자격증 필기 기출문제



화공기사(구)(구) 필기 기출문제(해설) 및 CBT 2005년05월29일

최강 자격증 기출문제 전자문제집 CBT : www.comcbt.com


전자문제집 CBT란?
종이 문제집이 아닌 인터넷으로 문제를 풀고 자동으로 채점하며 모의고사, 오답 노트, 해설까지 제공하는
무료 기출문제 학습 프로그램으로 실제 상설검정에서 사용하는 OMR 형식의 CBT를 제공합니다.

최신 화공기사(구)(구) 필기 기출문제 : [다운로드]


1과목 : 화공열역학


1. 그림과 같이 계가 일을 할 때 이 계의 수율은 어떻게 나타나는가?

   

     1.
     2.
     3.
     4.

     정답 : []
     정답률 : 67%

2. 다음 T-S선도에서 triple point 에 해당하는 것은?

   

     1.
     2. 점 d
     3. 곡선 bcd
     4. 직선 bde

     정답 : []
     정답률 : 54%

3. 다음 열역학적 사항 중 옳은 것 만으로 나열된 것은?

   

     1. ①, ③
     2. ①, ④
     3. ②, ③
     4. ②, ④

     정답 : []
     정답률 : 15%

4. 32℃의 방에서 운전되는 냉장고를 -12℃로 유지한다. 냉장고로부터 2300cal의 열량을 얻기 위하여 필요한 최소 일 량은 몇 J인가?
     1. 1272
     2. 1443
     3. 1547
     4. 1621

     정답 : []
     정답률 : 10%

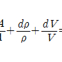
5. 를 T, V 및 Cp 등으로 올바르게 나타낸 것은?
     1.
     2.
     3.
     4.

     정답 : []
     정답률 : 37%

6. methane 70mole%, ethane 20mole%, n-propane 10mole%의 혼합기체가 있다. 이상 혼합물이라 생각하면 혼합물 중 methane의 fugacity는 몇 atm인가? (단, 혼합물과 같은 압력, 같은 온도의 순수한 methane의 fugacity는 19.0atm이다.)
     1. 0.133
     2. 1.33
     3. 13.3
     4. 133

     정답 : []
     정답률 : 67%

7. 카르노 사이클에 의해 527℃와 127℃의 사이에서 작동하는 엔진이 527℃에서 4 kW의 에너지를 받았다면, 127℃에서 얼마의 에너지를 방출하겠는가?
     1. 0.96kW
     2. 1.44kW
     3. 2kW
     4. 2.4kW

     정답 : []
     정답률 : 67%

8. 카르노 사이클(carnot cycle)의 순 일(net work)은? (단, QH:고열원 열량, QL:저열원 열량 )
     1. W=QL-QH
     2.
     3.
     4. W=QH-QL

     정답 : []
     정답률 : 55%

9. PVn=상수인 폴리트로픽 변화(Polytropic change)에서 정용과정(定容過程)인 변화는? (단, n는 정수)
     1. n = 0
     2. n = ±∞
     3. n = 1
     4. n = k

     정답 : []
     정답률 : 59%

10. 열역학 기본관계식 중 엔탈피(H)를 옳게 표현한 식은? (단, U =내부에너지, H =엔탈피, S =엔트로피, P=절대압력, V=부피)
     1. H ≡ U - PV
     2. H ≡ U + TS
     3. H ≡ U + PV
     4. H ≡ U - TS

     정답 : []
     정답률 : 50%

11. 100K에서 1500K사이에서 이상기체의 포화증기압(Psat)이 다음 식으로 주어질 때 이상기체의 Clausius-Clapeyron 식을 이용한 증발잠열(△Hlv)값[J/molㆍK]은? (단, 기체상수 R = 8.314J/molㆍK이며, 동일 온도영역에서 증발잠열값은 일정하다.)

    

     1. -29.1
     2. -20.8
     3. 20.8
     4. 29.1

     정답 : []
     정답률 : 47%

12. 계의 내부에너지가 100Btu감소하여 150Btu의 일이 외부에 전달되었다. 몇 ㎉의 열이 흡수 되었겠는가?
     1. 50㎉
     2. 250㎉
     3. 12.6㎉
     4. 63㎉

     정답 : []
     정답률 : 50%

13. 화학 평형상태에서 CO, CO2, H2, H2O 및 CH4로 구성되는 기상계에서 자유도는?
     1. 3
     2. 4
     3. 5
     4. 6

     정답 : []
     정답률 : 29%

14. 어떤 열역학적계의 변화를 다음의 T-S선도에 나타내었다. 어떤 과정으로 변화 하였는가?

    

     1. 정온과정
     2. 정용과정
     3. 정압과정
     4. 단열과정

     정답 : []
     정답률 : 50%

15. 총 Gibbs 자유에너지가 다음과 같이 표시되는 유체가 있다. 저온에서 이 유체는 2개의 상으로 나누어지나 일정온도 이상에서는 단일상을 유지한다. 조성에 상관없이 상분리가 일어날 수 있는 최대온도는?
     1.
     2.
     3. Tmax=0
     4.

     정답 : []
     정답률 : 50%

16. 어느 발명가가 열원으로부터 20kJ의 열을 받아 21kJ의 일을 생산해낼 수 있는 열엔진을 발명해냈다고 주장할 때 다음의 이 열엔진에 대한 설명으로 가장 올바른 것은?
     1. 이 열엔진은 열역학 제1법칙에 위배된다.
     2. 이 열엔진은 열역학 제2 법칙에 위배된다.
     3. 이 열엔진은 열역학 제1법칙과 제2법칙에 모두 위배된다.
     4. 이 열엔진은 열역학 제1법칙과 제2법칙을 모두 만족시킨다.

     정답 : []
     정답률 : 46%

17. 다음 잉여특성에 관한 상관식 중 옳지 않은 것은? (단, H : 엔탈피, V : 용적, M : 열역학특성치)
     1. HE=ΔH(이상용액)
     2. VE=ΔV(이상용액)
     3. ME=M-M(이상용액)
     4. ΔME=ΔM

     정답 : []
     정답률 : 50%

18. 일정한 열용량을 갖는 이상기체에 대하여 단열 가역과정에 대한 PV곡선의 기울기는? (단, = Cp/Cv)
     1.
     2.
     3.
     4.

     정답 : []
     정답률 : 44%

19. Clausius-Clapeyron 상관식을 통하여 보았을 때, 증기압과 가장 밀접한 관련이 있는 물성은?
     1. 점도
     2. 확산계수
     3. 열전도도
     4. 증발잠열

     정답 : []
     정답률 : 55%

20. 이상기체에 대하여 일(W)은 다음과 같은 식으로 나타난다 이 계는 어떤 과정으로 변화하였는가? (단, q=열, P1 : 초기압력, P2 : 최종압력, T : 온도이다.)

    

     1. 정온과정
     2. 정용과정
     3. 정압과정
     4. 단열과정

     정답 : []
     정답률 : 63%

2과목 : 화학공업양론


21. 표준상태에서 100L의 C2H6(g)를 완전히 액화한다면 몇 g의 C2H6(ℓ)이 되겠는가? (단, 이 C2H6 증기의 압축인자는 0.95이다.)
     1. 134g
     2. 141g
     3. 157g
     4. 163g

     정답 : []
     정답률 : 17%

22. 청량음료병에 20℃, 5atm의 CO2기체가 액체위에 있도록 넣고 뚜껑을 닫은 다음 CO2분압이 4×10-4atm인 대기 중에서 병 뚜껑을 열었다. 대기와 평형에 도달했을 때의 액체중의 CO2농도는? (단, Henry constant=32atm/(mol/L) 이다.)
     1. 0.16 mol/L
     2. 0.159 mol/L
     3. 1.25×10 -5mol/L
     4. 1.28×10 -6mol/L

     정답 : []
     정답률 : 10%

23. 화학공정을 통해 얻어진 자료가 연속적인 변수값을 나타낸다. 자료해석을 위해 평균값을 계산하려고 하는데 다음중 어떤 유형의 평균값을 이용하는 것이 가장 바람직하겠는가?
     1. 가중평균
     2. 기하평균
     3. 대수평균
     4. 산술평균

     정답 : []
     정답률 : 9%

24. 그림과 같은 증류탑에서 에탄올과 물이 포함된 용액을 분리한다. 원액 100㎏당 탑위 생성물의 양은?

    

     1. 2.3㎏
     2. 9.1㎏
     3. 13.3㎏
     4. 18.7㎏

     정답 : []
     정답률 : 25%

25. 무게로 40%의 수분을 함유한 목재를 수분함량이 10%가 되도록 건조했다. 원목재 1㎏당 증발된 물의 양은?
     1. 113.3g
     2. 223.3g
     3. 333.3g
     4. 443.3g

     정답 : []
     정답률 : 16%

26. 내부에너지에 대한 설명으로 가장 거리가 먼 것은?
     1. 분자들의 운동에 기인한 에너지이다.
     2. 분자들의 전자기적 상호작용에 기인한 에너지이다.
     3. 분자들의 병진, 회전 및 진동운동에 기인한 에너지이다.
     4. 내부에너지는 일반적으로 온도 및 압력에 의해 결정된다.

     정답 : []
     정답률 : 14%

27. 1Ib의 물이 1기압, 32℉에서 1기압, 260℉ 수증기로 변하는데 얼마의 열이 필요한가? (단, H2O의 는 Btu/1b℉, 수증기의 는 0.47 Btu/1b℉ 이다. 1기압 212℉에서의 증발열은 970.3 Btu/1b 이다.)
     1. 109.3 Btu
     2. 117.4 Btu
     3. 1173 Btu
     4. 1275 Btu

     정답 : []
     정답률 : 17%

28. 다음 설명중 옳지 않은 것은?
     1. 대기압이 항상 1기압은 아니다.
     2. 동일한 비중을 갖는 물질들의 1㎝3의 질량은 항상 같다.
     3. 정상상태는 일반적으로 시간에 따른 공정변수값의 변화가 없다.
     4. 일반적인 물질수지식은 "Input-OutPut+Generation-Consumption=Accumulation"이다.

     정답 : []
     정답률 : 9%

29. 기체상수를 나타낸 것 중 옳지 않은 것은?
     1. 82.057 cm3ㆍatm/gmoleㆍK
     2. 8314.34 J/kgmolㆍK
     3. 1.9872 cal/gmolㆍK
     4. 82.057×10-6m3ㆍatm/kgmolㆍK

     정답 : []
     정답률 : 30%

30. 기화잠열을 추산하는 식에 대한 설명으로 옳지 않은 것은?
     1. 포화압력의 대수값과 온도역수의 도시로부터 잠열을 추산하는 식이 Clausius-Clapeyron 식이다.
     2. 정상비등온도와 임계온도ㆍ압력을 이용하여 잠열을 구하는 식이 Watson식이다.
     3. 각 환산온도와 기화열로부터 잠열을 구하는 식이 Watson식이다.
     4. 정상비등온도와 임계온도ㆍ압력을 이용하여 잠열을 구하는 식이 Riedel식이다.

     정답 : []
     정답률 : 16%

31. Ethylene glycol의 열용량 값이 다음과 같은 온도의 함수이고, 0℃∼100℃ 사이의 온도 범위내에서 존재한다고 하면, 열용량의 평균치를 얼마로 보면 좋겠는가? (단, Cp=0.55+0.001T)
     1. 0.60cal/g℃
     2. 0.65cal/g℃
     3. 0.70cal/g℃
     4. 0.75cal/g℃

     정답 : []
     정답률 : 24%

32. acetone 14.8vol%를 포함하는 아세톤, 질소의 혼합물이 있다. 20℃, 745㎜Hg에서 비교 포화도는 얼마인가? (단, 20℃에서 아세톤 포화증기압은 184.8㎜Hg이다.)
     1. 17%
     2. 28%
     3. 53%
     4. 60%

     정답 : []
     정답률 : 17%

33. 가역과정에 대한 설명으로 가장 옳은 것은?
     1. 에너지 수지는 가역과정에서만 취할 수 있다.
     2. 가역과정을 통한 계의 변화효율은 100%이다.
     3. 가역과정은 상태함수의 연속성을 요구한다.
     4. 가역과정은 변화에 큰 기전력차를 동반한다.

     정답 : []
     정답률 : 0%

34. 습도 0.01㎏H2O/㎏ 건조공기인 공기온도가 25℃일 때 이 공기의 습비용(m3/㎏ 건조공기)은? (단, 공기압은 1atm이고 평균분자량은 29 이다.)
     1. 0.86
     2. 1.06
     3. 1.26
     4. 1.46

     정답 : []
     정답률 : 8%

35. Dalton의 분압법칙에 대한 설명으로 가장 올바른 것은?
     1. 일정체적 및 일정몰수하에 각 성분기체의 압력의 합이 기체혼합물의 전압이 된다.
     2. 일정체적 및 일정온도하에서 각 성분기체의 압력의 합이 기체혼합물의 전압이 된다.
     3. 일정온도 및 일정압력에서 각 성분기체의 압력의 합이 기체혼합물의 전압이 된다.
     4. 이상기체뿐만아니라 실제기체에도 적용되는 법칙이다.

     정답 : []
     정답률 : 16%

36. H2O(g) → H2+ 반응의 경우 291K 에서 ΔH°= 241.75 kJ㏖ -3이라면 301K 에서 ΔH°는 얼마인가? (단, 이 온도 범위에서 H2O(g), H2, O2의 몰당 열용량은 각각 33.56, 28.83, 29.12JK-1-1이다.)
     1. 241506.1J㏖-1
     2. 241750.0J㏖-1
     3. 241848.3J㏖-1
     4. 241993.9J㏖-1

     정답 : []
     정답률 : 10%

37. 200g의 CaCl2가 1g-mol 당 6g-mol의 비율로 공기 중의 수증기를 흡수할 경우에 발생하는 열은? (단, CaCl2의 분자량은 111이다.)

    

     1. 154 kcal
     2. 164 kcal
     3. 174 kcal
     4. 184 kcal

     정답 : []
     정답률 : 19%

38. 다음 중 단위환산 관계를 옳게 나타낸 것은? (단, Δ는 온도차이를 의미한다.)
     1. Δ℃ = Δ1.8℉
     2. Δ˚R = Δ1.8K
     3. Δ℉ = Δ1.8˚R
     4. ΔK = Δ1.8℃

     정답 : []
     정답률 : 24%

39. 다음 중 물질 수지(material balance)와 관계 있는 것으로만 나타낸 것은?

    

     1.
     2.
     3.
     4. ①, ②

     정답 : []
     정답률 : 13%

40. 타이어의 냉압(cold pressure)은 -10℉에서 30psi이었다. 나중에 같은 계기에서 35psi로 압력을 읽었다면 최종온도는 얼마에 가까운가? (단, 기압은 15psi에서 일정, 부피변화는 무시한다.)
     1. 65℉
     2. -12℉
     3. 50℉
     4. 40℉

     정답 : []
     정답률 : 10%

3과목 : 단위조작


41. 유체의 대류열저항과 전도열저항의 비를 나타내는 무차원 수는?
     1. Nusselt number
     2. Prandtl number
     3. Stanton number
     4. Grashof number

     정답 : []
     정답률 : 37%

42. 연못에서 5m 높이의 개방탱크에 내경이 5㎝ 인 관을 사용하여 3.13m/sec의 유속으로 물을 퍼 올린다. 유로의 마찰 손실을 무시할 때 펌프가 하는 일은 몇[kgfㆍm/kg] 인가?
     1. 5.5
     2. 9.9
     3. 55
     4. 99

     정답 : []
     정답률 : 15%

43. 고-액 추출이나 액-액 추출에서 가장 중요한 문제는 추제의 선택인데, 추제가 갖추어야 할 조건으로 옳지 않은 것은?
     1. 선택도는 증류에서의 비휘발도와 유사한데 그 값이 커야한다.
     2. 값이 싸고 화학적으로 불활성이어야 한다.
     3. 비점 및 응고점이 낮으며 부식성이 적어야 한다.
     4. 유독성이 적고 추질과의 비중차가 작을수록 좋다.

     정답 : []
     정답률 : 10%

44. 그림은 효용수에 따른 비용관계를 나타낸 것으로, 고정비의 관계를 나타낸 것은?

    

     1. a
     2. b
     3. c
     4. a + b

     정답 : []
     정답률 : 6%

45. 0℃, 2기압에 있는 톨루엔 3ℓ를 27℃, 4기압으로 했을 때의 부피는?
     1. 0.65ℓ
     2. 1.65ℓ
     3. 2.65ℓ
     4. 3.65ℓ

     정답 : []
     정답률 : 25%

46. 고급지방산과 같이 증기압이 낮은 물질을 비휘발성 불순물로부터 분리하는데 사용하는 가장 적당한 증류법은?
     1. flash 증류
     2. 추출 증류
     3. 수증기 증류
     4. 공비 증류

     정답 : []
     정답률 : 20%

47. 콘크리트 벽의 두께가 10[㎝]이고, 바깥 표면의 온도는 5[℃]이고 안쪽 표면의 온도가 20[℃]일 때 벽을 통한 열손실은 얼마인가? (단, 콘크리트의 열전도도는 0.002[㎈/㎝ㆍsecㆍ℃]이다)
     1. 0.003[㎈/㎝2ㆍsecㆍ℃]
     2. 0.003[㎉/m2ㆍhr]
     3. 108[㎈/㎝2ㆍsec]
     4. 108[㎉/m2ㆍhr]

     정답 : []
     정답률 : 9%

48. 다음 중 탑의 충전물이 아닌 것은?
     1. Raschig ring
     2. Berl saddle
     3. Intalox saddle
     4. Molecular sieve

     정답 : []
     정답률 : 22%

49. 다음 식은 총괄 물질수지식이다. 밑줄 친 부분과 같은 것은? (단, M : 질량, V : 부피, P : 압력, t : 시간이다. )

    

     1.
     2.
     3.
     4.

     정답 : []
     정답률 : 9%

50. 어떤 주어진 온도에서 최대단색광 복사력 λmax로 표현하는데 이것이 절대온도에 반비례하는 법칙은?
     1. Kirchhoff의 법칙
     2. Wien의 전이법칙
     3. Fourier의 법칙
     4. Stefan-Boltzmann 법칙

     정답 : []
     정답률 : 8%

51. 혼합에 영향을 주는 물리적 조건에 대한 설명으로 옳지 않은 것은?
     1. 섬유상의 형상을 가진 것은 혼합하기가 어렵다.
     2. 건조분말과 습한 것의 혼합은 한 쪽을 분할하여 혼합 한다.
     3. 밀도차가 클 때는 밀도가 큰 것이 아래로 내려가므로 상하가 고루 교환되도록 회전방법을 취한다.
     4. 액체와 고체의 혼합ㆍ반죽에서는 습윤성이 적은 것이 혼합하기 쉽고, 분체에서는 일반적으로 수분이 많은 것이 좋다.

     정답 : []
     정답률 : 10%

52. 증류에 대한 설명으로 옳지 않은 것은?
     1. 환류비가 커질수록 단수 N도 많아진다.
     2. 비점이 비슷한 혼합물을 분리하는데 이용된다.
     3. 환류액량과 유출액량의 비를 환류비라한다.
     4. 환류비를 크게 하면 제품의 순도는 높아진다.

     정답 : []
     정답률 : 10%

53. 비중이 0.945 인 액체가 내경이 2인치 관속으로 3㎝/sec의 속도로 흐른다. 액체의 점도가 0.9cP 일 때 Fanning 의 마찰계수는?
     1. 0.001
     2. 0.010
     3. 0.015
     4. 0.10

     정답 : []
     정답률 : 0%

54. 건조에 대한 설명으로 옳지 않은 것은?
     1. 건조는 감율단계, 항율단계의 순으로 진행된다.
     2. 건조 시간은 자유 수분량과 관계가 있다.
     3. 한계수분량 이상에서 건조속도는 항상 일정하다.
     4. 건조가 기공에서의 확산에 의해 지배될 경우 건조 속도는 물질 두께의 제곱에 반비례한다.

     정답 : []
     정답률 : 9%

55. 공극률(porosity)이 0.4 인 충전탑 내를 유체가 유효 속도(superficial velocity) 0.8m/s 로 흐르고 있을 때 충전탑 내의 실제 속도는?
     1. 0.8 m/s
     2. 0.32 m/s
     3. 0.50 m/s
     4. 2.0 m/s

     정답 : []
     정답률 : 19%

56. 이동단위수(number of transfer unit)를 나타 내는 관계식은?
     1. GH/kya
     2. L/S/Kxa
     3.
     4. V/S/Kya

     정답 : []
     정답률 : 8%

57. 중량비로 벤젠 42%, 톨루엔 58% 인 혼합액을 25,000㎏/hr 로 연속 정류한다. 탑상액의 조성을 벤젠 94wt%, 탑저액의 벤젠은 8wt% 로 할 때 탑상제품의 양은?
     1. 9883㎏/hr
     2. 13700㎏/hr
     3. 6850㎏/hr
     4. 19766㎏/hr

     정답 : []
     정답률 : 24%

58. 동일 직경의 수평 가열관 내를 1atm, 20℃ 로 들어가는 공기가 초속 6m/sec 이었다. 출구의 압력이 758㎜Hg 이고 온도가 80℃ 이었다면 출구에서의 공기의 속도는 몇 m/sec 인가?
     1. 7.25
     2. 7.55
     3. 8.25
     4. 8.55

     정답 : []
     정답률 : 29%

59. 향류식 이중 열교환기에서 뜨거운 유체는 200°C에서 50°C 로 냉각되고 차거운 유체는 30°C 에서 150°C로 가열된다. 이 경우 뜨거운 유체와 찬 유체의 평균 온도차는?
     1. 30.0°C
     2. 31.6°C
     3. 32.7°C
     4. 35.0°C

     정답 : []
     정답률 : 13%

60. 다중 효용 증발 조작의 목적으로 가장 옳은 것은?
     1. 제품의 순도를 높이기 위한 것이다.
     2. 장치비를 절약하기 위한 것이다.
     3. 열을 경제적으로 이용하기 위한 것이다.
     4. 제품제조 공정의 단순화를 위한 것이다.

     정답 : []
     정답률 : 28%

4과목 : 반응공학


61. 다음 그림과 같이 반응물과 생성물의 에너지 상태가 주어졌을 때 반응열 관계로서 옳은 것은?

    

     1. 발열반응이며, 발열량은 20㎈ 이다.
     2. 발열반응이며, 발열량은 50㎈ 이다.
     3. 흡열반응이며, 흡열량은 20㎈ 이다.
     4. 흡열반응이며, 흡열량은 50㎈ 이다.

     정답 : []
     정답률 : 17%

62. 액상 반응이 다음과 같이 병렬 반응으로 진행 된다면 단일 혼합류 반응기를 사용하여 R 을 많이 얻고 S 를 적게 얻으려면 A, B 의 농도는 어떻게 되어야 하는가?

    

     1. CA는 크고, CB도 커야 한다.
     2. CA는 작고, CB는 커야 한다.
     3. CA는 크고, CB는 작아야 한다.
     4. CA는 작고, CB도 작아야 한다.

     정답 : []
     정답률 : 20%

63. Arrhenius 법칙이 성립하면 어떻게 되겠는가?
     1. K 와 T 는 직선관계가 있다.
     2. ℓnk 와 은 직선관계가 있다.
     3. ℓnk 와 ℓn 는 직선관계가 있다.
     4. ℓn 와 T 는 직선관계가 있다.

     정답 : []
     정답률 : 24%

64. 액상반응 A → R 은 1차 비가역 반응이다. 어느 유량과 농도의 반응물을 90% 전환시키기 위하여 20m3 의 플러그흐름 반응기가 필요하였다. 같은 유량과 농도의 반응물을 역시 90% 전환시키기에 필요한 혼합흐름반응기의 용량에 가장 가까운 것은?
     1. 20m3
     2. 40m3
     3. 60m3
     4. 78m3

     정답 : []
     정답률 : 24%

65. ( A →R 인) 0차 반응의 적분법을 이용한 결과식은?
     1. CA-CAO=kt
     2.
     3. CAO-CA=kt
     4.

     정답 : []
     정답률 : 8%

66. 1차 비가역 액상반응이 일어나는 관형 반응기에서 공간시간은 2min 이고, 전환율이 40% 였을 때 전환율을 90%로 하려면 공간 시간은 얼마가 되어야 하는가?
     1. 0.26min
     2. 0.39min
     3. 5.59min
     4. 9.02min

     정답 : []
     정답률 : 25%

67. 순수한 액체 A 의 분해반응이 25℃ 에서 아래와 같을 때, A 의 초기농도가 2㏖/L이고, 이 반응이 혼합반응기에서 S 를 최대로 얻을 수 있는 조건하에서 진행되었다면 S 의 최대농도는?

    

     1. 0.33㏖/L
     2. 0.25㏖/L
     3. 0.50㏖/L
     4. 0.67㏖/L

     정답 : []
     정답률 : 7%

68. 액상 비가역 2차 반응 A → B 를 그림과 같이 환류식 플러그 흐름 반응기에서 연속적으로 진행시키고자 한다. 이 때 반응기 입구에서의 A의 농도 CAi 를 표현한 식은?

    

     1. CAi=
     2. CAi=
     3. CAi=RCAf+CAo
     4. CAi=CAf+RCAo

     정답 : []
     정답률 : 12%

69. 1atm, 900℃에서 2N2O→2N2+O2로 분해되는 소멸속도는 금촉매 하에 반응물의 1차로 표시되고, 속도상수 kc가 0.013 s-1일 때, 압력항으로 표시되는 속도상수 kp(mol/cm3ㆍsㆍatm)는? (단, 기체상수 R=82.05atmㆍcm3/molㆍK)
     1. 2.75x10-6
     2. 1.35x10-7
     3. 1.12x10-8
     4. 1.10x10-9

     정답 : []
     정답률 : 18%

70. 어떤 반응의 속도식이 이다. 이 때 농도가 mol/ℓ, 시간이 hr로 주어졌을 때 반응속도 상수(ℓ/molㆍhr)는?
     1. 0.000005
     2. 0.0003
     3. 0.005
     4. 0.03

     정답 : []
     정답률 : 10%

71. 비균일상 반응에 대한 설명으로 가장 거리가 먼 것은?
     1. 상 사이의 물질 전달은 고려해야 한다.
     2. 여러 과정이 동시에 진행되고 있을 때 총괄속도는 r 총괄 = r1 = r2 = ㆍㆍㆍㆍㆍㆍ = rn 이다.
     3. 여러 과정의 속도식에 사용되는 단위는 반드시 같아야 한다.
     4. 총괄 속도식에는 중간체의 농도항이 포함되어 있으면 안된다.

     정답 : []
     정답률 : 12%

72. 반응차수 n > 1 인 경우 이상 반응기의 가장 효과적인 배열은? (단, 플러그반응기와 작은혼합반응기의 부피는 같다.)
     1. 플러그반응기 - 큰혼합반응기 - 작은혼합반응기
     2. 큰혼합반응기 - 작은혼합반응기 - 플러그반응기
     3. 플러그반응기 - 작은혼합반응기 - 큰혼합반응기
     4. 작은혼합반응기 - 플러그반응기 - 큰혼합반응기

     정답 : []
     정답률 : 16%

73. 불균일 촉매반응에서 유효계수(유효성인자)의 영향 인자로서 가장 거리가 먼 것은?
     1. 촉매의 세공 분포
     2. 담체의 강도
     3. 촉매의 평균 기공 크기
     4. 촉매의 입자 크기

     정답 : []
     정답률 : 31%

74. 크기가 같은 반응기 2개를 직렬로 연결하여 A → R 로 표시되는 액상 1차 반응을 진행시킬 때 최종 전화율이 가장 큰 경우는?
     1. 관형반응기 + 혼합반응기
     2. 혼합반응기 + 관형반응기
     3. 관형반응기 + 관형반응기
     4. 혼합반응기 + 혼합반응기

     정답 : []
     정답률 : 19%

75. 촉매에 대한 설명으로 옳지 않은 것은?
     1. 촉매는 반응의 활성화 에너지를 변화 시킨다.
     2. 적은 양의 촉매로서도 많은 양의 생성물을 만들 수 있다.
     3. 촉매는 정반응에 더 큰 영향을 준다.
     4. 촉매는 반응속도에만 관여하고 평형 관계에는 영향을 주지 않는다.

     정답 : []
     정답률 : 9%

76. 의 반응에서 생성속도의 비를 표현한 식은? (단, a1은 A → R반응의 반응차수이며 a2는 A → S반응의 반응차수이다. k1, k2 는 각각의 경로에서 속도상수이다.)
     1.
     2.
     3.
     4.

     정답 : []
     정답률 : 24%

77. 다음과 같은 기상반응이 일어날 때, 반응기에 유입되는 기체 반응물 중 반응물 A는 50% 이다. 부피팽창계수 εA는?

    

     1. 0
     2. 0.5
     3. 1.0
     4. 1.5

     정답 : []
     정답률 : 17%

78. 기초반응식이 + B = R + 일 때의 반응속도식은 로 알려져 있다. 만약 이 반응식을 정수로 표현하기 위하여 A + 2B = 2R + S 로서 표현하였을 때 반응 속도식으로 옳은 것은?
     1.
     2.
     3.
     4.

     정답 : []
     정답률 : 25%

79. 다음 반응식 중 연속병행반응(series-parallel reaction)은?
     1. A + B → R
     2. A → R → S
     3. A → R, A → S
     4. A + B → R, R + B → S

     정답 : []
     정답률 : 15%

80. 2 A + B → 2 C, 반응이 회분반응기에서 정압 등온으로 진행된다. A, B가 양론비로 도입되고, 불활성물이 없을 때 초기 전몰수에 대한 임의시간 전몰수의 비(Nt/Nto)를 바르게 표시한 것은?
     1. 1 - XA/3
     2. 1 + XA/4
     3.
     4.

     정답 : []
     정답률 : 27%

5과목 : 공정제어


81. 그래프의 함수와 그의 Laplace 변환된 형태의 함수가 맞게 되어 있는 항은?

    

     1.
     2.
     3.
     4.

     정답 : []
     정답률 : 24%

82. Routh의 판별법에서 수열의 최좌열(最左列)이 다음과 같을 때 이 주어진 계의 특성방정식은 양의 근 또는 양의 실수부를 갖는 근은?

    

     1. 전혀없다.
     2. 1개 있다.
     3. 2개 있다.
     4. 3개 있다.

     정답 : []
     정답률 : 34%

83. 의 고차계 공정에서의 단위계단 입력에 대한 공정응답 중 맞는 것은?
     1. 차수 n 이 커지면 진동응답이 생길 수 있다.
     2. 차수 n 이 커질수록 응답이 느려진다.
     3. 시상수 τ 가 클수록 응답이 빨라진다.
     4. 이득 K 가 커지면 진동응답이 생길 수 있다.

     정답 : []
     정답률 : 9%

84. 다음 조절계(Controller)중 편차(offset)가 없는 것은?
     1. 비례 - 미분 조절계
     2. on - off조절계
     3. 비례 - 적분 조절계
     4. 비례 조절계

     정답 : []
     정답률 : 8%

85. f(t) = = tu(t) 는 다음 중 어느 함수에 속하는가?
     1. step function
     2. expontial function
     3. ramp function
     4. transfer function

     정답 : []
     정답률 : 16%

86. 전달함수{G(S)}가 G(S) = = 인 1차계에서 입력 x(t)가 단위순간(impulse)인 경우 출력 y(t)는?
     1.
     2.
     3.
     4.

     정답 : []
     정답률 : 39%

87. G(S)H(S) = 인 특성방정식에서 이득여유(Gain Margine)가 -20㏈일 때 K값은?
     1. 20
     2. -20
     3. 10
     4. -10

     정답 : []
     정답률 : 10%

88. 다음 함수의 라플라스 역변환값은?

    

     1. ate-bt
     2. atebt
     3.
     4.

     정답 : []
     정답률 : 17%

89. 다음은 화학공장의 공정제어의 필요성에 대해 설명한 것이다. 잘못 설명된 것은?
     1. 균일한 제품을 생산하여 제품의 질을 향상시키기 위해
     2. 운전도중 안전사고의 예방을 위해
     3. 생산비 절감 및 생산성 향상을 위해
     4. 공장운전의 무인화를 위해

     정답 : []
     정답률 : 19%

90. 물탱크에서 물이 관을 통해 밖으로 빠져나가는 양이 물탱크 안의 액체 높이의 제곱근에 비례할 때 이를 선형화 하여 현재의 액체 높이로 표현했을 때 올바른 것은?
     1. 현재의 높이의 반 x 높이
     2. 현재의 높이의 제곱근 x 높이
     3. 현재의 높이의 제곱근의 역수의 반 x 높이
     4. 현재의 높이의 제곱근의 반 x 높이

     정답 : []
     정답률 : 16%

91. 다음 물리계 중 1차계가 아닌 것은?
     1. 가열로 안의 온도
     2. 물탱크 안의 액체 높이
     3. 수은 온도계의 온도
     4. 감쇠진동기의 위치

     정답 : []
     정답률 : 20%

92. 다음의 함수를 라프라스 전환하면 어떻게 되는가?

    

     1.
     2.
     3.
     4.

     정답 : []
     정답률 : 31%

93. 전달함수 G(s) = Kc(1 + s)인 비례 - 미분제어기의 주파수 응답에서 위상각이 45°이면 진폭비는 Kc의 몇 배인가?
     1. 1
     2.
     3. √2
     4. 2

     정답 : []
     정답률 : 12%

94. 어떤 계의 단위계단 응답이 Y(t) = 일 경우 이 계의 단위충격응답(impulse response)은?
     1.
     2.
     3.
     4.

     정답 : []
     정답률 : 36%

95. 2차 계의 경우 상승시간(rise time) 이란?
     1. 출력응답이 그의 최종값에 처음 도달할 때까지 요하는 시간이다.
     2. 출력응답이 그의 최종값의 + 5% 에 도달하는데 요하는 시간이다.
     3. 출력응답의 진동이 없어질 때까지 요하는 시간이다.
     4. 출력응답이 그의 최종치에 도달할 때까지 요하는 시간이다.

     정답 : []
     정답률 : 25%

96. 다음 그림과 같은 나이퀴스트 선도(Nyquist diagram)로 부터 계의 안정도를 판별하면?

    

     1. Stable
     2. Conditionally Stable
     3. Unstable
     4. not Known

     정답 : []
     정답률 : 8%

97. 어떤 계의 전달함수 일 때 이 계의 단위계단 응답(unit step response)은?
     1. 임계 감쇄이다.
     2. 자연 진동이다.
     3. 무감쇄 진동이다.
     4. 무진동 감쇄이다.

     정답 : []
     정답률 : 24%

98. 다음 G(s) = 인 계의 시상수는 얼마인가?
     1.
     2.
     3. 10
     4. 100

     정답 : []
     정답률 : 22%

99. 주파수 응답을 이용한 2차 계의 안정성을 판정하기 위한 이득 여유에 관한 설명 중 올바른 것은?
     1. 계가 안정하기 위해서는 Bode 선도 중 위상각이 -180도 일 때의 진폭비가 1보다 작아야 하므로 이득 여유는 1에서 이 때의 진폭비를 뺀 값이 된다.
     2. 계가 안정하기 위해서는 Bode 선도 중 위상각이 -180도 일 때의 진폭비가 1보다 작아야 하나 로그좌표를 사용 하므로 이득 여유는 이 때의 진폭비의 역수가 된다.
     3. 계가 안정하기 위해서는 Bode 선도 중 위상각이 -180도 일 때의 진폭비가 1보다 커야 하므로 이득 여유는 이때의 진폭비에서 1을 뺀 값이 된다.
     4. 계가 안정하기 위해서는 Bode 선도 중 위상각이 -180도 일 때의 진폭비가 1보다 커야 하나 로그좌표를 사용하므로 이득 여유는 이 때의 진폭비가 된다.

     정답 : []
     정답률 : 25%

100. 스프링 상수가 선형적이며 이상적인 스프링 저울의 움직임을 수식으로 나타내면 다음 중 어느 것에 해당되는가?
     1. 선형 1차 미분방정식
     2. 선형 2차 미분방정식
     3. 선형 3차 미분방정식
     4. 선형 4차 미분방정식

     정답 : []
     정답률 : 20%

101. 질산의 직접 합성반응은 다음과 같다. NH3 + 2O2 → HNO3 + H2O 반응 후 응축하여 생성된 질산 용액의 농도는 몇 % 인가?
     1. 68
     2. 78
     3. 88
     4. 98

     정답 : []
     정답률 : 24%

102. 다음 중 축합반응으로 만들 수 있는 유기산은?
     1. 시트르산
     2. 말산
     3. 아세트산
     4. 락트산

     정답 : []
     정답률 : 25%

103. 다음에 열거된 조건은 암모니아산화법에 의한 질산제조 시 어느 공정조건에 해당하는가?
     1. 상압공정
     2. 중압공정
     3. 고압공정
     4. 부분가압공정

     정답 : []
     정답률 : 17%

104. 방향족 탄화수소를 SO3 계의 슬폰화제로 슬폰화 반응을 하는데 있어서 반응속도에 영향을 미치는 인자가 아닌것은?
     1. SO3 농도
     2. 압력
     3. 온도
     4. 촉매

     정답 : []
     정답률 : 17%

105. 에틸렌 제조의 주된 공업원료로 삼고 있는 것은?
     1. 경유
     2. 등유
     3. 나프타
     4. 중유

     정답 : []
     정답률 : 19%

106. 다음은 건식 에칭법 중 플라즈마 에칭에 대한 설명이다. 틀린 것은?
     1. 라디칼 및 이온 반응종이다.
     2. 에칭상태는 등방성이다.
     3. Al도 에칭이 가능하다.
     4. 실리콘상의 SiO2 에칭이 불가능하다.

     정답 : []
     정답률 : 14%

107. 다음 중 화학공업의 특성이 아닌 것은?
     1. 물리적 또는 화학적 변화가 일어난다.
     2. 화학장치를 가공수단으로 사용한다.
     3. 초기의 화학공업은 석유화학, 정유 등 장치 산업이 많았다.
     4. 의약품, 정밀화학 등은 다품종 대량생산 방식을 채택 한다.

     정답 : []
     정답률 : 31%

108. 다음 중 석유류의 불순물(황,질소,산소)제거에 사용되는 방법은?
     1. Hydroforming process
     2. Visbreaking process
     3. Hydrotreating process
     4. Platforming process

     정답 : []
     정답률 : 22%

109. 0.5 Faraday의 전류량에 의해서 생성되는 NaOH의 양은 몇 g 인가? (단, Na=23, H=1, O=16)
     1. 10
     2. 20
     3. 30
     4. 40

     정답 : []
     정답률 : 24%

110. 다음 중 기하이성질을 나타내는 고분자가 아닌 것은?
     1. 폴리부타디엔
     2. 폴리클로로프렌
     3. 폴리이소프렌
     4. 폴리비닐알콜

     정답 : []
     정답률 : 31%

111. 반도체 제조과정 중에서 식각공정 후 행해지는 세정공정에 사용되는 piranha 용액은?
     1. NH4OH + HF + H2O
     2. HCl + HF + H2O
     3. NH4OH + H2O2 + H2O
     4. HCl + H2O2 + H2O

     정답 : []
     정답률 : 25%

112. NaOH 제조 시 격막식의 단점은?
     1. 제품의 순도와 온도가 높다.
     2. 수은법보다 조전압이 높아서 전력소모가 크다.
     3. 값이 비싼 수은을 사용한다.
     4. 농축비용이 많이들며 불순물로 순도가 낮다.

     정답 : []
     정답률 : 30%

113. 다음 유기용매 중에서 물과 섞이지 않는 것은?
     1. CH3OCH3
     2. CH3COOH
     3. C2H5OH
     4. C2H5OC2H5

     정답 : []
     정답률 : 36%

114. 카바이드는 석회질소비료의 제조원료로서 이의 함량은 아세틸렌 가스의 발생량으로 결정한다. 1㎏의 카바이드에서 250L(10℃, 760㎜Hg)의 아세틸렌 가스가 발생하였다면 카바이드의 함량은 백분율로 얼마인가? (단, 원자량은 Ca:40, C:12)
     1. 68.9%
     2. 75.3%
     3. 78.8%
     4. 83.9%

     정답 : []
     정답률 : 19%

115. 암모니아 산화법에 의한 질산 제조에서 백금-로듐(Pt-Rh) 촉매에 대한 설명 중 옳지 않은 것은?
     1. 백금(Pt) 단독으로 사용하는 것보다 수명이 60% 정도 연장된다.
     2. 촉매 독물질로서는 비소, 유황, 인, 규소 등의 화합 물이다.
     3. 백금에 로듐(Rh) 함량이 10%인 것이 2%인 것보다 전화율이 낮다.
     4. 백금(Pt) 단독으로 사용하는 것보다 내열성이 강하다.

     정답 : []
     정답률 : 31%

116. 휘발유를 구성하는 탄화수소 구조와 옥탄가와의 상관관계 를 잘못 설명 것은?
     1. 동일계 탄화수소의 경우 비점이 낮을수록 옥탄가가 높다.
     2. 파라핀계의 경우 측쇄가 많을수록 옥탄가가 낮다.
     3. 나프탈렌 및 방향족계에서는 측쇄가 길수록 옥탄가가 낮다.
     4. 동일 탄소수의 탄화수소에서는 방향족계 > 나프텐계 > 올레핀계 > 파라핀계의 순으로 옥탄가가 크다.

     정답 : []
     정답률 : 15%

117. 인광석에 의한 과린산석회 비료의 제조공정에 있어서 화학 반응식 중 옳은 것은?
     1. CaH4(PO4)2 + NH3 → NH4H2PO4 + CaHPO4
     2. Ca3(PO4)2 + 4H3PO4 + 3H2O → 3[CaH4(PO4)2 ㆍH2O]
     3. Ca3(PO4)2 + 2H2SO4 + 5H2O → CaH4(PO4)2ㆍH2O + 2[CaSO4ㆍ2H2O]
     4. Ca3(PO4) + 4HCl → CaH4(PO4)2 + 2CaCl2

     정답 : []
     정답률 : 25%

118. 요소의 제법에 대한 설명 중 옳지 않은 것은?
     1. 순환법은 CO2와 NH3의 배합비가 정확하여야 한다.
     2. 비순환법에서는 황산암모늄이 부산물로 생긴다.
     3. 순환법에서는 황산암모늄의 부산물이 생기지 않는다.
     4. 반순환법은 순환법과 비순환법의 이론을 모두 적용한 것이다.

     정답 : []
     정답률 : 0%

119. 연료전지의 종류 중 이온전도성 산화물을 전해질로 이용하여 고온으로 운전하는 것이 특징이며 고온에서 운전하므로 써 이론에너지 효율은 저하되는 반면에 에너지 회수율이 향상되면서 화력 발전을 대체하고 석탄 가스를 이용한 고효율이 기대되고 있는 것은?
     1. 인산형 연료전지(PAFC)
     2. 용융탄산염 연료전지(MCFC)
     3. 고체산화물형 연료전지(SOFC)
     4. 고체분자형 연료전지(PEFC)

     정답 : []
     정답률 : 8%

120. 아세틸렌에 무엇을 작용시키면 염화비닐이 생성되는가?
     1. HCl
     2. Cl2
     3. HOCl
     4. KCl

     정답 : []
     정답률 : 45%


정 답 지

화공기사(구)(구) 필기 기출문제(해설) 및 CBT 2005년05월29일

최강 자격증 기출문제 전자문제집 CBT : www.comcbt.com


전자문제집 CBT란?
종이 문제집이 아닌 인터넷으로 문제를 풀고 자동으로 채점하며 모의고사, 오답 노트, 해설까지 제공하는
무료 기출문제 학습 프로그램으로 실제 상설검정에서 사용하는 OMR 형식의 CBT를 제공합니다.

최신 화공기사(구)(구) 필기 기출문제 : [다운로드]


1과목 : 화공열역학


1. 그림과 같이 계가 일을 할 때 이 계의 수율은 어떻게 나타나는가?

   

     1.
     2.
     3.
     4.

     정답 : []
     정답률 : 67%

2. 다음 T-S선도에서 triple point 에 해당하는 것은?

   

     1.
     2. 점 d
     3. 곡선 bcd
     4. 직선 bde

     정답 : []
     정답률 : 54%

3. 다음 열역학적 사항 중 옳은 것 만으로 나열된 것은?

   

     1. ①, ③
     2. ①, ④
     3. ②, ③
     4. ②, ④

     정답 : []
     정답률 : 15%

4. 32℃의 방에서 운전되는 냉장고를 -12℃로 유지한다. 냉장고로부터 2300cal의 열량을 얻기 위하여 필요한 최소 일 량은 몇 J인가?
     1. 1272
     2. 1443
     3. 1547
     4. 1621

     정답 : []
     정답률 : 10%

5. 를 T, V 및 Cp 등으로 올바르게 나타낸 것은?
     1.
     2.
     3.
     4.

     정답 : []
     정답률 : 37%

6. methane 70mole%, ethane 20mole%, n-propane 10mole%의 혼합기체가 있다. 이상 혼합물이라 생각하면 혼합물 중 methane의 fugacity는 몇 atm인가? (단, 혼합물과 같은 압력, 같은 온도의 순수한 methane의 fugacity는 19.0atm이다.)
     1. 0.133
     2. 1.33
     3. 13.3
     4. 133

     정답 : []
     정답률 : 67%

7. 카르노 사이클에 의해 527℃와 127℃의 사이에서 작동하는 엔진이 527℃에서 4 kW의 에너지를 받았다면, 127℃에서 얼마의 에너지를 방출하겠는가?
     1. 0.96kW
     2. 1.44kW
     3. 2kW
     4. 2.4kW

     정답 : []
     정답률 : 67%

8. 카르노 사이클(carnot cycle)의 순 일(net work)은? (단, QH:고열원 열량, QL:저열원 열량 )
     1. W=QL-QH
     2.
     3.
     4. W=QH-QL

     정답 : []
     정답률 : 55%

9. PVn=상수인 폴리트로픽 변화(Polytropic change)에서 정용과정(定容過程)인 변화는? (단, n는 정수)
     1. n = 0
     2. n = ±∞
     3. n = 1
     4. n = k

     정답 : []
     정답률 : 59%

10. 열역학 기본관계식 중 엔탈피(H)를 옳게 표현한 식은? (단, U =내부에너지, H =엔탈피, S =엔트로피, P=절대압력, V=부피)
     1. H ≡ U - PV
     2. H ≡ U + TS
     3. H ≡ U + PV
     4. H ≡ U - TS

     정답 : []
     정답률 : 50%

11. 100K에서 1500K사이에서 이상기체의 포화증기압(Psat)이 다음 식으로 주어질 때 이상기체의 Clausius-Clapeyron 식을 이용한 증발잠열(△Hlv)값[J/molㆍK]은? (단, 기체상수 R = 8.314J/molㆍK이며, 동일 온도영역에서 증발잠열값은 일정하다.)

    

     1. -29.1
     2. -20.8
     3. 20.8
     4. 29.1

     정답 : []
     정답률 : 47%

12. 계의 내부에너지가 100Btu감소하여 150Btu의 일이 외부에 전달되었다. 몇 ㎉의 열이 흡수 되었겠는가?
     1. 50㎉
     2. 250㎉
     3. 12.6㎉
     4. 63㎉

     정답 : []
     정답률 : 50%

13. 화학 평형상태에서 CO, CO2, H2, H2O 및 CH4로 구성되는 기상계에서 자유도는?
     1. 3
     2. 4
     3. 5
     4. 6

     정답 : []
     정답률 : 29%

14. 어떤 열역학적계의 변화를 다음의 T-S선도에 나타내었다. 어떤 과정으로 변화 하였는가?

    

     1. 정온과정
     2. 정용과정
     3. 정압과정
     4. 단열과정

     정답 : []
     정답률 : 50%

15. 총 Gibbs 자유에너지가 다음과 같이 표시되는 유체가 있다. 저온에서 이 유체는 2개의 상으로 나누어지나 일정온도 이상에서는 단일상을 유지한다. 조성에 상관없이 상분리가 일어날 수 있는 최대온도는?
     1.
     2.
     3. Tmax=0
     4.

     정답 : []
     정답률 : 50%

16. 어느 발명가가 열원으로부터 20kJ의 열을 받아 21kJ의 일을 생산해낼 수 있는 열엔진을 발명해냈다고 주장할 때 다음의 이 열엔진에 대한 설명으로 가장 올바른 것은?
     1. 이 열엔진은 열역학 제1법칙에 위배된다.
     2. 이 열엔진은 열역학 제2 법칙에 위배된다.
     3. 이 열엔진은 열역학 제1법칙과 제2법칙에 모두 위배된다.
     4. 이 열엔진은 열역학 제1법칙과 제2법칙을 모두 만족시킨다.

     정답 : []
     정답률 : 46%

17. 다음 잉여특성에 관한 상관식 중 옳지 않은 것은? (단, H : 엔탈피, V : 용적, M : 열역학특성치)
     1. HE=ΔH(이상용액)
     2. VE=ΔV(이상용액)
     3. ME=M-M(이상용액)
     4. ΔME=ΔM

     정답 : []
     정답률 : 50%

18. 일정한 열용량을 갖는 이상기체에 대하여 단열 가역과정에 대한 PV곡선의 기울기는? (단, = Cp/Cv)
     1.
     2.
     3.
     4.

     정답 : []
     정답률 : 44%

19. Clausius-Clapeyron 상관식을 통하여 보았을 때, 증기압과 가장 밀접한 관련이 있는 물성은?
     1. 점도
     2. 확산계수
     3. 열전도도
     4. 증발잠열

     정답 : []
     정답률 : 55%

20. 이상기체에 대하여 일(W)은 다음과 같은 식으로 나타난다 이 계는 어떤 과정으로 변화하였는가? (단, q=열, P1 : 초기압력, P2 : 최종압력, T : 온도이다.)

    

     1. 정온과정
     2. 정용과정
     3. 정압과정
     4. 단열과정

     정답 : []
     정답률 : 63%

2과목 : 화학공업양론


21. 표준상태에서 100L의 C2H6(g)를 완전히 액화한다면 몇 g의 C2H6(ℓ)이 되겠는가? (단, 이 C2H6 증기의 압축인자는 0.95이다.)
     1. 134g
     2. 141g
     3. 157g
     4. 163g

     정답 : []
     정답률 : 17%

22. 청량음료병에 20℃, 5atm의 CO2기체가 액체위에 있도록 넣고 뚜껑을 닫은 다음 CO2분압이 4×10-4atm인 대기 중에서 병 뚜껑을 열었다. 대기와 평형에 도달했을 때의 액체중의 CO2농도는? (단, Henry constant=32atm/(mol/L) 이다.)
     1. 0.16 mol/L
     2. 0.159 mol/L
     3. 1.25×10 -5mol/L
     4. 1.28×10 -6mol/L

     정답 : []
     정답률 : 10%

23. 화학공정을 통해 얻어진 자료가 연속적인 변수값을 나타낸다. 자료해석을 위해 평균값을 계산하려고 하는데 다음중 어떤 유형의 평균값을 이용하는 것이 가장 바람직하겠는가?
     1. 가중평균
     2. 기하평균
     3. 대수평균
     4. 산술평균

     정답 : []
     정답률 : 9%

24. 그림과 같은 증류탑에서 에탄올과 물이 포함된 용액을 분리한다. 원액 100㎏당 탑위 생성물의 양은?

    

     1. 2.3㎏
     2. 9.1㎏
     3. 13.3㎏
     4. 18.7㎏

     정답 : []
     정답률 : 25%

25. 무게로 40%의 수분을 함유한 목재를 수분함량이 10%가 되도록 건조했다. 원목재 1㎏당 증발된 물의 양은?
     1. 113.3g
     2. 223.3g
     3. 333.3g
     4. 443.3g

     정답 : []
     정답률 : 16%

26. 내부에너지에 대한 설명으로 가장 거리가 먼 것은?
     1. 분자들의 운동에 기인한 에너지이다.
     2. 분자들의 전자기적 상호작용에 기인한 에너지이다.
     3. 분자들의 병진, 회전 및 진동운동에 기인한 에너지이다.
     4. 내부에너지는 일반적으로 온도 및 압력에 의해 결정된다.

     정답 : []
     정답률 : 14%

27. 1Ib의 물이 1기압, 32℉에서 1기압, 260℉ 수증기로 변하는데 얼마의 열이 필요한가? (단, H2O의 는 Btu/1b℉, 수증기의 는 0.47 Btu/1b℉ 이다. 1기압 212℉에서의 증발열은 970.3 Btu/1b 이다.)
     1. 109.3 Btu
     2. 117.4 Btu
     3. 1173 Btu
     4. 1275 Btu

     정답 : []
     정답률 : 17%

28. 다음 설명중 옳지 않은 것은?
     1. 대기압이 항상 1기압은 아니다.
     2. 동일한 비중을 갖는 물질들의 1㎝3의 질량은 항상 같다.
     3. 정상상태는 일반적으로 시간에 따른 공정변수값의 변화가 없다.
     4. 일반적인 물질수지식은 "Input-OutPut+Generation-Consumption=Accumulation"이다.

     정답 : []
     정답률 : 9%

29. 기체상수를 나타낸 것 중 옳지 않은 것은?
     1. 82.057 cm3ㆍatm/gmoleㆍK
     2. 8314.34 J/kgmolㆍK
     3. 1.9872 cal/gmolㆍK
     4. 82.057×10-6m3ㆍatm/kgmolㆍK

     정답 : []
     정답률 : 30%

30. 기화잠열을 추산하는 식에 대한 설명으로 옳지 않은 것은?
     1. 포화압력의 대수값과 온도역수의 도시로부터 잠열을 추산하는 식이 Clausius-Clapeyron 식이다.
     2. 정상비등온도와 임계온도ㆍ압력을 이용하여 잠열을 구하는 식이 Watson식이다.
     3. 각 환산온도와 기화열로부터 잠열을 구하는 식이 Watson식이다.
     4. 정상비등온도와 임계온도ㆍ압력을 이용하여 잠열을 구하는 식이 Riedel식이다.

     정답 : []
     정답률 : 16%

31. Ethylene glycol의 열용량 값이 다음과 같은 온도의 함수이고, 0℃∼100℃ 사이의 온도 범위내에서 존재한다고 하면, 열용량의 평균치를 얼마로 보면 좋겠는가? (단, Cp=0.55+0.001T)
     1. 0.60cal/g℃
     2. 0.65cal/g℃
     3. 0.70cal/g℃
     4. 0.75cal/g℃

     정답 : []
     정답률 : 24%

32. acetone 14.8vol%를 포함하는 아세톤, 질소의 혼합물이 있다. 20℃, 745㎜Hg에서 비교 포화도는 얼마인가? (단, 20℃에서 아세톤 포화증기압은 184.8㎜Hg이다.)
     1. 17%
     2. 28%
     3. 53%
     4. 60%

     정답 : []
     정답률 : 17%

33. 가역과정에 대한 설명으로 가장 옳은 것은?
     1. 에너지 수지는 가역과정에서만 취할 수 있다.
     2. 가역과정을 통한 계의 변화효율은 100%이다.
     3. 가역과정은 상태함수의 연속성을 요구한다.
     4. 가역과정은 변화에 큰 기전력차를 동반한다.

     정답 : []
     정답률 : 0%

34. 습도 0.01㎏H2O/㎏ 건조공기인 공기온도가 25℃일 때 이 공기의 습비용(m3/㎏ 건조공기)은? (단, 공기압은 1atm이고 평균분자량은 29 이다.)
     1. 0.86
     2. 1.06
     3. 1.26
     4. 1.46

     정답 : []
     정답률 : 8%

35. Dalton의 분압법칙에 대한 설명으로 가장 올바른 것은?
     1. 일정체적 및 일정몰수하에 각 성분기체의 압력의 합이 기체혼합물의 전압이 된다.
     2. 일정체적 및 일정온도하에서 각 성분기체의 압력의 합이 기체혼합물의 전압이 된다.
     3. 일정온도 및 일정압력에서 각 성분기체의 압력의 합이 기체혼합물의 전압이 된다.
     4. 이상기체뿐만아니라 실제기체에도 적용되는 법칙이다.

     정답 : []
     정답률 : 16%

36. H2O(g) → H2+ 반응의 경우 291K 에서 ΔH°= 241.75 kJ㏖ -3이라면 301K 에서 ΔH°는 얼마인가? (단, 이 온도 범위에서 H2O(g), H2, O2의 몰당 열용량은 각각 33.56, 28.83, 29.12JK-1-1이다.)
     1. 241506.1J㏖-1
     2. 241750.0J㏖-1
     3. 241848.3J㏖-1
     4. 241993.9J㏖-1

     정답 : []
     정답률 : 10%

37. 200g의 CaCl2가 1g-mol 당 6g-mol의 비율로 공기 중의 수증기를 흡수할 경우에 발생하는 열은? (단, CaCl2의 분자량은 111이다.)

    

     1. 154 kcal
     2. 164 kcal
     3. 174 kcal
     4. 184 kcal

     정답 : []
     정답률 : 19%

38. 다음 중 단위환산 관계를 옳게 나타낸 것은? (단, Δ는 온도차이를 의미한다.)
     1. Δ℃ = Δ1.8℉
     2. Δ˚R = Δ1.8K
     3. Δ℉ = Δ1.8˚R
     4. ΔK = Δ1.8℃

     정답 : []
     정답률 : 24%

39. 다음 중 물질 수지(material balance)와 관계 있는 것으로만 나타낸 것은?

    

     1.
     2.
     3.
     4. ①, ②

     정답 : []
     정답률 : 13%

40. 타이어의 냉압(cold pressure)은 -10℉에서 30psi이었다. 나중에 같은 계기에서 35psi로 압력을 읽었다면 최종온도는 얼마에 가까운가? (단, 기압은 15psi에서 일정, 부피변화는 무시한다.)
     1. 65℉
     2. -12℉
     3. 50℉
     4. 40℉

     정답 : []
     정답률 : 10%

3과목 : 단위조작


41. 유체의 대류열저항과 전도열저항의 비를 나타내는 무차원 수는?
     1. Nusselt number
     2. Prandtl number
     3. Stanton number
     4. Grashof number

     정답 : []
     정답률 : 37%

42. 연못에서 5m 높이의 개방탱크에 내경이 5㎝ 인 관을 사용하여 3.13m/sec의 유속으로 물을 퍼 올린다. 유로의 마찰 손실을 무시할 때 펌프가 하는 일은 몇[kgfㆍm/kg] 인가?
     1. 5.5
     2. 9.9
     3. 55
     4. 99

     정답 : []
     정답률 : 15%

43. 고-액 추출이나 액-액 추출에서 가장 중요한 문제는 추제의 선택인데, 추제가 갖추어야 할 조건으로 옳지 않은 것은?
     1. 선택도는 증류에서의 비휘발도와 유사한데 그 값이 커야한다.
     2. 값이 싸고 화학적으로 불활성이어야 한다.
     3. 비점 및 응고점이 낮으며 부식성이 적어야 한다.
     4. 유독성이 적고 추질과의 비중차가 작을수록 좋다.

     정답 : []
     정답률 : 10%

44. 그림은 효용수에 따른 비용관계를 나타낸 것으로, 고정비의 관계를 나타낸 것은?

    

     1. a
     2. b
     3. c
     4. a + b

     정답 : []
     정답률 : 6%

45. 0℃, 2기압에 있는 톨루엔 3ℓ를 27℃, 4기압으로 했을 때의 부피는?
     1. 0.65ℓ
     2. 1.65ℓ
     3. 2.65ℓ
     4. 3.65ℓ

     정답 : []
     정답률 : 25%

46. 고급지방산과 같이 증기압이 낮은 물질을 비휘발성 불순물로부터 분리하는데 사용하는 가장 적당한 증류법은?
     1. flash 증류
     2. 추출 증류
     3. 수증기 증류
     4. 공비 증류

     정답 : []
     정답률 : 20%

47. 콘크리트 벽의 두께가 10[㎝]이고, 바깥 표면의 온도는 5[℃]이고 안쪽 표면의 온도가 20[℃]일 때 벽을 통한 열손실은 얼마인가? (단, 콘크리트의 열전도도는 0.002[㎈/㎝ㆍsecㆍ℃]이다)
     1. 0.003[㎈/㎝2ㆍsecㆍ℃]
     2. 0.003[㎉/m2ㆍhr]
     3. 108[㎈/㎝2ㆍsec]
     4. 108[㎉/m2ㆍhr]

     정답 : []
     정답률 : 9%

48. 다음 중 탑의 충전물이 아닌 것은?
     1. Raschig ring
     2. Berl saddle
     3. Intalox saddle
     4. Molecular sieve

     정답 : []
     정답률 : 22%

49. 다음 식은 총괄 물질수지식이다. 밑줄 친 부분과 같은 것은? (단, M : 질량, V : 부피, P : 압력, t : 시간이다. )

    

     1.
     2.
     3.
     4.

     정답 : []
     정답률 : 9%

50. 어떤 주어진 온도에서 최대단색광 복사력 λmax로 표현하는데 이것이 절대온도에 반비례하는 법칙은?
     1. Kirchhoff의 법칙
     2. Wien의 전이법칙
     3. Fourier의 법칙
     4. Stefan-Boltzmann 법칙

     정답 : []
     정답률 : 8%

51. 혼합에 영향을 주는 물리적 조건에 대한 설명으로 옳지 않은 것은?
     1. 섬유상의 형상을 가진 것은 혼합하기가 어렵다.
     2. 건조분말과 습한 것의 혼합은 한 쪽을 분할하여 혼합 한다.
     3. 밀도차가 클 때는 밀도가 큰 것이 아래로 내려가므로 상하가 고루 교환되도록 회전방법을 취한다.
     4. 액체와 고체의 혼합ㆍ반죽에서는 습윤성이 적은 것이 혼합하기 쉽고, 분체에서는 일반적으로 수분이 많은 것이 좋다.

     정답 : []
     정답률 : 10%

52. 증류에 대한 설명으로 옳지 않은 것은?
     1. 환류비가 커질수록 단수 N도 많아진다.
     2. 비점이 비슷한 혼합물을 분리하는데 이용된다.
     3. 환류액량과 유출액량의 비를 환류비라한다.
     4. 환류비를 크게 하면 제품의 순도는 높아진다.

     정답 : []
     정답률 : 10%

53. 비중이 0.945 인 액체가 내경이 2인치 관속으로 3㎝/sec의 속도로 흐른다. 액체의 점도가 0.9cP 일 때 Fanning 의 마찰계수는?
     1. 0.001
     2. 0.010
     3. 0.015
     4. 0.10

     정답 : []
     정답률 : 0%

54. 건조에 대한 설명으로 옳지 않은 것은?
     1. 건조는 감율단계, 항율단계의 순으로 진행된다.
     2. 건조 시간은 자유 수분량과 관계가 있다.
     3. 한계수분량 이상에서 건조속도는 항상 일정하다.
     4. 건조가 기공에서의 확산에 의해 지배될 경우 건조 속도는 물질 두께의 제곱에 반비례한다.

     정답 : []
     정답률 : 9%

55. 공극률(porosity)이 0.4 인 충전탑 내를 유체가 유효 속도(superficial velocity) 0.8m/s 로 흐르고 있을 때 충전탑 내의 실제 속도는?
     1. 0.8 m/s
     2. 0.32 m/s
     3. 0.50 m/s
     4. 2.0 m/s

     정답 : []
     정답률 : 19%

56. 이동단위수(number of transfer unit)를 나타 내는 관계식은?
     1. GH/kya
     2. L/S/Kxa
     3.
     4. V/S/Kya

     정답 : []
     정답률 : 8%

57. 중량비로 벤젠 42%, 톨루엔 58% 인 혼합액을 25,000㎏/hr 로 연속 정류한다. 탑상액의 조성을 벤젠 94wt%, 탑저액의 벤젠은 8wt% 로 할 때 탑상제품의 양은?
     1. 9883㎏/hr
     2. 13700㎏/hr
     3. 6850㎏/hr
     4. 19766㎏/hr

     정답 : []
     정답률 : 24%

58. 동일 직경의 수평 가열관 내를 1atm, 20℃ 로 들어가는 공기가 초속 6m/sec 이었다. 출구의 압력이 758㎜Hg 이고 온도가 80℃ 이었다면 출구에서의 공기의 속도는 몇 m/sec 인가?
     1. 7.25
     2. 7.55
     3. 8.25
     4. 8.55

     정답 : []
     정답률 : 29%

59. 향류식 이중 열교환기에서 뜨거운 유체는 200°C에서 50°C 로 냉각되고 차거운 유체는 30°C 에서 150°C로 가열된다. 이 경우 뜨거운 유체와 찬 유체의 평균 온도차는?
     1. 30.0°C
     2. 31.6°C
     3. 32.7°C
     4. 35.0°C

     정답 : []
     정답률 : 13%

60. 다중 효용 증발 조작의 목적으로 가장 옳은 것은?
     1. 제품의 순도를 높이기 위한 것이다.
     2. 장치비를 절약하기 위한 것이다.
     3. 열을 경제적으로 이용하기 위한 것이다.
     4. 제품제조 공정의 단순화를 위한 것이다.

     정답 : []
     정답률 : 28%

4과목 : 반응공학


61. 다음 그림과 같이 반응물과 생성물의 에너지 상태가 주어졌을 때 반응열 관계로서 옳은 것은?

    

     1. 발열반응이며, 발열량은 20㎈ 이다.
     2. 발열반응이며, 발열량은 50㎈ 이다.
     3. 흡열반응이며, 흡열량은 20㎈ 이다.
     4. 흡열반응이며, 흡열량은 50㎈ 이다.

     정답 : []
     정답률 : 17%

62. 액상 반응이 다음과 같이 병렬 반응으로 진행 된다면 단일 혼합류 반응기를 사용하여 R 을 많이 얻고 S 를 적게 얻으려면 A, B 의 농도는 어떻게 되어야 하는가?

    

     1. CA는 크고, CB도 커야 한다.
     2. CA는 작고, CB는 커야 한다.
     3. CA는 크고, CB는 작아야 한다.
     4. CA는 작고, CB도 작아야 한다.

     정답 : []
     정답률 : 20%

63. Arrhenius 법칙이 성립하면 어떻게 되겠는가?
     1. K 와 T 는 직선관계가 있다.
     2. ℓnk 와 은 직선관계가 있다.
     3. ℓnk 와 ℓn 는 직선관계가 있다.
     4. ℓn 와 T 는 직선관계가 있다.

     정답 : []
     정답률 : 24%

64. 액상반응 A → R 은 1차 비가역 반응이다. 어느 유량과 농도의 반응물을 90% 전환시키기 위하여 20m3 의 플러그흐름 반응기가 필요하였다. 같은 유량과 농도의 반응물을 역시 90% 전환시키기에 필요한 혼합흐름반응기의 용량에 가장 가까운 것은?
     1. 20m3
     2. 40m3
     3. 60m3
     4. 78m3

     정답 : []
     정답률 : 24%

65. ( A →R 인) 0차 반응의 적분법을 이용한 결과식은?
     1. CA-CAO=kt
     2.
     3. CAO-CA=kt
     4.

     정답 : []
     정답률 : 8%

66. 1차 비가역 액상반응이 일어나는 관형 반응기에서 공간시간은 2min 이고, 전환율이 40% 였을 때 전환율을 90%로 하려면 공간 시간은 얼마가 되어야 하는가?
     1. 0.26min
     2. 0.39min
     3. 5.59min
     4. 9.02min

     정답 : []
     정답률 : 25%

67. 순수한 액체 A 의 분해반응이 25℃ 에서 아래와 같을 때, A 의 초기농도가 2㏖/L이고, 이 반응이 혼합반응기에서 S 를 최대로 얻을 수 있는 조건하에서 진행되었다면 S 의 최대농도는?

    

     1. 0.33㏖/L
     2. 0.25㏖/L
     3. 0.50㏖/L
     4. 0.67㏖/L

     정답 : []
     정답률 : 7%

68. 액상 비가역 2차 반응 A → B 를 그림과 같이 환류식 플러그 흐름 반응기에서 연속적으로 진행시키고자 한다. 이 때 반응기 입구에서의 A의 농도 CAi 를 표현한 식은?

    

     1. CAi=
     2. CAi=
     3. CAi=RCAf+CAo
     4. CAi=CAf+RCAo

     정답 : []
     정답률 : 12%

69. 1atm, 900℃에서 2N2O→2N2+O2로 분해되는 소멸속도는 금촉매 하에 반응물의 1차로 표시되고, 속도상수 kc가 0.013 s-1일 때, 압력항으로 표시되는 속도상수 kp(mol/cm3ㆍsㆍatm)는? (단, 기체상수 R=82.05atmㆍcm3/molㆍK)
     1. 2.75x10-6
     2. 1.35x10-7
     3. 1.12x10-8
     4. 1.10x10-9

     정답 : []
     정답률 : 18%

70. 어떤 반응의 속도식이 이다. 이 때 농도가 mol/ℓ, 시간이 hr로 주어졌을 때 반응속도 상수(ℓ/molㆍhr)는?
     1. 0.000005
     2. 0.0003
     3. 0.005
     4. 0.03

     정답 : []
     정답률 : 10%

71. 비균일상 반응에 대한 설명으로 가장 거리가 먼 것은?
     1. 상 사이의 물질 전달은 고려해야 한다.
     2. 여러 과정이 동시에 진행되고 있을 때 총괄속도는 r 총괄 = r1 = r2 = ㆍㆍㆍㆍㆍㆍ = rn 이다.
     3. 여러 과정의 속도식에 사용되는 단위는 반드시 같아야 한다.
     4. 총괄 속도식에는 중간체의 농도항이 포함되어 있으면 안된다.

     정답 : []
     정답률 : 12%

72. 반응차수 n > 1 인 경우 이상 반응기의 가장 효과적인 배열은? (단, 플러그반응기와 작은혼합반응기의 부피는 같다.)
     1. 플러그반응기 - 큰혼합반응기 - 작은혼합반응기
     2. 큰혼합반응기 - 작은혼합반응기 - 플러그반응기
     3. 플러그반응기 - 작은혼합반응기 - 큰혼합반응기
     4. 작은혼합반응기 - 플러그반응기 - 큰혼합반응기

     정답 : []
     정답률 : 16%

73. 불균일 촉매반응에서 유효계수(유효성인자)의 영향 인자로서 가장 거리가 먼 것은?
     1. 촉매의 세공 분포
     2. 담체의 강도
     3. 촉매의 평균 기공 크기
     4. 촉매의 입자 크기

     정답 : []
     정답률 : 31%

74. 크기가 같은 반응기 2개를 직렬로 연결하여 A → R 로 표시되는 액상 1차 반응을 진행시킬 때 최종 전화율이 가장 큰 경우는?
     1. 관형반응기 + 혼합반응기
     2. 혼합반응기 + 관형반응기
     3. 관형반응기 + 관형반응기
     4. 혼합반응기 + 혼합반응기

     정답 : []
     정답률 : 19%

75. 촉매에 대한 설명으로 옳지 않은 것은?
     1. 촉매는 반응의 활성화 에너지를 변화 시킨다.
     2. 적은 양의 촉매로서도 많은 양의 생성물을 만들 수 있다.
     3. 촉매는 정반응에 더 큰 영향을 준다.
     4. 촉매는 반응속도에만 관여하고 평형 관계에는 영향을 주지 않는다.

     정답 : []
     정답률 : 9%

76. 의 반응에서 생성속도의 비를 표현한 식은? (단, a1은 A → R반응의 반응차수이며 a2는 A → S반응의 반응차수이다. k1, k2 는 각각의 경로에서 속도상수이다.)
     1.
     2.
     3.
     4.

     정답 : []
     정답률 : 24%

77. 다음과 같은 기상반응이 일어날 때, 반응기에 유입되는 기체 반응물 중 반응물 A는 50% 이다. 부피팽창계수 εA는?

    

     1. 0
     2. 0.5
     3. 1.0
     4. 1.5

     정답 : []
     정답률 : 17%

78. 기초반응식이 + B = R + 일 때의 반응속도식은 로 알려져 있다. 만약 이 반응식을 정수로 표현하기 위하여 A + 2B = 2R + S 로서 표현하였을 때 반응 속도식으로 옳은 것은?
     1.
     2.
     3.
     4.

     정답 : []
     정답률 : 25%

79. 다음 반응식 중 연속병행반응(series-parallel reaction)은?
     1. A + B → R
     2. A → R → S
     3. A → R, A → S
     4. A + B → R, R + B → S

     정답 : []
     정답률 : 15%

80. 2 A + B → 2 C, 반응이 회분반응기에서 정압 등온으로 진행된다. A, B가 양론비로 도입되고, 불활성물이 없을 때 초기 전몰수에 대한 임의시간 전몰수의 비(Nt/Nto)를 바르게 표시한 것은?
     1. 1 - XA/3
     2. 1 + XA/4
     3.
     4.

     정답 : []
     정답률 : 27%

5과목 : 공정제어


81. 그래프의 함수와 그의 Laplace 변환된 형태의 함수가 맞게 되어 있는 항은?

    

     1.
     2.
     3.
     4.

     정답 : []
     정답률 : 24%

82. Routh의 판별법에서 수열의 최좌열(最左列)이 다음과 같을 때 이 주어진 계의 특성방정식은 양의 근 또는 양의 실수부를 갖는 근은?

    

     1. 전혀없다.
     2. 1개 있다.
     3. 2개 있다.
     4. 3개 있다.

     정답 : []
     정답률 : 34%

83. 의 고차계 공정에서의 단위계단 입력에 대한 공정응답 중 맞는 것은?
     1. 차수 n 이 커지면 진동응답이 생길 수 있다.
     2. 차수 n 이 커질수록 응답이 느려진다.
     3. 시상수 τ 가 클수록 응답이 빨라진다.
     4. 이득 K 가 커지면 진동응답이 생길 수 있다.

     정답 : []
     정답률 : 9%

84. 다음 조절계(Controller)중 편차(offset)가 없는 것은?
     1. 비례 - 미분 조절계
     2. on - off조절계
     3. 비례 - 적분 조절계
     4. 비례 조절계

     정답 : []
     정답률 : 8%

85. f(t) = = tu(t) 는 다음 중 어느 함수에 속하는가?
     1. step function
     2. expontial function
     3. ramp function
     4. transfer function

     정답 : []
     정답률 : 16%

86. 전달함수{G(S)}가 G(S) = = 인 1차계에서 입력 x(t)가 단위순간(impulse)인 경우 출력 y(t)는?
     1.
     2.
     3.
     4.

     정답 : []
     정답률 : 39%

87. G(S)H(S) = 인 특성방정식에서 이득여유(Gain Margine)가 -20㏈일 때 K값은?
     1. 20
     2. -20
     3. 10
     4. -10

     정답 : []
     정답률 : 10%

88. 다음 함수의 라플라스 역변환값은?

    

     1. ate-bt
     2. atebt
     3.
     4.

     정답 : []
     정답률 : 17%

89. 다음은 화학공장의 공정제어의 필요성에 대해 설명한 것이다. 잘못 설명된 것은?
     1. 균일한 제품을 생산하여 제품의 질을 향상시키기 위해
     2. 운전도중 안전사고의 예방을 위해
     3. 생산비 절감 및 생산성 향상을 위해
     4. 공장운전의 무인화를 위해

     정답 : []
     정답률 : 19%

90. 물탱크에서 물이 관을 통해 밖으로 빠져나가는 양이 물탱크 안의 액체 높이의 제곱근에 비례할 때 이를 선형화 하여 현재의 액체 높이로 표현했을 때 올바른 것은?
     1. 현재의 높이의 반 x 높이
     2. 현재의 높이의 제곱근 x 높이
     3. 현재의 높이의 제곱근의 역수의 반 x 높이
     4. 현재의 높이의 제곱근의 반 x 높이

     정답 : []
     정답률 : 16%

91. 다음 물리계 중 1차계가 아닌 것은?
     1. 가열로 안의 온도
     2. 물탱크 안의 액체 높이
     3. 수은 온도계의 온도
     4. 감쇠진동기의 위치

     정답 : []
     정답률 : 20%

92. 다음의 함수를 라프라스 전환하면 어떻게 되는가?

    

     1.
     2.
     3.
     4.

     정답 : []
     정답률 : 31%

93. 전달함수 G(s) = Kc(1 + s)인 비례 - 미분제어기의 주파수 응답에서 위상각이 45°이면 진폭비는 Kc의 몇 배인가?
     1. 1
     2.
     3. √2
     4. 2

     정답 : []
     정답률 : 12%

94. 어떤 계의 단위계단 응답이 Y(t) = 일 경우 이 계의 단위충격응답(impulse response)은?
     1.
     2.
     3.
     4.

     정답 : []
     정답률 : 36%

95. 2차 계의 경우 상승시간(rise time) 이란?
     1. 출력응답이 그의 최종값에 처음 도달할 때까지 요하는 시간이다.
     2. 출력응답이 그의 최종값의 + 5% 에 도달하는데 요하는 시간이다.
     3. 출력응답의 진동이 없어질 때까지 요하는 시간이다.
     4. 출력응답이 그의 최종치에 도달할 때까지 요하는 시간이다.

     정답 : []
     정답률 : 25%

96. 다음 그림과 같은 나이퀴스트 선도(Nyquist diagram)로 부터 계의 안정도를 판별하면?

    

     1. Stable
     2. Conditionally Stable
     3. Unstable
     4. not Known

     정답 : []
     정답률 : 8%

97. 어떤 계의 전달함수 일 때 이 계의 단위계단 응답(unit step response)은?
     1. 임계 감쇄이다.
     2. 자연 진동이다.
     3. 무감쇄 진동이다.
     4. 무진동 감쇄이다.

     정답 : []
     정답률 : 24%

98. 다음 G(s) = 인 계의 시상수는 얼마인가?
     1.
     2.
     3. 10
     4. 100

     정답 : []
     정답률 : 22%

99. 주파수 응답을 이용한 2차 계의 안정성을 판정하기 위한 이득 여유에 관한 설명 중 올바른 것은?
     1. 계가 안정하기 위해서는 Bode 선도 중 위상각이 -180도 일 때의 진폭비가 1보다 작아야 하므로 이득 여유는 1에서 이 때의 진폭비를 뺀 값이 된다.
     2. 계가 안정하기 위해서는 Bode 선도 중 위상각이 -180도 일 때의 진폭비가 1보다 작아야 하나 로그좌표를 사용 하므로 이득 여유는 이 때의 진폭비의 역수가 된다.
     3. 계가 안정하기 위해서는 Bode 선도 중 위상각이 -180도 일 때의 진폭비가 1보다 커야 하므로 이득 여유는 이때의 진폭비에서 1을 뺀 값이 된다.
     4. 계가 안정하기 위해서는 Bode 선도 중 위상각이 -180도 일 때의 진폭비가 1보다 커야 하나 로그좌표를 사용하므로 이득 여유는 이 때의 진폭비가 된다.

     정답 : []
     정답률 : 25%

100. 스프링 상수가 선형적이며 이상적인 스프링 저울의 움직임을 수식으로 나타내면 다음 중 어느 것에 해당되는가?
     1. 선형 1차 미분방정식
     2. 선형 2차 미분방정식
     3. 선형 3차 미분방정식
     4. 선형 4차 미분방정식

     정답 : []
     정답률 : 20%

101. 질산의 직접 합성반응은 다음과 같다. NH3 + 2O2 → HNO3 + H2O 반응 후 응축하여 생성된 질산 용액의 농도는 몇 % 인가?
     1. 68
     2. 78
     3. 88
     4. 98

     정답 : []
     정답률 : 24%

102. 다음 중 축합반응으로 만들 수 있는 유기산은?
     1. 시트르산
     2. 말산
     3. 아세트산
     4. 락트산

     정답 : []
     정답률 : 25%

103. 다음에 열거된 조건은 암모니아산화법에 의한 질산제조 시 어느 공정조건에 해당하는가?
     1. 상압공정
     2. 중압공정
     3. 고압공정
     4. 부분가압공정

     정답 : []
     정답률 : 17%

104. 방향족 탄화수소를 SO3 계의 슬폰화제로 슬폰화 반응을 하는데 있어서 반응속도에 영향을 미치는 인자가 아닌것은?
     1. SO3 농도
     2. 압력
     3. 온도
     4. 촉매

     정답 : []
     정답률 : 17%

105. 에틸렌 제조의 주된 공업원료로 삼고 있는 것은?
     1. 경유
     2. 등유
     3. 나프타
     4. 중유

     정답 : []
     정답률 : 19%

106. 다음은 건식 에칭법 중 플라즈마 에칭에 대한 설명이다. 틀린 것은?
     1. 라디칼 및 이온 반응종이다.
     2. 에칭상태는 등방성이다.
     3. Al도 에칭이 가능하다.
     4. 실리콘상의 SiO2 에칭이 불가능하다.

     정답 : []
     정답률 : 14%

107. 다음 중 화학공업의 특성이 아닌 것은?
     1. 물리적 또는 화학적 변화가 일어난다.
     2. 화학장치를 가공수단으로 사용한다.
     3. 초기의 화학공업은 석유화학, 정유 등 장치 산업이 많았다.
     4. 의약품, 정밀화학 등은 다품종 대량생산 방식을 채택 한다.

     정답 : []
     정답률 : 31%

108. 다음 중 석유류의 불순물(황,질소,산소)제거에 사용되는 방법은?
     1. Hydroforming process
     2. Visbreaking process
     3. Hydrotreating process
     4. Platforming process

     정답 : []
     정답률 : 22%

109. 0.5 Faraday의 전류량에 의해서 생성되는 NaOH의 양은 몇 g 인가? (단, Na=23, H=1, O=16)
     1. 10
     2. 20
     3. 30
     4. 40

     정답 : []
     정답률 : 24%

110. 다음 중 기하이성질을 나타내는 고분자가 아닌 것은?
     1. 폴리부타디엔
     2. 폴리클로로프렌
     3. 폴리이소프렌
     4. 폴리비닐알콜

     정답 : []
     정답률 : 31%

111. 반도체 제조과정 중에서 식각공정 후 행해지는 세정공정에 사용되는 piranha 용액은?
     1. NH4OH + HF + H2O
     2. HCl + HF + H2O
     3. NH4OH + H2O2 + H2O
     4. HCl + H2O2 + H2O

     정답 : []
     정답률 : 25%

112. NaOH 제조 시 격막식의 단점은?
     1. 제품의 순도와 온도가 높다.
     2. 수은법보다 조전압이 높아서 전력소모가 크다.
     3. 값이 비싼 수은을 사용한다.
     4. 농축비용이 많이들며 불순물로 순도가 낮다.

     정답 : []
     정답률 : 30%

113. 다음 유기용매 중에서 물과 섞이지 않는 것은?
     1. CH3OCH3
     2. CH3COOH
     3. C2H5OH
     4. C2H5OC2H5

     정답 : []
     정답률 : 36%

114. 카바이드는 석회질소비료의 제조원료로서 이의 함량은 아세틸렌 가스의 발생량으로 결정한다. 1㎏의 카바이드에서 250L(10℃, 760㎜Hg)의 아세틸렌 가스가 발생하였다면 카바이드의 함량은 백분율로 얼마인가? (단, 원자량은 Ca:40, C:12)
     1. 68.9%
     2. 75.3%
     3. 78.8%
     4. 83.9%

     정답 : []
     정답률 : 19%

115. 암모니아 산화법에 의한 질산 제조에서 백금-로듐(Pt-Rh) 촉매에 대한 설명 중 옳지 않은 것은?
     1. 백금(Pt) 단독으로 사용하는 것보다 수명이 60% 정도 연장된다.
     2. 촉매 독물질로서는 비소, 유황, 인, 규소 등의 화합 물이다.
     3. 백금에 로듐(Rh) 함량이 10%인 것이 2%인 것보다 전화율이 낮다.
     4. 백금(Pt) 단독으로 사용하는 것보다 내열성이 강하다.

     정답 : []
     정답률 : 31%

116. 휘발유를 구성하는 탄화수소 구조와 옥탄가와의 상관관계 를 잘못 설명 것은?
     1. 동일계 탄화수소의 경우 비점이 낮을수록 옥탄가가 높다.
     2. 파라핀계의 경우 측쇄가 많을수록 옥탄가가 낮다.
     3. 나프탈렌 및 방향족계에서는 측쇄가 길수록 옥탄가가 낮다.
     4. 동일 탄소수의 탄화수소에서는 방향족계 > 나프텐계 > 올레핀계 > 파라핀계의 순으로 옥탄가가 크다.

     정답 : []
     정답률 : 15%

117. 인광석에 의한 과린산석회 비료의 제조공정에 있어서 화학 반응식 중 옳은 것은?
     1. CaH4(PO4)2 + NH3 → NH4H2PO4 + CaHPO4
     2. Ca3(PO4)2 + 4H3PO4 + 3H2O → 3[CaH4(PO4)2 ㆍH2O]
     3. Ca3(PO4)2 + 2H2SO4 + 5H2O → CaH4(PO4)2ㆍH2O + 2[CaSO4ㆍ2H2O]
     4. Ca3(PO4) + 4HCl → CaH4(PO4)2 + 2CaCl2

     정답 : []
     정답률 : 25%

118. 요소의 제법에 대한 설명 중 옳지 않은 것은?
     1. 순환법은 CO2와 NH3의 배합비가 정확하여야 한다.
     2. 비순환법에서는 황산암모늄이 부산물로 생긴다.
     3. 순환법에서는 황산암모늄의 부산물이 생기지 않는다.
     4. 반순환법은 순환법과 비순환법의 이론을 모두 적용한 것이다.

     정답 : []
     정답률 : 0%

119. 연료전지의 종류 중 이온전도성 산화물을 전해질로 이용하여 고온으로 운전하는 것이 특징이며 고온에서 운전하므로 써 이론에너지 효율은 저하되는 반면에 에너지 회수율이 향상되면서 화력 발전을 대체하고 석탄 가스를 이용한 고효율이 기대되고 있는 것은?
     1. 인산형 연료전지(PAFC)
     2. 용융탄산염 연료전지(MCFC)
     3. 고체산화물형 연료전지(SOFC)
     4. 고체분자형 연료전지(PEFC)

     정답 : []
     정답률 : 8%

120. 아세틸렌에 무엇을 작용시키면 염화비닐이 생성되는가?
     1. HCl
     2. Cl2
     3. HOCl
     4. KCl

     정답 : []
     정답률 : 45%


정 답 지

1

2

3

4

5

6

7

8

9

10

11

12

13

14

15

16

17

18

19

20

21

22

23

24

25

26

27

28

29

30

31

32

33

34

35

36

37

38

39

40

41

42

43

44

45

46

47

48

49

50

51

52

53

54

55

56

57

58

59

60

61

62

63

64

65

66

67

68

69

70

71

72

73

74

75

76

77

78

79

80

81

82

83

84

85

86

87

88

89

90

91

92

93

94

95

96

97

98

99

100

101

102

103

104

105

106

107

108

109

110

111

112

113

114

115

116

117

118

119

120

화공기사(구)(구) 필기 기출문제(해설) 및 CBT 2005년05월29일을 이용해 주셔서 감사합니다.
, 필기, 기출문제, 전자문제집, CBT, 온라인, 모의테스트, 모의고사



List of Articles
번호 제목 글쓴이 날짜 조회 수
2798 전기공사기사 필기 기출문제(해설) 및 CBT 2011년10월02일 좋은아빠되기 2025.11.13 5
2797 9급 국가직 공무원 화학공학일반 필기 기출문제(해설) 및 CBT 모의고사(2025년 11월 13일)(7823912) 좋은아빠되기 2025.11.13 4
2796 인터넷보안전문가 2급 필기 기출문제(해설) 및 CBT 2015년10월18일 좋은아빠되기 2025.11.13 5
2795 미용기능사(일반) 필기 기출문제(해설) 및 CBT 2008년10월05일 좋은아빠되기 2025.11.13 5
2794 소방설비산업기사(기계) 필기 기출문제(해설) 및 CBT 2007년05월13일 좋은아빠되기 2025.11.13 5
» 화공기사(구)(구) 필기 기출문제(해설) 및 CBT 2005년05월29일 좋은아빠되기 2025.11.13 6
2792 경찰공무원(순경) 행정법 필기 기출문제(해설) 및 CBT 2020년09월19일 좋은아빠되기 2025.11.13 6
2791 전산응용건축제도기능사 필기 기출문제(해설) 및 CBT 2008년07월13일(4회) 좋은아빠되기 2025.11.13 6
2790 9급 지방직 공무원 서울시 자동차구조원리(유공자) 필기 기출문제(해설) 및 CBT 2021년06월05일 좋은아빠되기 2025.11.13 5
2789 방사선비파괴검사산업기사 필기 기출문제(해설) 및 CBT 2014년09월20일 좋은아빠되기 2025.11.13 6
2788 한국사능력검정시험 초급(폐지) 필기 기출문제(해설) 및 CBT 2010년05월08일 좋은아빠되기 2025.11.13 4
2787 사회복지사 1급(3교시) 필기 기출문제(해설) 및 CBT 모의고사(2025년 11월 13일)(6383611) 좋은아빠되기 2025.11.13 15
2786 침투비파괴검사기능사 필기 기출문제(해설) 및 CBT 2010년07월11일(4회) 좋은아빠되기 2025.11.13 6
2785 전자계산기기능사 필기 기출문제(해설) 및 CBT 2005년04월03일(2회) 좋은아빠되기 2025.11.13 5
2784 9급 국가직 공무원 건축계획 필기 기출문제(해설) 및 CBT 2022년04월02일 좋은아빠되기 2025.11.13 6
2783 PSAT 언어논리 필기 기출문제(해설) 및 CBT 2021년03월06일 좋은아빠되기 2025.11.13 4
2782 버섯종균기능사 필기 기출문제(해설) 및 CBT 2006년04월02일(2회) 좋은아빠되기 2025.11.13 5
2781 9급 국가직 공무원 노동법개론 필기 기출문제(해설) 및 CBT 모의고사(2025년 11월 13일)(8558946) 좋은아빠되기 2025.11.13 6
2780 변리사 1차(1교시) 필기 기출문제(해설) 및 CBT 2011년02월27일 좋은아빠되기 2025.11.13 13
2779 FAT 1급 필기 기출문제(해설) 및 CBT 2021년06월13일 좋은아빠되기 2025.11.13 6
Board Pagination Prev 1 ... 103 104 105 106 107 108 109 110 111 112 ... 247 Next
/ 247