자격증 필기 기출문제



의공기사 필기 기출문제(해설) 및 CBT 2020년06월06일(12582)

최강 자격증 기출문제 전자문제집 CBT : www.comcbt.com


전자문제집 CBT란?

종이 문제집이 아닌 인터넷으로 문제를 풀고 자동으로 채점하며 모의고사, 오답 노트, 해설까지 제공하는
무료 기출문제 학습 프로그램으로 실제 상설검정에서 사용하는 OMR 형식의 CBT를 제공합니다.


최신 의공기사 필기 기출문제 : [다운로드]

1과목 : 기초의학 및 의공학


1. 심장과 관련된 설명 중 틀린 것은?
     1. 좌심방, 좌심실, 우심방, 우심실의 벽 중에서 좌심실의 벽이 가장 두껍다.
     2. 심근의 활동전위는 골격근의 활동전위보다 기간이 길다.
     3. 심장근 활동전위 곡선에서 고평부(Plateau)가 생기는 것은 Fe의 작용 때문이다.
     4. 심장의 흥분과정이나 그 전도과정에 이상이 발생하여 심장 리듬에 이상이 생긴 경우를 부정맥이라 한다.

     정답 : []
     정답률 : 79%
     <문제 해설>
심장근은 고평부가 길어서 불응기가 깁니다.

신호전달→칼슘의 농도증가→근육의 수축에서 다음신호가 오기전에 불응기가 너무 길어서 이전 신호에 의한 증가한 칼슘의 농도가 다시 정상으로 돌아오기에 칼슘의 농도가 중첩해서 증가하지 않고, 이 때문에 강축이 일어나지 않습니다.

심장근 활동전위 곡선에서 고평부(Plateau)가 생기는 것은 CA(칼슘)의 작용 때문이다.
[해설작성자 : 술풀레옹]

심장 수축으로 혈액을 전신에 공급하는 좌심실 벽은 우심실에 비하여 3배 정도 두껍다.
[해설작성자 : 세븐틴]

2. 광센서에서 휴대를 요하는 경우 광원으로 LED가 유용하게 쓰이는 이유로 틀린 것은?
     1. 저비용이다.
     2. 크기가 작다.
     3. 온도가 증가한다.
     4. 수명이 길다.

     정답 : []
     정답률 : 90%
     <문제 해설>
온도가 증가하는 것은 LED의 단점이다.
[해설작성자 : 술풀레옹]

3. 센서회로에 많이 이용되는 회로로 미지의 저항값을 측정할 때 사용되는 회로는?
     1. 발진 회로
     2. 베이스 공통 회로
     3. 휘스톤 브리지 회로
     4. 이미터 바이어스 회로

     정답 : []
     정답률 : 84%
     <문제 해설>
발진 회로: 외부 입력이 없어도 출력이 나오는 회로
베이스 공통 회로: 트랜지스터 베이스를 입출력 공통으로 접지하는 회로
휘스톤 브리지 회로: 미지의 저항값을 측정할 때 사용되는 회로
이미터 바이어스 회로: +, - 전압원으르 이용해 트랜지스터가 동작하도록 하는 회로, 고정바이어스 이미터에 저항을 연결하며 보다 안정적임
[해설작성자 : 화이팅]

4. 생체신호 측정용 전극에서 유리모세관을 이용하여 제작되며, 일반적으로 3 mol 의 KCI을 봉입하고 와이어 전극을 삽입하여 만들어지고 전극으로는 은-염화은이 많이 이용되지만, 스테인리스강으로도 제작되는 전극은?
     1. 마이크로 피펫 전극(Micropipet electrode)
     2. 실리콘 미세전극(Silicone microelectrode)
     3. 금속 미세전극(Metal microelectrode)
     4. 침 전극(Needle electrode)

     정답 : []
     정답률 : 83%

5. 가변저항(potentiometer) 센서에 대한 설명으로 틀린 것은?
     1. 직선 변위만 측정할 수 있다.
     2. 선형성이 좋고 측정 범위가 넓다.
     3. 교류와 직류 모두 사용할 수 있다.
     4. 저항 측정을 통해 변위를 측정한다.

     정답 : []
     정답률 : 87%
     <문제 해설>
가변저항센서는 직선, 회전변위 다 측정 가능
[해설작성자 : 화이팅]

6. 성인 심장 박동수가 분당 60회 미만으로 비정상적으로 천천히 뛰는 것은?
     1. 빈맥
     2. 서맥
     3. PVC(심실조기수축)
     4. PAC(심방조기수축)

     정답 : []
     정답률 : 89%
     <문제 해설>
정상보다 낮은 맥박수. [정의] 서맥은 심장박동이 너무 느린 것을 의미하며 나이와 상황에 따라 차이가 있으나 정상 맥박을 60-100회로 보아 60회 미만인 상태를 서맥이라고 한다.
[해설작성자 : 술풀레옹]

7. 체내에 삽입하여 측정하는 전극은?
     1. 건식 전극(Dry electrode)
     2. 와이어 전극(Wire electrode)
     3. 가요성 전극(Flexible electrode)
     4. 금속 플레이어 전극(Metal-plate electrode)

     정답 : []
     정답률 : 79%

8. 신경과 근육의 연접부위에 대한 설명 중 틀린 것은?
     1. 효소인 아세틸콜린 에스테라제는 아세틸콜린 복합체를 활성화 시켜준다.
     2. 유출된 아세틸콜린은 근육의 수용기(receptor)에 도달되어 수용기-아세틸콜린 복합체를 만든다.
     3. 운동신경 말단에는 다수의 소포(vesicle)가 있고 이곳에 미토콘드리아 및 화학전달물질인 아세틸콜린 등이 함유되어 있다.
     4. 흥분이 신경종말까지 전도되면 소포 속에 저장되어 있던 아세틸콜린이 분비되어 신경종말과 종판 사이의 좁은 간격으로 확산 유출된다.

     정답 : []
     정답률 : 61%
     <문제 해설>
신경 전달 물질인 아세틸콜린의 분해 효소. 신경 작용제는 이 효소와 강력히 결합하므로 아세틸콜린의 분해 작용을 억제한다.
아세트콜린을 아세트산과 콜린으로 분해한다, 활성화 시키지 않는다.
[해설작성자 : 술풀레옹]

9. 변위에 따라 저항이 바뀌는 센서는?
     1. 열전쌍
     2. 압전센서
     3. 유도성 센서
     4. 스트레인게이지

     정답 : []
     정답률 : 71%
     <문제 해설>
열전쌍: 제벡효과를 이용하여 서로 다른 두 금속이나 반도체를 연결해 온도를 측정하는 센서
압전센서: 물리적 압력을 가하면 전위가 발생되고 전압을 가하면 변형이 생기는 물질을 이용해, 어떤 부위에서 일어난 변위나 압력 변화에 의한 전위를 측정하는 센서
유도성 센서: 코일로 구성된 상호 인덕턴스의 변화, 자기저항의 변화 등을 이용한 센서
[해설작성자 : 세븐틴]

10. 세포막의 선택적 투과에 의해 물질이 한 방향으로만 이동하는 현상은?
     1. 확산
     2. 삼투현상
     3. 용매끌기
     4. 능동적이동

     정답 : []
     정답률 : 80%
     <문제 해설>
삼투현상이란 농도가 낮은 곳에서 높은 곳으로 선택적 투과성 막을 통한 물의 이동 현상이다.
[해설작성자 : 술풀레옹]

11. 두 개의 코일을 같은 축 방향으로 배열하여 한 개의 코일에 교류전류를 흘려주고 코어의 위치변화를 시키면서 다른 코일에서 변위전압을 측정하는 센서방식은?
     1. 자기유도
     2. 상호유도
     3. 차동유도
     4. 전압유도

     정답 : []
     정답률 : 61%

12. 일회용 금속판 전극에 대한 설명으로 틀린 것은?
     1. 인체 내부의 장기에 사용할 수 있다.
     2. 전해질 겔을 추가로 바를 필요가 없다.
     3. 피부에 부착하기 위한 접착부분이 있다.
     4. 금속은 일반적으로 Ag-AgCl로 코팅되어 있다.

     정답 : []
     정답률 : 79%
     <문제 해설>
1 - 금속판 전극은 인체 외부인 피부에 접촉하여 사용한다.
[해설작성자 : 체리쥬빌레]

13. 세포외에 K+이 많아지는 과칼륨혈증(HyperKalemia) 상태가 되면 탈분극이 지연되는 현상이 생길 때 심전도의 형태는?
     1. P파는 높아진다.
     2. QRS파는 넓어진다.
     3. T파는 낮아진다.
     4. U파는 소멸된다.

     정답 : []
     정답률 : 86%

14. 의료 및 생체실험용으로 많이 쓰이는 대표적인 비분극형 전극에 해당하는 것은?
     1. 은 전극
     2. 금 전극
     3. 은-염화은 전극
     4. 스테인리스 바늘 전극

     정답 : []
     정답률 : 88%
     <문제 해설>
3 - 은-염화은 전극은 대표적인 비분극형 전극이다.
[해설작성자 : 체리쥬빌레]

15. 인체 피부에 탈부착이 쉽고 빠른 반면 장시간 사용에 부적합하고 굴곡이 심한 부위에는 부착할 수 없는 전극은?
     1. 부유 전극
     2. 흡착 전극
     3. 미세 전극
     4. 금속판 전극

     정답 : []
     정답률 : 81%

16. 변위를 계측하는 센서로 선형적인 출력특성을 가지며, 위상의 변화로 변위의 방향을 측정할 수 있는 센서는?
     1. 인코더(Encoder)
     2. 서미스터(Thermistor)
     3. 선형가변차동변환기(LVDT)
     4. 압전센서(Piezoelectric sensor)

     정답 : []
     정답률 : 84%

17. 윤활관절 중 한 면에서의 굽힘과 폄에 해당하는 운동만 가능한 관절은?
     1. 평면관절(plane joints)
     2. 중쇠관절(pivot joints)
     3. 경첩관절(hinge joints)
     4. 안장관절(saddle joints)

     정답 : []
     정답률 : 85%
     <문제 해설>
팔꿈치처럼 굽힘과 폄만 가능한 관절은 경첩관절이라고 한다. 네이버에 경첩 사진 검색 해보면 이해가 됨.
[해설작성자 : 술풀레옹]

평면관절: 무축성관절이라고도 하고 미끄러짐 운동을하며, 수근간관절, 족근간관절, 추간관절, 천장관절에서 볼 수 있다. 운동이 메우 제한되어 있다.
중쇠관절: 회전축을 갖는 장축과 평행으로 운동하여 장축과 직각방향으로만 운동이 가능해 내회전과 외회전 운동이 가능하다.
경첩관절: 뼈의 장축과 수직을 이루는 운동에 의해 굴곡과 신전운동이 가능하다.
안장관절: 무지의 수근중수관절에서 볼 수 있으며, 양관절면이 말안장 같은 구조를 하고 있다. 굴곡과 신전이외에 내전 및 외전운동 그리고 약간의 회전운동이 가능하다.
[해설작성자 : 경상남자]

18. 인체의 혈액은 체중의 얼마정도인가?
     1. 8%
     2. 23%
     3. 45%
     4. 55%

     정답 : []
     정답률 : 80%
     <문제 해설>
혈액량은 체중의 약 1/12 ~ 1/13 또는 약 6~9%(평균 8%)로 60kg의 몸무게인 사람의 혈액량은 약 5L 정도가 된다.
[해설작성자 : 술풀레옹]

19. 생체 신호를 측정하는데 있어 발생하는 동잡음에 대한 설명으로 옳은 것은?
     1. 전원 잡음이 주로 원인이다.
     2. 차동증폭기로 줄일 수 있다.
     3. 분극 전극에서는 비분극 전극에서보다 작게 발생한다.
     4. 전극표면에서 전하의 이중층에 교란이 일어나서 주로 생긴다.

     정답 : []
     정답률 : 67%

20. 심장 전기 자극의 이동경로로 옳은 것은?
     1. 동방결절(SA node)→심방(strium)→방실결절(AV node)→심실(ventricle)→히스속(His bundle)→푸르키니에 섬유(Purkihje Fiber)
     2. 동방결절(SA node)→심방(strium)→방실결절(AV node)→히스속(His bundle)→푸르키니에 섬유(Purkihje Fiber)→심실(ventricle)
     3. 방실결절(AV node)→심방(strium)→동방결절(SA node)→히스속(His bundle)→푸르키니에 섬유(Purkihje Fiber)→심실(ventricle)
     4. 방실결절(AV node)→동방결절(SA node)→심방(strium)→히스속(His bundle)→푸르키니에 섬유(Purkihje Fiber)→심실(ventricle)

     정답 : []
     정답률 : 84%

2과목 : 의용전자공학


21. 100회 감은 코일과 쇄교하는 자속이 2초 동안에 0.5Wb에서 0.3Wb로 감소하였을 때, 코일에 유기되는 기전력(V)은?
     1. 5
     2. 10
     3. 15
     4. 20

     정답 : []
     정답률 : 72%
     <문제 해설>
2 - 100*{(0.5-0.3)/2} = 100*0.1 = 10
[해설작성자 : 체리쥬빌레]

22. R-L-C 직렬회로에서 50V의 사인과 교류 전압을 인가했을 때, 회로에 흐르는 전류의 크기(A)는? (단, R=4ohm, XL=8ohm, XC=5ohm 이다.)
     1. 5
     2. 10
     3. 15
     4. 20

     정답 : []
     정답률 : 72%
     <문제 해설>
2 - 50*[1/루트{4^2+(8-5)^2}] = 10
[해설작성자 : 체리쥬빌레]

50*[1/루트{4^2+(8-5)^2}] = 10
[해설작성자 : comcbt.com 이용자]

23. 아래 그림과 같이 3-input AND 게이트에서 입력과 적합한 관계가 있는 출력파형은?

    

     1.
     2.
     3.
     4.

     정답 : []
     정답률 : 81%
     <문제 해설>
1 - 3-input AND 게이트 : 3개의 input이 모두 1이어야 출력값 X도 1이 된다.
[해설작성자 : 체리쥬빌레]

24. 변위전류와 관계가 가장 깊은 것은?
     1. 반도체
     2. 자성체
     3. 유전체
     4. 도체

     정답 : []
     정답률 : 75%

25. 직경이 5×10-3m인 혈관의 혈류가 0.1m/s로 흐르고 있다. 이 혈류에 직각 방향으로 3×10-3T의 자기장이 걸려 있을 때, 전자유량계의 전극을 혈관에 부착했을 시 유기되는 전압(μV)은? (단, 전극의 부착방향과 혈류 방향 및 자속의 방향은 서로 직각이다.)
     1. 0.015
     2. 0.15
     3. 1.5
     4. 15

     정답 : []
     정답률 : 58%
     <문제 해설>
E = V*B*D = 0.1*3*10^(-3)*5*10^(-3)
[해설작성자 : 크앙왕왕]

26. B급 전력증폭회로 출력단의 특성으로 틀린 것은?
     1. C급보다 효율이 나쁘다.
     2. A급보다 전력효율이 좋다.
     3. A급보다 신호 왜곡이 적다.
     4. 신호가 없을 때 전원전류가 흐르지 않는다.

     정답 : []
     정답률 : 61%
     <문제 해설>
A, B, AB, C급 중 C급이 효율이 가장 높다
A급은 전주기를 다 포함하나 일정치 이상으로는 포화현상이 발생하여 신호왜곡이 생길 가능성이 높다. + 전력효율은 가장 낮다
B급은 반주기에 대해 증폭시키며 무신호동작시 소모되는 전력이 없다. 약간의 왜곡이 생길 가능성이 있다.
AB급은 B급보다 조금더 큰주기에 대해 증폭시키며 소모되는 전력이 있다. 하지만 왜곡은 적다
C급은 고주파 발진용으로 많이 사용된다. 효율이 가장높다
[해설작성자 : OP.AMP만세]

27. 컴퓨터 시스템 주변장치에서 요청된 상황 발생 시 지체없이 적절한 조치를 취한 뒤 원래 수행하던 프로그램을 계속하도록 하는 기능은?
     1. 폴링(polling)
     2. 스풀링(spooling)
     3. 버퍼링(buffering)
     4. 인터럽트(interrupt)

     정답 : []
     정답률 : 75%
     <문제 해설>
인터럽트(interrupt)는 ‘방해하다’라는 뜻의 영단어입니다.
컴퓨터 분야에서 인터럽트라는 용어는 CPU(중앙 처리 장치)가 어떤 프로그램을 실행하고 있는데 당장 처리해야 하는 프로그램이 생겼을 경우 인터럽트 신호를 보내서 먼저 처리해야 하는 프로그램을 처리하고 다시 예전 프로그램으로 돌아가는 것을 말한다.
[해설작성자 : 술풀레옹]

28. 생체신호 측정에 사용되는 건성 전극에 대한 설명으로 틀린 것은?
     1. 전해질 겔을 사용하지 않아도 된다.
     2. 건성피부에서는 용량성의 잡음이 발생한다.
     3. 일반 전극에 비해 매우 큰 접촉 임피던스를 갖는다.
     4. 낮은 입력 임피던스의 초단 증폭기가 필요하다.

     정답 : []
     정답률 : 52%
     <문제 해설>
4. 고입력 임피던스의 초단증폭기가 필요
[해설작성자 : 크앙왕왕]

29. 커패시터 필터에 관한 설명으로 옳은 것은?
     1. 리플계수 r=VDC/Vr 이다.
     2. 리플이 클수록 효율적인 필터이다.
     3. 커패시터의 용량을 작게 하면 출력전압은 직류에 가까워진다.
     4. 커패시터의 충전과 방전에 의한 출력전압의 변동이 리플 전압이다.

     정답 : []
     정답률 : 66%
     <문제 해설>
1. 리플계수 r=Vr/V DC 이다.
2. 리플이 작을수록 효율적인 필터이다.
3. 커패시터의 용량을 크게 하면 출력전압은 직류에 가까워진다.
4. 커패시터의 충전과 방전에 의한 출력전압의 변동이 리플전압이다.
[해설작성자 : 지원이]

30. 심전계를 이용하여 정확한 심전도를 얻기 위한 주의사항 중 틀린 것은?
     1. 접지를 확실히 한다.
     2. 전극과 피부 면의 접촉저항을 아주 크게 한다.
     3. 세동 제거를 하는 경우는 심전도 전극을 분리한다.
     4. 펜의 진동이 기록지 폭의 중앙이 되도록 기선을 조정한다.

     정답 : []
     정답률 : 82%
     <문제 해설>
2 - 전극과 피부 면의 접촉저항을 최대한 작게 한다.
[해설작성자 : 체리쥬빌레]

31. 그림과 같이 두 개의 저항이 직렬로 접속되어 있을 때 저항 R1에 걸리는 전압(V)은?

    

     1. 4
     2. 8
     3. 12
     4. 16

     정답 : []
     정답률 : 80%
     <문제 해설>
20 - 20*(3/5) = 8
[해설작성자 : 술풀레옹]

20*(2/5) = 8
[해설작성자 : 뚱띵]

32. 생체신호변환 시스템을 구성할 때 필요조건이 아닌 것은?
     1. 보안
     2. 정확도
     3. 처리속도
     4. 전력소모

     정답 : []
     정답률 : 71%

33. 다음 회로와 같이 구성되고 정궤환 요소가 2개의 인덕턴스와 1개의 커패시터로 이루어진 발진기의 종류는?

    

     1. Colpitts 형
     2. Hartley 형
     3. Wien bridge 형
     4. Phase shift 형

     정답 : []
     정답률 : 70%

34. 맥파(pulse wave)의 종류로 틀린 것은?
     1. 혈류맥파
     2. 직경맥파
     3. 압맥파
     4. 횡맥파

     정답 : []
     정답률 : 64%

35. 전기력선의 특성에 대한 설명으로 틀린 것은?
     1. 전기력선은 전위가 낮은 쪽으로 향한다.
     2. 전기력선은 도체 표면과 평행하게 지나간다.
     3. 도체 내부에는 전기력선이 존재하지 않는다.
     4. 전기력선은 +전하에서 -전하로 끝난다.

     정답 : []
     정답률 : 61%
     <문제 해설>
전기력선은 도체 표면과 직각으로 지나간다.
[해설작성자 : 빠샤빠샤]

36. 마이크로프로세서의 성능을 구별하는 척도가 아닌 것은?
     1. 명령어 처리 속도
     2. 마이크로프로세서의 가격
     3. 접근할 수 있는 메모리 크기
     4. 마이크로프로세서가 처리하는 워드의 길이

     정답 : []
     정답률 : 86%
     <문제 해설>
2 - 가격은 성능을 구별하는 척도에 해당되지 않는다.
[해설작성자 : 체리쥬빌레]

37. 연산증폭기에서 부궤환(Negative Feedback)을 사용하는 목적으로 틀린 것은?
     1. 전압이득을 조절하여 사용하기 위해
     2. 선형증폭기로 사용하기 위해
     3. 비교기로 사용하기 위해
     4. 대역폭을 제어하기 위해

     정답 : []
     정답률 : 60%

38. 불 대수(Booleam algebra)의 기본정리 중 틀린 것은?
     1. A+1=A
     2. A·1=A
     3. A+A=A
     4. A·A=A

     정답 : []
     정답률 : 71%
     <문제 해설>
1 - A+1=1
[해설작성자 : 체리쥬빌레]

39. 기체 농도를 측정하는 방법으로 N2 함유기체가 이온화된 후 발생시키는 빛의 에너지를 측정하여 농도 계산을 하는 방법은?
     1. Mass spectroscopy
     2. Emission spectroscopy
     3. Infrared spectroscopy
     4. Thermal conductivity detector

     정답 : []
     정답률 : 71%

40. 단색광, 평행광, 동위상으며, 고에너지 집속이 가능한 광원은?
     1. 광방출 다이오드
     2. 텅스텐 램프
     3. 아크방전
     4. 레이저

     정답 : []
     정답률 : 77%
     <문제 해설>
레이저 특성 : 결맞음성, 단색성, 지향성, 간섭성, 에너지밀도 및 고휘도성
[해설작성자 : 벼리]

3과목 : 의료안전·법규 및 정보


41. 레이저의 등급에 대한 설명으로 옳은 것은?
     1. 1M등급- 인체에 레이저광을 조사하여도 위험하지 않다.
     2. 2등급- 눈에 레이저광이 조사될 때 0.25초의 눈깜빡임으로 보호될 수 있다.
     3. 3R등급- 인체에 레이저광이 직접 조사되면 위험하다.
     4. 3B등급- 눈에 레이저광이 직접 조사되면 위험하다.

     정답 : []
     정답률 : 65%

42. 전기충격 방지용 추가보호수단에 따른 의료기기 분류 중 2급기기에 해당하는 추가보호수단 내용으로 옳은 것은?
     1. 보호접지 설비가 필요
     2. 접지형 3핀 콘센트 사용
     3. 기초 절연에 다시 절연을 중복시키는 방법
     4. 기기에 전지와 같은 전원을 내장하여 외부와 관계없이 하는 방법

     정답 : []
     정답률 : 63%

43. 혈액 검사용 기기 품목에서 의료기기 등급이 다른 하나는?
     1. 정자·정액분석장치
     2. 혈중칼륨분석장치
     3. 개인용체외혈당측정시스템
     4. 자동헤모글로빈측정기

     정답 : []
     정답률 : 74%

44. 의료기기의 성능 및 안전성 등 품질에 관한 자료로서 해당 품목의 원자재, 구조, 사용목적, 사용방법, 적용원리, 사용시 주의사항, 시험규격 등이 포함된 문서는?
     1. 기술문서
     2. 제조판매증명서
     3. 품목허가 별첨자료
     4. 의료기기 시험검사 성적서

     정답 : []
     정답률 : 79%

45. 누설전류에 의해 감전된 자가 타인의 도움없이 전원으로부터 떨어질 수 있는 최대한계전류를 무엇이라 하는가?
     1. 자발탈출전류
     2. 마이크로쇼크
     3. 감지임계전류
     4. 최소감지전류

     정답 : []
     정답률 : 81%

46. 의료기기법에서 5년 이하의 징역 또는 5천만원 이하의 벌금에 해당하는 경우는?
     1. 의료기기의 첨부문서에 사용방법과 사용 시 주의사항을 기입하지 않은 경우
     2. 허가 또는 인증을 받지 아니하거나 신고를 하지 아니한 의료기기를 수리·판매·임대·수여를 한 경우
     3. 사용 시 국민건강에 증대한 피해를 주거나 치명적 영향을 줄 가능성이 있는 것으로 인정되는 의료기기에 대해 사용중지의 명령을 위반한 자의 경우
     4. 고의 또는 중대한 과실로 거짓의 기술문서심사결과통지서, 임상시험결과보고서, 비임상시험성적서를 작성 또는 발급에 해당하는 위반행위를 한자의 경우

     정답 : []
     정답률 : 75%

47. 다음 의료기기의 종류에서 충격시험이 필요없는 것은?
     1. 수지형 기기
     2. 이동형 기기
     3. 고정형 기기
     4. 신체착용형 기기

     정답 : []
     정답률 : 55%
     <문제 해설>
기계적 강도 시험을 적용하는 의료기기
- 수지형기기: 밀기 / 낙하 / 몰딩응력의 완화
- 운반가능한 기기: 밀기 / 낙하 / 몰딩응력의 완화 / 충격
- 이동형 기기: 밀기 / 몰딩응력의 완화 / 충격 / 거친 취급
- 고정형 또는 거치형: 밀기 / 몰딩 응력의 완화 / 충격
[해설작성자 : 블래닛]

48. 폐기물관리법 시행규칙에서 정하는 의료폐기물을 위탁처리하는 배출자의 보관기간에 대한 설명으로 틀린 것은?
     1. 격리의료폐기물: 7일
     2. 조직물류폐기물 중 치아: 60일
     3. 위해의료폐기물 중 혈액오염폐기물: 15일
     4. 위해의료폐기물 중 손산성 폐기물: 20일

     정답 : []
     정답률 : 61%
     <문제 해설>
4. 30일
[해설작성자 : 크앙왕왕]

49. 방사선 관계 종사자는 건강진단을 실시하여야 한다. 건강진단 시 검사항목으로 틀린 것은?
     1. 혈당
     2. 적혈구 수
     3. 백혈구 수
     4. 말초혈액 중의 혈색소 양

     정답 : []
     정답률 : 77%

50. 의료폐기물 처리 방법으로 옳은 것은?
     1. 멸균·분쇄한 후의 잔재물은 매립하여야 한다.
     2. 의료폐기물은 의료폐기물을 처리하기 위하여 설치한 소각시설이나 멸균·분쇄시설에서 처리하여야 한다.
     3. 의료폐기물은 소각시설이나 멸균·분쇄 시설에 넣기 전에 용기로부터 해체해서 넣어야 한다.
     4. 격리의료폐기물, 위해의료폐기물 중 조직물류폐기물 및 생물·화학폐기물은 멸균·분쇄하여야 한다.

     정답 : []
     정답률 : 77%

51. 미생물에 물리적 또는 화학적 자극을 가하여 완전히 사멸 제거하는 것을 말하며, 의료기기에서 주로 산화에틸렌, 열, 감마선 등이 사용되는 방법은?
     1. 멸균
     2. 소독
     3. 방부
     4. 향균 작용

     정답 : []
     정답률 : 86%

52. 환자접속부에서 환자를 경유하여 대지로 흐르는 전류는?
     1. 접지누설전류
     2. 외장누설전류
     3. 환자누설전류
     4. 환자측정전류

     정답 : []
     정답률 : 82%

53. 의료기기의 수입을 업으로 하려는 자는 누구에게서 수입허가를 받아야 하는가?
     1. 의사협회
     2. 보건복지부장관
     3. 관할자치구장
     4. 식품의약품안전처장

     정답 : []
     정답률 : 79%

54. 흉부수술실, 집중치료실, 응급실 등에서 각 장비 또는 시스템 간의 전위차를 해소하기 위해서 반드시 설치해야 하는 접지는?
     1. 보호접지
     2. 기능접지
     3. 계통접지
     4. 등전위접지

     정답 : []
     정답률 : 83%

55. 병원정보시스템을 도입 한 후 기대할 수 있는 효과로 틀린 것은?
     1. 자원 관리의 효율성
     2. 병원 행정업무의 개선
     3. 환자의 진료 서비스 개선
     4. 환자와 의료인 간의 인간적 유대감

     정답 : []
     정답률 : 84%

56. 원격의료에 대한 설명으로 틀린 것은?
     1. 원격통신을 이용한 진단 및 치료 행위
     2. 병원 내 PACS 연결로 인한 의료정보의 공유
     3. 화상회의와 원격의료영상전송시스템의 복합 기술
     4. 원격지의 의료종사자와 환자 사이에 정보통신기술을 활용한 의료행위

     정답 : []
     정답률 : 76%

57. 의료가스 시스템에 제공되는 의료가스 기준으로 옳은 것은?
     1. 의료가스로 분류된 이외의 다른 종류의 가스를 제공해도 된다.
     2. 특정 고압으로 연결된 장치가 있어서 안정된 가스압이 유지되어야 한다.
     3. 병원에 의료가스를 제공하는 데 있어서 사정에 따라 때로는 일시적으로 중단해도 된다.
     4. 일반 가정용 가스를 의료가스 아우트렛(outlet)으로부터 제공한다.

     정답 : []
     정답률 : 81%

58. 전자의무기록(EMR)의 개념으로 틀린 것은?
     1. 임상 경험과 의학 지식 축척의 보고
     2. 역학 및 임상의학 연구 수행의 핵심적 기반
     3. 환자의 임상진료와 관리에 관련된 모든 정보의 집합체
     4. 환자의 특성과 검사자료를 이용하여 진단과 치료방침을 제시

     정답 : []
     정답률 : 61%

59. 국제질병분류(ICD)의 설명으로 옳은 것은?
     1. 전자의무기록을 위하여 만들어졌다.
     2. 환자기록을 추출해내기 위한 코드체계이다.
     3. 세계적인 의학 서적을 색인하는데 쓰인다.
     4. 치료비에 의거한 진단과 치료과정을 정의한다.

     정답 : []
     정답률 : 65%

60. 의료기기를 분류할 때 인체에 미치는 중증도의 잠재적 위해성을 가진 의료기기는 몇 등급에 해당되는가?
     1. 1등급
     2. 2등급
     3. 3등급
     4. 4등급

     정답 : []
     정답률 : 77%
     <문제 해설>
1등급, 2등급 : 잠재적 위해성이 거의 없음
3등급 : 중증도의 잠재적 위해성
4등급 : 고도의 잠재적 위해성
[해설작성자 : 체리쥬빌레]

4과목 : 의료기기


61. 인공심폐기 중 막형 산화기의 재료로 틀린 것은?
     1. Silicon rubber membrane
     2. Polypropylene membrane
     3. Ceramic membrane
     4. Teflon membrane

     정답 : []
     정답률 : 66%

62. 뇌파계 사용 시 주의사항으로 틀린 것은?
     1. 올바른 부위에 전극을 장착한다.
     2. 교류장해로부터 차폐가 필요하다.
     3. 피검자에게 정신적 스트레스를 주지 않는다.
     4. 기계적인 진동은 장치에 영향을 주지 않는다.

     정답 : []
     정답률 : 85%
     <문제 해설>
4. 기계적인 진동으로도 장치에 영향을 주어 제대로 된 출력값이 나오지 않을 수 있다.
[해설작성자 : 체리쥬빌레]

아래와 같은 오류 신고가 있었습니다.
여러분들의 많은 의견 부탁 드립니다.
추후 여러분들의 의견을 반영하여 정답을 수정하도록 하겠습니다.
참고로 정답 변경은 오류 신고 5회 이상일 경우 수정합니다.

[오류 신고 내용]
기계적인 진동은 장치에 영향을 주지 않는다는데 해설은 진동으로도 장치에 영향을 주면 출력값이 안나온다고 설명돼 있는데 답이 영향을 준다면 틀린 답이지만 해설 말대로라면 맞는 정답 아닌가요?

[오류신고 반론]
틀린 항목을 찾는 것
진동으로 영향을 줌
해설하신 분이 맞게 해설하신 것.

63. 교류전류를 인가하여 조직을 가열함으로써 조직절개(Cutting) 및 빠른 응고(Cogulation)가 이루어지도록 하는 장치로, 인체 조직의 손상을 최소화하고, 수술 시 출혈 감소를 위하여 사용되는 필수적인 장비는?
     1. 전기용접기
     2. 생물현미경
     3. 전기수술기
     4. 쇄석기

     정답 : []
     정답률 : 82%
     <문제 해설>
환자 수술시 사용되는 장비로서 환자로 하여금 통증을 가장 적게 느끼게 하며 각 부위의 지혈도 원활하게 해 주는 기구이다.
드라마 수술장면에서 볼 수 있음.
[해설작성자 : 술풀레옹]

64. 혈관 내 혈류속도를 측정하기 위한 초음파 영상 촬영 방식은?
     1. A-mode
     2. B-mode
     3. M-mode
     4. 도플러 영상

     정답 : []
     정답률 : 72%
     <문제 해설>
만약 발사된 초음파가 움직이고 있는 물체에 부딪히게 되면, 부딪힌 물체의 움직이는 속도와 방향에 따라 변화가 생깁니다. 이러한 변화를 도플러 효과라고 합니다.
도플러 효과를 초음파 검사에 이용해서 분석하면 혈관 안을 빠르게 움직이는 혈류(피)의 속도와 양을 측정할 수 있습니다. 혈관이 좁아지면 대개 혈류의 속도가 빨라지므로, 도플러 초음파는 주로 혈관의 좁아진 정도를 평가하는데 쓰입니다.
[해설작성자 : 술풀레옹]

A-mode: 안과검사, 심장초음파검사, 초음파뇌검사
B-mode: 인체 내부의 단면상, 장기, 태아 등의 형태와 동태 관측
M-mode: 심장의 수축, 밸브의 움직임, 태아의 심박동 검사
[해설작성자 : 세븐틴]

65. 수액펌프의 알람기능 중 알람의 경보사항으로 틀린 것은?
     1. 공기 흡입시
     2. 과부하 발생시
     3. 설정된 값에 따라 약물이 다 주입된 상태
     4. 챔버에 약물방울이 규칙적으로 떨어지는 경우

     정답 : []
     정답률 : 83%
     <문제 해설>
규칙적으로 떨어지는 경우는 올바른 사항임.
[해설작성자 : 술풀레옹]

66. 전자기파의 공간방사, 유전체손실, 작은 피충효과 그리고 충분한 측정기술의 확보 등의 특징을 이용한 치료기기는?
     1. 저주파치료기
     2. 고주파치료기
     3. 초음파치료기
     4. 레이저치료기

     정답 : []
     정답률 : 57%

67. 체열진단을 위한 적외선 센서 구조에 맞는 신호처리 과정을 바르게 나열한 것은?
     1. 증폭기→흑체→초전체→광필터
     2. 흑체→초전체→증폭기→광필터
     3. 증폭기→흑체→광필터→초전체
     4. 광필터→흑체→초전체→증폭기

     정답 : []
     정답률 : 61%

68. 증가하는 자장을 이용하여 하전입자를 일정한 원형궤도 위를 회전시키고 도중에 고주파를 인가하여 가속시키며 자장세기와 가속주파수를 변조시켜 입자궤도를 일정하게 유지시키는 장치는?
     1. Van de Graff generator
     2. Synchrotron
     3. D-T generator
     4. Cyclotron

     정답 : []
     정답률 : 54%
     <문제 해설>
Van de Graaff generator: 집전극에 많은 정전기를 집적시켜서 직류 고전압을 얻어 하전입자(전자, 양자)를 가속하는 장치이다.                    
D-T generator: 중성자 발생장치의 일종으로 3중수소와 중수소의 핵반응을 이용한 장치이다.
Cyclotron: Dee라고 불리는 가속관의 이온원으로부터 나온 하전입자가 균일한 자계의 힘을 받아 궤도반경을 따라 회전운동 함으로써 15~50MeV의 에너지로 가속하는 장치이다.
[해설작성자 : 세븐틴]

69. 초음파가 신장(Z1=1.62)과 지방조직(Z2=1.38) 사이 경계면을 통과할 때, 경계면에서 발생되는 반사파 강도는 입사파에 비해 얼마가 되는가?
     1. 0.34%
     2. 0.48%
     3. 0.56%
     4. 0.64%

     정답 : []
     정답률 : 45%
     <문제 해설>
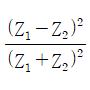
T=4*Z1*Z2/(Z2+Z1)^2*100
[해설작성자 : 크앙왕왕]

T 는 투과하는 음파강도 R은 반사되는 음파강도
R = (    (Z2-Z1)/(Z2+Z1)    )^2 *100
[해설작성자 : 크앙왕왕]

70. 정위적 방사선 수술기기인 감마나이프의 구성요소로 틀린 것은?
     1. ion pump
     2. radiation unit
     3. treatment couch
     4. collimator helmet

     정답 : []
     정답률 : 61%
     <문제 해설>
감마나이프 구성요소: 조사부(radiation unit), 콜리메터 헬멧(collimator helmet), 환자테이블(treatment couch), 조정장치(control panel)
[해설작성자 : 세븐틴]

71. MRI(Magnetic Resonance Imaging)의 영상 변수로 틀린 것은?
     1. 전자밀도
     2. 수소밀도
     3. 스핀격자완화시간(T1)
     4. 스핀스핀완화시간(T2)

     정답 : []
     정답률 : 66%
     <문제 해설>
MRI는 CT 보다 여러 가지의 영상변수(parameter)를 가진다는 것이 가장 큰 장점이다.
CT는 X-선 흡수계수라는 단 한가지의 parameter에 의해 영상의 음영도가 좌우되지만 MRI는 수소 원자핵의 밀도, T1, T2 이완 시간 및 혈류 등의 4가지 요소가 영상의 음영도를 결정하는 중요한 parameter 이다.
[해설작성자 : 술풀레옹]

72. PET(Positron Emission Tomography)에서 사용되는 양전자 방출 핵종으로 틀린 것은?
     1. Carbon-11
     2. Fluorine-18
     3. Oxygen-15
     4. Technetium-99m

     정답 : []
     정답률 : 70%
     <문제 해설>
PET의 양전자 방출 방사선 핵종 : C-11, N-13, O-15, F-18 등
[해설작성자 : 매미]

73. X-선이나 초음파로 뼈의 칼슘농도를 측정하여 뼈의 상태를 진단하는 기기는?
     1. 혈압계
     2. 환자감시장치
     3. 골밀도 측정기
     4. 캡슐형 내시경

     정답 : []
     정답률 : 86%
     <문제 해설>
골밀도 측정기는 방사선 및 초음파를 이용하여 우리 몸 특정 부위의 골 밀도를 측정 한 후 결과를 수치화 하여 나타내는 검사이다. 골다골증 및 골 연화증을 조기 발견할 수 있고, 골절의 치료경과를 평가할 수 있다.
[해설작성자 : 술풀레옹]

74. 방사선 치료에 대한 설명으로 틀린 것은?
     1. 종양의 위치에 따라 방사선을 선택한다.
     2. 방서선을 받은 세포는 대부분 세포 분열시 기능 장애, 증식 정자가 일어난다.
     3. 방사선은 암 조직에만 장애를 일으키고 정상 조직에는 영향이 없다.
     4. 방사선 에너지가 인체를 구성하는 원자, 분자로 이행되어 화합물의 조성을 변화시킨다.

     정답 : []
     정답률 : 82%
     <문제 해설>
3. 방사선은 암 조직뿐만 아니라 정상 조직에도 안 좋은 영향을 끼친다.
[해설작성자 : 체리쥬빌레]

75. 제세동기의 제세동 성공에 관여하는 요인 중 하나가 경흉 저항이다. 경흉 저항에 관련된 인자로 틀린 것은?
     1. 전극 크기
     2. 호흡주기
     3. 전극선의 길이
     4. 전극-피부 접촉면

     정답 : []
     정답률 : 72%
     <문제 해설>
경흉저항 관여 인자: 전극 크기, 전극-피부 접촉면, 호흡주기, 두 전극 사이의 거리, 전극압력
[해설작성자 : 세븐틴]

76. 간헐적 강제 환기의 장점으로 틀린 것은?
     1. 인공호흡기를 완전 끄기 전에 활용한다.
     2. 환기 효과를 위해서 마비나 진정제를 투여한다.
     3. 기계적 호흡수를 줄이면서 워닝(weaning) 과정을 가속화한다.
     4. 스스로의 호흡량을 점차 늘려가면서 호흡 전체를 감당한다.

     정답 : []
     정답률 : 74%
     <문제 해설>
마비나 진정제를 투여하는 것은 환자의 건강을 좋지 않게 하는 행위이다.
[해설작성자 : 술풀레옹]

77. 체열 진단기에서 사용하는 파장의 적합한 전자파 대역으로 옳은 것은?
     1. 근적외선영역
     2. 원적외선영역
     3. 중간적외선영역
     4. 마이크로파영역

     정답 : []
     정답률 : 57%
     <문제 해설>
36~37℃의 체온을 유지하는 인체에서는 9~10μm 파장대의 원적외선이 방사된다.
[해설작성자 : 세븐틴]

78. 생체조직 내에서의 초음파 전파 속도가 큰 순서부터 바르게 나열한 것은?
     1. 뼈>공기>근육
     2. 공기>근육>뼈
     3. 뼈>근육>공기
     4. 근육>공기>뼈

     정답 : []
     정답률 : 80%
     <문제 해설>
초음파는 일반적으로 밀도가 높을수록 즉, 딱딱할수록 빠른 속도를, 밀도가 낮을수록 느린 속도를 가진다. 대부분 공기로 채워진 폐 조직에서 가장 낮은 음속을 나타내는 반면, 골 조직에서 가장 높은 음속을 보인다.
[해설작성자 : 술풀레옹]

79. CT Number가 가장 큰 것은?
     1. 공기
     2. 나일론
     3. 뼈(경골)
     4. 금속성 보철물

     정답 : []
     정답률 : 74%
     <문제 해설>
공기<지방<물<혈액<백질<회백질<응고혈액<뼈 단단할수록 크다고 생각하면 된다.
금속이 가장 단단하다.
[해설작성자 : 술풀레옹]

80. X-선이 물체를 통과할 때 X-선 광자의 에너지가 원자 내 전자로 완전히 전달되어 전자가 원자 밖으로 방출되면서 X-선 광자가 소멸되는 현상은?
     1. 특성 방사
     2. 제동 방사
     3. 광전 효과
     4. 콤프턴 산란

     정답 : []
     정답률 : 61%
     <문제 해설>
특성 방사: 하나의 전자를 제거한 원자에서 발생하는 복사
제동 방사: 고속의 하전 입자가 전기장을 통과할 때에 가속도를 받아서 전자기파를 방출하는 일. 또는 그 전자기파.
콤프턴 산란: X-선의 에너지가 전량 흡수되는 것이 아니라 일부만 전자에 전달되면서 전자가 원자로부터 방출되는 현상.
[해설작성자 : 세븐틴]

81. 생체 조직 이식 후에 생체 내에서 이무런 화학반응을 일으키지 않는 알루미나와 같은 재료는 어느 분류에 해당되는가?
     1. 생체 활성 재료
     2. 생체 합성 재료
     3. 생체 불활성 재료
     4. 생체 흡수성 재료

     정답 : []
     정답률 : 79%

82. 인장 시험을 위한 응력-변형률 그래프에서 각 항목에 해당하는 명칭으로 옳은 것은?

    

     1. a: 극한점(ultimate point)
     2. c: 항복점(yield point)
     3. d: 비례한도(proportionality limit)
     4. e: 탄성한계(elastic limit)

     정답 : []
     정답률 : 65%
     <문제 해설>
a : 비례한도
b : 탄성한계
c : 항복점
d : 극한점
e : 파괴점

83. 형상기억합금에 대한 설명으로 틀린 것은?
     1. 치열교정 와이어에 사용된다.
     2. 형상기억효과와 초탄성효과를 이용한다.
     3. 생체의료용으로는 니켈과 코발트 합금이 사용된다.
     4. 힘을 가해 변형을 하더라고 온도상승과 함께 본래의 기억된 형태로 복귀한다.

     정답 : []
     정답률 : 67%
     <문제 해설>
생체의료용으로는 티타늄이 생체 친화성이 높아 몸속에 삽입해도 딱히 부작용이 없기 떄문에 치아 임플란트, 골절 치료용 금속지지대 등으로 널리 사용된다.
[해설작성자 : 술풀레옹]

84. 다양한 세라믹들이 생체 재료로서 응용되고 있다. 세라믹 재료의 용도로 틀린 것은?
     1. 인공관절
     2. 인공혈관
     3. 골 수복재
     4. 인공 치근 및 치아

     정답 : []
     정답률 : 71%
     <문제 해설>
세라믹은 단단하여 인공혈관을 제작하기에 적절하지 않다. 인공혈관은 콜라겐과 피브린을 기초로 한다.
[해설작성자 : 술풀레옹]

85. 저주파 영역에서 혈장, 전혈(헤마토크릿 40%) 및 적혈구의 전기 저항률이 높은 순서부터 나열된 것은?
     1. 적혈구>전혈>혈장
     2. 혈장>적혈구>전혈
     3. 전혈>혈장>적혈구
     4. 혈장>전혈>적혈구

     정답 : []
     정답률 : 63%

86. 체간보조기에 대한 설명으로 틀린 것은?
     1. 3점 고정의 개념이 중요하다.
     2. 척주M 정렬유지 및 기형을 교정한다.
     3. 골반밴드, 흉추밴드, 후방지주, 외측지주 등으로 구성되어 있다.
     4. 종류로는 경추보조기, 흉 요천추보조기, 경흉 요천보조기 등이 있다.

     정답 : []
     정답률 : 69%

87. 변형률(strain)에 대한 설명으로 틀린 것은?
     1. 변형률은 단위가 없는 무차원 값이다.
     2. 탄성물질에 대한 변형률은 전단응력에 반비례한다.
     3. 인장 변형률은 “양”으로 압축 변형률은 “음”으로 간주한다.
     4. 변형률은 매우 작은 양이기 때문에 측정시의 정밀도가 매우 중요하다.

     정답 : []
     정답률 : 64%

88. 운동형상학(kinematics)에서 다루지 않는 것은?
     1. 관절각도
     2. 보행속도
     3. 지면반력
     4. 보장(step length)

     정답 : []
     정답률 : 69%

89. 생체재료가 안전한 의료용 소재로 기능을 다하면서 인체에 사용될 수 있도록 품질이 보증되기 위해서 관리되는 문서에 포함되는 내용으로 틀린 것은?
     1. 생산 실적
     2. 용어의 정의
     3. 포장 표시 및 사용설명서
     4. 소재의 인용규격과 적용범위

     정답 : []
     정답률 : 77%

90. 혈관의 혈압은 혈관벽이 응력을 받게 한다. 혈관벽이 받는 응력과 직접적인 관련이 없는 것은?
     1. 혈관의 반경
     2. 혈관의 내압
     3. 혈관의 길이
     4. 혈관벽의 두께

     정답 : []
     정답률 : 69%

91. 방사선이 생물에 미치는 작용의 조합으로 틀린 것은?
     1. 생화학적 작용-피부화상
     2. 생물학적 작용-유전적 영향
     3. 물리적 작용-방사선 에너지의 흡수
     4. 화학적 작용-1차 생성물 및 중간생성물의 작용

     정답 : []
     정답률 : 63%
     <문제 해설>
생화학적 작용 = 효소 화학반응
[해설작성자 : 크앙왕왕]

92. 생체의 열적 특성에 대한 설명으로 옳은 것은?
     1. 지방은 근육보다 열을 전달하기 쉽다.
     2. 열의 방산은 주로 호흡에 의해 일어난다.
     3. 유아의 체중 당 방열량은 성인에 비해 작다.
     4. 인체 조직 내의 열운반의 대부분은 혈액의 순환에 의해 이루어진다.

     정답 : []
     정답률 : 67%

93. 생체조직 중 점도가 제일 큰 것은?
     1.
     2.
     3. 혈액
     4. 연조직

     정답 : []
     정답률 : 67%
     <문제 해설>
점도 : 유체의 흐름에서 어려움의 크기를 나타내는 양. 즉 끈적거림의 정도를 표시하는 것.
[해설작성자 : 매미]

94. 혈관내의 흐름이 층류인지 난류인지는 흐름의 관성력과 점성력의 비로 표현되는 무차원수인 레이놀즈에 의해 결정된다. 다음 중 레이놀즈수가 높은 것부터 순서대로 나열된 것은?
     1. 대동맥>대정맥>동맥>정맥>소동맥>모세관
     2. 대동맥>동맥>소동맥>모세관>대정맥>정맥
     3. 모세관>소동맥>정맥>동맥>대정맥>대동맥
     4. 대동맥>동맥>소동맥>대정맥>정맥>모세관

     정답 : []
     정답률 : 62%
     <문제 해설>
레이놀즈 수는 다양한 유체 현상을 기술하는 데에 있어 유체의 흐름을 예측하는 데 사용하는 숫자이며, 관성에 의한 힘과 점성에 의한 힘의 비로 나타낸다. 레이놀즈 수는 유체 동역학에서 가장 중요한 무차원 수 중 하나이다.
[해설작성자 : 매미]

95. 노인들의 일반적인 보행 특징으로 틀린 것은?
     1. 활보장의 감소한다.
     2. 분속수의 증가한다.
     3. 보행기저는 증가한다.
     4. 입각기의 시간이 길어진다.

     정답 : []
     정답률 : 73%
     <문제 해설>
노인들의 일반적인 보행에서 분속수는 감소한다.
분속수 : 보행시간 동안의 발걸음 수
활보장(stride length) : 큰 걸음걸이
입각기 : 보행의 1사이클 중 바닥과 다리가 접촉하고 있는 사이를 말하며, 보통 1사이클의 60%를 차지
보행의 1사이클 : 한측의 발꿈치가 접지하고, 다음으로 같은 측의 발꿈치가 접지할 때까지의 사이
[해설작성자 : 매미]

96. 형상기억 합금의 내부식성과 내마모성에 대한 특성이 틀린 것은?
     1. 내마모성이 타타늄에 비해 작다.
     2. 내부식성이 Co-Cr 합금보다 우수하다.
     3. 내마모성이 스테인리스강보다 우수하다.
     4. 내부식성이 스테인리스강보다 우수하다.

     정답 : []
     정답률 : 51%
     <문제 해설>
티타늄은 니켈과 함께 형상기억합금으로 주로 사용되는 재료이므로 잘못된 예시이다.
[해설작성자 : comcbt.com 이용자]

97. 생체재료의 생체기능성을 충족하는 조건은?
     1. 생물학적 기능을 저해하지 말 것
     2. 생체 내부에서 독성을 나타내지 말 것
     3. 성능을 발휘할 수 있도록 기계적인 강도가 충분할 것
     4. 생체재료 주변의 조직에 염증이나 알레르기를 유발하지 말 것

     정답 : []
     정답률 : 65%
     <문제 해설>
3. 생체재료의 생체기능성은 생체재료가 체내에서 성능을 발휘해야 하는 것이다.
[해설작성자 : 체리쥬빌레]

98. 리드가 10mm인 2줄 나사가 180° 회전할 때 나사가 움직인 거리(mm)는?
     1. 1
     2. 2.5
     3. 5
     4. 7.5

     정답 : []
     정답률 : 64%
     <문제 해설>
3. 10mm * 0.5
[해설작성자 : 체리쥬빌레]

10 180/360
[해설작성자 : 헤헤]

99. 신선한 뼈 조직이 건조될 경우 나타나는 특징으로 틀린 것은?
     1. 인성이 낮아진다.
     2. 탄성계수가 높아진다.
     3. 파괴 변형률이 높아진다.
     4. 파괴 시 에너지 흡수가 줄어든다.

     정답 : []
     정답률 : 47%

100. 빛은 파장에 따라 여러 가지로 구분된다. 파장이 780∼1400nm 까지로 헤모글로빈 및 수분의 광흡수가 가장 적기 때문에 빛이 조직내에 잘 투과되는 성질을 가지는 것은?
     1. 자외선
     2. 가시광선
     3. 근적외선
     4. 원적외선

     정답 : []
     정답률 : 55%
     <문제 해설>
자외선 : 13.6~380nm
가시광선 : 380~770nm
근적외선 : 770~1500nm
원적외선 : 1500~15000nm
[해설작성자 : 매미]


정 답 지

1

2

3

4

5

6

7

8

9

10

11

12

13

14

15

16

17

18

19

20

21

22

23

24

25

26

27

28

29

30

31

32

33

34

35

36

37

38

39

40

41

42

43

44

45

46

47

48

49

50

51

52

53

54

55

56

57

58

59

60

61

62

63

64

65

66

67

68

69

70

71

72

73

74

75

76

77

78

79

80

81

82

83

84

85

86

87

88

89

90

91

92

93

94

95

96

97

98

99

100

의공기사 필기 기출문제(해설) 및 CBT 2020년06월06일을 이용해 주셔서 감사합니다.
, 필기, 기출문제, 전자문제집, CBT, 온라인, 모의테스트, 모의고사



List of Articles
번호 제목 글쓴이 날짜 조회 수
11858 9급 지방직 공무원 정보보호론 필기 기출문제(해설) 및 CBT 2017년06월17일(12597) new 좋은아빠되기 2025.10.08 0
11857 9급 지방직 공무원 전기이론 필기 기출문제(해설) 및 CBT 2017년06월17일(12596) new 좋은아빠되기 2025.10.08 0
11856 9급 지방직 공무원 전기기기 필기 기출문제(해설) 및 CBT 2017년06월17일(12595) new 좋은아빠되기 2025.10.08 0
11855 9급 지방직 공무원 재배학개론 필기 기출문제(해설) 및 CBT 2017년06월17일(12594) new 좋은아빠되기 2025.10.08 0
11854 9급 지방직 공무원 재난관리론 필기 기출문제(해설) 및 CBT 2017년06월17일(12593) new 좋은아빠되기 2025.10.08 0
11853 9급 지방직 공무원 자료조직개론 필기 기출문제(해설) 및 CBT 2017년06월17일(12592) new 좋은아빠되기 2025.10.08 0
11852 9급 지방직 공무원 임업경영 필기 기출문제(해설) 및 CBT 2017년06월17일(12591) new 좋은아빠되기 2025.10.08 0
11851 9급 지방직 공무원 응용역학개론 필기 기출문제(해설) 및 CBT 2017년06월17일(12590) new 좋은아빠되기 2025.10.08 0
11850 9급 지방직 공무원 영어 필기 기출문제(해설) 및 CBT 2017년06월17일(12589) new 좋은아빠되기 2025.10.08 0
11849 누설비파괴검사기사 필기 기출문제(해설) 및 CBT 2018년04월28일(12588) new 좋은아빠되기 2025.10.08 1
11848 누설비파괴검사기사 필기 기출문제(해설) 및 CBT 2017년05월07일(12587) new 좋은아빠되기 2025.10.08 0
11847 누설비파괴검사기사 필기 기출문제(해설) 및 CBT 2018년09월15일(12586) new 좋은아빠되기 2025.10.08 0
11846 대기환경기사 필기 기출문제(해설) 및 CBT 2020년06월06일(12585) new 좋은아빠되기 2025.10.08 0
11845 9급 국가직 공무원 기계일반 필기 기출문제(해설) 및 CBT 2018년04월07일(12584) new 좋은아빠되기 2025.10.08 0
11844 소음진동기사(구) 필기 기출문제(해설) 및 CBT 2014년03월02일(12583) new 좋은아빠되기 2025.10.08 0
» 의공기사 필기 기출문제(해설) 및 CBT 2020년06월06일(12582) new 좋은아빠되기 2025.10.08 0
11842 실내건축기사(구) 필기 기출문제(해설) 및 CBT 2020년06월06일(12581) new 좋은아빠되기 2025.10.08 0
11841 기계설계기사 필기 기출문제(해설) 및 CBT 2019년04월27일(12580) new 좋은아빠되기 2025.10.08 1
11840 전자계산기조직응용기사 필기 기출문제(해설) 및 CBT 2020년06월06일(12579) new 좋은아빠되기 2025.10.08 0
11839 가스기사 필기 기출문제(해설) 및 CBT 2020년06월06일(12578) new 좋은아빠되기 2025.10.08 0
Board Pagination Prev 1 ... 186 187 188 189 190 191 192 193 194 195 ... 783 Next
/ 783