자격증 필기 기출문제



전자계산기기능사 필기 기출문제(해설) 및 CBT 2011년02월13일(1회)(5651)

최강 자격증 기출문제 전자문제집 CBT : www.comcbt.com


전자문제집 CBT란?

종이 문제집이 아닌 인터넷으로 문제를 풀고 자동으로 채점하며 모의고사, 오답 노트, 해설까지 제공하는
무료 기출문제 학습 프로그램으로 실제 상설검정에서 사용하는 OMR 형식의 CBT를 제공합니다.


최신 전자계산기기능사 필기 기출문제 : [다운로드]

1과목 : 전기전자공학


1. 수정진동자의 직렬공진주파수를 fo, 병렬공진주파수를 fs라 할때 수정진동자가 안정된 발진을 하기 위한 리맥턴스 성분의 주파수 f의 범위는?
     가. fo < f < fs
     나. fo < fs < f
     다. fs < f < fo
     라. f = fs = fo

     정답 : []
     정답률 : 59%

2. 10Ω 저항 10개를 사용하여 얻을수 있는 가장 큰 합성저항값은?
     가. 1Ω
     나. 10Ω
     다. 50Ω
     라. 100Ω

     정답 : []
     정답률 : 86%
     <문제 해설>
`10 x 10 = 100
[해설작성자 : comcbt.com 이용자]

3. 다음중 디지털 변조에 속하지 않는것은?
     가. PM
     나. ASK
     다. QAM
     라. QPSK

     정답 : []
     정답률 : 71%
     <문제 해설>
디지털변조의 종류
진폭변이변조(ASK), 주파수변이변조(FSK), 위상변이변조(PSK), QAM=APK→반송파의 진폭과 위상을 동시에 변조하는 방식
직교 위상 편이 변조(QPSK)
[해설작성자 : 난방]

4. 펄스 변조중 정보 신호에 따라 펄스의 유무를 변화시키는 방식은?
     가. PCM
     나. PWM
     다. PAM
     라. PNM

     정답 : []
     정답률 : 62%
     <문제 해설>
펄스 부호 변조 (PCM - Pulse-code modulation)
펄스 폭 변조 (PWM - Pulse-width modulation)
펄스 진폭 변조 (PAM - Pulse-amplitude modulation)
펄스 수 변조 (PNM - Pulse-phase modulation)
[해설작성자 : comcbt.com 이용자]

5. 다음 회로에서 베이스전류 IB는?(단 VCC=6V, VBE=0.6V, RC=2KΩ, RB=100KΩ 이다. )

   

     가. 27 μA
     나. 36 μA
     다. 54 μA
     라. 60 μA

     정답 : []
     정답률 : 53%

6. Y 결선의 전원에서 각 상의 전압이 100V 일때 선간전압은?
     가. 약 100V
     나. 약 141V
     다. 약 173V
     라. 약 200V

     정답 : []
     정답률 : 46%
     <문제 해설>
선간전압 Vl = √3Vp = √3 * 100 = 약 173[V]
[해설작성자 : 한준희]

7. 다음중 맥동률이 가장 작은 정류방식은?
     가. 단상 전파정류
     나. 3상 전파정류
     다. 단상 반파정류
     라. 3상 반파정류

     정답 : []
     정답률 : 42%
     <문제 해설>
3상 전파정류가 맥동률이 4.2%로 가장 작은거 맞습니다
[해설작성자 : 박신욱]

단상 반파정류 맥동률 121[%]
단상 전파정류 맥동률 48[%]
3상 반파정류 맥동률 19[%]
3상 전파정류 맥동률 4.2[%]
[해설작성자 : 한준희]

8. 다음 그림은 어떤 종류의 바이어스 회로인가?

   

     가. 전류궤환 바이어스
     나. 전압궤환 바이어스
     다. 고정 바이어스
     라. 전압. 전류궤환 바이어스

     정답 : []
     정답률 : 46%
     <문제 해설>
전류궤환 바이어스는 출력 전류의 일부 또는 전부를 입력 쪽으로 되먹임하는 방식이다.
[해설작성자 : 한준희]

9. 비오-사바르의 법칙은 어떤 관계를 나타내는 법칙인가?
     가. 전류와 자장
     나. 기자력과 자속밀도
     다. 전위와 자장
     라. 기자력과 자장

     정답 : []
     정답률 : 58%
     <문제 해설>
비오-사바르 법칙
-전류에 의해 만들어지는 자계의 세기
-△H = I△l/4πR^2 sinθ[A/m]
[해설작성자 : 한준희]

10. 10V의 전압이 100V로 증폭되었다면 증폭도는?
     가. 20dB
     나. 30dB
     다. 40dB
     라. 50dB

     정답 : []
     정답률 : 47%
     <문제 해설>
증폭도 구하는 식은
10log100 = 20(db)
생각보다 쉽죠??
[해설작성자 : 짭박사]

전압증폭도를 구하는 문제이기 때문에 20log100/10 을 해서 20이 나와야합니다.
[해설작성자 : 김현]

2과목 : 전자계산기구조


11. 제한된 영역내에 데이터를 어느 한쪽에서는 입력만 시키고, 그 반대쪽에서는 출력만 수행함으로써 가장 먼저 입력된 데이터가 가장먼저 출력되는 선입선출형식의 구조는?
     가. 스택(stack)
     나. 큐(Queue)
     다. 버스(bus)
     라. 캐시(cache)

     정답 : []
     정답률 : 63%
     <문제 해설>
큐(Queue)
-제한된 영역 내에 데이터를 어느 한쪽에서는 입력만 시키고, 그 반대쪽에서는 출력만 수행
-가장 먼저 입력된 데이터가 가장 먼저 출력되는 선입선출(LIFO)형식의 구조
[해설작성자 : 한준희]

가장 먼저 입력된 데이터가 가장 먼저 출력 되는것. 즉 First in first out (FIFO)방식이다.
[해설작성자 : 으랏차차]

12. 다음과 같은 회로도는?

    

     가. 인코더
     나. 카운터
     다. 가산기
     라. 디코더

     정답 : []
     정답률 : 65%

13. 컴퓨터에서 연산을 수행하기 위한 수치를 표현하는 방법중 부호,지수 및 가수로 구성되는것은?
     가. 부동 소수점 표현 방식
     나. 고정 소수점 표현 방식
     다. 언팩 표현 방식
     라. 팩 표현 방식

     정답 : []
     정답률 : 73%

14. 정보의 송수신이 동시에 가능한 방식은?
     가. Simplex 방식
     나. Complex 방식
     다. Half Duplex 방식
     라. Full Duplex 방식

     정답 : []
     정답률 : 70%

15. 3초과 코드는 신호가 없을때 구별하기 쉽게 하기 위해 사용하는데 3초과 코드에서 존재하지 않는 값은?
     가. 1010
     나. 0011
     다. 100
     라. 0001

     정답 : []
     정답률 : 60%
     <문제 해설>
아래와 같은 오류 신고가 있었습니다.
여러분들의 많은 의견 부탁 드립니다.
추후 여러분들의 의견을 반영하여 정답을 수정하도록 하겠습니다.
참고로 정답 변경은 오류 신고 5회 이상일 경우 수정합니다.

[오류 신고 내용]
3번에 답이 100은 BCD에 존재 하지 않음
[해설작성자 : comcbt.com 이용자]

[관리자 입니다.
정답은 4번이 맞습니다.
말 그대로 3 초과 코드 이므로 최소 숫자는 3부터 시작을 합니다.
4번은 0001 인데 10진수로 1에 해당합니다.
무슨 말인고 하니
숫자 0을 3초과 코드로 나타내고자 한다면 3을 나타내면 되고 : 011
숫자 1을 3초과 코드로 나타내고자 한다면 4를 나타내면 됩니다. : 100

즉 원래 2진수 숫자보다 3크게 숫자를 나타내는 방식이 3초과코드 방식입니다.
따라서 0001이란 숫자 1에 해당하므로 3초과 코드에서는 존재할수 없습니다.]

16. CPU가 어떤 작업을 수행하고 있는 중에 외부로 부터의 긴급 서비스 요청이 있으면 그 작업을 잠시 중단하고 요구된 일을 먼저 처리한 후에 다시 원래의 작업을 수행하는 것은?
     가. 시분할
     나. 인터럽트
     다. 분산처리
     라. 채널

     정답 : []
     정답률 : 77%

17. 레지스터의 일종으로 산술연산이나 논리연산의 결과를 일시적으로 기억시키는 장치는?
     가. 오퍼레이터
     나. 시프트
     다. 메모리
     라. 누산기

     정답 : []
     정답률 : 79%
     <문제 해설>
누산기는 연산의 결과를 일시적으로 기억하는 장치입니다
전자기기나 계산기    기능사 시험에 많이 나오니까 알아두도록 합시다!!!
[해설작성자 : 짭박사]

18. 다음 설명에 해당하는 것은?

    

     가. TTL
     나. CMOS
     다. RTL
     라. ECL

     정답 : []
     정답률 : 62%
     <문제 해설>
입력과 출력 모두 트랜지스터 - 'TT'L
[해설작성자 : ㅇㅉㅌㅂ]

19. 문자 자료의 표현방법에 해당하지 않는것은?
     가. BCD 코드
     나. ASCII 코드
     다. EBCDIC 코드
     라. EX-OR 코드

     정답 : []
     정답률 : 76%
     <문제 해설>
EX-OR 코드라는 것은 없다. EX-OR은 논리연산에 해당한다.
[해설작성자 : 파즈냥]

20. 입출력 장치의 역할로 가장 적합한 것은?
     가. 정보를 기억한다.
     나. 명령의 순서를 제어한다
     다. 기억용량을 확대시킨다.
     라. 컴퓨터의 내. 외부 사이에서 정보를 주고 받는다.

     정답 : []
     정답률 : 83%
     <문제 해설>
입력장치는 키보드 마우스처럼 우리가 정보를 입력하는 것이고
출력장치는 프린터 스캐너처럼 정보를 출력하는것 이므로
컴퓨터의 내 외부 사이에서 정보를 주고받는 것이 정답입니다
[해설작성자 : 짭박사]

21. 다음중 출력 장치로만 묶어 놓은 것은?
     가. 키보드,디지타이저
     나. 스캐너,트랙볼
     다. 바코드,라이트 펜
     라. 플로터,프린터

     정답 : []
     정답률 : 86%
     <문제 해설>
키보드, 스캐너, 바코드 등은 입력장치이죠..
[해설작성자 : 짭박사]

22. 위성통신의 장점에 속하지 않는것은?
     가. 기후의 영향을 받지 않는다.
     나. 광대역 통신이 가능하다.
     다. 통신망 구축이 용이하다.
     라. 수명이 영구적이다.

     정답 : []
     정답률 : 77%
     <문제 해설>
위성통신
-지역에 관계없는 이동.무선 통신 : 위성의 가시영역 이내에만 있으면 지구국을 이용하여 통신이 가능
-광역성(Wide Area Coverage) : 국가, 대륙 또는 전 세계
-넓은 주파수 대역의 사용으로 인한 고처리율
-지상망 구조에 지배되지 않음
-조속한 지상망의 구축
-추가 Site에 대한 저비용
-균일 서비스 특성 : 서비스 단절의 극복(동보성_
-내재해성
[해설작성자 : 한준희]

23. 프로그램 카운터의 명령어가 지시한 명령의 오퍼랜드가 기억된 주소를 표시하는 주소지정 방식은?
     가. 직접 번지 지정 방식
     나. 간접 번지 지정 방식
     다. 즉시 번지 지정 방식
     라. 레지스터 번지 지정 방식

     정답 : []
     정답률 : 53%

24. 2진수 1001과 0011을 더하면 그 결과는 2진수로 얼마인가?
     가. 1110
     나. 1101
     다. 1100
     라. 1001

     정답 : []
     정답률 : 72%
     <문제 해설>
1001 = 9 , 0011 = 3
9+3 = 12 = 1100
[해설작성자 : 명집]

25. 명령어를 해독하기 위해서 주기억장치로부터 제어장치로 해독할 명령을 꺼내오는 것은?
     가. 실행(execution)
     나. 단항연산(unary operation)
     다. 직접 번지(direct address)
     라. 명령어 인출(instruction fetch)

     정답 : []
     정답률 : 84%

26. 중앙처리장치의 간섭을 받지 않고 기억장치에 접근하여 입출력 동작을 제어하는 방식은?
     가. DMA 방식
     나. 스트로브 제어 방식
     다. 핸드쉐이킹 제어 방식
     라. 인터럽트에의한 제어방식

     정답 : []
     정답률 : 69%

27. 주소 부분이 없기 때문에 스택을 이용하여 연산을 수행하는 명령어는?
     가. 0-주소 명령어
     나. 1-주소 명령어
     다. 2-주소 명령어
     라. 3-주소 명령어

     정답 : []
     정답률 : 76%
     <문제 해설>
주소 부분이 “없다“= 0 = 없음 = 0주소 명령어
[해설작성자 : 어항대가리]

28. 10진수 (682)10을 8진수로 변환하면?
     가. (1152)8
     나. (1251)8
     다. (1252)8
     라. (1250)8

     정답 : []
     정답률 : 69%
     <문제 해설>
682를 8진수로 변환하기
682 / 8 = 85 ... 2    ↑
8 / 85 = 10 ... 5     ㅣ
8 / 10 = 1 ... 2        ㅣ
                 ------------
                         1252(8)

[해설작성자 : 파즈냥]

29. 다음중 게이트당 소모전력(mW)이 가장 적은 IC는?
     가. TTL
     나. RTL
     다. DTL
     라. CMOS

     정답 : []
     정답률 : 80%
     <문제 해설>
CMOS = 0.01[mW]
DTL = 8[mW]
TTL = 10[mW]
RTL 12[mW]
[해설작성자 : 파즈냥]

30. 다음 코드중 데이터 통신용으로 널리 사용되며 소형 컴퓨터에서 채택하고 있는것은?
     가. ASCII
     나. BCD
     다. EBCDIC
     라. Hamming

     정답 : []
     정답률 : 72%

3과목 : 프로그래밍일반


31. 운영체제의 페이지 교체 알고리즘 중 최근에 사용하지 않은 페이지를 교체하는 기법으로서 최근의 사용여부를 확인하기 위해서 각 페이지마다 2개의 비트가 사용되는것은?
     가. NUR
     나. LFU
     다. LRU
     라. FIFO

     정답 : []
     정답률 : 50%
     <문제 해설>
NUR(Not Used Recently) : 최근에 사용하지 않은 페이지를 교체
LFU(Least Frequently Used) : 사용 횟수가 가장 적은 페이지를 교체
LRU(Least Recently Used) : 최근에 가장 오랫동안 사용하지 않은 페이지를 교체
FIFO(First In First Out) : 가장 먼저 들여온 페이지를 먼저 교체
[해설작성자 : 파즈냥]

32. 명령 단위로 차례로 번역하여 즉시 실행하는 방식의 언어번역 프로그램은?
     가. 컴파일러
     나. 링커
     다. 로더
     라. 인터프리터

     정답 : []
     정답률 : 47%

33. 구조적 프로그래밍의 설명으로 틀린것은?
     가. 프로그램의 수정 및 유지보수가 용이하다.
     나. 순차,조건,반복구조를 기본 구조로 사용한다.
     다. GOTO문을 많이 사용하여 기능별로 모듈화 시킨다.
     라. 프로그램의 구조가 간결하여 흐름의 추적이 가능하다.

     정답 : []
     정답률 : 79%
     <문제 해설>
구조적 프로그래밍에서 GOTO문은 사용금지입니당
[해설작성자 : 포철공고전기전자과]

34. 다음의 소프트웨어 개발 과정중 가장 먼저 수행되는 단계는?
     가. 시스템 디자인
     나. 코딩 및 구현
     다. 요구 분석
     라. 테스팅 및 에러교정

     정답 : []
     정답률 : 71%
     <문제 해설>
당연히 소프트웨어의 필요성을 알기위해 분석부터 해야겠지요..??
[해설작성자 : 짭박사]

35. 운영체제의 역할과 거리가 먼것은?
     가. 사용자와 시스템간의 인터페이스 역할
     나. 데이터 공유 및 주변장치 관리
     다. 자원의 효율적 운영 및 자원 스케줄링
     라. 저급 언어를 고급 언어로 변환

     정답 : []
     정답률 : 69%

36. 프로그래밍 언어의 구문 요소중 프로그램의 이해를 돕기 위해 설명을 적어두는 부분으로 프로그램의 실행과는 관계가 없고 프로그램의 판독성을 향상시키는 요소는?
     가. Reserved Word
     나. Operator
     다. Key word
     라. Comment

     정답 : []
     정답률 : 68%
     <문제 해설>
Comment: 설명,의견이라는 영어 단어입니다!!
[해설작성자 : 짭박사]

37. 프로그래밍 언어가 갖추어야할 요건과 거리가 먼것은?
     가. 프로그래밍 언어의 구조가 체계적이어야 한다.
     나. 언어의 확장이 용이하여야 한다.
     다. 효율적인 언어이어야 한다.
     라. 많은 기억장소를 사용하여야 한다.

     정답 : []
     정답률 : 75%
     <문제 해설>
많은 기억장소를 사용한다는 것은 메모리를 많이 차지한다는 것인데
용량을 많이 차지하면 당연히 좋지 않겠죠?
[해설작성자 : 짭박사]

38. 고급 언어의 특징 설명으로 틀린것은?
     가. 기종에 관계없이 사용할 수 있어 호환성이 높다.
     나. 2진수 형태로 이루어진 언어로 전자계산기가 직접 이해할 수 있는 형태의 언어이다.
     다. 하드웨어에 관한 전문지식이 없어도 프로그램 작성이 용이하다.
     라. 프로그래밍 작업이 쉽고 수정이 용이하다.

     정답 : []
     정답률 : 68%
     <문제 해설>
고급언어
●사람이 이해하기 쉬운 자연어에 가깝게 만들어진 언어이다.
●프로그래밍하기 쉽고 생산성이 높다.
●컴퓨터와 관계없이 독립적으로 프로그램을 만들 수 있다.
●기계어로 변환하기 위해 번역하는 과정을 거친디.
●기종에 관계없이 공통적으로 사용된다.
[해설작성자 : 태고]

39. C언어에서 사용되는 자료형이 아닌것은?
     가. double
     나. float
     다. char
     라. interger

     정답 : []
     정답률 : 63%

40. 프로그래밍 언어의 수행순서는?
     가. 컴파일러 - 로더 - 링커
     나. 로더 - 컴파일러 - 링커
     다. 링커 - 로더 - 컴파일러
     라. 컴파일러 - 링커 - 로더

     정답 : []
     정답률 : 69%
     <문제 해설>
원시 -> 컴파일러 -> 목적 -> P/G 생성 -> 링커 -> 로더 -> 실행
[해설작성자 : 파즈냥]

41. 다음 그림과 같은 동기적 RS 플립플롭회로에 S=1,R=0,C=1의 입력일때 출력 의 값은?

    

     가.
     나.
     다.
     라.

     정답 : []
     정답률 : 59%
     <문제 해설>
출력은 S와 R 값을 따라갑니다.

42. 클록 펄스의 갯수나 시간에 따라 반복적으로 일어나는 행위를 세는 장치로서 여러개의 플립플롭으로 구성되는 것은?
     가. 계수기
     나. 누산기
     다. 가산기
     라. 감산기

     정답 : []
     정답률 : 72%
     <문제 해설>
갯수나 행위를 '세는' 장치는 당연히 '계수'기입니당.
[해설작성자 : 포철공고전기전자과]

43. 디지털 신호를 아날로그 신호로 바꾸는 것은?
     가. 멀티플렉서
     나. 인코더
     다. D/A 변환기
     라. 디코더

     정답 : []
     정답률 : 85%
     <문제 해설>
D/A는 디지털/아날로그의 약자이다.
D/A이면 디지털 신호를 아날로그 신호로
A/D이면 아날로그 신호를 디지털 신호로 바꿔준다.
[해설작성자 : 파즈냥]

44. 2진수 1111의 2의 보수는?
     가. 0000
     나. 0001
     다. 1000
     라. 1111

     정답 : []
     정답률 : 76%
     <문제 해설>
먼저 2진수 1111을 1의 보수로 만들어줍니다.
만드는 방법은 반대 숫자로 만드시면 되요.(0은 1로, 1은 0으로)
그러면 0000이 됩니다. 그 다음 2의 보수로 만들려면 1을 더하시면 됩니다
따라서 답은 0001

1    1    1    1    
------------    1의 보수로 만들기
0    0    0    0
------------    2의 보수로 만들기
0    0    0    1
[해설작성자 : 짭박사]

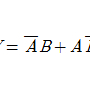
45. 불대수식 AB+ABC를 간소화 하면?
     가. AB
     나. AC
     다. BC
     라. ABC

     정답 : []
     정답률 : 64%
     <문제 해설>
위 식을 AB로 묶으면 AB(1+C)
C+1=1(논리합 OR에 의해서)
AB*1 = AB
[해설작성자 : 포철공고전기전자과]

46. 10진수 3을 Gray Code 4bit로 바르게 변환한것은?
     가. 0001
     나. 0010
     다. 0011
     라. 0100

     정답 : []
     정답률 : 54%
     <문제 해설>
이진 코드 -> 그레이코드 변환은 숫자 그대로 연산을 해야 합니다.
맨 앞 0은 그대로 내리고
00 -> 0
01 -> 1
11 -> 0
따라서, 0010 입니다.
[해설작성자 : comcbt.com 이용자]

47. 불 대수의 공식으로 옳지 않은것은?
     가. A+1=1
     나. A+A=A
     다. AㆍA=A
     라. Aㆍ1=1

     정답 : []
     정답률 : 68%
     <문제 해설>
A * 1 = A 입니다
[해설작성자 : comcbt.com 이용자]

48. 하나의 공통된 시간 펄스에 의해 플립플롭들이 트리거 되어 모든 플립플롭 상태가 동시에 변화하는 계수 회로의 명칭은?
     가. 이동 계수 회로
     나. 상향 계수기 회로
     다. 비 동기형 계수 회로
     라. 동기형 계수 회로

     정답 : []
     정답률 : 71%

49. BCD 코드에 의한 수 0100 0101 0010을 10진수로 나타내면?
     가. 542
     나. 452
     다. 442
     라. 432

     정답 : []
     정답률 : 81%
     <문제 해설>
0100 = 4 , 0101 = 5 , 0010 = 2
[해설작성자 : comcbt.com 이용자]

50. 반감산기 회로에서 차를 구하기 위해 사용되는 게이트는?
     가. AND
     나. OR
     다. NAND
     라. EX-OR

     정답 : []
     정답률 : 61%

51. 카운터와 같이 플립플롭을 사용하는 디지털 회로를 무엇이라 하는가?
     가. 조합논리회로
     나. 순서논리회로
     다. 아날로그 논리회로
     라. 멀티플렉서 논리회로

     정답 : []
     정답률 : 55%
     <문제 해설>
카운터는 순서를 세는 것이기 때문에 순서논리회로입니당
[해설작성자 : 포철공고전기전자과]

52. 다음 진리표에 해당하는 논리회로는?

    

     가. NOT
     나. Exclusive-OR
     다. NAND
     라. NOR

     정답 : []
     정답률 : 71%
     <문제 해설>
EX-OR은 입력이 서로 다르면 참(1)을 출력하는 논리회로입니당
[해설작성자 : 포철공고전기전자과]

53. 플립플롭 회로가 불확정한 상태가 되지 않도록 반전기(NOT gate)를 설치한 회로는?
     가. JK-FF
     나. RS-FF
     다. T-FF
     라. D-FF

     정답 : []
     정답률 : 39%
     <문제 해설>
불확정한 상태가 되지 않도록에서 JK로 헷갈릴 수 있는데 플립플롭에 NOT게이트를 설치한 것은 D입니다
[해설작성자 : 포철공고전기전자과]

54. 2진 정보의 저장과 클럭펄스를 가해 좌우로 한 비트씩 이동하여 2진수의 곱셈이나 나눗셈을 연산하는 장치에 이용되는 것은?
     가. 가산기(adder)
     나. 카운터(counter)
     다. 플립플롭(flip flop)
     라. 시프트 레지스터(shift register)

     정답 : []
     정답률 : 72%

55. 일반적 디지털 시스템에서 음수 표현 방식이 아닌것은?
     가. 부호와 절대값
     나. “-” 표시
     다. 1의 보수
     라. 2의 보수

     정답 : []
     정답률 : 78%

56. 가장 간단한 레지스터 회로는 외부 게이트가 전혀 없이 어떤 회로로 구성되어 지는가?
     가. 플립플롭
     나. AND 게이트
     다. X-OR 게이트
     라. 자기코어

     정답 : []
     정답률 : 64%

57. T 플립플롭 회로 두개가 직렬로 연결되어 있을 경우 500Hz의 사각형파를 입력시킬 경우 마지막 출력 되는 주파수는?
     가. 100Hz
     나. 125Hz
     다. 150Hz
     라. 175Hz

     정답 : []
     정답률 : 67%
     <문제 해설>
500 * 1/4 = 125
[해설작성자 : lemon tree]

58. 플립플롭이 n개일때 카운터가 셀 수 있는 최대의 수 N은?
     가. N = 2n
     나. N = 2n+1
     다. N = 2n-1
     라. N = 2n+1

     정답 : []
     정답률 : 56%
     <문제 해설>
만약 플립플롭이 3개라면 표현되는 수의 개수는 2의n승개 즉 2의3승(8)이지만 표현 되는 수는 0~"7"까지이므로 최대수는 2의n승개에서 1을 뺀것이 되므로 이에 유의하여야합니다.
[해설작성자 : 박건욱]

59. 디지털 장치에서 데이터 선이 4개라면 최대 몇 가지 상태로 기호화 할 수 있는가?
     가. 4 가지
     나. 8 가지
     다. 16 가지
     라. 32 가지

     정답 : []
     정답률 : 80%

60. 다음 논리회로 기호에서 입력 A=1, B=0 일때 출력 Y의 값은?

    

     가. Y=0
     나. Y=1
     다. Y=이전상태
     라. Y=반대상태

     정답 : []
     정답률 : 60%


정 답 지

1

2

3

4

5

6

7

8

9

10

11

12

13

14

15

16

17

18

19

20

21

22

23

24

25

26

27

28

29

30

31

32

33

34

35

36

37

38

39

40

41

42

43

44

45

46

47

48

49

50

51

52

53

54

55

56

57

58

59

60

전자계산기기능사 필기 기출문제(해설) 및 CBT 2011년02월13일(1회)을 이용해 주셔서 감사합니다.
전자계산기기능사, 기출문제, 기능사, 필기, 기출문제, 전자문제집, CBT, 온라인, 모의테스트, 모의고사



List of Articles
번호 제목 글쓴이 날짜 조회 수
» 전자계산기기능사 필기 기출문제(해설) 및 CBT 2011년02월13일(1회)(5651) 좋은아빠되기 2025.11.25 0
12770 전자계산기기능사 필기 기출문제(해설) 및 CBT 2010년03월28일(2회)(5650) 좋은아빠되기 2025.11.25 0
12769 전자계산기기능사 필기 기출문제(해설) 및 CBT 2010년01월31일(1회)(5649) 좋은아빠되기 2025.11.25 0
12768 전자계산기기능사 필기 기출문제(해설) 및 CBT 2009년03월29일(2회)(5648) 좋은아빠되기 2025.11.25 1
12767 전자계산기기능사 필기 기출문제(해설) 및 CBT 2009년01월18일(1회)(5647) 좋은아빠되기 2025.11.25 0
12766 전자계산기기능사 필기 기출문제(해설) 및 CBT 2008년10월05일(5회)(5646) 좋은아빠되기 2025.11.25 0
12765 전자계산기기능사 필기 기출문제(해설) 및 CBT 2008년02월03일(1회)(5645) 좋은아빠되기 2025.11.25 0
12764 전자계산기기능사 필기 기출문제(해설) 및 CBT 2007년01월28일(1회)(5644) 좋은아빠되기 2025.11.25 0
12763 전자계산기기능사 필기 기출문제(해설) 및 CBT 2006년10월01일(5회)(5643) 좋은아빠되기 2025.11.25 0
12762 전자계산기기능사 필기 기출문제(해설) 및 CBT 2005년04월03일(2회)(5642) 좋은아빠되기 2025.11.25 0
12761 전자계산기기능사 필기 기출문제(해설) 및 CBT 2005년01월30일(1회)(5641) 좋은아빠되기 2025.11.25 0
12760 전자계산기기능사 필기 기출문제(해설) 및 CBT 2004년10월10일(5회)(5640) 좋은아빠되기 2025.11.25 0
12759 전자계산기기능사 필기 기출문제(해설) 및 CBT 2004년04월04일(2회)(5639) 좋은아빠되기 2025.11.25 1
12758 전자계산기기능사 필기 기출문제(해설) 및 CBT 2004년02월01일(1회)(5638) 좋은아빠되기 2025.11.25 0
12757 전자계산기기능사 필기 기출문제(해설) 및 CBT 2003년10월05일(5회)(5637) 좋은아빠되기 2025.11.25 1
12756 전자계산기기능사 필기 기출문제(해설) 및 CBT 2003년03월30일(2회)(5636) 좋은아빠되기 2025.11.25 1
12755 전자계산기기능사 필기 기출문제(해설) 및 CBT 2003년01월26일(1회)(5635) 좋은아빠되기 2025.11.25 0
12754 전자계산기기능사 필기 기출문제(해설) 및 CBT 2002년10월06일(5회)(5634) 좋은아빠되기 2025.11.25 1
12753 전자계산기기능사 필기 기출문제(해설) 및 CBT 2002년04월07일(2회)(5633) 좋은아빠되기 2025.11.25 1
12752 전자계산기기능사 필기 기출문제(해설) 및 CBT 2002년01월27일(1회)(5632) 좋은아빠되기 2025.11.25 1
Board Pagination Prev 1 ... 331 332 333 334 335 336 337 338 339 340 ... 974 Next
/ 974