자격증 필기 기출문제



전자계산기기능사 필기 기출문제(해설) 및 CBT 2008년10월05일(5회)(5646)

최강 자격증 기출문제 전자문제집 CBT : www.comcbt.com


전자문제집 CBT란?

종이 문제집이 아닌 인터넷으로 문제를 풀고 자동으로 채점하며 모의고사, 오답 노트, 해설까지 제공하는
무료 기출문제 학습 프로그램으로 실제 상설검정에서 사용하는 OMR 형식의 CBT를 제공합니다.


최신 전자계산기기능사 필기 기출문제 : [다운로드]

1과목 : 전기전자공학


1. A급 트랜지스터에서 전력 증폭 회로의 최대효율은 몇 %인가?
     가. 25%
     나. 50%
     다. 78.5%
     라. 100%

     정답 : []
     정답률 : 47%

2. 다음과 같은 연산증폭기회로에서 입.출력 전압의 관계로 가장 적합한 것은?(단, R1=R2=R3=R4 이다)

   

     가.
     나.
     다.
     라.

     정답 : []
     정답률 : 38%

3. 궤환이 없을때 증폭도가 100인 증폭회로에 궤환율 β=0.01의 부궤환을 걸었을 때 증폭도는 얼마인가?
     가. 1
     나. 5
     다. 10
     라. 50

     정답 : []
     정답률 : 41%

4. 다음중 컬렉터 접지 증폭회로에 대한 설명으로 적합하지 않은것은?
     가. 입력 임피던스가 크다.
     나. 버퍼용으로 많이 사용된다.
     다. 전류 증폭률이 1보다 작다.
     라. 입.출력 전압의 위상은 동위상이다.

     정답 : []
     정답률 : 38%

5. FM변조에서 신호주파수가 4KHz이고 최대 주파수 편이가 16KHz일때 변조지수는 얼마인가?
     가. 1
     나. 3
     다. 4
     라. 5

     정답 : []
     정답률 : 82%

6. 실효값이 200V, 주파수가 60Hz인 교류전압의 순시값을 나타내는 식으로 적당한 것은?
     가.
     나.
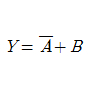
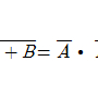
     다.
     라.

     정답 : []
     정답률 : 33%

7. 다음 ( )안에 들어갈 내용으로 가장 적합한 것은?

   

     가. (ㄱ) 비례 (ㄴ) 비례
     나. (ㄱ) 비례 (ㄴ) 반비례
     다. (ㄱ) 반비례 (ㄴ) 비례
     라. (ㄱ) 반비례 (ㄴ) 반비례

     정답 : []
     정답률 : 78%

8. 다음중 반도체의 재료로 사용되는 대표적인 원소는?
     가. He
     나. Fe
     다. Cr
     라. Si

     정답 : []
     정답률 : 79%

9. 저항 20Ω과 60Ω의 병렬 회로에서 60Ω의 저항에 3A의 전류가 흐른다면 20Ω에 흐르는 전류는 몇 A인가?
     가. 1A
     나. 3A
     다. 6A
     라. 9A

     정답 : []
     정답률 : 42%

10. 다음중 수정발진회로의 발진주파수가 안정된 이유로 가장 적합한 것은?
     가. 수정 발진기는 출력이 적기 때문이다.
     나. 수정 진동자는 Q가 매우 높기 때문이다.
     다. 수정 발진기에는 피에조 전기효과가 있기 때문이다.
     라. 수정 진동자의 진동수는 전원전압과 관계가 없기 때문이다.

     정답 : []
     정답률 : 52%

2과목 : 전자계산기구조


11. 다음중 입.출력 제어방식에 해당하지 않는것은?
     가. DMA 방식
     나. 인터페이스 방식
     다. 채널에 의한 방식
     라. 중앙처리장치에 의한 방식

     정답 : []
     정답률 : 45%

12. 2진수 1111을 그레이코드로 변환하면?
     가. 0000
     나. 1000
     다. 1010
     라. 1111

     정답 : []
     정답률 : 76%

13. 기억장치의 정보를 중앙처리장치로 가져오는 기능을 하는 연산자는?
     가. Load
     나. Add
     다. Shift
     라. Store

     정답 : []
     정답률 : 66%
     <문제 해설>
기억장치의 정보를 중앙 처리 장치로 불러온다 ( Load )고 생각하시면 됩니다.

14. 입.출력장치의 동작속도와 컴퓨터 내부의 동작속도를 맞추는데 사용되는 레지스터는?
     가. 어드레스 레지스터
     나. 시퀀스 레지스터
     다. 버퍼 레지스터
     라. 시프트 레지스터

     정답 : []
     정답률 : 71%

15. 중앙처리장치의 기능이라고 할 수 없는것은?
     가. 처리기능의 제어
     나. 정보의 연산
     다. 정보의 기억
     라. Operator와의 대화

     정답 : []
     정답률 : 69%

16. 하나의 사무실 또는 빌딩과 같이 근거리에 인접한 컴퓨터 시스템을 함께 연결하는 통신망은?
     가. LAN
     나. MAN
     다. WAN
     라. VAN

     정답 : []
     정답률 : 82%

17. 다음중 중앙처리장치와 입.출력장치 사이에 데이터 전송이 원활하게 이루어 지도록 하는 중계 회로는?
     가. 입.출력 버스
     나. 입.출력 교환기
     다. 입.출력 제어기
     라. 입.출력 인터페이스

     정답 : []
     정답률 : 42%

18. 다음 기억장치중 직접 접근 기억장치가 아닌것은?
     가. 자기 드럼
     나. 데이터 셀
     다. 자기 디스크
     라. 자기 테이프

     정답 : []
     정답률 : 62%

19. 번지부에 표현된 값이 실제 데이터가 기억된 번지가 아니고 유효번지(실제 데이터의 번지)를 나타내는 번지 지정 형식은?
     가. 직접 번지 형식
     나. 간접 번지 형식
     다. 상대 번지 형식
     라. 직접 데이터 형식

     정답 : []
     정답률 : 62%

20. 다음 그림과 같이 중심 노드를 경유하여 다른 노드와 연결하는 방식으로 전화망 등에 사용되는 통신망은?

    

     가. 성형 통신망(star network)
     나. 루프형 통신방(loop network)
     다. 그물형 통신망(mesh network)
     라. 계층형 통신망(hierarchical network)

     정답 : []
     정답률 : 72%

21. 다음중 단항연산은?
     가. OR
     나. AND
     다. EX-OR
     라. MOVE

     정답 : []
     정답률 : 61%

22. 자기디스크에서 기록 표면에 동심원을 이루고 있는 원형의 기록 위치를 트랙이라고 하는데 이 트랙의 모임을 무엇이라고 하는가?
     가. field
     나. record
     다. cylinder
     라. access arm

     정답 : []
     정답률 : 58%

23. 다음중 충격식 프린터는?
     가. 잉크젯 프린터
     나. 레이저 프린터
     다. 열전사 프린터
     라. 도트 매트릭스 프린터

     정답 : []
     정답률 : 59%

24. 0 과 1 로 구성되고 정보를 나타내는 최소단위를 무엇이라 하는가?
     가. bit
     나. word
     다. byte
     라. file

     정답 : []
     정답률 : 86%

25. 연산에 사용될 데이터나 연산의 중간 결과를 저장하는데 사용되는 레지스터는?
     가. 누산기
     나. 프로그램 카운터
     다. 명령 레지스터
     라. 메모리 버퍼 레지스터

     정답 : []
     정답률 : 74%

26. 다음 컴퓨터의 분류중 데이터 표현에 따른 분류와 거리가 먼것은?
     가. 아날로그 컴퓨터
     나. 디지털 컴퓨터
     다. 하이브리드 컴퓨터
     라. 전용 컴퓨터

     정답 : []
     정답률 : 59%

27. 다음 연산자의 수행결과는?

    

     가. 1110 1001
     나. 1110 1111
     다. 0000 1001
     라. 1111 0110

     정답 : []
     정답률 : 81%

28. 일단 사용하고 남은 기억공간을 모아서 유용하고 능률적으로 사용하도록 하는 방법은?
     가. garbage collection
     나. memory collection
     다. multiprogramming
     라. relocation

     정답 : []
     정답률 : 49%

29. 명령어의 번지와 프로그램 카운터가 더해져서 유효한 번지를 결정하는 방식은?
     가. 상대번지 모드(Relative addressing mode)
     나. 간접번지 모드(Indirect addressing mode)
     다. 인덱스드 어드레싱 모드(Indexed addressing mode)
     라. 레지스터 어드레싱 모드(Register addressing mode)

     정답 : []
     정답률 : 51%

30. 연산기의 입력 자료를 그대로 출력하는 것으로 컴퓨터 내부에 있는 하나의 레지스터에 기억된 자료를 다른 레지스터로 옮길때 이용되는 논리연산은?
     가. MOVE 연산
     나. AND 연산
     다. OR 연산
     라. UNARY 연산

     정답 : []
     정답률 : 77%

3과목 : 프로그래밍일반


31. 운영체제의 종류에 해당하지 않는것은?
     가. UNIX
     나. LINUX
     다. Windows NT
     라. Visual Studio

     정답 : []
     정답률 : 68%
     <문제 해설>
비주얼 스튜디오는 그냥 코딩 프로그램입니다.
[해설작성자 : 맨유팬의 공기업 도전기!]

32. 기계어에 대한 설명을 옳지 않은것은?
     가. 2진수 0과1을 사용하여 명령어와 데이터를 나타낸다.
     나. 컴퓨터가 직접 이해할 수 있어 속도가 빠르다.
     다. 기계어 구조는 컴퓨터 마다 동일하여 호환성이 높다
     라. 전문적인 지식이 없으면 이해하기 힘들다.

     정답 : []
     정답률 : 67%

33. 시스템 프로그래밍 언어로 적당한 것은?
     가. COBOL
     나. C
     다. BASIC
     라. FORTRAN

     정답 : []
     정답률 : 85%

34. 언어번역 프로그램에 해당하지 않는것은?
     가. 인터프리터
     나. 로더
     다. 컴파일러
     라. 어셈블러

     정답 : []
     정답률 : 77%

35. C 언어에서 사용되는 이스케이프 시퀀스(Wscape Sequence) 에 대한 설명으로 옳지 않은 것은?
     가. \r : carriage return
     나. \t : tab
     다. \b : backspace
     라. \n : null character

     정답 : []
     정답률 : 50%
     <문제 해설>
C 언어
/n : newline
[해설작성자 : 안공 박형민]

36. 운영체제의 기능으로 옳지 않은 것은?
     가. 원시 프로그램을 목적 프로그램으로 변환하는 기능을 제공한다.
     나. 사용자와 시스템간의 편리한 인터페이스를 제공한다.
     다. 데이터 및 자원의 공유 기능을 제공한다.
     라. 자원 보호 기능을 제공한다.

     정답 : []
     정답률 : 71%

37. 운영체제의 성능 평가 기준으로 거리가 먼것은?
     가. 처리능력
     나. 응답시간
     다. 신뢰도
     라. 비용

     정답 : []
     정답률 : 86%

38. 프로그램 개발시 문서화의 효과로 거리가 먼것은?
     가. 프로그램 개발 후 시스템의 유지보수가 용이하다.
     나. 프로그램 개발팀에서 운용팀으로 인수 인계를 쉽게 할 수 있다.
     다. 원시 프로그램에 대한 번역과정 없이 프로그램을 실행 할 수 있다.
     라. 프로그램 개발 목적 및 과정을 표준화 하여 효율적인 작업이 되도록 한다.

     정답 : []
     정답률 : 68%

39. 다음 설명에 해당하는 것은?

    

     가. Decoder
     나. Translator
     다. Cross Compiler
     라. Preprocessor

     정답 : []
     정답률 : 46%

40. 객체지향 기법에서 하나 이상의 유사한 객체들을 묶어서 하나의 공통된 특성을 표현한 것을 무엇이라 하는가?
     가. 메시지
     나. 메소드
     다. 속성
     라. 클래스

     정답 : []
     정답률 : 61%

41. 다음 회로의 구성 특징이 다른것은?
     가. 계수기
     나. 인코더
     다. 반가산기
     라. 멀티플렉서

     정답 : []
     정답률 : 47%

42. 인버터 회로라고 부르는 회로는?
     가. 부정(NOT) 회로
     나. 논리합(OR) 회로
     다. 논리곱(AND) 회로
     라. 배타적(EX-OR) 회로

     정답 : []
     정답률 : 59%

43. 다음중 3 초과 코드에서 사용하지 않는 것은?
     가. 0000
     나. 1010
     다. 0100
     라. 1001

     정답 : []
     정답률 : 68%

44. 디지털 신호를 아날로그 신호로 바꾸는 것을 무엇이라고 하는가?
     가. A/D 변환기
     나. D/A 변환기
     다. 해독기(Decoder)
     라. 비교회로

     정답 : []
     정답률 : 87%

45. 10진수 12를 2진수로 고쳤을때 2의 보수는?
     가. 1100
     나. 0011
     다. 0100
     라. 1011

     정답 : []
     정답률 : 60%

46. 다음중 드모르간 정리가 옳은것은?
     가.
     나.
     다.
     라.

     정답 : []
     정답률 : 70%

47. 다음중 16진수에서 사용되는 것이 아닌것은?
     가. 9
     나. C
     다. 1
     라. G

     정답 : []
     정답률 : 76%

48. 비가중치 코드가 아닌것은?
     가. 그레이 코드
     나. 3-초과 코드
     다. BCD 코드
     라. 시프트 카운터 코드

     정답 : []
     정답률 : 29%

49. 다음중 플립플로과 같은 동작을 하는 회로는?
     가. 단안정 멀티바이브레이터 회로
     나. 비안정 멀티바이브레이터 회로
     다. 쌍안정 멀티바이브레이터 회로
     라. 시미트 트리거 회로

     정답 : []
     정답률 : 72%

50. 10진수를 BCD코드로 변환하는것을 무엇이라 하는가?
     가. 디코더
     나. 인코더
     다. A/D 변환기
     라. 감산기

     정답 : []
     정답률 : 54%

51. JK 플립플롭에서 Qn 이 RESET 상태일때 J=0,K=1 입력신호를 인가하면 출력 Qn+1 의 상태는?
     가. 0
     나. 1
     다. 부정
     라. 입력금지

     정답 : []
     정답률 : 54%

52. 다음 그림과 같은 플립플롭의 명칭은?

    

     가. RS
     나. T
     다. D
     라. JK

     정답 : []
     정답률 : 47%

53. 다음 그림은 반감산기의 논리회로이다. 빌림 수를 출력하는 단자는?

    

     가. A
     나. B
     다. C
     라. D

     정답 : []
     정답률 : 48%

54. 다음중 반가산기의 출력중 합의 논리식은?
     가.
     나.
     다.
     라.

     정답 : []
     정답률 : 72%

55. T 플립플롭의 진리표이다. 출력을 논리식으로 나타내면 어떻게 되는가?

    

     가.
     나.
     다.
     라.

     정답 : []
     정답률 : 38%

56. 대응되는 변수의 내용이 서로 다르면 결과가 “1” 이고 대응되는 내용이 같으면 결과가 “0”이 되는 불대수의 연산은?
     가. 논리합(OR)
     나. 논리곱(AND)
     다. 논리 부정(NOT)
     라. 배타적 논리합(EX-OR)

     정답 : []
     정답률 : 69%

57. 다음중 입력 전부가 “0” 이어야만 출력이 “1”이 나오는 게이트는?
     가. OR
     나. AND
     다. NOR
     라. NAND

     정답 : []
     정답률 : 52%

58. (A+B)(A+C)를 최소화 하면?
     가. A+B+C
     나. A+BC
     다. B+AC
     라. AB+C

     정답 : []
     정답률 : 80%

59. 다음중 BCD 코드에서 사용되지 않는 표현은?
     가. 1001
     나. 0101
     다. 0110
     라. 1010

     정답 : []
     정답률 : 48%
     <문제 해설>
BCD 코드는 2진화 10진수이기 때문에 9보다 큰 값을 사용하지 않습니다.
1. 1001 (2) --> 9 (10)
2. 0101 (2) --> 5 (10)
3. 0110 (2) --> 6 (10)
4. 1010 (2) --> 10 (10)
따라서 9보다 큰 4번이 정답입니다.
[해설작성자 : 한능검 한달컷 ㄱㄴ?]

60. 다음중 조합논리회로 설계시 가장 먼저 해야 할 일은?
     가. 진리표작성
     나. 논리회로의 구현
     다. 주어진 문제의 분석과 변수의 정리
     라. 각 출력에 대한 불 함수의 유도 및 간소화

     정답 : []
     정답률 : 52%


정 답 지

1

2

3

4

5

6

7

8

9

10

11

12

13

14

15

16

17

18

19

20

21

22

23

24

25

26

27

28

29

30

31

32

33

34

35

36

37

38

39

40

41

42

43

44

45

46

47

48

49

50

51

52

53

54

55

56

57

58

59

60

전자계산기기능사 필기 기출문제(해설) 및 CBT 2008년10월05일(5회)을 이용해 주셔서 감사합니다.
전자계산기기능사, 기출문제, 기능사, 필기, 기출문제, 전자문제집, CBT, 온라인, 모의테스트, 모의고사



List of Articles
번호 제목 글쓴이 날짜 조회 수
12777 전자계산기기능사 필기 기출문제(해설) 및 CBT 2013년10월12일(5회)(5657) 좋은아빠되기 2025.11.25 0
12776 전자계산기기능사 필기 기출문제(해설) 및 CBT 2013년04월14일(2회)(5656) 좋은아빠되기 2025.11.25 1
12775 전자계산기기능사 필기 기출문제(해설) 및 CBT 2013년01월27일(1회)(5655) 좋은아빠되기 2025.11.25 0
12774 전자계산기기능사 필기 기출문제(해설) 및 CBT 2012년10월20일(5회)(5654) 좋은아빠되기 2025.11.25 0
12773 전자계산기기능사 필기 기출문제(해설) 및 CBT 2012년04월08일(2회)(5653) 좋은아빠되기 2025.11.25 0
12772 전자계산기기능사 필기 기출문제(해설) 및 CBT 2012년02월12일(1회)(5652) 좋은아빠되기 2025.11.25 0
12771 전자계산기기능사 필기 기출문제(해설) 및 CBT 2011년02월13일(1회)(5651) 좋은아빠되기 2025.11.25 0
12770 전자계산기기능사 필기 기출문제(해설) 및 CBT 2010년03월28일(2회)(5650) 좋은아빠되기 2025.11.25 0
12769 전자계산기기능사 필기 기출문제(해설) 및 CBT 2010년01월31일(1회)(5649) 좋은아빠되기 2025.11.25 0
12768 전자계산기기능사 필기 기출문제(해설) 및 CBT 2009년03월29일(2회)(5648) 좋은아빠되기 2025.11.25 1
12767 전자계산기기능사 필기 기출문제(해설) 및 CBT 2009년01월18일(1회)(5647) 좋은아빠되기 2025.11.25 0
» 전자계산기기능사 필기 기출문제(해설) 및 CBT 2008년10월05일(5회)(5646) 좋은아빠되기 2025.11.25 0
12765 전자계산기기능사 필기 기출문제(해설) 및 CBT 2008년02월03일(1회)(5645) 좋은아빠되기 2025.11.25 0
12764 전자계산기기능사 필기 기출문제(해설) 및 CBT 2007년01월28일(1회)(5644) 좋은아빠되기 2025.11.25 0
12763 전자계산기기능사 필기 기출문제(해설) 및 CBT 2006년10월01일(5회)(5643) 좋은아빠되기 2025.11.25 0
12762 전자계산기기능사 필기 기출문제(해설) 및 CBT 2005년04월03일(2회)(5642) 좋은아빠되기 2025.11.25 0
12761 전자계산기기능사 필기 기출문제(해설) 및 CBT 2005년01월30일(1회)(5641) 좋은아빠되기 2025.11.25 0
12760 전자계산기기능사 필기 기출문제(해설) 및 CBT 2004년10월10일(5회)(5640) 좋은아빠되기 2025.11.25 0
12759 전자계산기기능사 필기 기출문제(해설) 및 CBT 2004년04월04일(2회)(5639) 좋은아빠되기 2025.11.25 1
12758 전자계산기기능사 필기 기출문제(해설) 및 CBT 2004년02월01일(1회)(5638) 좋은아빠되기 2025.11.25 0
Board Pagination Prev 1 ... 331 332 333 334 335 336 337 338 339 340 ... 974 Next
/ 974