자격증 필기 기출문제



소방설비산업기사(기계) 필기 기출문제(해설) 및 CBT 2008년05월11일(7748)

최강 자격증 기출문제 전자문제집 CBT : www.comcbt.com


전자문제집 CBT란?

종이 문제집이 아닌 인터넷으로 문제를 풀고 자동으로 채점하며 모의고사, 오답 노트, 해설까지 제공하는
무료 기출문제 학습 프로그램으로 실제 상설검정에서 사용하는 OMR 형식의 CBT를 제공합니다.


최신 소방설비산업기사(기계) 필기 기출문제 : [다운로드]

1과목 : 소방원론


1. 다음 중 증기압의 단위가 아닌 것은?
     1. mmHg
     2. kPa
     3. N/cm2
     4. cal/℃

     정답 : []
     정답률 : 83%

2. 화재로 인하여 산소가 부족한 건물 내에 산소가 새로 유입된 대에는 고열가스의 폭발 또는 급속한 연소가 발생하는데 이 현상을 무엇이라고 하는가?
     1. 후래쉬 오버(Flash over)
     2. 보일 오버(Boil over)
     3. 백 드래프트(Back draft)
     4. 백 화이어(Back fire)

     정답 : []
     정답률 : 78%

3. 제3종 분말소화약제의 주성분은?
     1. 탄산수소나트륨
     2. 제1인산암모늄
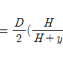
     3. 탄산수소칼륨
     4. 탄산수소칼륨과 요소

     정답 : []
     정답률 : 83%

4. 자연발화를 방지하는 방법으로 틀린 것은?
     1. 습도가 높은 곳을 피한다.
     2. 저장실의 온도를 높인다.
     3. 통풍을 잘 시킨다.
     4. 열이 쌓이지 않게 퇴적방법에 주의한다.

     정답 : []
     정답률 : 49%

5. 화재시 발생할 수 있는 유해한 가스로 혈액 중의 산소 운반 물질인 헤모글로빈과 결합하여 헤모글로빈에 의한 산소 운반을 방해하는 작용을 하는 것은?
     1. CO
     2. CO2
     3. H2
     4. H2O

     정답 : []
     정답률 : 87%

6. 다음 중 유도등의 종류가 아닌 것은?
     1. 객석유도등
     2. 무대유도등
     3. 피난구유도등
     4. 통로유도등

     정답 : []
     정답률 : 43%

7. 건축물으 주요 구조부에 해당하는 것은?
     1. 작은 보
     2. 옥외 계단
     3. 지붕틀
     4. 최하층 바닥

     정답 : []
     정답률 : 71%

8. 위험물안전관리법상 제1류 위험물의 성질을 옳게 나타낸 것은?
     1. 가연성 고체
     2. 산화성 고체
     3. 인화성 액체
     4. 자연발화성 물질

     정답 : []
     정답률 : 79%

9. 질소가 가연물이 될 수 없는 이유를 가장 옳게 설명한 것은?
     1. 흡열 반응을 하기 때문에
     2. 연소시 화염이 없기 때문에
     3. 산소와 반응성이 대단히 적기 때문에
     4. 발열 반응을 하기 때문에

     정답 : []
     정답률 : 67%

10. 고체의 일반적인 연소 형태에 해당하지 않는 것은?
     1. 표면연소
     2. 분해연소
     3. 증발연소
     4. 확산연소

     정답 : []
     정답률 : 62%
     <문제 해설>
확산연소는 기체의 연소형태이디.
[해설작성자 : 양림간토박이]

11. 다음 중 자체에 산소를 포함하고 있어서 자기연소가 가능한 물질은?
     1. 니트로글리세린
     2. 금속칼륨
     3. 금속나트륨
     4. 황린

     정답 : []
     정답률 : 72%
     <문제 해설>
정답 말고 나머지는 전부 3류 위험물
[해설작성자 : 양림간토박이]

12. 연소범위에 대한 다음 설명 중 틀린 것은?
     1. 연소범위에는 상한값과 하한값이 있다.
     2. 온도가 올라가면 연소범위는 넓어진다.
     3. 연소범위가 좁을수록 폭발의 위험이 크다.
     4. 연소범위는 압력의 영향을 받는다.

     정답 : []
     정답률 : 56%

13. 가연물질의 조건으로 옳지 않은 것은?
     1. 산화되기 쉬워야 한다.
     2. 연소반응을 일으키는 활성화에너지가 커야 한다.
     3. 열의 축적이 용이하여야 한다.
     4. 산소와의 친화력이 커야 한다.

     정답 : []
     정답률 : 78%
     <문제 해설>
활성에너지 란 초기 연소를 할때 필요한 열인데. 작아야 연소가 잘 된다.
[해설작성자 : 양림간토박이]

14. 칼륨과 같은 금속분말 화재시 주수소화가 부적당한 가장 큰 이유는?
     1. 수소가 발생되기 때문
     2. 유독가스가 발생되기 때문
     3. 산소가 발생되기 때문
     4. 금속이 부식되기 때문

     정답 : []
     정답률 : 80%

15. CO2 소화기가 갖는 주된 소화 효과는?
     1. 냉각소화
     2. 질식소화
     3. 연료제거소화
     4. 연쇄반응차단소화

     정답 : []
     정답률 : 84%

16. 다음 중 소화의 원리에서 소화형태로 볼 수 없는 것은?
     1. 발열소화
     2. 질식소화
     3. 희석소화
     4. 제거소화

     정답 : []
     정답률 : 79%

17. 정전기 화재사고의 예방대책으로 옳지 않은 것은?
     1. 제전기를 설치한다.
     2. 공기를 되도록 건조하게 유지시킨다.
     3. 접지를 한다.
     4. 공기를 이온화한다.

     정답 : []
     정답률 : 55%

18. 제3류 위험물인 나트륨 화재시의 소화방법으로 가장 적합한 것은?
     1. 이산화탄소 소화약제를 분사한다.
     2. 건조사를 뿌린다.
     3. 하론 1301을 분사한다.
     4. 물을 뿌린다.

     정답 : []
     정답률 : 48%

19. 다음 중 연소의 3요소라고 할 수 있는 것은?
     1. 공기, 연료, 바람
     2. 연료, 산소, 열
     3. 마찰, 수분, 열
     4. 열, 산소, 공기

     정답 : []
     정답률 : 68%

20. 화재의 분류에서 다음 중 A급 화재에 속하는 것은?
     1. 유류
     2. 목재
     3. 전기
     4. 가스

     정답 : []
     정답률 : 88%

2과목 : 소방유체역학


21. 내경 20cm인 배관에 매분 5.4m3의 물이 흐르고 있을 때 유속은 약 몇 m/s 인가?
     1. 2.08
     2. 2.86
     3. 3.52
     4. 5.05

     정답 : []
     정답률 : 65%

22. 안지름 10cm인 곧고 긴 수평 파이프 내를 평균유속 5m/s로 물이 흐르고 있다. 길이 10m 사이에서 나타나는 손실 수두는 약 몇 m인가? (단, 관마찰계수는 0.013이다.)
     1. 0.17
     2. 1.66
     3. 1.8
     4. 1.89

     정답 : []
     정답률 : 59%

23. 일차원 유동에서의 연속방정식(Continuity Equation)에 해당하는 것은?
     1. PV=nRT
     2. ρ1A1V12A2V2
     3.
     4.

     정답 : []
     정답률 : 60%

24. 다음 중 이상유체의 정의를 옳게 설명한 것은?
     1. 압축을 가하면 체적이 수축하고 압력을 제거하면 처음 체적으로 되돌아가는 유체
     2. 유체유동시 마찰 전단응력이 발생하지 않으며 압력변화에 따른 체적변화가 없는 유체
     3. 뉴턴의 점성법칙을 만족하는 유체
     4. 오염되지 않은 순수한 유체

     정답 : []
     정답률 : 47%

25. 유량계수가 0.94인 방수노즐로부터 방수압력(계기압력) 255kPa로 물을 방사할 때 방수량을 측정하였더니 매분 0.1m3이었다면 사용한 노즐의구경은 약 몇 mm 인가?
     1. 10
     2. 12
     3. 14
     4. 16

     정답 : []
     정답률 : 25%

26. 밴튜리 미터에 물이 흐르고 있다. 입구(직경 10cm)와 목부분(직경 4cm)에 수은이 채워진 U 자관으로 특정하니 수은주의 높이 차이가 8cm 이었다. 유량계수가 0.65 일 때 유량은 몇 m3/s 인가?
     1. 0.00077
     2. 0.00093
     3. 0.00127
     4. 0.00367

     정답 : []
     정답률 : 13%

27. 이상기체의 정압비열(Cp), 정적비열(Cv), 비열비(k), 기체상수(R)의 관계 중 틀린 표현은?
     1.
     2.
     3.
     4.

     정답 : []
     정답률 : 47%

28. 다음 분말 소화약제의 주성분 중에서 A, B, C급 화재 모두에 적응성이 있는 것은?
     1. KHCO3
     2. NaHCO3
     3. Al2(SO4)3
     4. NH4H2PO4

     정답 : []
     정답률 : 77%

29. 소화약제의 특성에 관한 설명 중 옳은 것은?
     1. 분말 소화약제는 입도가 클수록 소화효과가 증대된다.
     2. 베1종 분말 소화약제는 백색으로 착색되어 있다.
     3. 이산화탄소의 3중점은 31℃ 이다.
     4. 하론 소화약제 중 하론 2402가 가장 독성이 약하다.

     정답 : []
     정답률 : 63%

30. 그림과 같은 작동 유체가 물인 수압기에서 정적 평형을 이루고자 할 때 A 부분에 다해야 하는 하중의 크기는 약 몇 N 인가?

    

     1. 284
     2. 314
     3. 362
     4. 1323

     정답 : []
     정답률 : 34%

31. 그림에서 A점의 압력 PA와 압력 PB와의 압력차 (PA-PB)는 약 몇 kPa인가?

    

     1. 9.4
     2. 10.4
     3. 11.4
     4. 12.4

     정답 : []
     정답률 : 52%

32. 동점성계수가 6×10-5m2/s 인 유체가 0.4m3/s의 유량으로 원관에 흐르고 있다. 하임계 레이놀즈수가 2100일 때 층류로 흐를 수 있는 관의 최소 지름은 몇 m 인가?
     1. 1.01
     2. 2.02
     3. 4.05
     4. 6.06

     정답 : []
     정답률 : 63%

33. 다음 중 오존츤 파괴 효과가 없는(ODP=0) 소화약제는?
     1. Halon 1301
     2. HFC-227ea
     3. HCFC BLEND A
     4. Halon 1211

     정답 : []
     정답률 : 41%

34. 펌프의 흡입 이론에서 볼 때 대기압이 100kPa인 곳에서 펌프의 흡입 배관으로 물을 흡수할 수 있는 이론 최대 높이는 약 몇 m인가?
     1. 5
     2. 10
     3. 14
     4. 98

     정답 : []
     정답률 : 49%

35. 관속을 물이 유속 10m/s로 유동한다. 관경의 변호로 유속이 5m/s로 변화되었다면 압력 수두는? (단, 유동 마찰손실은 무시하고 위치에너지는 동일한 것으로 한다.)
     1. 약 3.82m 증가
     2. 약 3.44m 증가
     3. 약 2.78m 증가
     4. 약 2.38m 증가

     정답 : []
     정답률 : 18%

36. 어떤 이상기체가 체적 V1, 압력 P1으로부터 체적 V2, 압력 P2가지 등온팽창하였다. 이 과정 중에 일어난 내부 에너지의 변화량 ⊿U=U2-U1과 엔탈피의 변화량 ⊿H=H2-H1을 맞게 나타낸 관계식은?
     1. ⊿U>0, ⊿H<0
     2. ⊿U<0, ⊿H>0
     3. ⊿U>0, ⊿H>0
     4. ⊿U=0, ⊿H=0

     정답 : []
     정답률 : 43%

37. 청정 소화약제 저장 용기의 설치 장소에 대한 설명으로 틀린 것은?
     1. 온도가 70℃ 이하이고 온도변화가 작은 곳에 설치할 것
     2. 직사광선 및 빗물 침투 우려가 없는 곳에 설치할 것
     3. 방화문으로 구획된 실에 설치 할 것
     4. 방호구역외의 장소에 설치할 것

     정답 : []
     정답률 : 42%

38. 다음 중 등엔트로피 과정은?
     1. 가역압축 과정
     2. 가역등온 과정
     3. 가역등온압축 과정
     4. 가역단열 과정

     정답 : []
     정답률 : 41%

39. 계기압력이 1.2MPa이고 대기압이 96kPa일 때 절대압력은 몇 kPa 인가?
     1. 1104
     2. 1200
     3. 1296
     4. 108

     정답 : []
     정답률 : 52%

40. 캐비테이션(공동 현상)의 발생 원인과 관계가 먼 것은?
     1. 펌프의 설치위치가 물 탱크보다 높을 때
     2. 관내의 유체가 고온일 때
     3. 펌프의 임펠러 속도가 클 때
     4. 펌프의 흡입측 수두가 작을 때

     정답 : []
     정답률 : 35%

3과목 : 소방관계법규


41. 다음 중 화재 또는 구조ㆍ구급이 필요한 상황을 허위로 알린 자에게 부과하는 과태료액의 기준으로 알맞은 것은?
     1. 50만원
     2. 100만원
     3. 150만원
     4. 200만원

     정답 : []
     정답률 : 20%

42. 다음 중 피난층에 대한 설명으로 가장 알맞은 것은?
     1. 건축물의 1층
     2. 건축물의 옥상
     3. 옥상으로 직접 피난할 수 있는 층
     4. 곧바로 지상으로 갈 수 있는 출입구가 있는 층

     정답 : []
     정답률 : 69%

43. 자동호재탐지설비를 설치하여야 하는 건축물의 기준으로 옳지 않은 것은?
     1. 연면적 600m2 이상인 숙박시설
     2. 연면적 1000m2 이상인 공동주택
     3. 연면적 2000m2 이상인 동식물관련시설
     4. 연면적 1500m2 이상인 교육연구시설

     정답 : []
     정답률 : 33%
     <문제 해설>
2000이상인 교육연구시설
[해설작성자 : 양림간토박이]

44. 다음 중 방염성능이 있어야 할 물품에 속하지 않는 것은?
     1. 창문ㅇ 설치하는 커텐류(브라인드를 포함한다.)
     2. 무대용 합판 또는 섬유판
     3. 전시용 합판 또는 섬유판
     4. 냉장고

     정답 : []
     정답률 : 69%

45. 특수가연물의 품명과 수량기준이 바르게 짝지어진 것은?
     1. 면화류 - 200kg 이상
     2. 대팻밥 - 300kg 이상
     3. 가연성고체류 - 1000kg 이상
     4. 발포시킨 합성수지류 - 10m3 이상

     정답 : []
     정답률 : 60%
     <문제 해설>
면화류    200kg이상
나무껍질 및 대팻밥    400kg이상
넝마 및 종이부스러기 사류 볏짚류    1000kg이상
가연성고체류    3000kg이상
석탄 목탄류    10000kg이상
가연성액체류    2m3이상
목재가공품 및 나무부스러기    10m3이상
합성수지류 발포시킨것 20m3이상 그밖의 것 3000kg 이상
[해설작성자 : .소방 합격.]

46. 특정소방대상물의 관계인이 작동기능점검을 실시한 때 그 점검결과의 처리방법으로 가장 알맞은 것은?
     1. 30일 이내 소방본부장에게 제출한다.
     2. 30일 인 소방서장에게 제출한다.
     3. 1년 이내 시ㆍ도지사에게 제출한다.
     4. 2년간 자체보관 한다.

     정답 : []
     정답률 : 72%
     <문제 해설>
종합검사는 30일 이내에 제출한다
[해설작성자 : 양림간토박이]

47. 다음 중 화재예방ㆍ소방활동 또는 소방훈련을 위하여 사용되는 소방신호에 포함되지 않는 것은?
     1. 경계신호
     2. 발화신호
     3. 대피신호
     4. 해제신호

     정답 : []
     정답률 : 53%

48. 다음 중 화재경계지구의 지정 등에 관한 설명으로 적절하지 않은 것은?
     1. 화재경계지구는 소방본부장 또는 소방서장이 지정한다.
     2. 화재가 발생우려가 높거나 화재가 발생하는 경우 그로 인하여 피해가 클 것으로 예산되는 지역을 지정한다.
     3. 소방본부장은 화재의 예방과 경계를 위하여 필요하다고 인정하는 때에는 관계인에 대하여 소방용수시설 또는 소화기구의 설치를 명할 수 있다.
     4. 소방서장은 화재경계지구안의 관계인에 대하여 소방상 필요한 훈련 및 교육을 실시할 수 있다.

     정답 : []
     정답률 : 58%

49. 일반음식점에서 조리를 위해 불을 사용하는 설비를 설치할 때 지켜야 할 사항으로 적절하지 않은 것은?
     1. 주방시설에는 동물 또는 식물의 기름을 제거할 수 있는 필터 등을 설치할 것
     2. 열을 발생하는 조리기구는 반자 또는 선반에서 50cm 이상 떨어지게 할 것
     3. 주방설비에 부속된 배기닥트는 0.5mm 이상의 아연도금 강판ㆍ이와 동등 이상의 내식성 불연재료로 설치할 것
     4. 열을 발생하는 조리기구로부터 15cm 이내의 거리에 있는 가연성 주요구조부는 석면판 또는 단열성이 있는 불연재료로 덮어 씌울 것

     정답 : []
     정답률 : 37%

50. 형식승인을 얻지 아니한 소방용기계ㆍ기구를 소방시설공사에 사용한 때의 벌칙으로 알맞은 것은?(오류 신고가 접수된 문제입니다. 반드시 정답과 해설을 확인하시기 바랍니다.)
     1. 10년 이하의 징역 또는 10000만원 이하의 벌금
     2. 5년 이하의 징역 또는 5000만원 이하의 벌금
     3. 3년 이하의 징역 또는 1500만원 이하의 벌금
     4. 2년 이하의 징역 또는 1000만원 이하의 벌금

     정답 : []
     정답률 : 66%
     <문제 해설>
아래와 같은 오류 신고가 있었습니다.
여러분들의 많은 의견 부탁 드립니다.
추후 여러분들의 의견을 반영하여 정답을 수정하도록 하겠습니다.
참고로 정답 변경은 오류 신고 5회 이상일 경우 수정합니다.

[오류 신고 내용]
3년 이하 3000만원 이하 벌금 아닌가요

[관리자 입니다.
관련 규정등이 변경되었는지 규정집 또는
다른 문제집 확인 가능한분 계시면 확인 부탁 드립니다.
신고시 출판사명까지 기제 부탁 드립니다.]

51. 다음 중 소방시설업에 포함되지 않는 영업은?
     1. 소방시설공사업
     2. 소방시설설계업
     3. 소방시설관리업
     4. 소방시설감리업

     정답 : []
     정답률 : 30%

52. 다음 중 대통령령 또는 화재안전기준의 변경으로 그 기준이 강화된 경우 기존 특정소방대상물에 대하여 강화된 기준을 적용할 수 있는 소방시성의 종류로 알맞은 것은?
     1. 옥내소화전설비
     2. 스프링클러설비
     3. 물분무등소화설비
     4. 자동화재속보설비

     정답 : []
     정답률 : 28%

53. 다음 중 소방기본법상 소방체험관을 설립하여 운영할 수 있는 자로 알맞은 것은?
     1. 문화체육관광부장관
     2. 소방방재청장
     3. 시ㆍ도지사
     4. 소방본부장

     정답 : []
     정답률 : 63%
     <문제 해설>
문제부장관은 박물관 가능
[해설작성자 : 양림간토박이]

54. 전문소방시설공사업의 등록을 하고자 할 때 법인의 자본금의 기준은?
     1. 5천만원 이상
     2. 1억원 이상
     3. 2억원 이상
     4. 3억원 이상

     정답 : []
     정답률 : 82%

55. 소방용수시설인 저수조의 설치기준으로서 알맞은 것은?
     1. 지면으로부터의 낙차가 4.5m 이하일 것
     2. 흡수부분의 수심이 0.5m 이하일 것
     3. 흡수관의 투입구가 사각형의 경우에는 한 변의 길이가 60cm 이하일 것
     4. 저수조에 물을 공급하는 방법은 살수도에 연결하여 수동으로 급수되는 구조일 것

     정답 : []
     정답률 : 63%

56. 소방기본법상 소방용수시설에 포함되지 않는 것은?
     1. 소화전
     2. 급수탑
     3. 저수조
     4. 전용수조

     정답 : []
     정답률 : 52%

57. 다음 중 위험물제조소의 변경허가를 받아야 하는 경우가 아닌 것은?
     1. 제조소의 위치를 이전하는 경우
     2. 안전장치를 신설하는 경우
     3. 지정수량의 배수를 변경하는 경우
     4. 위험물취급탱크의 탱크전용실을 증설하는 경우

     정답 : []
     정답률 : 17%

58. 단독경보형감지기의 설치대상으로 옳지 않은 것은?
     1. 연면적 1000m2 미만인 아파트
     2. 연면적 500m2 미만의 숙박시설
     3. 연면적 2000m2 미만의 교육연구시설 내에 있는 기숙사
     4. 연면적 1000m2 미만의 기숙사

     정답 : []
     정답률 : 59%
     <문제 해설>
숙박시설은 600미만
[해설작성자 : 양림간토박이]

59. 다음 소방시설 중 소화설비에 포함되지 않는 것은?
     1. 연결살수설비
     2. 자동확산소화용구
     3. 옥외소화전설비
     4. 옥내소화전설비

     정답 : []
     정답률 : 23%
     <문제 해설>
연결살수설비는 소화활동설비
[해설작성자 : 양림간토박이]

60. 다음 소방시설 중 하자보수보증기간이 2년이 아닌 것은?
     1. 유도등
     2. 피난기구
     3. 무선통신보조설비
     4. 자동식소화기

     정답 : []
     정답률 : 61%

61. 특별피난계단의 계단실 및 부속실 제연설비에서 유입공기의 배출방식으로 옳지 않은 것은?
     1. 수직 풍도에 따른 배출
     2. 배출구에 따른 배출
     3. 제연설비에 따른 배출
     4. 수평 풍도에 따른 배출

     정답 : []
     정답률 : 54%

62. 다음은 연결상수설비가 설치된 하나의 송수구역에 설치한 헤드수가 12개인 경우 송수구의 설치상태이다. 옳지 않은 것은?
     1. 송수구는 쌍구형으로 설치하였다.
     2. 송수구는 지면으로부터 1.2m 높이에 설치하였다.
     3. 송수구로부터 주배관에 이르는 배관에는 개폐밸브를 설치하지 아니하였다.
     4. 소방자동차의 접근이 가능하고 노출된 장소에 설치하였다.

     정답 : []
     정답률 : 36%
     <문제 해설>
1. 헤드 개수가 10개 이하인 것은 단구형
2. 송수구는 지면으로부터 0.5m 이상 1m 이하의 위치에 설치할 것
[해설작성자 : .소방 합격.]

63. 연결송수관설비 송수구를 건식의 경우에 설치하는 순서로 적당한 것은?
     1. 송수구 → 자동배수밸브 → 체크밸브
     2. 송수구 → 자동배수밸브 → 체크밸브 → 자동배수밸브
     3. 송수구 → 체크밸브 → 자동배수밸브
     4. 송수구 → 자동배수밸브 → 자동배수밸브 → 체크밸브

     정답 : []
     정답률 : 47%

64. 다음 중 옥내 소화전설비의 함에 표시되지 않는 것은?
     1. 옥내 소화전설비의 위치 표시등
     2. 가압송수장치의 시동 표시등
     3. 옥내 소화전설비의 사용요령을 기재한 표지판
     4. 상용전원 또는 비상전원의 확인 표시등

     정답 : []
     정답률 : 40%

65. 대형수동식소화기의 능력단위를 바르게 설명한 것은?
     1. A급 5단위 이상, B 급 10단위 이상
     2. A급 10단위 이상, B 급 15단위 이상
     3. A급 10단위 이상, B 급 20단위 이상
     4. A급 20단위 이상, B 급 30단위 이상

     정답 : []
     정답률 : 78%

66. 옥상에 설치되어 있는 소화설비 전용 물탱크에 수원을 공급하기 위하여 양정 25m, 송출량 30L/s인 소형 급수펌프를 설치하였을 경우 본 급수펌프의 수동력은 약 몇 kW인가? (단, 유체의 밀도는 ρ=998 kg/m3이다.)
     1. 7.34
     2. 8.34
     3. 9.34
     4. 10.34

     정답 : []
     정답률 : 32%

67. 제연설비에 대한 설명으로 맞는 것은?
     1. 배출기의 배출측 풍도안의 충속은 15m/sec 이하로 한다.
     2. 유입풍도안의 풍속은 15m/sec이하로 한다.
     3. 배출기의 흡입측 풍도안의 풍속은 20m/sec이하로 한다.
     4. 예상제연구역에 공기가 유입되는 순간의 풍속은 5m/sec 이하가 되도록 한다.

     정답 : []
     정답률 : 29%

68. 스프링클러 설비에 설치한 물올림 탱크(Priming Tank)에 대한 설명이다. 가장 적합한 것은?
     1. 가압펌프 및 흡입관로 상에 누수가 발생하였을 때 이를 보충하여 주기 위한 설비이다.
     2. 오보(誤報)를 방지하기 위한 설비이다.
     3. 배관내의 급격한 압력상승을 방지하기 위하여 설비의 최상부에 설치하는 설비이다.
     4. 경보 체크밸브(Alarm check Valve)의 누수를 보충하기 위하여 각 경보 체크밸브에 설치하는 설비이다.

     정답 : []
     정답률 : 60%

69. 특수가연물을 저장하는 장소에 포워터 스프링클러 헤드를 사용하여 포 소화설비를 설치하고자 할 때 바닥면적 얼마 이내의 부분에서, 표준방사량으로 몇 분간 동시에 방사할 수 있는 저수량 이상이어야 하는가?
     1. 200m2, 10분
     2. 200m2, 20분
     3. 100m2, 20분
     4. 100m2, 10분

     정답 : []
     정답률 : 33%

70. 옥내소화전설비의 유효수량이 15000ℓ라고 하면 몇 ℓ 이상을 옥상(옥내소화전설비가 설치된 건축물의 주된 옥상을 말한다.)에 설치하여야 하는가?
     1. 5000이상
     2. 7500이상
     3. 10000이상
     4. 12500이상

     정답 : []
     정답률 : 48%

71. 급기가압방식 제연설비에 사용되는 플랩댐퍼의 기능은 무엇인가?
     1. 제연공간의 과도한 압력을 외부로 방출하는 장치이다.
     2. 제연덕트내에 설치되어 화재시 자동으로 폐쇄 또는 개방되는 장치이다.
     3. 급기가압 공간의 제연량을 자동으로 조절하는 장치이다.
     4. 제연구역과 화재구역 사이의 연결을 자동으로 차단 할 수 있는 댐퍼이다.

     정답 : []
     정답률 : 20%

72. 국소방출 방식에서 이산화탄소 소화약제는 몇 초 이내에 방사할 수 있어야 하는가?
     1. 15초
     2. 20초
     3. 25초
     4. 30초

     정답 : []
     정답률 : 53%

73. 옥외 소화전 설비의 설치, 유지에 관한 기술상의 기준 중 잘못된 것은?
     1. 소화전 함에는 그 표면에 호스격납함 이라고 표시한다.
     2. 소화전 함은 옥외소화전마다 그로부터 5m 이내의 장소에 설치한다.
     3. 가압송수장치의 시동을 표시하는 표시등은 적색으로 하고, 소화전함 상부 또는 그 직근에 설치한다.
     4. 가압송수장치는 점검에 편리하고 화재 등에 의해 피해를 받을 우려가 없는 장소에 설치한다.

     정답 : []
     정답률 : 41%
     <문제 해설>
옥외소화전함이라고 표시한다.
[해설작성자 : 양림간토박이]

74. 스프링클러 설비에서 가압 송수장치의 펌프가 작동하고 있으나 헤드에서 물이 방출되지 않는 경우의 원인으로서 관계가 적은 것은?
     1. 헤드가 막혀있다.
     2. 배관이 막혀있다.
     3. 제어밸브 및 자동밸브가 열리지 않는다.
     4. 전기계통의 접속불량이 있다.

     정답 : []
     정답률 : 53%

75. 다음 청정 소화약제 중 기본성분이 다른 하나는?
     1. HCFC BLEND A
     2. HFC-125
     3. HFC-227ea
     4. IG-541

     정답 : []
     정답률 : 77%

76. 호스릴분말소화설비는 방호대상물의 각 부분으로부터 하나의 호스 접결구까지의 수평거리가 몇 m 이하가 되도록 하여야 하는가?
     1. 10
     2. 15
     3. 20
     4. 25

     정답 : []
     정답률 : 48%

77. 다음은 옥내소화전 방수구에 대하여 설명한 것이다. 옳은 것은?
     1. 소방재상물의 각 부분으로부터 하나의 옥내소화전방수구까지의 수평거리가 40m 이하 일 것
     2. 바닥으로부터의 높이가 1.8m 이하 일 것
     3. 호스는 구경 40mm 이하 일 것
     4. 소방대상물의 층마다 설치 할 것

     정답 : []
     정답률 : 45%
     <문제 해설>
1. 수평거리 25미터
[해설작성자 : 양림간토박이]

78. 완강기의 속도 조절기에 관한 기술 중 옳지 않은 것은?
     1. 경고하고 내구성이 있어야 한다.
     2. 강하시 발생하는 열에 의해 기능에 이상이 생기지 아니하여야 한다.
     3. 모래 등 이물질이 들어가지 않도록 견고한 커버로 덮어져야 한다.
     4. 평상시에는 분해, 청소 등을 하기 쉽게 만들어져 있어야 한다.

     정답 : []
     정답률 : 56%

79. 청정소화약제의 저장용기에 표시하는 사항이 아닌 것은?
     1. 사용연한
     2. 저장용기의 자체중량과 총중량
     3. 충전일시
     4. 약제명

     정답 : []
     정답률 : 31%
     <문제 해설>
영구적 사용이라서 사용연한이 필요없다.
[해설작성자 : 양림간토박이]

80. 다음 중 물분무소화설비의 헤드 기능에 대한 설명으로 가장 적합한 것은?
     1. 모두 열에 의해 동작하고 경보를 발하는 것이다.
     2. 모두 파열되고 동작하는 것이다.
     3. 일정한 조건 밑에서 일정한 방사량 및 방사각도를 나타내는 기능이 있다.
     4. 방사압력이 자동조정되어 방출량이 항상 일정하다.

     정답 : []
     정답률 : 43%


정 답 지

1

2

3

4

5

6

7

8

9

10

11

12

13

14

15

16

17

18

19

20

21

22

23

24

25

26

27

28

29

30

31

32

33

34

35

36

37

38

39

40

41

42

43

44

45

46

47

48

49

50

51

52

53

54

55

56

57

58

59

60

61

62

63

64

65

66

67

68

69

70

71

72

73

74

75

76

77

78

79

80

소방설비산업기사(기계) 필기 기출문제(해설) 및 CBT 2008년05월11일을 이용해 주셔서 감사합니다.
, 필기, 기출문제, 전자문제집, CBT, 온라인, 모의테스트, 모의고사



List of Articles
번호 제목 글쓴이 날짜 조회 수
7417 소방설비산업기사(기계) 필기 기출문제(해설) 및 CBT 2010년09월05일(7755) 좋은아빠되기 2025.10.07 0
7416 소방설비산업기사(기계) 필기 기출문제(해설) 및 CBT 2010년05월09일(7754) 좋은아빠되기 2025.10.07 0
7415 소방설비산업기사(기계) 필기 기출문제(해설) 및 CBT 2010년03월07일(7753) 좋은아빠되기 2025.10.07 0
7414 소방설비산업기사(기계) 필기 기출문제(해설) 및 CBT 2009년08월30일(7752) 좋은아빠되기 2025.10.07 0
7413 소방설비산업기사(기계) 필기 기출문제(해설) 및 CBT 2009년05월10일(7751) 좋은아빠되기 2025.10.07 0
7412 소방설비산업기사(기계) 필기 기출문제(해설) 및 CBT 2009년03월01일(7750) 좋은아빠되기 2025.10.07 0
7411 소방설비산업기사(기계) 필기 기출문제(해설) 및 CBT 2008년09월07일(7749) 좋은아빠되기 2025.10.07 0
» 소방설비산업기사(기계) 필기 기출문제(해설) 및 CBT 2008년05월11일(7748) 좋은아빠되기 2025.10.07 0
7409 소방설비산업기사(기계) 필기 기출문제(해설) 및 CBT 2008년03월02일(7747) 좋은아빠되기 2025.10.07 0
7408 소방설비산업기사(기계) 필기 기출문제(해설) 및 CBT 2007년09월02일(7746) 좋은아빠되기 2025.10.07 0
7407 소방설비산업기사(기계) 필기 기출문제(해설) 및 CBT 2007년05월13일(7745) 좋은아빠되기 2025.10.07 0
7406 소방설비산업기사(기계) 필기 기출문제(해설) 및 CBT 2007년03월04일(7744) 좋은아빠되기 2025.10.07 0
7405 소방설비산업기사(기계) 필기 기출문제(해설) 및 CBT 2006년09월10일(7743) 좋은아빠되기 2025.10.07 0
7404 소방설비산업기사(기계) 필기 기출문제(해설) 및 CBT 2006년05월14일(7742) 좋은아빠되기 2025.10.07 0
7403 소방설비산업기사(기계) 필기 기출문제(해설) 및 CBT 2006년03월05일(7741) 좋은아빠되기 2025.10.07 0
7402 소방설비산업기사(기계) 필기 기출문제(해설) 및 CBT 2005년09월04일(7740) 좋은아빠되기 2025.10.07 0
7401 소방설비산업기사(기계) 필기 기출문제(해설) 및 CBT 2005년05월29일(7739) 좋은아빠되기 2025.10.07 0
7400 소방설비산업기사(기계) 필기 기출문제(해설) 및 CBT 2005년03월06일(7738) 좋은아빠되기 2025.10.07 0
7399 소방설비산업기사(기계) 필기 기출문제(해설) 및 CBT 2004년09월05일(7737) 좋은아빠되기 2025.10.07 0
7398 소방설비산업기사(기계) 필기 기출문제(해설) 및 CBT 2004년05월23일(7736) 좋은아빠되기 2025.10.07 0
Board Pagination Prev 1 ... 244 245 246 247 248 249 250 251 252 253 ... 619 Next
/ 619