정답 : []
     정답률 : 48%

20. 수소 같은 가연성 가스가 공기 중에서 산소와 혼합하면서 발염 연소하는 현상을 무엇이라 하는가?
     1. 분해연소
     2. 확산연소
     3. 혼합연소
     4. 증발연소

     정답 : []
     정답률 : 46%

2과목 : 소방유체역학


21. 레이놀즈수는 어느 것과 관계 있는가?
     1. 중력대 관성력
     2. 관성력대 점성력
     3. 점성력대 중력
     4. 점성력대 탄성력

     정답 : []
     정답률 : 62%

22. 다음과 같은 조건일 때 배연기의 축동력은? (단, 송풍기의 풍량은 Q=750 m3/min, 전압은 Pt=60mmAq, 효율은 55%, 전달계수는 1.15 로 한다.)
     1. 13.36 kW
     2. 14.7 kW
     3. 15.37 kW
     4. 922.45 kW

     정답 : []
     정답률 : 55%

23. 대기압이 작용하는 수면으로 부터 H 깊이에 설치된 오리피스를 통하여 유출되는 물의 속도수두는? (단, 속도계수는 Cv라 한다.)
     1. Cv/H
     2. CvH
     3. Cv2H
     4. Cv2/H

     정답 : []
     정답률 : 52%

24. 베르누이 방정식에 적용되는 가정과 관계가 없는 것은?
     1. 비점성유체
     2. 정상류
     3. 유선을 따라 운동
     4. 압축성유체

     정답 : []
     정답률 : 13%

25. 이상유체를 설명한 것중 옳은 것은?
     1. 과열유체
     2. 압축성 유체
     3. 점성유체
     4. 비압축성 유체

     정답 : []
     정답률 : 63%

26. 그림과 같은 수조에 부착된 원형 노즐(Nozzle)에서 분출되는 유량은 약 몇 m3/s 인가? (단, 손실은 무시한다.)

    

     1. 0.04 m3/s
     2. 0.07 m3/s
     3. 0.14 m3/s
     4. 0.16 m3/s

     정답 : []
     정답률 : 39%

27. 다음 중 달톤(Dalton)의 법칙을 가장 올바르게 나타낸 항은?
     1. 1 kmol의 가스는 동일온도, 동일압력하에서는 동일한 체적을 갖는다.
     2. 가스의 절대온도가 일정하면 비체적은 압력에 반비례한다.
     3. 혼합가스의 전압력은 각 가스의 분압의 합과 같다.
     4. 가스의 압력이 일정하면 비체적은 절대 온도에 비례한다.

     정답 : []
     정답률 : 28%

28. 이산화탄소의 상태도에 있어서 삼중점의 온도는 몇 도 정도인가?
     1. 31℃
     2. 60℃
     3. 0℃
     4. -56℃

     정답 : []
     정답률 : 23%

29. 그림과 같이 고정된 노즐로 부터 밀도가 ρ 인 액체의 제트가 속도 V로 분출하여 평판에 충돌하고 있다. 이때 제트의 단면적이 A이고 평판이 u인 속도로 제트와 같은 방향으로 운동할 때 평판에 작용하는 힘 F는 ?

    

     1. F = ρ A(V+u)
     2. F = ρ A(V+u)2
     3. F = ρ A(V-u)
     4. F = ρ A(V-u)2

     정답 : []
     정답률 : 34%

30. 다음 소화약제중 ABC급 화재에 모두 적용 가능한 약제는?
     1. KHCO3
     2. NH4H2PO4
     3. NaHCO3
     4. CO(NH2)2 + KHCO3

     정답 : []
     정답률 : 72%

31. 그림에서 A점의 압력 PA와 B점의 압력 PB와의 압력차 (PA - PB)는?

    

     1. 9.4 kPa
     2. 10.4 kPa
     3. 11.4 kPa
     4. 12.4 kPa

     정답 : []
     정답률 : 61%

32. 직접적인 유량 측정장치로 볼 수 없는 항목은?
     1. 로타미터 (rotameter)
     2. 벤튜리미터 (Venturi meter)
     3. 오리피스 (Orifice)
     4. 부르돈관 (Bourdon tube)

     정답 : []
     정답률 : 45%

33. 이상기체가 정적과정에 의해 상태변화를 할 때 두 상태의 관계를 올바르게 표현한 것은?
     1. P1v1=P2v2
     2. T1/v2=T2/v2
     3. T1/P1=T2/P2
     4.

     정답 : []
     정답률 : 19%

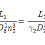
34. 다음 중 레이놀즈수가 아닌 것은 ? (단, V는 속도, L은 길이, D는 지름, ρ는 밀도, γ는 비중량, μ는 점성계수, ν는 동점성 계수, g는 중력가속도를 표시한다.)
     1. ρVD/μ
     2. VD/ν
     3. γVD/gμ
     4. VD/μ

     정답 : []
     정답률 : 36%

35. 표준 대기압에서 80℃의 물을 펌프로 끌어올릴 수 있는 최대 높이는 약 몇 m 인가? (단, 손실은 무시하고 80℃에서 물의 증기압은 47.3 kPa 이라고 가정한다.)
     1. 4.6
     2. 5.5
     3. 5.66
     4. 6.8

     정답 : []
     정답률 : 33%

36. 소화약제의 취급, 시험 및 관리에 대한 설명 중 틀린 것은?
     1. 기계포 소화약제의 보관온도는 10∼35℃ 정도가 적당하다.
     2. 분말소화약제는 저장 중 수분에 의한 응고를 막기 위해 실리콘을 첨가한다.
     3. 포 원액 저장탱크는 직사광선이 쬐는 곳을 피해 설치하는 것이 바람직하다.
     4. 이산화탄소 저장용기는 소화효과를 높일 수 있도록 방호구역내에 설치해야 한다.

     정답 : []
     정답률 : 34%

37. 실제기체가 이상기체의 방정식을 근사적으로 거이 만족시키는 경우인 것은?
     1. 압력과 온도가 높을 때
     2. 온도가 높고 압력이 낮을 때
     3. 온도가 낮고 압력이 높을 때
     4. 압력과 온도가 낮을 때

     정답 : []
     정답률 : 38%

38. 반지름 3 cm, 길이 15 m, 관마찰계수 0.025인 수평원관속을 물이 난류로 흐를 때 관 출구와 입구의 압력차가 9810 Pa 이면 유량은?
     1. 5.0 m3/s
     2. 5.0 L/s
     3. 5.0 cm3/s
     4. 0.5 L/s

     정답 : []
     정답률 : 22%

39. 할로겐화합물 대체소화약제(청정소화약제)의 평가에 대한 설명 중 잘못된 것은?
     1. ODP(오존 파괴지수)는 작든지 O 이어야한다.
     2. GWP(지구 온난화지수)는 작으면 환경요소는 향상된다
     3. NOAEL(심장에 영향을 주는 농도)는 소화농도보다 작아야 한다.
     4. 안정하여 저장시 분해되지 말아야 한다.

     정답 : []
     정답률 : 40%

40. 물이 흐르는 배관 내에 피토(pitot)관을 수은이 든 U자관에 연결하여 전압과 정압을 측정하였더니 85 mm의 액면차가 생겼다. 피토관 위치에 있어서 유속은 몇 m/s 인가? (단, 수은의 비중은 13.6 이다.)

    

     1. 2.34
     2. 3.14
     3. 4.31
     4. 4.58

     정답 : []
     정답률 : 32%

3과목 : 소방관계법규


41. 공동방화관리를 하여야 할 소방대상물로서 고층건축물은?
     1. 지하층을 제외한 층수가 10층이상인 것
     2. 지하층을 포함한 층수가 10층이상인 것
     3. 지하층을 제외한 층수가 11층이상인 것
     4. 지하층을 포함한 층수가 11층이상인 것

     정답 : []
     정답률 : 80%

42. 화재의 원인과 피해의 조사에 관한 시점으로 옳은 것은?
     1. 화재가 진압된 후에 시작한다.
     2. 소화활동과 동시에 시작한다.
     3. 화재의 불씨가 조금 남아 출입이 가능할 때 시작한다.
     4. 소화액 또는 물 등이 건조되었을 때 시작한다.

     정답 : []
     정답률 : 45%

43. 지정수량이상의 위험물을 관할 소방본부장 또는 소방서장에게 신고하고 임시로 저장 또는 취급하는 경우의 기간은 몇 일이내인가?
     1. 60
     2. 90
     3. 120
     4. 180

     정답 : []
     정답률 : 24%

44. 소방력 기준등에서 소방관서의 배치기준과 소방관서가 화재의 예방.경계.진압과 구급.구조업무를 수행하는데 필요한 장비.인력등에 관한 소방력의 기준은 어디에서 정하는가?
     1. 소방본부
     2. 경찰서
     3. 행정자치부령
     4. 대통령령

     정답 : []
     정답률 : 47%

45. 소방시설공사업자는 소방시설의 공사 및 정비를 함에 있어서 누구의 책임하에 시공ㆍ관리를 하여야하는가?
     1. 소방시설관리사
     2. 방화관리자
     3. 소방설비기사
     4. 소방공무원

     정답 : []
     정답률 : 26%

46. 위험물 제조소 등에 설치하는 표지 및 게시판에 관한 규격으로서 적합하지 않은 것은?
     1. 표지의 규격은 가로 0.6m, 세로 0.3m 이상의 것이라야 한다.
     2. 표지의 바탕은 백색으로 하고 문자는 적색으로 할 것
     3. 표지에는 반드시 위험물 제조소라는 뜻을 표시할 것
     4. 게시판의 바탕은 백색, 문자는 흑색으로 할 것

     정답 : []
     정답률 : 48%
     <문제 해설>
바탕은 백색 글자는 흑색
[해설작성자 : 홍장군]

47. 석유판매취급소에 설치할 수 있는 저장시설에 해당되는 것은?
     1. 옥내저장소 및 옥외탱크저장소
     2. 옥외탱크저장소 및 간이탱크저장소
     3. 간이탱크저장소 및 옥내저장소
     4. 옥내탱크저장소 및 지하탱크저장소

     정답 : []
     정답률 : 42%

48. 감독상 필요한 경우에 소방용 기계.기구등의 형식승인, 검정 또는 성능시험을 받은 사람에 대하여 필요한 보고 또는 자료의 제출을 명할 수 있는 사람은?
     1. 소방서장
     2. 시.도지사
     3. 소방본부장
     4. 행정자치부장관

     정답 : []
     정답률 : 23%

49. 주차용건축물로서 물분무등소화설비를 설치하여야 할 소방대상물은 연면적 몇 m2 이상인 것인가?
     1. 200
     2. 400
     3. 600
     4. 800

     정답 : []
     정답률 : 20%

50. 소방용수시설로 이용되는 소화수조 및 저수조의 저수량은 도시계획법에 의한 상업지역 및 공업지역에 있어서는 몇 m3 이상이어야 하는가?
     1. 50
     2. 100
     3. 150
     4. 200

     정답 : []
     정답률 : 47%

51. 과태료의 부과대상이 아닌 경우는?
     1. 행정기관이나 관계인에게 화재를 허위로 알린 경우
     2. 방화관리자의 선임과 해임신고를 게을리 한 경우
     3. 소방검사를 거부, 방해 또는 기피한 경우
     4. 소방용수, 소화기구 그밖의 소방상 필요한 설비의 설치명령을 위반한 경우

     정답 : []
     정답률 : 31%

52. 건축물, 차량, 선박, 선거, 산림 그 밖의 공작물 또는 물건을 무엇이라 하는가?
     1. 소방대상물
     2. 소방시설
     3. 소방설비
     4. 소방장치

     정답 : []
     정답률 : 91%

53. 가연성고체에 해당되는 위험물은?
     1. 칼륨
     2. 나트륨
     3. 마그네슘
     4. 알킬리튬

     정답 : []
     정답률 : 50%

54. 소방시설관리사 자격의 결격사유가 아닌것은?
     1. 금치산 선고를 받은자
     2. 한정치산 선고를 받은자
     3. 파산자로 복권된자
     4. 형의 집행유예를 받고 그 기간중에 있는자

     정답 : []
     정답률 : 72%

55. 위험물의 운반시 용기.적재방법 및 운반방법에 관하여는 화재 등의 위해예방과 응급조치상의 중요성을 감안하여 누가 정하는 중요기준 및 세부기준에 따라야 하는가?
     1. 소방서장
     2. 경찰서장
     3. 대통령령
     4. 행정자치부령

     정답 : []
     정답률 : 52%

56. 옥외탱크저장소의 탱크는 틈이 없도록 제작되어야 하며, 강철판의 두께가 몇 mm 이상이어야 하는가?
     1. 2.5
     2. 2.8
     3. 3.2
     4. 4.0

     정답 : []
     정답률 : 43%

57. 방염성능의 기준은 물품에 따라 버너의 불꽃을 제거한 때 부터 불꽃을 올리며 연소하는 상태가 그칠때까지의 시간이 몇초 이내로 정하여 고시하는가?
     1. 5
     2. 10
     3. 15
     4. 20

     정답 : []
     정답률 : 37%

58. 1급방화관리자로 선임될 수 없는 사람은?
     1. 소방공무원으로서 5년이상 근무경력이 있는 사람
     2. 기계기사의 자격이 있는 사람으로 3년이상 방화관리에 관한 실무경력이 있는사람
     3. 산업안전기사의 자격이 있는 사람으로 2년이상 방화관리에 관한 실무경력이 있는사람
     4. 소방시설관리사.소방설비기사 또는 소방설비산업기사 자격을 가진사람

     정답 : []
     정답률 : 53%

59. 소화활동 등에 관한 사항으로 옳지 않은 것은?
     1. 화재를 발견한 사람은 지체없이 소방서 등 또는 관계인에게 알려야 한다.
     2. 화재가 발생한 때에는 그 소방대상물의 관계자는 급히 대피하여 화재의 연소상태를 살펴야 한다.
     3. 소방대는 화재현장에 출동하기 위하여 긴급한 때에는 일반교통에 사용되지 않는 도로나 빈터 또는 물위를 통행할 수 있다.
     4. 소방자동차가 화재의 현장으로 출동할 때에는 모든 차와 사람은 통로를 양보하여야 한다.

     정답 : []
     정답률 : 68%

60. 소방시설중 "소화활동설비"로만 구성된 것은?
     1. 제연설비, 비상콘센트설비
     2. 비상조명등, 연결송수관설비
     3. 옥외소화전설비, 무선통신보조설비
     4. 연결살수설비, 스프링클러설비

     정답 : []
     정답률 : 53%

61. 다음 사항 중 완강기에 표시하지 않아도 되는 사항은 어느 것인가?
     1. 종별, 형식
     2. 길이
     3. 무게
     4. 최대 사용자수

     정답 : []
     정답률 : 13%

62. 백화점에 스프링클러 설비로서 각층에 폐쇄형 헤드를 150개씩 설치하였다. 수원의 용량은 얼마 이상 필요한가?
     1. 16m3
     2. 32m3
     3. 48m3
     4. 64m3

     정답 : []
     정답률 : 40%

63. 포 소화설비에서 25% 환원시간을 알기 위하여 포시험량200g 체취하여 다음과 같은 배액량의 값을 얻었다. 25% 환원시간은 몇 분인가? (단, 1g은 1[ml]로 환산한다.)

    

     1. 1.25분
     2. 1.5분
     3. 2분
     4. 2.5분

     정답 : []
     정답률 : 32%

64. 이산화탄소 소화설비에서 다음의 방호 대상물 중 가연성액체 또는 가연성 가스의 소화에 필요한 설계농도가 가장 높은 것은?
     1. 에틸 알콜
     2. 에탄
     3. 프로판
     4. 부타디엔

     정답 : []
     정답률 : 15%

65. 할로겐화합물 소화설비의 특징으로 적당하지 않은 것은?
     1. 오존층을 보호하여 준다.
     2. 연소억제 작용이 크며, 소화능력이 크다.
     3. 금속에 대한 부식성이 적다.
     4. 변질, 분해등이 적다.

     정답 : []
     정답률 : 71%

66. 수동식 소화기구는 각층마다 설치하되 소방대상물의 각 부분으로부터 1개의 수동식 소화기구까지의 거리로 맞는것은?
     1. 소형수동식 소화기 - 수평거리 20m이내
     2. 소형수동식 소화기 - 보행거리 30m이내
     3. 대형수동식 소화기 - 수평거리 20m이내
     4. 대형수동식 소화기 - 보행거리 30m이내

     정답 : []
     정답률 : 34%

67. 주차장에 물분무소화설비를 설치한 경우 차량이 주차하는 바닥의 배수구를 향한 기울기로 올바른 것은?
     1. 50분의 1 이상
     2. 100분의 1 이상
     3. 150분의 1 이상
     4. 200분의 1 이상

     정답 : []
     정답률 : 28%

68. 스프링클러 설비 배관 중 교차배관에서 분기되는 지점을 기점으로 한쪽 가지배관에서 스프링클러 헤드를 최대 몇 개(반자아래의 헤드갯수)까지 설치할 수 있는가?
     1. 6개
     2. 8개
     3. 10개
     4. 12개

     정답 : []
     정답률 : 53%

69. 연결살수 설비에 있어 하나의 송수구역에 설치하는 개방형 살수헤드는 몇 개 이하이어야 하는가?
     1. 10개
     2. 20개
     3. 30개
     4. 40개

     정답 : []
     정답률 : 70%

70. 특별피난계단 부속실의 과압방지장치로 플랩 밸브를 설치할 경우 날개의 면적은 얼마 이상으로 하여야 하는가? (단, 제연구역에 대한 보충량은 1,200 m3/h이다.)
     1. 0.06m2
     2. 0.07m2
     3. 0.08m2
     4. 0.09m2

     정답 : []
     정답률 : 53%

71. 옥내 소화전 설비의 기동장치에 대해서 설명한 것중 가장 적합한 것은?
     1. 원격 조작식의 전원은 소화설비 전용 전원 이외에서 끄는 것이 좋다.
     2. 원격 조작식의 기동장치는 옥내 소화전의 누름단추를 누름으로서 가압 송수장치를 전기적으로 기동시키는 방식이다.
     3. 기동장치는 전화연락을 받은 수위실의 펌프 계원에 의해 기동시키는 것이다.
     4. 자동식의 기동장치는 건식의 옥내소화전 설비에만 사용되는 것이다.

     정답 : []
     정답률 : 67%

72. 소화용수설비의 깊이가 지면에서 얼마 이상이면 가압송수장치를 설치하여야 하는가?
     1. 3.2m
     2. 4.5m
     3. 5.5m
     4. 10m

     정답 : []
     정답률 : 60%

73. 다음은 옥내소화전 방수구에 대하여 설명한 것이다. 옳은 것은?
     1. 소방대상물의 각 부분으로부터 하나의 옥내 소화전방구구까지의 수평거리가 40m 이하일 것
     2. 바닥으로부터의 높이가 1.8m 이하일 것
     3. 방수구의 구경은 40mm이하일 것
     4. 소방대상물의 각 층마다 설치할 것

     정답 : []
     정답률 : 50%

74. 연결 송수관 설비에서 가압송수장치를 설치하여야 하는 소방대상물의 높이는?
     1. 40m
     2. 55m
     3. 70m
     4. 100m

     정답 : []
     정답률 : 50%

75. 차고 또는 주차장에 설치하는 분말 소화설비에 사용되는 소화약제는 어느 것인가?
     1. 제 3종 분말
     2. 제 2종 분말
     3. 제 1종 분말
     4. 제 4종 분말

     정답 : []
     정답률 : 60%

76. 다음 중 옥외소화전설비에서의 설치기준이 맞는 것은?
     1. 수원의 저수량은 옥외소화전의 설치개수(2개 이상 설치된 경우에는 2개)에 7m3를 곱한 양 이상이 되도록 한다.
     2. 옥외소화전을 동시에 사용할 경우 각 소화전의 노즐선단에서 방수압력은 1.7kgf/cm2이다.
     3. 옥외소화전을 동시에 사용할 경우 각 소화전의 노즐선단에서 방수량은 250ℓ /min이다.
     4. 호스는 구경 50mm의 것으로 한다.

     정답 : []
     정답률 : 42%

77. 포 소화설비의 자동기동장치에 사용되는 감지기와 폐쇄형스프링클러 헤드에 대한 내용 중 잘못된 것은?
     1. 감지기는 열 및 연기에 의하여 감지되는 것을 사용한다.
     2. 스프링클러 헤드는 표시온도가 79[℃] 미만인 것을 사용한다.
     3. 1개의 스프링클러 헤드의 경계면적은 20m2 이하로 한다.
     4. 스프링클러 헤드의 부착면 높이는 바닥으로 부터 5[m] 이하이어야 한다.

     정답 : []
     정답률 : 17%

78. 스프링클러설비 형식 중 개방형 헤드를 사용하는 설비는?
     1. 습식
     2. 건식
     3. 일제 살수식
     4. 준비 작동식

     정답 : []
     정답률 : 56%

79. 일반적인 산알카리 소화기의 약제방출 압력원에 대한 설명으로 옳은 것은?
     1. 산과 알카리의 화학반응에 의해 생성된 CO2의 압력이다.
     2. 소화기 내부의 압축 질소가스 압력이다.
     3. 소화기 내부의 이산화탄소 충전압력이다.
     4. 수동펌프를 주로 이용하고 있다.

     정답 : []
     정답률 : 53%

80. Stack effect에 대한 설명 중 옳은 것은?
     1. 화재시 연기의 건물내부 이동에 큰 영향을 미친다.
     2. 일상의 건물 내부의 기류분포를 지배하는 요소는 아니다.
     3. 겨울철에 건물의 고층부에서는 옥외 공기가 개구부를 통해 유입된다.
     4. 공조 닥트 내부에 기체의 이동상태를 결정하는 주요 요소이다.

     정답 : []
     정답률 : 35%


정 답 지

1

2

3

4

5

6

7

8

9

10

11

12

13

14

15

16

17

18

19

20

21

22

23

24

25

26

27

28

29

30

31

32

33

34

35

36

37

38

39

40

41

42

43

44

45

46

47

48

49

50

51

52

53

54

55

56

57

58

59

60

61

62

63

64

65

66

67

68

69

70

71

72

73

74

75

76

77

78

79

80

소방설비산업기사(기계) 필기 기출문제(해설) 및 CBT 2003년08월31일을 이용해 주셔서 감사합니다.
, 필기, 기출문제, 전자문제집, CBT, 온라인, 모의테스트, 모의고사



List of Articles
번호 제목 글쓴이 날짜 조회 수
7406 소방설비산업기사(기계) 필기 기출문제(해설) 및 CBT 2007년03월04일(7744) 좋은아빠되기 2025.10.07 0
7405 소방설비산업기사(기계) 필기 기출문제(해설) 및 CBT 2006년09월10일(7743) 좋은아빠되기 2025.10.07 0
7404 소방설비산업기사(기계) 필기 기출문제(해설) 및 CBT 2006년05월14일(7742) 좋은아빠되기 2025.10.07 0
7403 소방설비산업기사(기계) 필기 기출문제(해설) 및 CBT 2006년03월05일(7741) 좋은아빠되기 2025.10.07 0
7402 소방설비산업기사(기계) 필기 기출문제(해설) 및 CBT 2005년09월04일(7740) 좋은아빠되기 2025.10.07 0
7401 소방설비산업기사(기계) 필기 기출문제(해설) 및 CBT 2005년05월29일(7739) 좋은아빠되기 2025.10.07 0
7400 소방설비산업기사(기계) 필기 기출문제(해설) 및 CBT 2005년03월06일(7738) 좋은아빠되기 2025.10.07 0
7399 소방설비산업기사(기계) 필기 기출문제(해설) 및 CBT 2004년09월05일(7737) 좋은아빠되기 2025.10.07 0
7398 소방설비산업기사(기계) 필기 기출문제(해설) 및 CBT 2004년05월23일(7736) 좋은아빠되기 2025.10.07 0
7397 소방설비산업기사(기계) 필기 기출문제(해설) 및 CBT 2004년03월07일(7735) 좋은아빠되기 2025.10.07 0
» 소방설비산업기사(기계) 필기 기출문제(해설) 및 CBT 2003년08월31일(7734) 좋은아빠되기 2025.10.07 0
7395 소방설비산업기사(기계) 필기 기출문제(해설) 및 CBT 2003년05월25일(7733) 좋은아빠되기 2025.10.07 0
7394 소방설비산업기사(기계) 필기 기출문제(해설) 및 CBT 2003년03월16일(7732) 좋은아빠되기 2025.10.07 0
7393 소방설비산업기사(기계) 필기 기출문제(해설) 및 CBT 2002년09월09일(7731) 좋은아빠되기 2025.10.07 0
7392 소방설비산업기사(기계) 필기 기출문제(해설) 및 CBT 2002년05월26일(7730) 좋은아빠되기 2025.10.07 0
7391 소방설비산업기사(기계) 필기 기출문제(해설) 및 CBT 2002년03월10일(7729) 좋은아빠되기 2025.10.07 0
7390 소방설비산업기사(전기) 필기 기출문제(해설) 및 CBT 2018년04월28일(7728) 좋은아빠되기 2025.10.07 0
7389 소방설비산업기사(전기) 필기 기출문제(해설) 및 CBT 2018년03월04일(7727) 좋은아빠되기 2025.10.07 0
7388 소방설비산업기사(전기) 필기 기출문제(해설) 및 CBT 2017년09월23일(7726) 좋은아빠되기 2025.10.07 0
7387 소방설비산업기사(전기) 필기 기출문제(해설) 및 CBT 2017년05월07일(7725) 좋은아빠되기 2025.10.07 0
Board Pagination Prev 1 ... 307 308 309 310 311 312 313 314 315 316 ... 682 Next
/ 682